Next Article in Journal
Assessment of Ecosystem Characteristics and Fishery Carbon Sink Potential of Qianxiahu Reservoir Based on Trophic Level and Carbon Content Methods
Previous Article in Journal
Matings Between Individuals with Similar Major Histocompatibility Complex (MHC) Improve Offspring Survival in the Rainbow Trout (Oncorhynchus mykiss)
Previous Article in Special Issue
Nanoparticle-Enhanced Fish Feed: Benefits and Challenges
 
 
Font Type:
Arial Georgia Verdana
Font Size:
Aa Aa Aa
Line Spacing:
Column Width:
Background:
Article

Effects of Temperature and Salinity on the Growth, Reproduction, and Carotenoid Accumulation in Artemia sinica and Transcriptome Analysis

1
China-ASEAN Belt and Road Joint Laboratory on Mariculture Technology, Shanghai 201306, China
2
Centre for Research on Environmental Ecology and Fish Nutrition (CREEFN) of the Ministry of Agriculture and Rural Affairs, Shanghai Ocean University, Shanghai 201306, China
3
National Demonstration Center for Experimental Fisheries Science Education, Shanghai Ocean University, Shanghai 201306, China
*
Author to whom correspondence should be addressed.
Fishes 2024, 9(11), 437; https://doi.org/10.3390/fishes9110437
Submission received: 1 October 2024 / Revised: 24 October 2024 / Accepted: 26 October 2024 / Published: 28 October 2024
(This article belongs to the Special Issue Feed Additives in Aquaculture)

Abstract

Brine shrimp (Artemia), rich in carotenoids, are widely used in intensive aquaculture to supplement nutrients and enhance the coloration of farmed organisms. This study investigates the growth, reproduction, and carotenoid accumulation in Artemia sinica under varying salinity and temperature conditions. The results showed that temperature and salinity displayed significant interactions with survival, body length, and carotenoid accumulation in the body. The optimal survival and growth conditions of A. sinica (Bohai Sea Gulf) were a temperature range of 25–30 °C and a salinity range of 30–50‰. High temperatures accelerated growth and sexual maturity at the expense of survival rates, while temperatures below 20 °C prevented ovigerous development. Extreme salinity levels negatively affected survival and growth, though high salinity promoted sexual maturity. Carotenoids in A. sinica mainly accumulate as echinenone and canthaxanthin form. Carotenoid accumulation decreased with increased temperature and salinity, and the temperature effect decreased with rising salinity. A. sinica cultivated at a salinity of 10‰ and a temperature of 25 °C exhibits the highest carotenoid content. Transcriptomic analysis revealed that high temperatures primarily affected genes related to stress response and metabolism, while high-salinity regulated genes associated with ion balance and signaling pathways. These findings provide a theoretical basis for enhancing Artemia sinica aquaculture and optimizing cultivation conditions, offering novel insights into nutritional and environmental impacts on brine shrimp biology.
Key Contribution: This study evaluated the growth, reproductive performance, and carotenoid nutrition of Artemia sinica under a wide range of culture conditions (salinity 10–90; temperature 20–30 °C) and presented a comprehensive transcriptome analysis of adult A. sinica under extreme conditions. Based on study findings, a two-stage cultivation strategy is recommended to maximize Artemia production. During the early stage of cultivation (before day 10), the A. sinica are grown under high-temperature and low-salinity conditions (30 °C; 30‰) to ensure rapid growth. In the later stage, the environment is shifted to low-temperature and high-salinity conditions (20 °C; 90‰) to ensure survival.

1. Introduction

The provision of adequate and nutritious feed is crucial for successful aquatic larval culture [1,2]. Owing to the distinctive life cycle of Artemia, its dormant cysts possess the ability to endure adverse environmental conditions for extended periods, rendering them widely used live feed [3]. All forms of Artemia can be used in aquaculture, including decapsulated cysts, newly hatched nauplius, and the adult. The decapsulated cyst and nauplius are used most commonly in the larval culture due to their high nutritional value, appropriate size, and easy accessibility. Compared with nauplius, the adult has higher protein and lower lipid content, along with increased biomass and nutrient composition, making them suitable as feed for shrimp and ornamental fish [4]. Artemia is a non-selective filter-feeding organism, which is often used as a bio-capsule of carotenoids, fatty acids, and other nutrients that are easy to oxidize in production to achieve nutritional enrichment for cultured animals [5].
Artemia exhibits strong environmental adaptability and possesses the most efficient osmoregulatory capacity among crustaceans. They have been observed thriving in environments with salinity ranging from 2.5 to 260 [6]. Due to its unique adaptive mechanism in challenging environmental conditions, it can be used as an animal model for ecological, biological, and physiological research [7]. Within the suitable temperature range, Artemia exhibits a positive correlation between temperature and growth rate, shortened pre-reproductive period, and increased total offspring production [8]. However, excessive temperatures can lead to decreased growth rates and higher mortality rates among Artemia [9]. Excessive or inadequate salinity can also impact the growth and development of Artemia, while Artemia from different habitats exhibits varying adaptability to salinity levels [6,8,9,10]. The osmotic pressure regulated by salinity further influences the metabolic strategy of Artemia, consequently leading to alterations in nutritional composition [11]. Understanding the adaptability and ability to reproduce Artemia in various environmental conditions is beneficial for achieving their high-density cultivation.
Carotenoids are a class of fat-soluble pigments that possess multiple conjugated double bonds in their molecular structure, enabling them to effectively scavenge oxygen-free radicals within the body and exhibit robust antioxidant capacity [12,13]. Consequently, they are frequently employed as immunostimulants in aquaculture. Additionally, certain classes of carotenoids, such as β-carotene, can serve as precursors for vitamin A synthesis through enzymatic cleavage of the polyene carotenoid carbon chains to yield one or two functional retinoids [14,15,16]. Supplementation with beta-carotene has been shown to prevent diseases resulting from vitamin A deficiency [17]. Moreover, carotenoids also exert significant positive effects on the embryonic development, larval growth, and reproductive processes of aquatic animals [18,19,20]. However, carotenoids are biosynthesized by plants and microorganisms in the natural environment. In general, aquatic animals lack the ability to synthesize carotenoids from scratch and primarily acquire them through dietary intake or limited metabolic modifications such as oxidation, reduction, double-bond transformation, double-bond oxidative cleavage, and epoxy bond rupture of accumulated carotenoids [21,22]. As the demand for crustaceans increases, shrimp and crab aquaculture models have progressively shifted from extensive to semi-intensive and intensive systems. However, during intensive culture, the dependence on a single feed source often leads to several challenges. These challenges include issues like shrimp and crab exhibiting a white body color with low gloss, reduced disease resistance, and pale coloration of the ovaries, hepatopancreas, and shell after cooking [16]. Therefore, utilizing Artemia as a bio-capsule for carotenoids has become an essential method for delivering these nutrients to fish, shrimp, and crab larvae in intensive cultivation systems.
Environmental factors significantly influence carotenoid accumulation in organisms, and microalgae have been extensively studied as carotenoid producers. For example, in Dunaliella salina, optimal salinity levels can induce the accumulation of endogenous carotenoids [23]. Conversely, Ostreococcus sp. synthesizes more carotenoids at higher temperatures and lower salinity [24]. In Synechocystis sp., carotenoid content initially increases with rising salinity but then decreases [25]. These interspecies variations are likely due to each species’ unique adaptability to their specific environmental conditions. However, comparable studies in animal research have yet to be reported. Understanding the influence of environmental factors on the carotenoid content in Artemia would enhance the assessment of their nutritional value.
While several studies have explored optimizing the culture conditions for Artemia, most have focused on relatively narrow or singular ranges of temperature and salinity [8,9,10]. Furthermore, the carotenoid content within Artemia was cultivated under different environmental conditions, and the influence of these environmental factors has not been reported. Therefore, this study aims to investigate a broader range of temperature and salinity combinations to better understand Artemia’s growth conditions and carotenoid content, thereby improving its effectiveness as a dietary supplement in aquaculture. Additionally, transcriptome sequencing was conducted on representative groups to discuss the adaptation mechanisms and carotenoid accumulation characteristics of A. sinica under different temperature and salinity conditions. These findings provide novel insights into understanding the environmental adaptation mechanism of A. sinica, optimizing its cultivation practices, evaluating its nutritional value, and exploring its potential applications in aquaculture.

2. Materials and Methods

2.1. Animal Preparation

Dried cysts of Artemia sinica (Bohai Sea Gulf, Binzhou, China) were incubated in a 25 L bucket with egg density of 1.2 g/L, salinity of 30‰, water temperature of 27–28 °C, pH = 8.3, light intensity of 2000 lux, continuous aeration, and incubated for 24 h for subsequent experiments.

2.2. Experimental Design

The experimental design comprised 15 groups, each consisting of four parallels, with a combination of five salinity levels (10‰, 30‰, 50‰, 70‰, and 90‰) and three temperature levels (20 °C, 25 °C, and 30 °C). The determination of survival rate and sexual maturity of A. sinica were determined using three parallels in an experimental setup consisting of a 1 L beaker, with Artemia nauplii cultured at a density of 0.1 ind./L. An amount of 50–100 μL/L of spirulina powder suspension (0.1 g dry matter/mL) was fed three times daily, and the feeding amount was adjusted in accordance with its growth rate; 25% of the water was changed daily. The growth performance, determination of carotenoid content, and collection of transcriptome samples were conducted in a 15 L bucket as part of another parallel experiment. The culturing conditions remained consistent with those mentioned above.

2.3. Sample Collection

The Artemia was cultured for 15 days. The survival rate was counted from 1 L beakers on Day 5, 10, and 15. Simultaneously, body length measurements were taken for 10–20 Artemia individuals randomly from 15 L buckets, and the specific growth rate was subsequently calculated. At the end of 15 days of culturing, the sexual maturity of Artemia was assessed by observing females in 1 L beakers, with emphasis on the presence of fully developed ovaries containing eggs. The growth performance and sexual maturity were measured using the following formula:
Survival rate (%) = (number of live Artemia/initial number of Artemia) × 100
Specific growth rate (SGR, %/day) = [(Ln final length-Ln initial length duration]/time × 100
Sexual maturity rate (%) = (number of sexually mature females/number of total females) × 100

2.4. Carotenoid Content Determination

The samples from 15 L buckets were freeze-dried and then crushed into powder. Then, dried powder of Artemia or spirulina (0.2 g) into a 10 mL tube. Three replicates were analyzed for each treatment. The samples were extracted with 5 mL acetone-methanol extractant (V:V, 2:1) by mixing and centrifugation at 4 °C at 10,000× g rpm for 3 min. The extraction was repeated three times until no more color was extracted. The extracts were collected and combined into new tubes, then dried by N2. Thereafter, the sample extracts were dissolved in 2 mL acetonitrile and filtered through 0.22 µm hydrophilic polypropylene discs (Anpel, Shanghai, China). Then, the samples were used for Ultra Performance Convergence Chromatography (UPC2) analysis. All samples were run simultaneously under the following conditions: 10 μL of the sample was injected into a Waters ACQUITY HSS C18 SB (1.8 µm, 2.1 mm × 150 mm) column. The sample was delivered to the column using a linear gradient mobile phase consisting of A: 100% CO2 and B: 100% Methanol at a flow rate of 0.6 mL/min. The initial ratio was 90% A: 10% B for 7 min, 80% A: 20% B: 10 for 5 min, and then it was returned to the initial ratio of over 1 min. Relative amounts of carotenoids were quantified by an ultraviolet/visible detector set to 475 nm by calculating the area under the curve of each peak. The astaxanthin, canthaxanthin, zeaxanthin, echinenone, and β- carotene standards were purchased from Sigma-Aldrich (St. Louis, MO, USA), and the β-cryptoxanthin standard was purchased from CaroteNature (Ostermundigen, Switzerland). The process of carotenoid extraction was done under low light conditions to prevent carotenoid from photo-oxidation.

2.5. Isolation of Total RNA, Library Preparation and Illumina Sequencing

The samples from six treatments (HSHT: 90‰, 30 °C; HSLT: 90‰, 20 °C; NSHT: 30‰, 30 °C; NSLT: 30‰, 20 °C; LSHT: 10‰, 30 °C; LSLT: 10‰, 20 °C) were used for transcriptome sequencing. Total RNA was extracted from the Artemia using TRIzol® Reagent (Sangon, Shanghai, China). Then, RNA quality was determined by 5300 Bioanalyser (Agilent, Santa Clara, CA, USA) and quantified using the ND-2000 (NanoDrop Technologies, Austin, TX USA). Only high-quality RNA sample (OD260/280 = 1.8~2.2, OD260/230 ≥ 2.0, RQN ≥ 6.5, 28S:18S ≥ 1.0, >1 μg) was used to construct sequencing library. RNA purification, reverse transcription, library construction and sequencing were performed at Shanghai Majorbio Bio-pharm Biotechnology Co., Ltd. (Shanghai, China) according to the manufacturer’s instructions. The Artemia RNA-seq transcriptome library was prepared following Illumina® Stranded mRNA Prep, Ligation (San Diego, CA, USA) using 1 μg of total RNA. Shortly, messenger RNA was isolated according to the polyA selection method by oligo (dT) beads and then fragmented by fragmentation buffer first. Secondly, double-stranded cDNA was synthesized using a SuperScript double-stranded cDNA synthesis kit (Invitrogen, Carlsbad, CA, USA) with random hexamer primers. Then, the synthesized cDNA was subjected to end-repair, phosphorylation and adapter addition according to the library construction protocol. Libraries were size-selected for cDNA target fragments of 300 bp on 2% Low Range Ultra Agarose followed by PCR amplified using Phusion DNA polymerase (NEB) for 15 PCR cycles. After quantified by Qubit 4.0, the sequencing library was performed on the NovaSeq X Plus platform (PE150) using the NovaSeq Reagent Kit (Illumina, San Diego, CA, USA).

2.6. De Novo Assembly, Function Annotation and Differential Expression Analysis

The raw paired-end reads were trimmed and quality-controlled by fastp [26] with default parameters. Then, the transcriptome de novo assembly of high-quality sequence read data was achieved with Trinity version 2.4.0 [27]. To increase the assembly quality, all the assembled sequences were filtered by CD-HIT [28] and TransRate [29] and assessed with BUSCO (Benchmarking Universal Single-Copy Orthologs https://busco.ezlab.org/ accessed on 1 October 2024) [30]. The Go, KEGG, eggNOG, NR, Swiss-Prot, and Pfam databases were then used to perform the gene annotation, using an E-value cut-off of 10−5. Differences in gene expressions of Artemia in HSHT_vs_HSLT, NSHT_vs_NSLT, LSHT_vs_LSLT, HSHT_vs_NSHT, HSLT_vs_NSLT, LSHT_vs_NSHT, and LSLT_vs_NSLT were calculated using DESeq under the criteria of FDR (false discovery rate) < 0.05 [31].

2.7. Quantitative Real-Time PCR (qRT-PCR) Verification

The expression level of seven DEGs was determined from groups of quantitative real-time PCR (qRT-PCR) to verify the results of RNA-seq. Three biological replicates were measured for each sample. Designing the primers was facilitated with the Primer5 software (Version 5.0), while β-actin served as the internal control (Table 1).

2.8. Statistical Analysis

The obtained data were expressed as Mean ± Standard Deviation. The statistical analysis was performed using an analysis of variance (SPSS 26.0) after exploring the normality and homogeneity of the data. Two-way ANOVA was used to test the interaction between salinity and temperature levels. Duncan’s new multiple-range test was used to compare the differences among different salinity or temperature treatments. Differences between treatments were considered significant when p < 0.05. The Venn diagram of differentially expressed genes (DEGs) was created by Origin 2024.

3. Results

3.1. Carotenoid in Diet (Spirulina sp.) and Artemia sinica (Adult)

The variety of carotenoids in the diet (Spirulina sp.) and A. sinica (adult) were detected by UPC2 (Figure 1). Compared with standard, β-Carotene (484.28 ± 8.87 μg/g) and Zeaxanthin (166.62 ± 3.95 μg/g) were detected in the diet (Spirulina sp.), but β-Cryptoxanthin, Echinenone, Canthaxanthin and Astaxanthin were not detected. In addition, four other unknown carotenoids were also detected in the diet. The total carotenoid content in the diet was 1139.28 ± 3.06 μg/g by spectrophotometer. In A. sinica (adult), only Echinenone and Canthaxanthin were detected, but no other carotenoids were detected.

3.2. Effects of Temperature and Salinity on Survival of Artemia sinica

Through two-way ANOVA (Table 2), temperature and salinity had significant effects on the survival rate of A. sinica in each period (p < 0.05), and there was a significant interaction between them (p < 0.05). On Day 5, the survival of all groups was above 90%, and the survival rate (90.7%) was the lowest at 10% and 30 °C. With the extension of culture time, the survival of A. sinica decreased, but the difference among groups increased. On Day 15, the survival first increased and then decreased with the increase in salinity, and the difference increased with the increase in temperature. In all groups, the best survival rate was 83.7% at 70‰ and 20 °C (p < 0.05) (Figure 2). In summary, A. sinica exhibits a high survival rate during the naupliar stage, with the optimal temperature range for adult survival at 20–25 °C and the salinity range of 30–90‰ proving conducive.

3.3. Effects of Temperature and Salinity on Growth Performance of Artemia sinica

Through two-way ANOVA (Table 3 and Table 4), temperature and salinity had significant effects on the growth performance (body length and special growth rate) of A. sinica in each period (p < 0.05), and there was a significant interaction between them (p < 0.05). During Phase I, most of the population was nauplius and had the highest specific growth rate. The specific growth rate and the body length at Day 5 increased with the increase in temperature, and increased first and then decreased with the increase in salinity. Under the 30‰ and 25 °C, the specific growth rate (56.5%) and the Day 5 body length (5.09 mm) were significantly larger than that of other groups (p < 0.05). During Phase II, most of the population was pre-adult, the body length increased, and the specific growth rate decreased. During Phase III, most of the population was adult, and some individuals began to mature sexually. In this phase, A. sinica in some groups with longer Day 10 body length did not grow, and the specific growth rate is close to 0%, such as the groups at 30 °C. For the groups at 20 °C, A. sinica had a shorter body length and still maintained a higher specific growth rate, especially at 10% and 70‰, which was significantly higher than the other groups (p < 0.05). There was no significant difference in the Day 15 body length of A. sinica between the 25 °C groups and the 30 °C groups at the salinity of 30–90‰ (p > 0.05), but it was significantly longer than that of the 20 °C groups (p < 0.05). In addition, the Day 15 body length at 30% salinity was significantly higher than that at other salinities (p < 0.05) (Figure 3 and Figure 4). In summary, high temperatures significantly accelerate the growth rate of A. sinica during the naupliar stages, resulting in larger adults. Conversely, high salinity somewhat inhibits the growth of A. sinica, and their individuals are particularly small under high-salinity and low-temperature conditions.

3.4. Effects of Temperature and Salinity on Sexual Maturation of Artemia sinica

Through two-way ANOVA (Table 5), temperature and salinity had significant effects on the female sexual maturity rate of A. sinica (p < 0.05), and there was a significant interaction between them (p < 0.05). At 20 °C, no sexually mature female individuals were observed in any salinity group; at 25–30 °C, the female sexual maturity rate increased with the increase in salinity. In addition, the female sexual maturity rate in the 25 °C group was significantly higher than that in the 30 °C group at 50–70‰ (p < 0.05) (Figure 5).

3.5. Effects of Temperature and Salinity on Carotenoids Accumulation of Artemia sinica

Through two-way ANOVA (Table 6), temperature and salinity had significant effects on the accumulation of Echinenone, Canthaxanthin, and total carotenoid of A. sinica (p < 0.05), and there was a significant interaction between them (p < 0.05). With the increase in salinity, the content of various carotenoids showed a decreasing trend, and with the increase in temperature, the contents of various carotenoids showed a first increasing and then decreasing trend. However, the effect of temperature decreases with the increase in salinity. It is worth noting that the content of Echinenone decreases with the increase in temperature when the salinity exceeds 30‰. In addition, the content of Echinenone (2.65 μg/g) was significantly lower than that in the other groups (p < 0.05) under 30 °C and 90‰, while under the 10‰ and 25 °C, the content of Canthaxanthin (38.64 μg/g) and total carotenoid (51.93 μg/g) were significantly higher than those in the other groups (p < 0.05) (Figure 6).

3.6. Transcriptome Analysis

A total of 112,011 transcripts were obtained from six groups of A. sinica reared under three salinity levels (low salinity: 10‰; normal salinity: 30‰; high salinity: 90‰) and two temperature levels (low temperature: 20 °C; high temperature: 30 °C). After removing low-quality reads, de novo assembly of transcripts resulted in 67,854 unigenes with an average length of 929.14 bp (Table 7). Detailed statistics of the transcriptome assembly are provided in Table 5. The length distribution of the unigenes was as follows: 200–500 bp (49%), 501–1000 bp (25%), 1000–1500 bp (10%), and >1500 bp (16%).
A total of 25.337 unigenes (37.34%) were successfully annotated by searching against the Go, KEGG, eggNOG, NR, Swiss-Prot, and Pfam databases. The NR database provided the highest number of gene annotations (23,526, 34.67%), followed by the EggNOG (19,742, 29.09%) and the GO databases (18,463, 27.21%). In addition, in the Pfam, Swiss-Port, and KEGG databases, 17,976 (26.49%), 17,052 (25.13%), and 15,575 (22.95%) unigenes were annotated, respectively (Table 8).
According to GO analysis, those unigenes were classified into 53 functional groups, including three categories: biological process (21 functional groups), cellular component (15 functional groups), and molecular function (17 functional groups). The most dominant terms presented in these three categories were “cellular process” (8078 unigenes), “cell part” (9495 unigenes), and “binding” (10,093 unigenes), respectively (Figure 7). In the EggNOG database, those unigenes were classified into 23 functional categories. The largest category was “Function unknown”, accounting for 45.43%, followed by “Posttranslational modification, protein turnover, chaperones” at 8.94%. The category with the lowest was “Nuclear structure”, which included only one unigene (Figure 8). In addition, KEGG pathways analysis showed those unigenes were classified into six categories, including “Cellular processes” (11.07%), “Environmental information processing” (10.10%), “Genetic information processing” (10.64%), “Human disease” (32.35%), “Metabolism” (13.90%), and “Organismal systems” (21.94%) (Figure 9).

3.7. Pathway Analysis of Regulatory Process of Artemia sinica Under High-Temperature Effect

The differential expression genes (DEGs) of A. sinica in three salinity conditions were analyzed with 20 °C as the control and 30 °C as the treatment, aiming to comprehend the regulatory process of Artemia under a high-temperature effect. The number of DEGs induced by high-temperature stress in high-salinity conditions (HSHT_vs_HSLT) was the highest, with a greater proportion of upregulated genes (5139) compared to downregulated genes (2275). The DEGs in low-salinity conditions (LSHT_vs_LSLT) were predominantly downregulated genes, totaling 3677, while only 1235 genes exhibited upregulation. In addition, the number of DEGs induced in normal salinity conditions (NSHT_vs_NSLT) was lowest, with 1357 upregulated genes and 2205 downregulated genes (Figure 10A). According to KEGG enrichment analysis, among the top 20 pathways in the three salinity conditions, DEGs induced by high temperatures were mainly enriched in metabolically related pathways, including oxidative phosphorylation, Glycolysis/Gluconeogenesis, amino acid metabolism, and glutathione metabolism (Figure 11A–C). Then, these DEGs were subjected to Venn diagram analysis (Figure 10B,C). A total of 608 DEGs were identified across all three salinity conditions, with 230 showing upregulation and 378 exhibiting downregulation. The KEGG analysis revealed that the upregulated DEGs were significantly enriched only in “Ferroptosis”, while other DEGs exhibited major enrichment in diverse metabolically-related pathways, including “Valine, leucine, and isoleucine degradation”, “Citrate cycle (TCA cycle)”, “Steroid biosynthesis”, “Butanoate metabolism”, “Fatty acid elongation”, “Fatty acid degradation” and “Glycolysis/Gluconeogenesis” (Figure 11D). In order to gain a more comprehensive understanding of the response of Artemia to temperature fluctuations, an analysis was conducted on the variations in gene expression within these pathways (Figure 12).

3.8. Pathway Analysis of Regulatory Process of Artemia sinica Under Low Salinity Stress

The differential expression genes (DEGs) of A. sinica in two temperature conditions were analyzed with 30‰ as the control and 10‰ as the treatment, aiming to comprehend the regulatory process of Artemia under low-salinity stress. Under high-temperature conditions (LSHT_vs_NSHT), there were 384 DEGs produced by low-salinity stress, comprising 100 upregulated and 284 downregulated DEGs. Under low-temperature conditions (LSLT_vs_NSLT), more DEGs (1220) were produced, comprising 748 upregulated and 472 downregulated (Figure 13A). Then, these DEGs were subjected to Venn diagram analysis (Figure 13B,C). The results indicate that the DEGs from the two temperature conditions are different, with only 40 common DEGs observed (23 upregulated and 17 downregulated). According to the KEGG enrichment analysis, these common DEGs are predominantly enriched in the lysosome, oxidative phosphorylation, thermogenesis, cardiac muscle contraction, cholesterol metabolism, arginine biosynthesis, and other relevant pathways (Figure 14C). In addition, the DEGs from LSHT_vs_NSHT are most concentrated in the pathways related to ribosomes (Figure 14A). Differently, the DEGS from LSLT_vs_NSLT were also significantly enriched in pathways related to ECM-receptor interaction, vitamin digestion and absorption, PI3K-Akt signaling pathway, renin-angiotensin system, mineral absorption, and other relevant pathways. In order to gain a more comprehensive understanding of the response of Artemia to salinity fluctuations, an analysis was conducted on the variations in gene expression within these pathways (Figure 15).

3.9. Pathway Analysis of Regulatory Process of Artemia sinica Under High Salinity Stress

The differential expression genes (DEGs) of A. sinica in two temperature conditions were analyzed with 90‰ as the control and 10‰ as the treatment, aiming to comprehend the regulatory process of Artemia under high-salinity stress. Under high-temperature conditions (HSHT_vs_NSHT), a large number of upregulated DEGs (15519) and 4510 downregulated DEGs were produced under high-salinity stress. Under low-temperature conditions (HSLT_vs_NSLT), there were 18,491 DEGs, comprising 9031 upregulated and 9460 downregulated (Figure 16A). Then, these DEGs were subjected to Venn diagram analysis (Figure 16B,C). A total of 10,433 DEGs were identified across two temperature conditions, with 7501 showing upregulation and 2932 exhibiting downregulation. According to KEGG enrichment analysis, these common DEGs are predominantly enriched in cardiac muscle contraction, adrenergic signaling in cardiomyocytes, ECM-receptor interaction, PI3K-Akt signaling pathway, cAMP signaling pathway, oxidative phosphorylation, and other relevant pathways (Figure 17). To gain a more comprehensive understanding of the response of Artemia to low-salinity fluctuations, an analysis was conducted on the variations in gene expression within these pathways (Figure 18).

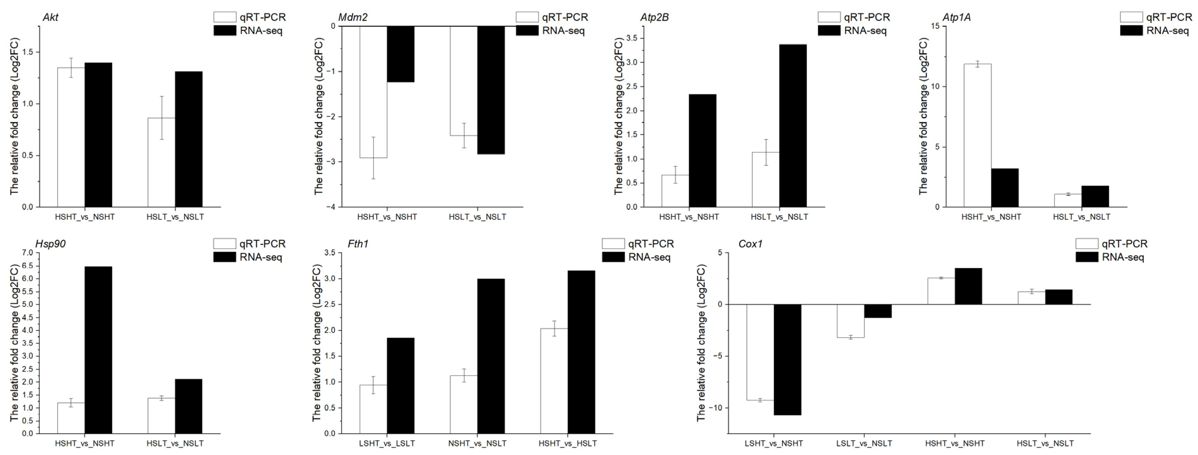
3.10. qRT-PCR Validation

Seven DEGs were randomly selected from all groups for validation by qRT-PCR (Figure 19). The qPCR results exhibited consistent expression patterns with those obtained from RNA-seq analysis. This confirmed the accuracy and reliability of the RNA-seq experiments.

4. Discussion

The environmental factors have a significant impact on the growth, survival, and sexual maturation of Artemia [6,32,33]. Artemia exhibits remarkable adaptability to variations in temperature and salinity. Extensive research has demonstrated their ability to survive within a temperature range of 12–34 °C [10,34] and a salinity range of 2.5–260‰ [6]. Although Artemia can endure high-salt environments, its survival is not attributed to the suitability of such conditions for brine beetle growth; rather, it is driven by the necessity to evade predators in low-salt habitats. Triantaphyllidis et al. observed a non-linear relationship between Artemia survival rate and salinity, with the highest survival rate occurring at 60‰ salinity [32]. The present study showed similar results, with the highest survival rate of Artemia sinica in Bohai Sea Gulf occurring within the range of 30–70‰ salinity.
However, other studies have reported A. sinica survival rates exceeding 90% at 90‰ salinity, which may be attributed to varying ranges of salt tolerance among different strains. Several studies have indicated that A. sinica requires increased energy expenditure to maintain internal osmotic pressure balance in both high-salinity and low-salinity environments [32,35,36]. Within the salinity range of 5–120‰, the body length of A. sinica initially increases and then decreases with increasing salinity [35]. In this study, optimal growth performance was observed in Artemia under a salinity condition of 30‰. It is postulated that 30‰ salinity represents the optimum level for A. sinica growth, enabling them to allocate more energy towards their developmental processes.
To further elucidate the adaptation process of A. sinica to high-salinity and low-salinity environments, the transcriptome analysis revealed a significantly higher number of differentially expressed genes in the high-salinity group compared to the low-salinity group. This observation underscores the profound impact of high salinity on Artemia, surpassing that of low salinity. In high-salinity environments, a substantial number of upregulated DEGs were enriched in pathways associated with osmotic regulation and energy metabolism, including Atp1a encoding Na+-K+ transport ATPase and Atp2a encoding Ca2+ transport ATPase. The Na+-K+ pump and calcium pump play a crucial role in maintaining osmolality balance [37,38]. Farhadi et al. reported significant upregulation of Atp1a and Atp2a in Litopenaeus vannamei under high-salinity conditions [39]. Li et al. also demonstrated the close relationship between Atp1a and osmolality regulation in silverfish (Argyrosomus japonicus) [40]. ATP is required for ion transport by ion pump [41]. Therefore, enhanced regulation of osmotic pressure is often accompanied by enhanced aerobic respiration. Aerobic respiration is intricately linked to the oxidative phosphorylation pathway, wherein a complex comprising cytochrome c oxidase (encoded by Cox), succinate dehydrogenase (encoded by Sdha), and NADH dehydrogenase (encoded by Nd2) is localized on the inner mitochondrial membrane [42]. The complex facilitates the transport of electrons and H+, enables oxygen utilization, promotes water production, and generates ATP to provide energy for cellular activities [43]. In this study, DEGs associated with ion transport, such as Atp1a and Atp2a, exhibited significant upregulation in a high-salinity environment. Additionally, genes involved in the oxidative phosphorylation pathway, including Cox1/3, Nd1, CYTB, and NDUFA5, were also significantly upregulated.
Conversely, in a low-salinity environment, no genes directly related to ion transport were identified; however, genes linked to the oxidative phosphorylation pathway, like Cox1 and Nd2, displayed significant downregulation. This also suggests that the adaptation process of Artemia in response to high-salinity and low-salinity environments differs. In high-salinity environments, A. sinica relies more on active transport mechanisms to achieve internal osmotic pressure balance, necessitating increased energy expenditure and ion transport proteins for osmotic pressure regulation. Conversely, in low-salinity environments, Artemia does not require additional energy to enhance its ability for osmotic pressure regulation; it is postulated that osmotic pressure regulation may be achieved through passive diffusion. Additionally, this study also observed a significant downregulation of DEGs associated with ribosomal subunits, such as RPL13A and RPL14, in low-salinity environments. This suggests an inhibition of ribosomal function and impaired protein translation, potentially contributing to the increased mortality of Artemia in such conditions. In the high-salinity environment, a substantial number of DEGs were found to be enriched in genes associated with cell necroptosis, suggesting that high salinity may induce cellular damage in Artemia.
Furthermore, under high-salinity conditions, 61 significantly upregulated genes were enriched in the PI3K-Akt signaling pathway, which plays a crucial role in biological processes such as cell growth, metabolism, and survival [44,45]. Among them, HSP90 facilitates Akt expression and forms a complex with Akt that can repair damaged cells [45]. In this study, the upregulation of Hsp90 and Akt in Artemia under high-salinity conditions may represent a protective mechanism against cellular damage induced by high salinity.
In addition, salinity also affects the sexual maturation of the Artemia. An appropriate increase in salinity can shorten the pre-reproductive period of Artemia [8], but excessive salinity will inhibit sexual maturation [6]. The study conducted by George et al. revealed an increase in the proportion of sexually mature female Artemia with increasing salinity within the range of 35–180‰ [32]. Wear et al. observed a prolonged pre-reproductive period of Artemia when exposed to salinities exceeding 200‰ [6]. The suitable salinity range for sexual maturation of different Artemia exhibited slight variations [46]. In this study, a significant increase in the proportion of sexually mature female brine shrimp was observed with the rise in salinity. This observation could be attributed to the experimental maximum salinity level of 90‰, which still fell within the appropriate range for sexual maturation. Arginine catalyzes the production of nitric oxide (NO) through the action of nitric oxide synthase (NOS), thereby facilitating the secretion of GnRH and luteinizing hormone-releasing hormone (LHRH) and regulating pituitary gonadotropin release [47,48]. In crustaceans, NO modulates the expression of ecdysone-inhibiting hormone (MIH) by controlling cGMP-activated protein kinase as a second messenger, while MIH promotes yolk protein synthesis [49,50]. Hence, in vivo, the regulation of arginine and NO plays a pivotal role in sexual maturation. In the transcriptome analysis, this study observed that NOS1 and other genes in the arginine biosynthesis pathway exhibited upregulation under low-salinity conditions and downregulation under high-salinity conditions, consistent with previous findings in Exopalaemon carinicauda [51]. This suggests a potential involvement of arginine regulation in the effect of salinity on sexual maturation, necessitating further investigation into the underlying mechanisms.
Temperature also plays a pivotal role in regulating the growth, development, and sexual maturation of crustaceans. Within an optimal temperature range, elevated temperatures augment the activity of digestive enzymes and metabolic rate in crustaceans, thereby facilitating their digestion, absorption, and utilization of nutrients to promote their growth and development [52]. In this study, A. sinica demonstrated optimal growth performance within the temperature range of 25–30 °C; however, their survival rate significantly declined at 30 °C compared to temperatures ranging from 20–25 °C. Temperature increases can induce oxidative stress, accumulation of reactive oxygen species (ROS), and apoptosis in crustaceans [53,54].
Furthermore, several studies have reported that elevated temperatures can suppress immune enzyme activity in crustaceans, leading to compromised immunity and reduced stress resistance [55,56]. Through further transcriptome analysis, this study observed varying degrees of downregulation in key enzyme genes involved in the oxidative phosphorylation pathway under high-temperature conditions. These included NADH dehydrogenase subunits (NDUFC2, NDUFB5/10/11, and NDUFA1/4/5/12), cytochrome c oxidase subunits (COX6B/7C/15), and succinate dehydrogenase iron-sulfur subunits (SDHB). Additionally, downregulation was also observed in subunits of V-type and F-type H+-transporting ATPases (ATPeV0B, ATPeF1B). Furthermore, a downregulation of genes was observed in pathways associated with carbohydrate metabolism, fatty acid metabolism, and amino acid metabolism. This may be attributed to differences in growth stages between the two temperatures. At the end of cultivation at 20 °C, brine shrimps are still sexually immature and maintain a high specific growth rate. In contrast, most brine shrimps reach their maximum body length after ten days at 30 °C with no significant changes thereafter, and some become sexually mature by the end of cultivation. Typically, crustaceans experience a decline in basal metabolism during the late stage [57,58]. This suggests that higher temperatures accelerate the progression of Artemia to later growth stages.
However, a significant upregulation of genes is involved in glutathione metabolism (CTH, CBS, GGCT, GPX). Glutathione, an antioxidant, plays a pivotal role in safeguarding cells against oxidative damage [59]. Gpx4-encoded glutathione peroxidase 4 serves as an antioxidant defense enzyme that protects mitochondrial ATP generation from inhibition caused by oxidative stress maintains ROS balance, and prevents cell necroptosis [60]. The upregulation of these genes indirectly suggests an elevation in oxidation levels within Artemia exposed to high-temperature environments. Furthermore, a substantial number of genes related to ferroptosis and the MAPK signaling pathway (FTH1, SLC40A1, SAT, HSP70, HSP90, and MKNK) also exhibit significant upregulation. Ferroptosis is a form of cell death triggered by the accumulation of lipid peroxides in the membrane system [61], which is closely associated with growth, oxidative stress, and immunity [62]. In the ferroptosis pathway, Fth1 plays a crucial role in encoding ferritin to stabilize p53 and establish interactions with it. Additionally, it activates genes related to cell cycle arrest as a countermeasure against oxidative stress [63]. Upregulation of Fth1 can effectively inhibit cell necroptosis and apoptosis by suppressing reactive oxygen species [64]. Previous studies have reported that high-temperature stress upregulates the expression of Fth1 in rainbow trout [65], which aligns well with the findings in this study. This observation may be linked to the protective mechanism against high-temperature-induced ferroptosis in A. sinica. Further research will be conducted to investigate the specific mechanisms behind this effect.
In addition, the sexual maturation of crustaceans is related to effective accumulated temperature. A suitable increase in temperature can shorten the pre-reproductive period and stimulate early egg-laying in female individuals [46]. In this study, no sexually mature female A. sinica was observed at 20 °C after 15 days of cultivation, while there was no significant difference in the proportion of ovigerous females among groups at temperatures ranging from 25–30 °C. This observation suggests that a cumulative effective temperature for Artemia reproduction was not achieved within 15 days at 20 °C. Additionally, some scholars argue that this may be an adaptive response by Artemia to high temperatures; their life cycle is shortened, and they need to produce a large number of offspring within a short timeframe to ensure population stability [32]. Therefore, it can be concluded that a temperature range between 25–30 °C is considered appropriate for both growth and reproduction of A. sinica.
It is generally believed that Carotenoids cannot be synthesized by crustaceans and thus must be obtained from food and stored in the body after simple modification through metabolic mechanisms [16]. According to existing research reports, the primary carotenoids accumulated in crustaceans include β-carotene, β-cryptoxanthin, echinenone, canthaxanthin, zeaxanthin, astaxanthin, etc. [66]. Analysis of carotenoid composition in Artemia and feed by UPC2 revealed that echinenone and canthaxanthin were the main carotenoids accumulated in Artemia, while β-carotene and zeaxanthin from the feed were not retained. Notably, β-carotene serves as a precursor substance during the biosynthesis process of echinenone and canthaxanthin [67]. Therefore, it is speculated that upon absorption of β-carotene from the feed by Artemia, a portion undergoes conversion into echinenone and canthaxanthin for accumulation while other carotenoids are metabolized or decomposed without accumulation.
Additionally, temperature and salinity also influence carotenoid content in A. sinica. In this study, total carotenoid content decreased with increasing salinity, and consistent trends were observed for echinenone and canthaxanthin levels. This may be because, with the increase in salinity, the oxidative stress of the organism is enhanced, ROS accumulates in the body [68], and carotenoids in the body are consumed in large quantities as free radical scavengers to remove ROS [69]. This is consistent with the upregulation of genes involved in reactive oxygen species-related pathways, such as SOD2, CAT, and NF-κB1, as observed in the transcriptome analysis conducted under high-salt conditions. In addition, the DEGs associated with retinol synthesis (SDR16C5, RDH13, DGAT1, DHRS4) and retinol degradation (UGT) were significantly upregulated in a high-salinity environment. Similar results were reported by Lee et al., indicating that genes associated with retinol metabolism in Artemia (BCMO1, BCDO1, ninaB) were upregulated under high-salinity conditions [70]. This suggests that high salinity promotes the enhancement of retinol metabolism. In addition, a carotenoid is a precursor to retinol [15]; it also implies that high salinity enhances the catabolism of carotenoids in A. sinica. Interestingly, though, at higher temperatures, there was an initial increase followed by a decrease in total carotenoid content within brine shrimp; this trend was mirrored by canthaxanthin levels but differed for echinenone, which showed a downward trend. Under the conditions of 20 °C, the A. sinica exhibited a relatively slow overall growth rate and smaller individual size. Consequently, their capacity to absorb and accumulate carotenoids was inhibited. As the temperature increased, the growth of A. sinica became more vigorous, resulting in larger individuals with an enhanced ability to absorb and accumulate carotenoids. However, at 30 °C, due to potential heightened oxidative stress challenges, more carotenoids were consumed as a defense mechanism against ROS generation. This led to a decrease in the accumulated carotenoid content within their bodies, which corresponded with a decline in survival rates of A. sinica in high-temperature environments. As an intermediate product of canthaxanthin synthesis [67], the content of echinenone in the A. sinica decreased with the increase in temperature, which may be due to the increase in temperature making more use of the metabolism and transformation of echinenone into canthaxanthin in the body, resulting in the decrease in echinenone accumulation in A. sinica. As the metabolic modification mechanism of carotenoids in crustaceans remains uncertain, there is a need for further investigation into how temperature and salinity impact the accumulation of carotenoids in Artemia.
In summary, during the nauplius stage, Artemia exhibit a higher survival rate compared to later cultivation stages, with environmental factors having a relatively minor impact. High salinity compels Artemia to use more energy for osmotic balance rather than growth, whereas higher temperatures significantly enhance their growth rate. Thus, in the early cultivation stage, maintaining high temperatures and low salinity (30 °C and 30‰) is recommended. In contrast, the later stages of cultivation should avoid prolonged high temperatures to prevent oxidative stress and a weakened immune system, which can reduce survival rates. To preserve adult Artemia, it is effective to lower the temperature and increase the salinity. Practically, Artemia cultivation should be divided into two stages: early cultivation (before day 10) should utilize high temperatures and low salinity (30 °C, 30‰) while transitioning to low temperatures and high salinity (20 °C, 90‰) in later stages. This two-stage strategy promotes rapid growth and enhances survival, thus boosting overall production yield. This cultivation method is based on the findings of this study, which were obtained under laboratory conditions rather than production settings. Therefore, practical applications should be adjusted according to specific circumstances.

5. Conclusions

In this study, the optimal survival and growth conditions of Artemia sinica (Bohai Sea Gulf) were determined to be a temperature range of 25–30 °C and a salinity range of 30–50‰. Both temperature and salinity significantly influenced the growth, survival, and sexual maturity of A. sinica, with a significant interaction observed. High temperatures accelerated growth and sexual maturity at the expense of survival rates, while temperatures below 20 °C prevented ovigerous development. Extreme salinity levels negatively affected survival and growth, though high salinity promoted sexual maturity. Based on these findings, a two-stage cultivation strategy is recommended to maximize Artemia production: During the early stage of cultivation (before day 10), the A. sinica are grown under high-temperature and low-salinity conditions (30 °C, 30‰) to ensure rapid growth. In the later stage, the environment is shifted to low-temperature and high-salinity conditions (20 °C, 90‰) to ensure survival. Carotenoids in brine shrimp mainly accumulate as echinenone and canthaxanthin forms. Carotenoid accumulation decreased with increased temperature and salinity, and the temperature effect decreased with rising salinity. Brine shrimp cultivated at a salinity of 10‰ and a temperature of 25 °C exhibit the highest carotenoid content. Transcriptome analysis demonstrated differential adaptations of brine shrimp to high-salinity versus low-salinity environments, with higher sensitivity towards high-salinity stress compared to low-salinity stress. In a high-salinity environment, active transport played a crucial role in maintaining internal osmotic pressure balance, whereas in a low-salinity environment, ribosome-related gene expression was downregulated, potentially inhibiting its function. Furthermore, it was found that elevated temperatures facilitated ferroptosis induction in Artemia cells. This study provides preliminary insights into the adaptation mechanism and carotenoid accumulation of Artemia in response to varying salinity and temperature, which could be helpful for understanding environmental adaptation mechanisms and the high-quality culture of Artemia.

Author Contributions

Conceptualization, X.H. and Y.X.; methodology, H.S. and Y.X.; validation, H.S. and G.J.; formal analysis, H.S., Y.X. and G.J.; investigation, H.S.; data curation, Y.X.; writing—original draft preparation, Y.X.; writing—review and editing, W.W. and X.H.; visualization, Y.X.; funding acquisition, X.H. All authors have read and agreed to the published version of the manuscript.

Funding

Shanghai Agriculture Applied Technology Development Program, China (2021-02-08-00-12-F00761); National Key Research and Development Program of China (2022YFE0203900).

Institutional Review Board Statement

The animal study protocol was approved by the EU Directive 2010/63/EU for animal experimentation. Approval was also granted from the ethical guidelines of Shanghai Ocean University (SHOU-DW-2019-013) for the handling and utilization of experimental animals in the course of the experimental protocols.

Informed Consent Statement

Not applicable.

Data Availability Statement

Data are contained within the article.

Acknowledgments

We are especially grateful to Huicong Chen, Ya Zhang, and Liangliang Mu for polishing the language of this article.

Conflicts of Interest

The authors declare no conflicts of interest.

References

  1. Asaduzzaman, M.; Kader, M.A.; Bulbul, M.; Abol-Munafi, A.B.; Ghaffer, M.A.; Verdegem, M. Biochemical composition and growth performances of Malaysian Mahseer Tor. tambroides larvae fed with live and formulated feeds in indoor nursery rearing system. Aquac. Rep. 2016, 4, 156–163. [Google Scholar] [CrossRef]
  2. Wang, Y.-Y.; Liang, X.-F.; He, S.; Tang, S.-L.; Peng, D. The potential use of Artemia for larval rearing of mandarin fish (Siniperca chuatsi). Aquac. Rep. 2022, 25, 101216. [Google Scholar] [CrossRef]
  3. Lavens, P.; Sorgeloos, P. The history, present status and prospects of the availability of Artemia cysts for aquaculture. Aquaculture 2000, 181, 397–403. [Google Scholar] [CrossRef]
  4. Sorgeloos, P.; Dhert, P.; Candreva, P. Use of the brine shrimp, Artemia spp., in marine fish larviculture. Aquaculture 2001, 200, 147–159. [Google Scholar] [CrossRef]
  5. Figueiredo, J.; van Woesik, R.; Lin, J.; Narciso, L. Artemia franciscana enrichment model—How to keep them small, rich and alive? Aquaculture 2009, 294, 212–220. [Google Scholar] [CrossRef]
  6. Wear, R.G.; Haslett, S.J.; Alexander, N.L. Effects of temperature and salinity on the biology of Artemia fransiscana Kellogg from Lake Grassmere, New Zealand. 2. Maturation, fecundity, and generation times. J. Exp. Mar. Biol. Ecol. 1986, 98, 167–183. [Google Scholar] [CrossRef]
  7. Conceição, L.E.C.; Aragão, C.; Richard, N.; Engrola, S.; Gavaia, P.; Mira, S.; Dias, J. Novel methodologies in marine fish larval nutrition. Fish. Physiol. Biochem. 2010, 36, 1–16. [Google Scholar] [CrossRef]
  8. Abatzopoulos, T.J.; El-Bermawi, N.; Vasdekis, C.; Baxevanis, A.D.; Sorgeloos, P. Effects of salinity and temperature on reproductive and life span characteristics of clonal Artemia. (International Study on Artemia. LXVI). Hydrobiologia 2003, 492, 191–199. [Google Scholar] [CrossRef]
  9. Baxevanis, A.D.; El-Bermawi, N.; Abatzopoulos, T.J.; Sorgeloos, P. Salinity effects on maturation, reproductive and life span characteristics of four Egyptian Artemia populations (International Study on Artemia. LXVIII). Hydrobiologia 2004, 513, 87–100. [Google Scholar] [CrossRef]
  10. Medina, G.R.; Goenaga, J.; Hontoria, F.; Cohen, G.; Amat, F. Effects of temperature and salinity on prereproductive life span and reproductive traits of two species of Artemia (Branchiopoda, Anostraca) from Argentina: Artemia franciscana and A. persimilis. Hydrobiologia 2007, 579, 41–53. [Google Scholar] [CrossRef]
  11. Zadehmohseni, B.; Zakeri, M.; Yavari, V.; Haghi, M. Effects of different salinities on amino acid profile in Artemia franciscana. Aquac. Res. 2020, 51, 3443–3451. [Google Scholar] [CrossRef]
  12. Galasso, C.; Corinaldesi, C.; Sansone, C. Carotenoids from Marine Organisms: Biological Functions and Industrial Applications. Antioxidants 2017, 6, 96. [Google Scholar] [CrossRef]
  13. Krinsky, N.I. Actions of carotenoids in biological systems. Annu. Rev. Nutr. 1993, 13, 561–587. [Google Scholar] [CrossRef]
  14. Simpson, K.L.; Chichester, C.O. Metabolism and nutritional significance of carotenoids. Annu. Rev. Nutr. 1981, 1, 351–374. [Google Scholar] [CrossRef]
  15. Hinds, T.S.; West, W.L.; Knight, E.M. Carotenoids and retinoids: A review of research, clinical, and public health applications. J. Clin. Pharmacol. 1997, 37, 551–558. [Google Scholar] [CrossRef]
  16. Wade, N.M.; Gabaudan, J.; Glencross, B.D. A review of carotenoid utilisation and function in crustacean aquaculture. Rev. Aquac. 2017, 9, 141–156. [Google Scholar] [CrossRef]
  17. Ruehl, R. Effects of dietary retinoids and carotenoids on immune development. Proc. Nutr. Soc. 2007, 66, 458–469. [Google Scholar] [CrossRef]
  18. Petit, H.; NegreSadargues, G.; Castillo, R.; Trilles, J.P. The effects of dietary astaxanthin on growth and moulting cycle of postlarval stages of the prawn, Penaeus japonicus (Crustacea, Decapoda). Comp. Biochem. Physiol. A-Physiol. 1997, 117, 539–544. [Google Scholar] [CrossRef]
  19. Tomas, A.L.; Sganga, D.E.; Marciano, A.; Greco, L.S.L. Effect of diets on carotenoid content, body coloration, biochemical composition and spermatophore quality in the “red cherry” shrimp Neocaridina davidi (Caridea, Atyidae). Aquac. Nutr. 2020, 26, 1198–1210. [Google Scholar] [CrossRef]
  20. Lim, K.C.; Yusoff, F.M.; Karim, M.; Natrah, F.M.I. Carotenoids modulate stress tolerance and immune responses in aquatic animals. Rev. Aquac. 2023, 15, 872–894. [Google Scholar] [CrossRef]
  21. Goodwin, T.W. Metabolism, nutrition, and function of carotenoids. Annu. Rev. Nutr. 1986, 6, 273–297. [Google Scholar] [CrossRef]
  22. Maoka, T. Carotenoids in Marine Animals. Mar. Drugs 2011, 9, 278–293. [Google Scholar] [CrossRef]
  23. Reshma, R.; Chitra Devi, K.; Dinesh Kumar, S.; Santhanam, P.; Perumal, P.; Krishnaveni, N.; Begum, A.; Pragnya, M.; Arthikha, R.; Dhanalakshmi, B.; et al. Enhancement of pigments production in the green microalga Dunaliella salina (PSBDU05) under optimized culture condition. Bioresour. Technol. Rep. 2021, 14, 100672. [Google Scholar] [CrossRef]
  24. Guyon, J.B.; Vergé, V.; Schatt, P.; Lozano, J.C.; Liennard, M.; Bouget, F.Y. Comparative Analysis of Culture Conditions for the Optimization of Carotenoid Production in Several Strains of the Picoeukaryote Ostreococcus. Mar. Drugs 2018, 16, 76. [Google Scholar] [CrossRef]
  25. Paliwal, C.; Pancha, I.; Ghosh, T.; Maurya, R.; Chokshi, K.; Bharadwaj, S.V.V.; Ram, S.; Mishra, S. Selective carotenoid accumulation by varying nutrient media and salinity in Synechocystis sp. CCNM 2501. Bioresour. Technol 2015, 197, 363–368. [Google Scholar] [CrossRef]
  26. Chen, S.; Zhou, Y.; Chen, Y.; Gu, J. fastp: An ultra-fast all-in-one FASTQ preprocessor. Bioinformatics 2018, 34, 884–890. [Google Scholar] [CrossRef]
  27. Grabherr, M.G.; Haas, B.J.; Yassour, M.; Levin, J.Z.; Thompson, D.A.; Amit, I.; Adiconis, X.; Fan, L.; Raychowdhury, R.; Zeng, Q.; et al. Full-length transcriptome assembly from RNA-Seq data without a reference genome. Nat. Biotechnol. 2011, 29, 644–652. [Google Scholar] [CrossRef]
  28. Fu, L.; Niu, B.; Zhu, Z.; Wu, S.; Li, W. CD-HIT: Accelerated for clustering the next-generation sequencing data. Bioinformatics 2012, 28, 3150–3152. [Google Scholar] [CrossRef]
  29. Smith-Unna, R.; Boursnell, C.; Patro, R.; Hibberd, J.M.; Kelly, S. TransRate: Reference-free quality assessment of de novo transcriptome assemblies. Genome Res. 2016, 26, 1134–1144. [Google Scholar] [CrossRef]
  30. Manni, M.; Berkeley, M.R.; Seppey, M.; Simao, F.A.; Zdobnov, E.M. BUSCO Update: Novel and Streamlined Workflows along with Broader and Deeper Phylogenetic Coverage for Scoring of Eukaryotic, Prokaryotic, and Viral Genomes. Mol. Biol. Evol. 2021, 38, 4647–4654. [Google Scholar] [CrossRef]
  31. Kwong, K.S.; Holland, B.; Cheung, S.H. A modified Benjamini–Hochberg multiple comparisons procedure for controlling the false discovery rate. J. Stat. Plan. Inference 2002, 104, 351–362. [Google Scholar] [CrossRef]
  32. Triantaphyllidis, G.V.; Poulopoulou, K.; Abatzopoulos, T.J.; Pérez, C.A.P.; Sorgeloos, P. International study on Artemia XLIX. Salinity effects on survival, maturity, growth, biometrics, reproductive and lifespan characteristics of a bisexual and a parthenogenetic population of Artemia. Hydrobiologia 1995, 302, 215–227. [Google Scholar] [CrossRef]
  33. Thangal, S.H.; Nivetha, M.; Muttharasi, C.; Anandhan, K.; Muralisankar, T. Effects of acidified seawater on biological and physiological responses of Artemia franciscana. Mar. Pollut. Bull. 2021, 169, 112476. [Google Scholar] [CrossRef] [PubMed]
  34. Saygi, Y.B.; Demirkalp, F.Y. Effects of temperature on survival and growth of Artemia from Tuz Lake, Turkey. Isr. J. Aquac.-Bamidgeh 2002, 54, 125–133. [Google Scholar] [CrossRef]
  35. Vanhaecke, P.; Siddall, S.E.; Sorgeloos, P. International study on Artemia. XXXII. Combined effects of temperature and salinity on the survival of Artemia of various geographical origin. J. Exp. Mar. Biol. Ecol. 1984, 80, 259–275. [Google Scholar] [CrossRef]
  36. De Vos, S.; Van Stappen, G.; Sorgeloos, P.; Vuylsteke, M.; Rombauts, S.; Bossier, P. Identification of salt stress response genes using the Artemia transcriptome. Aquaculture 2019, 500, 305–314. [Google Scholar] [CrossRef]
  37. Towle, D.W. Regulatory Functions of Na++K+-ATPase in Marine and Estuarine Animals. In Osmoregulation in Estuarine and Marine Animals, Proceedings of the Invited Lectures to a Symposium Organized Within the 5th Conference of the European Society for Comparative Physiology and Biochemistry-Taormina, Sicily, Italy, 5–8 September 1983; Pequeux, A., Gilles, R., Bolis, L., Eds.; Springer: Berlin/Heidelberg, Germany, 1984; pp. 157–170. [Google Scholar]
  38. Hu, D.X.; Pan, L.Q.; Zhao, Q.; Ren, Q. Transcriptomic response to low salinity stress in gills of the Pacific white shrimp, Litopenaeus vannamei. Mar. Genom. 2015, 24, 297–304. [Google Scholar] [CrossRef]
  39. Farhadi, A.; Liu, Y.; Xu, C.; Han, T.; Wang, X.D.; Li, E.C. Evidence from transcriptome analysis unravelled the roles of eyestalk in salinity adaptation in Pacific white shrimp (Litopenaeus vannamei). General. Comp. Endocrinol. 2022, 329, 114120. [Google Scholar] [CrossRef]
  40. Li, Z.J.; Gao, T.X.; Han, Z.Q. RNA-seq and Analysis of Argyrosomus japonicus Under Different Salinities. Front. Mar. Sci. 2021, 8, 14. [Google Scholar] [CrossRef]
  41. Cereijido, M.; Shoshani, L.; Contreras, R.G. The polarized distribution of Na+, K+-ATPase and active transport across epithelia. J. Membr. Biol. 2001, 184, 299–304. [Google Scholar] [CrossRef]
  42. Bose, S.R. Location of enzymes in mitochondria fractions. Nature 1955, 176, 122–123. [Google Scholar] [CrossRef] [PubMed]
  43. Rodriguez-Armenta, C.; Uribe-Carvajal, S.; Rosas-Lemus, M.; Chiquete-Felix, N.; Huerta-Ocampo, J.A.; Muhlia-Almazan, A. Alternative mitochondrial respiratory chains from two crustaceans: Artemia franciscana nauplii and the white shrimp, Litopenaeus vannamei. J. Bioenerg. Biomembr. 2018, 50, 143–152. [Google Scholar] [CrossRef] [PubMed]
  44. Kampa-Schittenhelm, K.M.; Heinrich, M.C.; Akmut, F.; Rasp, K.H.; Illing, B.; Döhner, H.; Döhner, K.; Schittenhelm, M.M. Cell cycle-dependent activity of the novel dual PI3K-MTORC1/2 inhibitor NVP-BGT226 in acute leukemia. Mol. Cancer 2013, 12, 18. [Google Scholar] [CrossRef]
  45. Cui, W.X.; Ma, A.J.; Wang, X.N. Response of the PI3K-AKT signalling pathway to low salinity and the effect of its inhibition mediated by wortmannin on ion channels in turbot Scophthalmus maximus. Aquac. Res. 2020, 51, 2676–2686. [Google Scholar] [CrossRef]
  46. Browne, R.A.; Wanigasekera, G. Combined effects of salinity and temperature on survival and reproduction of five species of Artemia. J. Exp. Mar. Biol. Ecol. 2000, 244, 29–44. [Google Scholar] [CrossRef]
  47. Rettori, V.; McCann, S.M. Role of nitric oxide and alcohol on gonadotropin release in vitro and in vivo. Ann. N. Y. Acad. Sci. 1998, 840, 185–193. [Google Scholar] [CrossRef]
  48. Lopez, F.J.; Moretto, M.; Merchenthaler, I.; NegroVilar, A. Nitric oxide is involved in the genesis of pulsatile LHRH secretion from immortalized LHRH neurons. J. Neuroendocrinol. 1997, 9, 647–654. [Google Scholar] [CrossRef]
  49. Kim, H.W.; Batista, L.A.; Hoppes, J.L.; Lee, K.J.; Mykles, D.L. A crustacean nitric oxide synthase expressed in nerve ganglia, Y-organ, gill and gonad of the tropical land crab, Gecarcinus lateralis. J. Exp. Biol. 2004, 207, 2845–2857. [Google Scholar] [CrossRef][Green Version]
  50. Jayasankar, V.; Tomy, S.; Wilder, M.N. Insights on Molecular Mechanisms of Ovarian Development in Decapod Crustacea: Focus on Vitellogenesis-Stimulating Factors and Pathways. Front. Endocrinol. 2020, 11, 18. [Google Scholar] [CrossRef]
  51. Zhang, X.H.; Wang, J.J.; Wang, C.W.; Li, W.Y.; Ge, Q.Q.; Qin, Z.; Li, J.; Li, J.T. The Responses of the Ovary and Eyestalk in Exopalaemon carinicauda under Low Salinity Stress. Fishes 2022, 7, 365. [Google Scholar] [CrossRef]
  52. Wyban, J.; Walsh, W.A.; Godin, D.M. Temperature effects on growth, feeding rate and feed conversion of the Pacific white shrimp (Penaeus vannamei). Aquaculture 1995, 138, 267–279. [Google Scholar] [CrossRef]
  53. Bone, J.W.P.; Renshaw, G.M.C.; Furse, J.M.; Wild, C.H. Using biochemical markers to assess the effects of imposed temperature stress on freshwater decapod crustaceans: Cherax quadricarinatus as a test case. J. Comp. Physiol. B-Biochem. Syst. Environ. Physiol. 2015, 185, 291–301. [Google Scholar] [CrossRef] [PubMed]
  54. Foucreau, N.; Jehan, C.; Lawniczak, M.; Hervant, F. Fluctuating versus constant temperatures: Effects on metabolic rate and oxidative damages in freshwater crustacean embryos. Can. J. Zool. 2016, 94, 591–598. [Google Scholar] [CrossRef]
  55. Cheng, W.T.; Wang, L.U.; Chen, J.C. Effect of water temperature on the immune response of white shrimp Litopenaeus vannamei to Vibrio alginolyticus. Aquaculture 2005, 250, 592–601. [Google Scholar] [CrossRef]
  56. Jia, X.Y.; Wang, F.; Lu, Y.L.; Zhang, D.; Dong, S.L. Immune responses of Litopenaeus vannamei to thermal stress: A comparative study of shrimp in freshwater and seawater conditions. Mar. Freshw. Behav. Physiol. 2014, 47, 79–92. [Google Scholar] [CrossRef]
  57. Ren, X.Y.; Yu, Z.X.; Xu, Y.; Zhang, Y.B.; Mu, C.M.; Liu, P.; Li, J. Integrated transcriptomic and metabolomic responses in the hepatopancreas of kuruma shrimp (Marsupenaeus japonicus) under cold stress. Ecotoxicol. Environ. Saf. 2020, 206, 9. [Google Scholar] [CrossRef]
  58. Yang, Y.; Xu, W.Y.; Jiang, Q.C.; Ye, Y.C.; Tian, J.T.; Huang, Y.Y.; Du, X.L.; Li, Y.M.; Zhao, Y.L.; Liu, Z.Q. Effects of Low Temperature on Antioxidant and Heat Shock Protein Expression Profiles and Transcriptomic Responses in Crayfish (Cherax destructor). Antioxidants 2022, 11, 1779. [Google Scholar] [CrossRef]
  59. Forman, H.J.; Zhang, H.Q.; Rinna, A. Glutathione: Overview of its protective roles, measurement, and biosynthesis. Mol. Asp. Med. 2009, 30, 1–12. [Google Scholar] [CrossRef]
  60. Liang, H.Y.; Van Remmen, H.; Frohlich, V.; Lechleiter, J.; Richardson, A.; Ran, Q.T. Gpx4 protects mitochondrial ATP generation against oxidative damage. Biochem. Biophys. Res. Commun. 2007, 356, 893–898. [Google Scholar] [CrossRef]
  61. Kang, Y.P.; Mockabee-Macias, A.; Jiang, C.; Falzone, A.; Prieto-Farigua, N.; Stone, E.; Harris, I.S.; DeNicola, G.M. Non-canonical Glutamate-Cysteine Ligase Activity Protects against Ferroptosis. Cell Metab. 2021, 33, 174–189.e7. [Google Scholar] [CrossRef]
  62. Liu, M.; Kong, X.Y.; Yao, Y.; Wang, X.A.; Yang, W.; Wu, H.; Li, S.; Ding, J.W.; Yang, J. The critical role and molecular mechanisms of ferroptosis in antioxidant systems: A narrative review. Ann. Transl. Med. 2022, 10, 15. [Google Scholar] [CrossRef] [PubMed]
  63. Lee, J.H.; Jang, H.; Cho, E.J.; Youn, H.D. Ferritin binds and activates p53 under oxidative stress. Biochem. Biophys. Res. Commun. 2009, 389, 399–404. [Google Scholar] [CrossRef] [PubMed]
  64. Pham, C.G.; Bubici, C.; Zazzeroni, F.; Papa, S.; Jones, J.; Alvarez, K.; Jayawardena, S.; De Smaele, E.; Cong, R.; Beaumont, C.; et al. Ferritin heavy chain upregulation by NF-κB inhibits TNFα-induced apoptosis by suppressing reactive oxygen species. Cell 2004, 119, 529–542. [Google Scholar] [CrossRef] [PubMed]
  65. Rebl, A.; Verleih, M.; Korytár, T.; Kühn, C.; Wimmers, K.; Köllner, B.; Goldammer, T. Identification of differentially expressed protective genes in liver of two rainbow trout strains. Vet. Immunol. Immunopathol. 2012, 145, 305–315. [Google Scholar] [CrossRef]
  66. Matsuno, T. Aquatic animal carotenoids. Fish. Sci. 2001, 67, 771–783. [Google Scholar] [CrossRef]
  67. Hsu, W.J.; Chichester, C.O.; Davies, B.H. The metabolism of beta-carotene and other carotenoids in the brine shrimp, Artemia salina L. (Crustacea: Branchiopoda). Comp. Biochem. Physiol. 1970, 32, 69–79. [Google Scholar] [CrossRef]
  68. Paital, B.; Chainy, G.B.N. Effects of salinity on O2 consumption, ROS generation and oxidative stress status of gill mitochondria of the mud crab Scylla serrata. Comp. Biochem. Physiol. C-Toxicol. Pharmacol. 2012, 155, 228–237. [Google Scholar] [CrossRef]
  69. Walrand, S.; Farges, M.C.; Dehaese, O.; Cardinault, N.; Minet-Quinard, R.; Grolier, P.; Bouteloup-Demange, C.; Ribalta, J.; Winklhofer-Roob, B.M.; Rock, E.; et al. In vivo and in vitro evidences that carotenoids could modulate the neutrophil respiratory burst during dietary manipulation. Eur. J. Nutr. 2005, 44, 114–120. [Google Scholar] [CrossRef]
  70. Lee, J.; Cho, B.C.; Park, J.S. Transcriptomic analysis of brine shrimp Artemia franciscana across a wide range of salinities. Mar. Genom. 2022, 61, 8. [Google Scholar] [CrossRef]
Figure 1. UPC2-PDA chromatogram of carotenoids from mixed standard (β-Car—β-Carotene, Ech—Echinenone, Can—Canthaxanthin, Asta—Astaxanthin, β-Cry—β-Cryptoxanthin, Zea—Zeaxanthin), diet (Spirulina sp.), and Artemia sinica. (adult).
Figure 1. UPC2-PDA chromatogram of carotenoids from mixed standard (β-Car—β-Carotene, Ech—Echinenone, Can—Canthaxanthin, Asta—Astaxanthin, β-Cry—β-Cryptoxanthin, Zea—Zeaxanthin), diet (Spirulina sp.), and Artemia sinica. (adult).
Fishes 09 00437 g001
Figure 2. The survival of Artemia sinica in various periods under different temperatures (20–30 °C) and salinity (10–90‰) (n = 3, Mean ± SE). The upper axis represents the salinity of the culture, while the right axis indicates the temperature of the culture. Different capital letters indicate significant differences in the effect of salinity (p < 0.05); different lowercase letters indicate significant differences in the effect of temperature (p < 0.05).
Figure 2. The survival of Artemia sinica in various periods under different temperatures (20–30 °C) and salinity (10–90‰) (n = 3, Mean ± SE). The upper axis represents the salinity of the culture, while the right axis indicates the temperature of the culture. Different capital letters indicate significant differences in the effect of salinity (p < 0.05); different lowercase letters indicate significant differences in the effect of temperature (p < 0.05).
Fishes 09 00437 g002
Figure 3. The body length of Artemia sinica in various periods under different temperature (20–30 °C) and salinity (10–90‰) (n = 15, Mean ± SE). The upper axis represents the salinity of the culture, while the right axis indicates the temperature of the culture. Different capital letters indicate significant differences in the effect of salinity (p < 0.05); different lowercase letters indicate significant differences in the effect of temperature (p < 0.05).
Figure 3. The body length of Artemia sinica in various periods under different temperature (20–30 °C) and salinity (10–90‰) (n = 15, Mean ± SE). The upper axis represents the salinity of the culture, while the right axis indicates the temperature of the culture. Different capital letters indicate significant differences in the effect of salinity (p < 0.05); different lowercase letters indicate significant differences in the effect of temperature (p < 0.05).
Fishes 09 00437 g003
Figure 4. The special growth rate of Artemia sinica in various periods under different temperatures (20–30 °C) and salinity (10–90‰) (n = 15, Mean ± SE). The upper axis represents the salinity of the culture, while the right axis indicates the temperature of the culture. Phase I: Day 0–5, most of the population were nauplius; Phase II: Day 5–10, most of the population were pre-adult; Phase III: Day 10–15, most of the population were adult. Different capital letters indicate significant differences in the effect of salinity (p < 0.05); different lowercase letters indicate significant differences in the effect of temperature (p < 0.05).
Figure 4. The special growth rate of Artemia sinica in various periods under different temperatures (20–30 °C) and salinity (10–90‰) (n = 15, Mean ± SE). The upper axis represents the salinity of the culture, while the right axis indicates the temperature of the culture. Phase I: Day 0–5, most of the population were nauplius; Phase II: Day 5–10, most of the population were pre-adult; Phase III: Day 10–15, most of the population were adult. Different capital letters indicate significant differences in the effect of salinity (p < 0.05); different lowercase letters indicate significant differences in the effect of temperature (p < 0.05).
Fishes 09 00437 g004
Figure 5. Effects of temperature and salinity on sexual maturation of Artemia sinica (n = 3, Mean ± SE). Different colors indicate significant differences.
Figure 5. Effects of temperature and salinity on sexual maturation of Artemia sinica (n = 3, Mean ± SE). Different colors indicate significant differences.
Fishes 09 00437 g005
Figure 6. Effects of temperature and salinity on carotenoid content in Artemia sinica (n = 3, Mean ± SE). (A) Content of Echinenone. (B) Content of Canthaxanthin. (C) Content of total carotenoid (Echinenone + Canthaxanthin). Different colors indicate significant differences.
Figure 6. Effects of temperature and salinity on carotenoid content in Artemia sinica (n = 3, Mean ± SE). (A) Content of Echinenone. (B) Content of Canthaxanthin. (C) Content of total carotenoid (Echinenone + Canthaxanthin). Different colors indicate significant differences.
Fishes 09 00437 g006
Figure 7. GO classification of the Artemia sinica unigenes. A total of 18,463 unigenes can be classified into 51 GO categories. This figure shows the top 20 categories. The color represents the function classification, whereas green, red, and blue colors indicate biological processes, cellular components, and molecular functions.
Figure 7. GO classification of the Artemia sinica unigenes. A total of 18,463 unigenes can be classified into 51 GO categories. This figure shows the top 20 categories. The color represents the function classification, whereas green, red, and blue colors indicate biological processes, cellular components, and molecular functions.
Fishes 09 00437 g007
Figure 8. EggNOG function classification of the Artemia sinica unigenes. A total of 19,742 unigenes can be classified into 23 functional categories. A—RNA processing and modification; B—Chromatin structure and dynamics; C—Energy production and conversion; D—Cell cycle control—cell division—chromosome partitioning; E—Amino acid transport and metabolism; F—Nucleotide transport and metabolism; G—Carbohydrate transport and metabolism; H—Coenzyme transport and metabolism; I—Lipid transport and metabolism; J—Translation—ribosomal structure and biogenesis; K—Transcription; L—Replication—recombination and repair; M—Cell wall/membrane/envelope biogenesis; N—Cell motility; O—Posttranslational modification—protein turnover—chaperones; P—Inorganic ion transport and metabolism; Q—Secondary metabolites biosynthesis—transport and catabolism; T—Signal transduction mechanisms; U—Intracellular trafficking, secretion, and vesicular transport; V—Defense mechanisms; Y—Nuclear structure; Z—Cytoskeleton.
Figure 8. EggNOG function classification of the Artemia sinica unigenes. A total of 19,742 unigenes can be classified into 23 functional categories. A—RNA processing and modification; B—Chromatin structure and dynamics; C—Energy production and conversion; D—Cell cycle control—cell division—chromosome partitioning; E—Amino acid transport and metabolism; F—Nucleotide transport and metabolism; G—Carbohydrate transport and metabolism; H—Coenzyme transport and metabolism; I—Lipid transport and metabolism; J—Translation—ribosomal structure and biogenesis; K—Transcription; L—Replication—recombination and repair; M—Cell wall/membrane/envelope biogenesis; N—Cell motility; O—Posttranslational modification—protein turnover—chaperones; P—Inorganic ion transport and metabolism; Q—Secondary metabolites biosynthesis—transport and catabolism; T—Signal transduction mechanisms; U—Intracellular trafficking, secretion, and vesicular transport; V—Defense mechanisms; Y—Nuclear structure; Z—Cytoskeleton.
Fishes 09 00437 g008
Figure 9. KEGG pathway distribution of the Artemia sinica unigenes. A total of 15,575 unigenes can be classified into 44 KEGG categories. The color represents the function classification, where blue, yellow, gray, red, light blue and dark blue indicate metabolism, genetic information processing, cellular processes, organismal systems, human diseases, and environmental information processing, respectively.
Figure 9. KEGG pathway distribution of the Artemia sinica unigenes. A total of 15,575 unigenes can be classified into 44 KEGG categories. The color represents the function classification, where blue, yellow, gray, red, light blue and dark blue indicate metabolism, genetic information processing, cellular processes, organismal systems, human diseases, and environmental information processing, respectively.
Fishes 09 00437 g009
Figure 10. The differentially expressed genes (DEGs) of Artemia sinica under a high-temperature effect in three salinity conditions. (A) The number of DEGs in three salinity conditions; (B) Venn diagram analysis was performed for all upregulated genes; (C) Venn diagram analysis was performed for all downregulated genes. HSHT—A. sinica under 90‰ and 30 °C; HSLT—A. sinica under 90‰ and 20 °C; NSHT—A. sinica under 30‰ and 30 °C; NSLT—A. sinica under 30‰ and 20 °C; NSHT—A. sinica under 10‰ and 30 °C; NSLT—A. sinica under 10‰ and 20 °C.
Figure 10. The differentially expressed genes (DEGs) of Artemia sinica under a high-temperature effect in three salinity conditions. (A) The number of DEGs in three salinity conditions; (B) Venn diagram analysis was performed for all upregulated genes; (C) Venn diagram analysis was performed for all downregulated genes. HSHT—A. sinica under 90‰ and 30 °C; HSLT—A. sinica under 90‰ and 20 °C; NSHT—A. sinica under 30‰ and 30 °C; NSLT—A. sinica under 30‰ and 20 °C; NSHT—A. sinica under 10‰ and 30 °C; NSLT—A. sinica under 10‰ and 20 °C.
Fishes 09 00437 g010
Figure 11. The DEGs in KEGG pathway enrichment from Artemia sinica under a high-temperature effect in three salinity conditions. (A) The DEGs from high-salinity conditions (HSHT_vs_HSLT). (B) The DEGs from low salinity conditions (LSHT_vs_LSLT). (C) The DEGs from normal salinity conditions (NSHT_vs_NSLT). (D) The common DEGs from three salinity conditions.
Figure 11. The DEGs in KEGG pathway enrichment from Artemia sinica under a high-temperature effect in three salinity conditions. (A) The DEGs from high-salinity conditions (HSHT_vs_HSLT). (B) The DEGs from low salinity conditions (LSHT_vs_LSLT). (C) The DEGs from normal salinity conditions (NSHT_vs_NSLT). (D) The common DEGs from three salinity conditions.
Fishes 09 00437 g011
Figure 12. Changes in the gene expressions involved in key pathways under a high-temperature effect in three salinity conditions. The gene expression that is upregulated is depicted in the color red, while the gene expression that is downregulated is depicted in the color blue. SDHB—succinate dehydrogenase (ubiquinone) iron-sulfur subunit; QCR10—ubiquinol-cytochrome c reductase subunit 10; NDUFV2:NADH dehydrogenase (ubiquinone) flavoprotein 2; NDUFS4/5/6—NADH dehydrogenase (ubiquinone) Fe-S protein 4/5/6; NDUFC2—NADH dehydrogenase (ubiquinone) 1 subunit C2; NDUFB5/10/11—NADH dehydrogenase (ubiquinone) 1 beta subcomplex subunit 5/10/11; NDUFA1/4/5/12—NADH dehydrogenase (ubiquinone) 1 alpha subcomplex subunit 1/4/5/12; COX6B/7C/15—cytochrome c oxidase subunit 6B/7C/15; ATPeV0B—V-type H+-transporting ATPase 21 kDa proteolipid subunit; ATPeF1A/B—F-type H+-transporting ATPase subunit alpha/beta; PKF—6-phosphofructokinase 1; GAPDH—glyceraldehyde 3-phosphate dehydrogenase; PGK—phosphoglycerate kinase; PCK—phosphoenolpyruvate carboxykinase; G6PC—glucose-6-phosphatase; ALDO—fructose-bisphosphate aldolase, class I; DLD—dihydrolipoyl dehydrogenase; HK—hexokinase; ALDH—aldehyde dehydrogenase (NAD+); ACAD8—isobutyryl-CoA dehydrogenase; ACADM—acyl-CoA dehydrogenase; ACADSB—short-chain 2-methylacyl-CoA dehydrogenase; AADAT—kynurenine/2-aminoadipate aminotransferase; AUH—methylglutaconyl-CoA hydratase; BCKDHA—2-oxoisovalerate dehydrogenase E1 component subunit alpha; CTH—cystathionine gamma-lyase; CBS—cystathionine beta-synthase; DLD—dihydrolipoyl dehydrogenase; HAAO—3-hydroxyanthranilate 3,4-dioxygenase; CAT—catalase; ODC1—ornithine decarboxylase; ANPEP—aminopeptidase N; GGCT—gamma-glutamylcyclotransferase; GPX—glutathione peroxidase; HADH—3-hydroxyacyl-CoA dehydrogenase; HADHB—acetyl-CoA acyltransferase; ACOX1—acyl-CoA oxidase; HADHA—enoyl-CoA hydratase; ACADL—long-chain-acyl-CoA dehydrogenase; ACADVL—very long chain acyl-CoA dehydrogenase; ECHS1—enoyl-CoA hydratase; UGT—glucuronosyltransferase; FTH1—ferritin heavy chain;SLC40A1—solute carrier family 40 (iron-regulated transporter), member 1; SAT—diamine N-acetyltransferase; VDAC2—voltage-dependent anion channel protein 2; ACSL—long-chain acyl-CoA synthetase; HSP70/90—heat shock protein 70 kDa/90 kDa; CRK,:C-crk adapter molecule crk; MKNK—MAP kinase interacting serine/threonine kinase; MRAS—Ras-related protein M-Ras; STMN1— stathmin 1; ATF4—cyclic AMP-dependent transcription factor ATF-4; PPP5C—serine/threonine-protein phosphatase 5; CACNA2D1—voltage-dependent calcium channel alpha-2/delta-1; ARRB—beta-arrestin; NF1—neurofibromin 1; JUN—transcription factor AP-1.
Figure 12. Changes in the gene expressions involved in key pathways under a high-temperature effect in three salinity conditions. The gene expression that is upregulated is depicted in the color red, while the gene expression that is downregulated is depicted in the color blue. SDHB—succinate dehydrogenase (ubiquinone) iron-sulfur subunit; QCR10—ubiquinol-cytochrome c reductase subunit 10; NDUFV2:NADH dehydrogenase (ubiquinone) flavoprotein 2; NDUFS4/5/6—NADH dehydrogenase (ubiquinone) Fe-S protein 4/5/6; NDUFC2—NADH dehydrogenase (ubiquinone) 1 subunit C2; NDUFB5/10/11—NADH dehydrogenase (ubiquinone) 1 beta subcomplex subunit 5/10/11; NDUFA1/4/5/12—NADH dehydrogenase (ubiquinone) 1 alpha subcomplex subunit 1/4/5/12; COX6B/7C/15—cytochrome c oxidase subunit 6B/7C/15; ATPeV0B—V-type H+-transporting ATPase 21 kDa proteolipid subunit; ATPeF1A/B—F-type H+-transporting ATPase subunit alpha/beta; PKF—6-phosphofructokinase 1; GAPDH—glyceraldehyde 3-phosphate dehydrogenase; PGK—phosphoglycerate kinase; PCK—phosphoenolpyruvate carboxykinase; G6PC—glucose-6-phosphatase; ALDO—fructose-bisphosphate aldolase, class I; DLD—dihydrolipoyl dehydrogenase; HK—hexokinase; ALDH—aldehyde dehydrogenase (NAD+); ACAD8—isobutyryl-CoA dehydrogenase; ACADM—acyl-CoA dehydrogenase; ACADSB—short-chain 2-methylacyl-CoA dehydrogenase; AADAT—kynurenine/2-aminoadipate aminotransferase; AUH—methylglutaconyl-CoA hydratase; BCKDHA—2-oxoisovalerate dehydrogenase E1 component subunit alpha; CTH—cystathionine gamma-lyase; CBS—cystathionine beta-synthase; DLD—dihydrolipoyl dehydrogenase; HAAO—3-hydroxyanthranilate 3,4-dioxygenase; CAT—catalase; ODC1—ornithine decarboxylase; ANPEP—aminopeptidase N; GGCT—gamma-glutamylcyclotransferase; GPX—glutathione peroxidase; HADH—3-hydroxyacyl-CoA dehydrogenase; HADHB—acetyl-CoA acyltransferase; ACOX1—acyl-CoA oxidase; HADHA—enoyl-CoA hydratase; ACADL—long-chain-acyl-CoA dehydrogenase; ACADVL—very long chain acyl-CoA dehydrogenase; ECHS1—enoyl-CoA hydratase; UGT—glucuronosyltransferase; FTH1—ferritin heavy chain;SLC40A1—solute carrier family 40 (iron-regulated transporter), member 1; SAT—diamine N-acetyltransferase; VDAC2—voltage-dependent anion channel protein 2; ACSL—long-chain acyl-CoA synthetase; HSP70/90—heat shock protein 70 kDa/90 kDa; CRK,:C-crk adapter molecule crk; MKNK—MAP kinase interacting serine/threonine kinase; MRAS—Ras-related protein M-Ras; STMN1— stathmin 1; ATF4—cyclic AMP-dependent transcription factor ATF-4; PPP5C—serine/threonine-protein phosphatase 5; CACNA2D1—voltage-dependent calcium channel alpha-2/delta-1; ARRB—beta-arrestin; NF1—neurofibromin 1; JUN—transcription factor AP-1.
Fishes 09 00437 g012
Figure 13. The differentially express genes (DEGs) of Artemia sinica under low-salinity stress in two temperature conditions. (A) The number of DEGs in two temperature conditions; (B) Venn diagram analysis was performed for all upregulated genes; (C) Venn diagram analysis was performed for all downregulated genes.
Figure 13. The differentially express genes (DEGs) of Artemia sinica under low-salinity stress in two temperature conditions. (A) The number of DEGs in two temperature conditions; (B) Venn diagram analysis was performed for all upregulated genes; (C) Venn diagram analysis was performed for all downregulated genes.
Fishes 09 00437 g013
Figure 14. The DEGs in KEGG pathway enrichment from Artemia sinica under low-salinity stress in two temperature conditions. (A) The DEGs from high-temperature conditions (LSHT_vs_NSHT); (B) the DEGs from low-temperature conditions (LSLT_vs_NSLT); (C) the common DEGs from two temperature conditions.
Figure 14. The DEGs in KEGG pathway enrichment from Artemia sinica under low-salinity stress in two temperature conditions. (A) The DEGs from high-temperature conditions (LSHT_vs_NSHT); (B) the DEGs from low-temperature conditions (LSLT_vs_NSLT); (C) the common DEGs from two temperature conditions.
Fishes 09 00437 g014
Figure 15. Changes in the gene expressions involved in key pathways under low-salinity stress in two temperature conditions. The gene expression that is upregulated is depicted in the color red, while the gene expression that is downregulated is depicted in the color blue. NOS1—nitric-oxide synthase; COX1/3—cytochrome c oxidase subunit 1/3; ND2—NADH-ubiquinone oxidoreductase chain 2; GM2A—ganglioside GM2 activator; GBA—glucosyl ceramidase; NPC1—Niemann-Pick C1 protein; ANPEP—aminopeptidase N; ACE—peptidyl-dipeptidase A; ITGA9—integrin alpha 9; ITGB1—integrin beta 1; CREB3—cyclic AMP-responsive element-binding protein 3; LAMC1—laminin gamma 1; LAMA3_5—laminin alpha 3_5; COL4A—collagen type IV alpha; RPS2/12/20; small subunit ribosomal protein S2e/S12e/S20e; RPL13A/14/24—large subunit ribosomal protein L13Ae/L14e/L24e.
Figure 15. Changes in the gene expressions involved in key pathways under low-salinity stress in two temperature conditions. The gene expression that is upregulated is depicted in the color red, while the gene expression that is downregulated is depicted in the color blue. NOS1—nitric-oxide synthase; COX1/3—cytochrome c oxidase subunit 1/3; ND2—NADH-ubiquinone oxidoreductase chain 2; GM2A—ganglioside GM2 activator; GBA—glucosyl ceramidase; NPC1—Niemann-Pick C1 protein; ANPEP—aminopeptidase N; ACE—peptidyl-dipeptidase A; ITGA9—integrin alpha 9; ITGB1—integrin beta 1; CREB3—cyclic AMP-responsive element-binding protein 3; LAMC1—laminin gamma 1; LAMA3_5—laminin alpha 3_5; COL4A—collagen type IV alpha; RPS2/12/20; small subunit ribosomal protein S2e/S12e/S20e; RPL13A/14/24—large subunit ribosomal protein L13Ae/L14e/L24e.
Fishes 09 00437 g015
Figure 16. The differentially expressed genes (DEGs) of Artemia sinica under high-salinity stress in two temperature conditions. (A) The number of DEGs in two temperature conditions. (B) Venn diagram analysis was performed for all upregulated genes. (C) Venn diagram analysis was performed for all downregulated genes.
Figure 16. The differentially expressed genes (DEGs) of Artemia sinica under high-salinity stress in two temperature conditions. (A) The number of DEGs in two temperature conditions. (B) Venn diagram analysis was performed for all upregulated genes. (C) Venn diagram analysis was performed for all downregulated genes.
Fishes 09 00437 g016
Figure 17. The DEGs in KEGG pathway enrichment from Artemia sinica under high-salinity stress in two temperature conditions. (A) The DEGs from high-temperature conditions (HSHT_vs_NSHT); (B) The DEGs from low-temperature conditions (HSLT_vs_NSLT). (C) The common DEGs from two temperature conditions.
Figure 17. The DEGs in KEGG pathway enrichment from Artemia sinica under high-salinity stress in two temperature conditions. (A) The DEGs from high-temperature conditions (HSHT_vs_NSHT); (B) The DEGs from low-temperature conditions (HSLT_vs_NSLT). (C) The common DEGs from two temperature conditions.
Fishes 09 00437 g017
Figure 18. Changes in the gene expressions involved in key pathways under high-salinity stress in two temperature conditions. The gene expression that is upregulated is depicted in the color red, while the gene expression that is downregulated is depicted in the color blue. UGT—glucuronosyltransferase; DHRS4—dehydrogenase/reductase SDR family member 4; RDH12/13—retinol dehydrogenase 12/13; DGAT1—diacylglycerol O-acyltransferase 1; SDR16C5—all-trans-retinol dehydrogenase (NAD+); NFκB1; nuclear factor NF-kappa-B p105 subunit; SOD2—superoxide dismutase Fe-Mn family; CAT—catalase; RYR2—ryanodine receptor 2; PAK1—p21-activated kinase 1; CREB3—cyclic AMP-responsive element-binding protein 3; ADCY1—adenylate cyclase 1; CAMK2—calcium/calmodulin-dependent protein kinase (CaM kinase) II; HSP90B—heat shock protein 90 kDa beta; PPP2R2—serine/threonine-protein phosphatase 2A regulatory subunit B; PIK3AP1—phosphoinositide 3-kinase adapter protein 1; AKT—RAC serine/threonine-protein kinase; ITGA7—integrin alpha 7; ITGB1—integrin beta 1; LAMB1—laminin beta 1; LAMA1_2/3_5—laminin alpha 1_2/3_5; COL9A—collagen type IX alpha; COX1/3/6B/7C—cytochrome c oxidase subunit 1/3/6B/7C; ND1—NADH-ubiquinone oxidoreductase chain 1; NDUFA1/5—NADH dehydrogenase (ubiquinone) 1 alpha subcomplex subunit 1/5; NDUFC2; NADH dehydrogenase (ubiquinone) 1 subunit C2; CYTB—ubiquinol-cytochrome c reductase cytochrome b subunit; MYH6_7—myosin heavy chain 6_7; ATP1A/1B—sodium/potassium-transporting ATPase subunit alpha/beta; ATP2A/2B—P-type Ca2+ transporter type 2A/2B.
Figure 18. Changes in the gene expressions involved in key pathways under high-salinity stress in two temperature conditions. The gene expression that is upregulated is depicted in the color red, while the gene expression that is downregulated is depicted in the color blue. UGT—glucuronosyltransferase; DHRS4—dehydrogenase/reductase SDR family member 4; RDH12/13—retinol dehydrogenase 12/13; DGAT1—diacylglycerol O-acyltransferase 1; SDR16C5—all-trans-retinol dehydrogenase (NAD+); NFκB1; nuclear factor NF-kappa-B p105 subunit; SOD2—superoxide dismutase Fe-Mn family; CAT—catalase; RYR2—ryanodine receptor 2; PAK1—p21-activated kinase 1; CREB3—cyclic AMP-responsive element-binding protein 3; ADCY1—adenylate cyclase 1; CAMK2—calcium/calmodulin-dependent protein kinase (CaM kinase) II; HSP90B—heat shock protein 90 kDa beta; PPP2R2—serine/threonine-protein phosphatase 2A regulatory subunit B; PIK3AP1—phosphoinositide 3-kinase adapter protein 1; AKT—RAC serine/threonine-protein kinase; ITGA7—integrin alpha 7; ITGB1—integrin beta 1; LAMB1—laminin beta 1; LAMA1_2/3_5—laminin alpha 1_2/3_5; COL9A—collagen type IX alpha; COX1/3/6B/7C—cytochrome c oxidase subunit 1/3/6B/7C; ND1—NADH-ubiquinone oxidoreductase chain 1; NDUFA1/5—NADH dehydrogenase (ubiquinone) 1 alpha subcomplex subunit 1/5; NDUFC2; NADH dehydrogenase (ubiquinone) 1 subunit C2; CYTB—ubiquinol-cytochrome c reductase cytochrome b subunit; MYH6_7—myosin heavy chain 6_7; ATP1A/1B—sodium/potassium-transporting ATPase subunit alpha/beta; ATP2A/2B—P-type Ca2+ transporter type 2A/2B.
Fishes 09 00437 g018
Figure 19. Result comparison of the qRT-PCR and RNA-seq. The gene profiles were normalized that of the β-actin gene.
Figure 19. Result comparison of the qRT-PCR and RNA-seq. The gene profiles were normalized that of the β-actin gene.
Fishes 09 00437 g019
Table 1. Primers used for Real-time PCR analysis.
Table 1. Primers used for Real-time PCR analysis.
Gene NameForward Primer (5′–3′)Reverse Primer (5′–3′)
ATP1ATATTCTATGCTTTCTCGCTACTCTTTGTCCTTCACG
ATP2BAGTGGTTGGGAGAGGAGTGAAGCGAAGAAAAGGAAG
AktTGGGAGGACAACGAAAACAGCCGACGAGTAGGAGAT
MDM2AACCACAACCTCTCCGTCGAAATCTCCCAAAAATCC
cox1TTTTTTGCGTCTGGGAAGTAATCGTTAGGGCGGGGT
FTH1TTTACTTACTTTGACCGTTCTCCTCTTTAGATGCTT
Hsp90GGTCAGCGACAAGATATGTTAGACAGTGGAAAGGAG
β-actinGGTCGTGACTTGACGGACTATCTAGCGGTTGCCATTTCTTGTT
Table 2. Effect of different temperature and salinity on the survival rate of Artemia sinica by two-way ANOVA.
Table 2. Effect of different temperature and salinity on the survival rate of Artemia sinica by two-way ANOVA.
TimeSourceSum of SquaresdfMean SquareFp
Day 5Temp90.53245.2763.66<0.01
Salinity140.22435.0649.30<0.01
Temp * Salinity73.9189.2412.99<0.01
Error21.33300.71
Total32644
Day 10Temp544.932272.4791.50<0.01
Salinity1274.584318.64107.01<0.01
Temp * Salinity639.96879.9926.86<0.01
Error89.33302.98
Total2548.844
Day 15Temp4836.8422418.42102.28<0.01
Salinity2556.984639.2427.04<0.01
Temp * Salinity911.168113.894.82<0.01
Error709.333023.64
Total9014.3144
Note: * indicates the interaction between temperature and salinity.
Table 3. Effect of different temperature and salinity on body length of Artemia sinica by two-way ANOVA.
Table 3. Effect of different temperature and salinity on body length of Artemia sinica by two-way ANOVA.
TimeSourceSum of SquaresdfMean SquareFp
Day 5Temp194.32297.16398.36<0.01
Salinity41.65410.4142.69<0.01
Temp * Salinity19.1182.399.79<0.01
Error61.712530.24
Total311.60267
Day 10Temp63.86415.9732.78<0.01
Salinity539.082269.54553.35<0.01
Temp * Salinity28.8083.607.39<0.01
Error118.852440.49
Total770.08258
Day 15Temp52.64413.1622.67<0.01
Salinity356.762178.38307.31<0.01
Temp * Salinity39.2084.908.44<0.01
Error142.212450.58
Total632.06259
Note: * indicates the interaction between temperature and salinity.
Table 4. Effect of different temperatures and salinity on the special growth rate of Artemia sinica by two-way ANOVA.
Table 4. Effect of different temperatures and salinity on the special growth rate of Artemia sinica by two-way ANOVA.
PhaseSourceSum of SquaresdfMean SquareFp
Phase ITemp11,344.75 25672.37 498.423<0.01
Salinity2361.41 4590.35 51.873<0.01
Temp * Salinity608.27 876.03 6.681<0.01
Error2879.30 25311.38
Total484,236.56 268
Phase IITemp2085.88 21042.94 133.216<0.01
Salinity899.06 4224.77 28.710<0.01
Temp * Salinity1164.60 8145.58 18.594<0.01
Error1910.27 2447.83
Total60,638.76 259
Phase IIITemp1274.68 2637.34 94.936<0.01
Salinity418.65 4104.66 15.590<0.01
Temp * Salinity763.96 895.49 14.225<0.01
Error1644.77 2456.71
Total7343.36 260
Note: * indicates the interaction between temperature and salinity.
Table 5. Effects of different temperature and salinity on the ratio of female Artemia sinica to sexual maturity by two-way ANOVA.
Table 5. Effects of different temperature and salinity on the ratio of female Artemia sinica to sexual maturity by two-way ANOVA.
SourceSum of SquaresdfMean SquareFp
Temp4327.2722163.64304.87<0.01
Salinity744.094186.0226.21<0.01
Temp * Salinity431.50853.947.60<0.01
Error212.91307.10
Total5715.7744
Note: * indicates the interaction between temperature and salinity.
Table 6. Effects of different temperature and salinity on carotenoid content in Artemia sinica by two-way ANOVA.
Table 6. Effects of different temperature and salinity on carotenoid content in Artemia sinica by two-way ANOVA.
CarotenoidSourceSum of SquaresdfMean SquareFp
EchinenoneTemp105.04252.52426.06<0.01
Salinity288.22472.05584.56<0.01
Temp * Salinity58.8587.3659.68<0.01
Error3.70300.12
Total455.8044
CanthaxanthinTemp258.712129.35139.38<0.01
Salinity2412.664603.17649.9<0.01
Temp * Salinity95.26811.9112.83<0.01
Error27.84300.93
Total2794.4744
Total carotenoidTemp262.462131.23120.92<0.01
Salinity4162.5841040.64958.94<0.01
Temp * Salinity257.47832.1829.66<0.01
Error1644.772456.71
Total7343.36260
Note: * indicates the interaction between temperature and salinity.
Table 7. De novo assembly results of the Artemia sinica transcriptome.
Table 7. De novo assembly results of the Artemia sinica transcriptome.
UnigenesGC (%)N50 LengthE90N50 LengthMax LengthMin LengthAverage Length
67,85436.69%1152 bp1936 bp20,773 bp201 bp929.14 bp
Table 8. Functional annotation of the Artemia sinica transcriptome.
Table 8. Functional annotation of the Artemia sinica transcriptome.
Annotation in DatabaseNumber of UnigenesPercentage (%)
GO18,46327.21%
KEGG15,57522.95%
EggNOG19,74229.09%
NR23,52634.67%
Swiss-Prot17,05225.13%
Pfam17,97626.49%
Total annotation25,33737.34%
Total67,854100%
Disclaimer/Publisher’s Note: The statements, opinions and data contained in all publications are solely those of the individual author(s) and contributor(s) and not of MDPI and/or the editor(s). MDPI and/or the editor(s) disclaim responsibility for any injury to people or property resulting from any ideas, methods, instructions or products referred to in the content.

Share and Cite

MDPI and ACS Style

Xue, Y.; Jiang, G.; Shu, H.; Wang, W.; Huang, X. Effects of Temperature and Salinity on the Growth, Reproduction, and Carotenoid Accumulation in Artemia sinica and Transcriptome Analysis. Fishes 2024, 9, 437. https://doi.org/10.3390/fishes9110437

AMA Style

Xue Y, Jiang G, Shu H, Wang W, Huang X. Effects of Temperature and Salinity on the Growth, Reproduction, and Carotenoid Accumulation in Artemia sinica and Transcriptome Analysis. Fishes. 2024; 9(11):437. https://doi.org/10.3390/fishes9110437

Chicago/Turabian Style

Xue, Yucai, Gang Jiang, Huang Shu, Weilong Wang, and Xuxiong Huang. 2024. "Effects of Temperature and Salinity on the Growth, Reproduction, and Carotenoid Accumulation in Artemia sinica and Transcriptome Analysis" Fishes 9, no. 11: 437. https://doi.org/10.3390/fishes9110437

APA Style

Xue, Y., Jiang, G., Shu, H., Wang, W., & Huang, X. (2024). Effects of Temperature and Salinity on the Growth, Reproduction, and Carotenoid Accumulation in Artemia sinica and Transcriptome Analysis. Fishes, 9(11), 437. https://doi.org/10.3390/fishes9110437

Article Metrics

Back to TopTop