Behavioral Characteristics and Related Physiological and Ecological Indexes of Cultured Scallops (Mizuhopecten yessoensis) in Response to Predation by the Crab Charybdis japonica
Abstract
1. Introduction
2. Materials and Methods
2.1. Experimental Materials
2.2. Experimental Methods
2.2.1. Observation of Scallops’ Behaviors
2.2.2. Crab–Scallop Experiments
2.2.3. Observation of Scallop Behavior
- Experimental Design
- Force Recordings
2.2.4. Enzyme Activity Assay
2.3. Transcriptomic Analyses
2.3.1. RNA Extraction and Transcriptome Sequencing
2.3.2. Bioinformatics Analysis
2.3.3. qRT-PCR
2.4. Statistical Analysis
3. Results
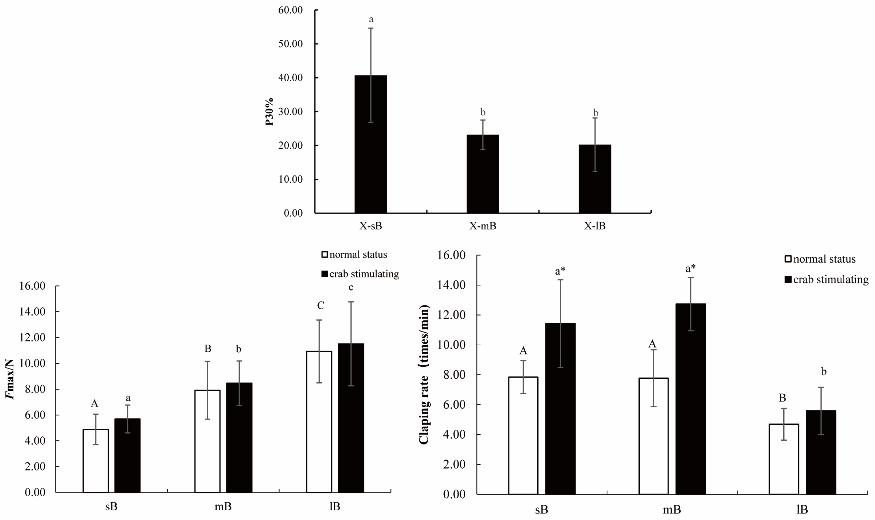
3.1. Scallop Behavior
3.2. Force of Clap
3.3. Changes in Enzyme Activity of Scallops Due to Crab Predation
3.4. Transcriptome Results
3.4.1. Transcriptome Sequencing
3.4.2. DEG Analysis
3.4.3. Gene Ontology (GO) Functional Enrichment Analysis of DEGs
3.4.4. Kyoto Encyclopedia of Genes and Genomes (KEGG) Enrichment Analysis of DEGs
3.4.5. qRT-PCR Validation Analysis
4. Discussion
4.1. Role of Crab Predation in Affecting the Shell-Closing Force of Scallops
4.2. Effects of Crab Predation on the Enzyme Activities of Scallops
4.3. Effects of Crab Predation on the Transcriptome of Scallops
4.4. Differences in Escape Behaviors of Scallops
4.5. Effects of Environment on Scallops
5. Conclusions
Author Contributions
Funding
Institutional Review Board Statement
Informed Consent Statement
Data Availability Statement
Acknowledgments
Conflicts of Interest
References
- Zhang, Z.X.; Zhang, J.H.; Wu, W.G. Ecological carrying capacity assessment of bottom-culture Yesso scallops, Patinopecten yessoensis, in Zhangzi Island. J. Fish. Sci. China 2021, 28, 878–887. [Google Scholar]
- Schiaparelli, S.; Linse, K. A reassessment of the distribution of the common antarctic scallop Adamussium colbecki (smith, 1902). Deep-Sea Res. Part II 2006, 53, 912–920. [Google Scholar] [CrossRef]
- Duncan, P.F.; Brand, A.R.; Strand, I.; Foucher, E. The european scallop fisheries for Pecten maximus, Aequipecten opercularis, Chlamys islandica, and Mimachlamys varia. In Developments in Aquaculture and Fisheries Science; Elsevier: Amsterdam, The Netherlands, 2016. [Google Scholar]
- Bremec, C.S.; Schejter, L. Chaetopterus antarcticus (Polychaeta: Chaetopteridae) in Argentinian shelf scallop beds: From infaunal to epifaunal life habits. Rev. Biol. Trop. 2019, 67, S39–S50. [Google Scholar] [CrossRef]
- Dvoretsky, A.G.; Dvoretsky, V.G. Biological aspects, fisheries, and aquaculture of Yesso scallops in Russian waters of the Sea of Japan. Diversity 2022, 14, 399. [Google Scholar] [CrossRef]
- Cong, H.H.; Geng, W.H.; Zhu, J.W. Patinopecten yessoensis mantle polypeptides enhanced the structural stability of myofibrillar proteins from silver carp. Meat Res. 2022, 36, 13–19. [Google Scholar]
- Wang, Y.; Zhou, L. Bottom sowing of proliferation of Patinopecten yessoensis yield research; case in Zhangzidao. Chin. Fish. Econ. 2014, 32, 104–109. [Google Scholar]
- Gao, Z.K. Effects of Environmental Stresses on Physiological, Immunological Parameters and Behavioral Characteristics of Patinopecten yessoensis. Master’s Thesis, Shanghai Ocean University, Shanghai, China, 2016. [Google Scholar]
- Nan, X.; Wei, H.; Zhang, H.; Nie, H. Spatial difference in net growth rate of Yesso scallop Patinopecten yessoensis revealed by an aquaculture ecosystem model. J. Oceanol. Limnol. 2022, 40, 373–387. [Google Scholar] [CrossRef]
- Aura, C.M.; Saitoh, S.I.; Liu, Y.; Hirawake, T.; Baba, K.; Yoshida, T. Implications of marine environment change on Japanese scallop (Mizuhopecten yessoensis) aquaculture suitability: A comparative study in Funka and Mutsu Bays, Japan. Aquac. Res. 2016, 47, 2164–2182. [Google Scholar] [CrossRef]
- Cozannet, G.L.; Garcin, M.; Yates, M.; Idier, D.; Meyssignac, B. Approaches to evaluate the recent impacts of sea level rise on shoreline changes. Earth Sci. Rev. 2014, 138, 47–60. [Google Scholar] [CrossRef]
- Douglass, E.; Roemmich, D.; Stammer, D. Interannual variability in North Pacific heat and freshwater budgets. Deep Sea Res. Part II Top. Stud. Oceanogr. 2010, 57, 1127–1140. [Google Scholar] [CrossRef]
- Shank, B.V.; Hart, D.R.; Friedland, K.D. Post-settlement predation by sea stars and crabs on the sea scallop in the mid-Atlantic bight. Mar. Ecol. Progress. 2012, 468, 161–177. [Google Scholar] [CrossRef]
- Yu, Z.H.; Yang, H.S.; Liu, B.Z. Predation of scallop Chlamys farreri by crab Charybdis japonica. Mar. Sci. 2010, 34, 62–66. [Google Scholar]
- Barbeau, M.A.; Scheibling, R.E. Behavioral mechanisms of prey size selection by sea stars (Asterias vulgaris verrill) and crabs (Cancer irroratus say) preying on juvenile sea scallops (placopecten magellanicus (Gmelin)). J. Exp. Mar. Biol. Ecol. 1994, 180, 103–136. [Google Scholar] [CrossRef]
- Sclafani, M.; Bopp, J.; Havelin, J. Predation on planted and wild bay scallops (Argopecten Irradians Irradians) by busyconine whelks: Studies of behavior incorporating acoustic telemetry. Mar. Biol. 2021, 169, 66. [Google Scholar] [CrossRef]
- Zhang, J.H.; Xia, Y.Y.; Gao, Z.K. Force production during shell clap of scallop Pationopecten yessoensis and its response to predator starfish. J. Fish. Sci. China 2021, 28, 871–877. [Google Scholar]
- Wilkens, L.A. Neurobiology and behavior of the scallop. In Scallops: Biology, Ecology and Aqua Culture; Shumway, S.E., Ed.; Elsevier: New York, NY, USA, 1991; pp. 429–469. [Google Scholar]
- Guderley, H.E.; Himmelman, J.H.; Nadeau, M. Effect of different predators on the escape response of Placopecten magellanicus. Mar. Biol. Int. J. Life Ocean Coast. Waters 2015, 162, 1407–1415. [Google Scholar] [CrossRef]
- Xia, Y.Y. Effects of Environmental Stress on the Survival, Behavior Metabolism and Immunity of Scallops. Master’s Thesis, Shanghai Ocean University, Shanghai, China, 2010. [Google Scholar]
- Lafrance, M.; Cliche, G.; Haugum, G.A.; Guderley, H. Comparison of cultured and wild sea scallops Placopecten magellanicus, using behavioral responses and morphometric and biochemical indices. Mar. Ecol. Prog. Ser. 2003, 250, 183–195. [Google Scholar] [CrossRef][Green Version]
- Tremblay, I.; Guderley, H.E.; Himmelman, J.H. Swimming away or clamming up: The use of phasic and tonic adductor muscles during escape responses varies with shell morphology in scallops. J. Exp. Biol. 2012, 215, 4131–4143. [Google Scholar] [CrossRef]
- Bolger, A.M.; Lohse, M.; Usadel, B. Trimmomatic: A flexible trimmer for Illumina sequence data. Bioinformatics 2014, 30, 2114–2120. [Google Scholar] [CrossRef]
- Kim, D.; Langmead, B.; Salzberg, S.L. HISAT: A fast spliced aligner with low memory requirements. Nat. Methods 2015, 12, 357–360. [Google Scholar] [CrossRef]
- Trapnell, C.; Williams, B.A.; Pertea, G. Transcript assembly and quantification by RNA-Seq reveals unannotated transcripts and isoform switching during cell differentiation. Nat. Biotechnol. 2010, 28, 511–515. [Google Scholar] [CrossRef] [PubMed]
- Anders, S.; Pyl, P.T.; Huber, W. HTSeq—A python framework to work with high-throughput sequencing data. Bioinformatics 2015, 31, 166–169. [Google Scholar] [CrossRef] [PubMed]
- Anders, S.; Huber, W. Differential expression analysis for sequence count data. Nat. Precedings 2010, 1, 1. [Google Scholar]
- Kanehisa, M.; Araki, M.; Goto, S.; Hattori, M. KEGG for linking genomes to life and the environment. Nucleic Acids Res. 2007, 36 (Suppl. 1), D480–D484. [Google Scholar] [CrossRef]
- Livak, K.J.; Schmittgen, T.D. Analysis of relative gene expression data using real-time quantitative PCR and the 2−ΔΔCt method. Methods 2001, 25, 402–408. [Google Scholar] [CrossRef] [PubMed]
- Dvoretsky, A.G.; Dvoretsky, V.G. Shellfish as biosensors in online monitoring of aquatic ecosystems: A review of Russian studies. Fishes 2023, 8, 102. [Google Scholar] [CrossRef]
- Schalkhausser, B.; Bock, C.; Pörtner, H.O.; Lannig, G. Escape performance of temperate king scallop, Pecten maximus under ocean warming and acidification. Mar. Biol. 2014, 161, 2819–2829. [Google Scholar] [CrossRef]
- Ballesta-Artero, I.; Witbaard, R.; Carroll, M.L.; van der Meer, J. Environmental factors regulating gaping activity of the bivalve Arctica islandica in Northern Norway. Mar. Biol. 2017, 164, 116. [Google Scholar] [CrossRef] [PubMed]
- Johnson, E.H. Experimental tests of bivalve shell shape reveal potential tradeoffs between mechanical and behavioral defenses. Sci. Rep. 2020, 10, 19425. [Google Scholar] [CrossRef]
- Bae, M.-J.; Park, Y.-S. Biological early warning system based on the responses of aquatic organisms to disturbances: A review. Sci. Total Environ. 2014, 466, 635–649. [Google Scholar] [CrossRef]
- Kramer, K.G.M.; Jenner, H.A.; de Zwart, D. The valve movement response of mussels: A tool in biological monitoring. Hydrobiologia 1989, 188, 433–443. [Google Scholar] [CrossRef]
- Gnyubkin, V.F. An early warning system for aquatic environment state monitoring based on an analysis of mussel valve movement. Russ. J. Mar. Biol. 2009, 35, 431–436. [Google Scholar] [CrossRef]
- Ramajo, L.; Marbà, N.; Duarte, C.M. Biomineralization changes with food supply confer juvenile scallops (Argopecten purpuratus) resistance to ocean acidification. Glob. Chang. Biol. 2016, 22, 2025–2037. [Google Scholar] [CrossRef]
- Lagos, N.A.; Benítez, S.; Lardies, M.A. Plasticity in organic composition maintains biomechanical performance in shells of juvenile scallops exposed to altered temperature and pH conditions. Sci. Rep. 2021, 11, 24201. [Google Scholar] [CrossRef] [PubMed]
- Pennington, B.J.; Currey, J.D. A mathematical model for the mechanical properties of scallop shells. J. Zool. 1984, 202, 239–263. [Google Scholar] [CrossRef]
- Buddenbrock, W.V. Untersuchugen €uber die Schwimmbewegungen und die Statocysten der Gattung Pecten. Sitz. Heidelb. Akad. Wiss. 1911, 28, 1–24. [Google Scholar]
- Tremblay, I.; Guderley, H.E. Possible prediction of scallop swimming styles from shell and adductor muscle morphology. J. Shellfish Res. 2017, 36, 17–30. [Google Scholar] [CrossRef][Green Version]
- Schmidt, M.; Philipp, E.E.R.; Abele, D. Size and age-dependent changes of escape response to predator attack in the Queen scallop Aequipecten Opercularis. Mar. Biol. Res. 2008, 4, 442–450. [Google Scholar] [CrossRef]
- Greenway, S.C.; Storey, K.B. The effect of prolonged anoxia on enzyme activities in oysters (Crassostrea virginica) at different seasons. J. Exp. Mar. Biol. Ecol. 1999, 242, 259–272. [Google Scholar] [CrossRef]
- Liu, Z.H.; Mou, H.J.; Wang, Q.Y. Research progress of immune related enzymes in Mollusca. Mar. Fish. Res. 2003, 024, 86–90. [Google Scholar]
- Yao, C.L.; Wang, W.N.; Wang, A.L. Progess of studies on superoxide dismutase in the body of aquatic animals. Mar. Sci. 2003, 27, 18–21. [Google Scholar]
- Yang, X.L.; Zhou, J.G. Influence of age size and nutrition of trionyx sinensis on the immune response. J. Fish. Sci. China 1999, 23, 5. [Google Scholar]
- Mourente, G.; Daz-Salvago, E. Characterization of antioxidant systems, oxidation status and lipids in brain of wild-caught size-class distributed Aristeus antennatus (Risso,1816) Crustacea, Decapoda. Comp. Biochem. Physiol. Part B Biochem. Mol. Biol. 1999, 124, 405–416. [Google Scholar] [CrossRef]
- Hao, Z.L.; Tang, X.J.; Ding, J. Survival rate, oxygen consumption rate and immune enzymetic activity of Mizuhopecten yessoensis at high temperature. Chin. J. Ecol. 2014, 33, 7. [Google Scholar]
- Ding, R.X.; Huang, X.M.; Zhao, W. Effects of pH acute stress on the behavior and immune enzyme activity of Babylonia Areolata. Fish. Mod. 2022, 49, 7. [Google Scholar]
- Thoai, N.V.; Huc, C.; Pho, D.B. Octopine déshydrogénase Purification et propriétés catalytiques. Biochim. Biophys. Acta (BBA)-Enzymol. 1969, 191, 46–57. [Google Scholar] [CrossRef]
- Zheng, Y. Octopine Dehydrogenase in the Adductor Muscle of Live Scallop and Its Changes during Postharvest. Master’s Thesis, Dalian Ocean University, Dalian, Australia, 2018. [Google Scholar]
- Smits, S.H.J.; Meyer, T.; Mueller, A. Insights into the Mechanism of Ligand Binding to Octopine Dehydrogenase from Pecten maximus by NMR and Crystallography. PLoS ONE 2010, 5, e12312. [Google Scholar] [CrossRef]
- Strahl, J.; Dringen, R.; Schmidt, M.M. Metabolic and physiological responses in tissues of the long-lived bivalve Arctica islandica to oxygen deficiency. Comp. Biochem. Physiol. Part A Mol. Integr. Physiol. 2011, 158, 513–519. [Google Scholar] [CrossRef]
- Guerra, C.; Zenteno-Savín, T.; Maeda-Martínez, A.N. The effect of predator exposure and reproduction on oxidative stress parameters in the Catarina scallop Argopecten ventricosus. Comp. Biochem. Physiol. Part A Mol. Integr. Physiol. 2013, 165, 89–96. [Google Scholar] [CrossRef]
- Morris, S.; Van Aardt, W.J.; Ahern, M.D. The effect of lead on the metabolic and energetic status of the Yabby, Cherax destructor, during environmental hypoxia. Aquat. Toxicol. 2005, 75, 16–31. [Google Scholar] [CrossRef]
- Yao, C.L.; Wang, Z.Y.; Xiang, J.H. Structure and function of arginine kinase in crustacean. Chin. J. Biochem. Mol. Biol. 2008, 24, 203–208. [Google Scholar]
- Edmiston, P.L.; Schavolt, K.L.; Borders, C.L., Jr. Creatine kinase: A role for arginine-95 in creatine binding and active site organization. Biochim. Biophys. Acta (BBA)-Protein Struct. Mol. Enzymol. 2001, 1546, 291–298. [Google Scholar] [CrossRef]
- Arockiaraj, J.; Vanaraja, P.; Bhassu, S. Gene profiling and characterization of arginine kinase-1 (MrAK-1) from freshwater giant prawn (Macrobrachium rosenbergii). Fish Shellfish Immunol. 2011, 31, 81–89. [Google Scholar] [CrossRef] [PubMed]
- Huang, L.N.; Liu, N.; Zhao, J. The research prospect of Arginine Kinase. Life Sci. Res. 2015, 19, 452–456. [Google Scholar]
- Yin, S.J.; Zhang, L.; Si, Y.X. Metabolic responses and arginine kinase expression of juvenile cuttlefish (Sepia pharaonis) under salinity stress. Int. J. Biol. Macromol. 2018, 113, 881–888. [Google Scholar] [CrossRef] [PubMed]
- Salgado-García, R.L.; Kraffe, E.; Racotta, I.S. Energy metabolism of juvenile scallops Nodipecten subnodosus under acute increased temperature and low oxygen availability. Comp. Biochem. Physiol. Part A Mol. Integr. Physiol. 2023, 278, 111373. [Google Scholar] [CrossRef]
- Dvoretsky, A.G.; Obluchinskaya, E.D.; Gorshenina, E.V. Amino acid composition in different tissues of Iceland scallop from the Barents Sea. Animals 2024, 14, 230. [Google Scholar] [CrossRef]
- Yang, Z.; Huang, X.; Liao, H. Structure and functional analysis reveal an important regulated role of arginine kinase in Patinopecten yessoensis under low pH stress. Aquat. Toxicol. 2020, 222, 105452. [Google Scholar] [CrossRef]
- Voncken, F.; Gao, F.; Wadforth, C. The phosphoarginine energy-buffering system of Trypanosoma brucei involves multiple arginine kinase isoforms with different subcellular locations. PLoS ONE 2013, 8, e65908. [Google Scholar] [CrossRef]
- Gäde, G.; Weeda, E.; Gabbott, P.A. Changes in the level of octopine during the escape responses of the scallop, Pecten maximus (L.). J. Comp. Physiol. 1978, 124, 121–127. [Google Scholar] [CrossRef]
- Qin, Y.L.; Peng, H.L.Y.; Fu, S.J. Effects of food deprivation on fast-start swimming and predator-prey interaction between a predator and prey fish species. Chin. J. Ecol. 2016, 35, 2429–2434. [Google Scholar]
- Hirai, H.; Pang, Z.; Bao, D. Cbln1 is essential for synaptic integrity and plasticity in the cerebellum. Nat. Neurosci. 2005, 8, 1534–1541. [Google Scholar] [CrossRef] [PubMed]
- Matsuda, K.; Yuzaki, M. Cbln family proteins promote synapse formation by regulating distinct neurexin signaling pathways in various brain regions. Eur. J. Neurosci. 2011, 33, 1447–1461. [Google Scholar] [CrossRef]
- Stevens, B.; Allen, N.J.; Vazquez, L.E. The classical complement cascade mediates CNS synapse elimination. Cell 2007, 131, 1164–1178. [Google Scholar] [CrossRef] [PubMed]
- Uemura, T.; Lee, S.J.; Yasumura, M. Trans-synaptic interaction of GluRδ2 and Neurexin through Cbln1 mediates synapse formation in the cerebellum. Cell. 2010, 141, 1068–1079. [Google Scholar] [CrossRef] [PubMed]
- Reid, K.B.M.; Gagnon, J.; Frampton, J. Completion of the amino acid sequences of the A and B chains of subcomponent C1q of the first component of human complement. Biochem. J. 1982, 203, 559–569. [Google Scholar] [CrossRef]
- Yamauchi, T.; Kamon, J.; Waki, H.; Imai, Y.; Shimozawa, N.; Hioki, K.; Uchida, S.; Ito, Y.; Takakuwa, K.; Matsui, J.; et al. Globular adiponectin protected ob/ob mice from diabetes and ApoE-deficient mice from atherosclerosis. J. Biol. Chem. 2003, 278, 2461–2468. [Google Scholar] [CrossRef]
- Bolliger, M.F.; Martinelli, D.C.; Südhof, T.C. The cell-adhesion G protein-coupled receptor BAI3 is a high-affinity receptor for C1q-like proteins. Proc. Natl. Acad. Sci. USA 2011, 108, 2534–2539. [Google Scholar] [CrossRef]
- Ressl, S.; Vu, B.K.; Vivona, S. Structures of C1q-like proteins reveal unique features among the C1q/TNF superfamily. Structure 2015, 23, 688–699. [Google Scholar] [CrossRef]
- Gao, Z. Identification, Expression and Functional Characterization of Complement Components C1q-like and C3a Molecules in Amphioxus. Master’s Thesis, Ocean University Of China, Qingdao, China, 2015. [Google Scholar]
- Nayak, A.; Ferluga, J.; Tsolaki, A.G. The non-classical functions of the classical complement pathway recognition subcomponent C1q. Immunol. Lett. 2010, 131, 139–150. [Google Scholar] [CrossRef]
- Nauta, A.J.; Trouw, L.A.; Daha, M.R. Direct binding of C1q to apoptotic cells and cell blebs induces complement activation. Eur. J. Immunol. 2002, 32, 1726–1736. [Google Scholar] [CrossRef] [PubMed]
- Korb, L.C.; Ahearn, J.M. C1q binds directly and specifically to surface blebs of apoptotic human keratinocytes: Complement deficiency and systemic lupus erythematosus revisited. J. Immunol. 1997, 158, 4525–4528. [Google Scholar] [CrossRef] [PubMed]
- Young, K.R., Jr.; Ambrus, J.L., Jr.; Malbran, A. Complement subcomponent C1q stimulates Ig production by human B lymphocytes. J. Immunol. 1991, 146, 3356–3364. [Google Scholar] [CrossRef] [PubMed]
- Ferry, H.; Potter, P.K.; Crockford, T.L. Increased positive selection of B1 cells and reduced B cell tolerance to intracellular antigens in c1q-deficient mice. J. Immunol. 2007, 178, 2916–2922. [Google Scholar] [CrossRef] [PubMed]
- Kobayashi, H.; Hirashima, Y.; Terao, T. Human myometrial cells in culture express specific binding sites for urinary trypsin inhibitor. Mol. Hum. Reprod. 2000, 6, 735–742. [Google Scholar] [CrossRef]
- Bordin, S.; Ghebrehiwet, B.; Page, R.C. Participation of C1q and its receptor in adherence of human diploid fibroblast. J. Immunol. 1990, 145, 2520–2526. [Google Scholar] [CrossRef]
- Naito, A.T.; Sumida, T.; Nomura, S. Complement C1q activates canonical Wnt signaling and promotes aging-related phenotypes. Cell 2012, 149, 1298–1313. [Google Scholar] [CrossRef]
- Bossi, F.; Tripodo, C.; Rizzi, L. C1q as a unique player in angiogenesis with therapeutic implication in wound healing. Proc. Natl. Acad. Sci. USA 2014, 111, 4209–4214. [Google Scholar] [CrossRef]
- Tan, A.; Ke, S.Y.; Chen, Y. Expression patterns of C1ql4 and its cell-adhesion GPCR Bai3 in the murine testis and functional roles in steroidogenesis. FASEB J. 2019, 33, 4893–4906. [Google Scholar] [CrossRef]
- Siddiqui, N.; Straube, A. The Kinesin–3 Family: Long-Distance Transporters. In Kinesin Superfamily Handbook; CRC Press: Boca Raton, FL, USA, 2020. [Google Scholar]
- Venkateswarlu, K.; Hanada, T.; Chishti, A.H. Centaurin-α1 interacts directly with kinesin motor protein KIF13B. J. Cell. Sci. 2005, 118, 2471–2484. [Google Scholar] [CrossRef][Green Version]
- Willemsen, M.H.; Ba, W.; Wissink-Lindhout, W.M. Involvement of the kinesin family members KIF4A and KIF5C in intellectual disability and synaptic function. J. Med. Genet. 2014, 51, 487–494. [Google Scholar] [CrossRef] [PubMed]
- Serra-Marques, A.; Martin, M.; Akhmanova, A. Concerted action of kinesins KIF5B and KIF13B promotes efficient secretory vesicle transport to microtubule plus ends. Elife 2020, 9, e61302. [Google Scholar] [CrossRef] [PubMed]
- Grigoriev, I.; Splinter, D.; Akhmanova, A. Rab6 regulates transport and targeting of exocytotic carriers. Dev. Cell 2007, 13, 305–314. [Google Scholar] [CrossRef]
- Held, R.G.; Liu, C.; Kaeser, P.S. ELKS controls the pool of readily releasable vesicles at excitatory synapses through its N-terminal coiled-coil domains. Elife 2016, 5, e14862. [Google Scholar] [CrossRef]
- Yamada, K.H.; Nakajima, Y.; Geyer, M.; Wary, K.K.; Ushio-Fukai, M.; Komarova, Y.; Malik, A.B. KIF13B regulates angiogenesis through Golgi to plasma membrane trafficking of VEGFR2. J. Cell. Sci. 2014, 127, 4518–4530. [Google Scholar] [CrossRef]
- Amiri, M.; Conserva, F.; Panayiotou, C. The human adenylate kinase 9 is a nucleoside mono-and diphosphate kinase. Int. J. Biochem. Cell Biol. 2013, 45, 925–931. [Google Scholar] [CrossRef]
- Dzeja, P.; Terzic, A. Adenylate Kinase and AMP signaling networks: Metabolic monitoring, signal communication and body energy sensing. Int. J. Mol. Sci. 2009, 10, 1729–1772. [Google Scholar] [CrossRef] [PubMed]
- Bricelj, V.M.; Krause, M.K. Resource allocation and population genetics of the bay scallop, Argopecten irradians irradians: Effects of age and allozyme heterozygosity on reproductive output. Mar. Biol. 1992, 113, 253–261. [Google Scholar] [CrossRef]
- Bronte, V.; Zanovello, P. Regulation of immune responses by L-arginine metabolism. Nat. Rev. Immunol. 2005, 5, 641–654. [Google Scholar] [CrossRef]
- Cragg, S.M. Development, physiology, behaviour and ecology of scallop larvae. In Scallops: Biology, Ecology and Aquaculture; Shumway, S.E., Parsons, G.J., Eds.; Elsevier: Amsterdam, The Netherlands, 2006; pp. 45–122. [Google Scholar]
- Cragg, S.M. The ciliated rim of the velum of larvae of Pecten maximus (Bivalvia: Pectinidae). J. Molluscan Stud. 1989, 55, 497–508. [Google Scholar] [CrossRef]
- Dezwaan, A.; Thompson, R.J.; Livingstone, D.R. Physiological and biochemical aspects of the valve snap and valve closure responses in the giant scallop placopecten magellanicus. 2. Biochemistry. J. Comp. Physiol. 1980, 137, 105–114. [Google Scholar] [CrossRef]
- Yang, A.L. Effects of Adenylate Kinase ak4 Knockout on Germ Cell Apoptosis of Male Zebrafish. Master’s Thesis, Shandong University, Shandong, China, 2017. [Google Scholar]
- Shi, X.; Wang, L.; Zhou, Z.; Song, L. The arginine kinase in Zhikong scallop Chlamys farreri is involved in immunomodulation. Dev. Comp. Immunol. 2012, 37, 270–278. [Google Scholar] [CrossRef] [PubMed]
- Vogel, B.E.; Muriel, J.M.; Dong, C. Hemicentins: What have we learned from worms. Cell Res. 2006, 16, 872–878. [Google Scholar] [CrossRef]
- Vogel, B.E.; Hedgecock, E.M. Hemicentin, a conserved extracellular member of the immunoglobulin superfamily, organizes epithelial and other cell attachments into oriented line-shaped junctions. Development 2001, 128, 883–894. [Google Scholar] [CrossRef] [PubMed]
- Chowdhury, A.; Herzog, C.; Hasselbach, L. Expression of fibulin-6 in failing hearts and its role for cardiac fibroblast migration. Cardiovasc. Res. 2014, 103, 509–520. [Google Scholar] [CrossRef] [PubMed]
- Carney, T.J.; Natália, M.F.; Sonntag, C. Genetic Analysis of Fin Development in Zebrafish Identifies Furin and Hemicentin1 as Potential Novel Fraser Syndrome Disease Genes. PLoS Genet. 2010, 6, e1000907. [Google Scholar] [CrossRef]
- Lin, M.H.; Pope III, B.D.; Sasaki, T. Mammalian hemicentin 1 is assembled into tracks in the extracellular matrix of multiple tissues. Dev. Dyn. 2020, 249, 775–788. [Google Scholar] [CrossRef]
- Yang, L.D.; Jiang, H.F.; He, S.P. Comparative genomics reveals accelerated evolution of fright reaction genes in ostariophysan fishes. Front. Genet. 2019, 10, 1283. [Google Scholar] [CrossRef]
- Labrecque, A.-A.; Guderley, H. Size, muscle metabolic capacities and escape response behaviour in the giant scallop. Aquat. Biol. 2011, 13, 51–64. [Google Scholar] [CrossRef]
- Legault, C.; Himmelman, J.H. Relation between escape behavior of benthic marine invertebrates and the risk of predation. J. Exp. Mar. Biol. Ecol. 1993, 170, 55–74. [Google Scholar] [CrossRef]
- Pérez, H.M.; Janssoone, X.; Côté, C.; Guderley, H. Comparison between in vivo force recordings during escape responses and in vitro contractile capacities in the sea scallop, Placopecten magellanicus. J Shellfish Res. 2009, 28, 491–495. [Google Scholar] [CrossRef]
- Caddy, J.F. Underwater observations on scallop Placopecten magellanicus: Behaviour and drag efficiency. J. Fish Res. Board Can. 1968, 25, 2123–2141. [Google Scholar] [CrossRef]
- Dadswell, M.J.; Weihs, D. Size-related hydrodynamic characteristics of the giant scallop, Placopecten magellanicus (Bivalvia, Pectinidae). Can. J. Zool. 1990, 68, 778–785. [Google Scholar] [CrossRef]
- Manuel, J.L.; Dadswell, M.J. Swimming of juvenile sea scallops, Placopecten magellanicus (Gmelin)—A minimum size for effective swimming. J. Exp. Mar. Biol. Ecol. 1993, 174, 137–175. [Google Scholar] [CrossRef]
- Thayer, C.W. Adaptive features of swimming monomyarian bivalves (Mollusca). Forma Funct. 1972, 5, 1–32. [Google Scholar]
- Elner, R.W.; Jamieson, G.S. Predation of sea scallops, Placopecten magellanicus, by the rock crab, Cancer irroratus, and the American lobster, Homarus americanus. J. Fish. Res. Board Can. 1979, 36, 537–543. [Google Scholar] [CrossRef]
- Naidu, K.S.; Robert, G. Fisheries sea scallop, Placopecten magellanicus. In Scallops: Biology, Ecology and Aquaculture; Shumway, S.E., Parsons, G.J., Eds.; Elsevier: Amsterdam, The Netherlands, 2006; pp. 869–905. [Google Scholar]
- Vargas, C.A.; Lagos, N.A.; Lardies, M.A.; Duarte, C.; Manríquez, P.H.; Aguilera, V.M.; Broitman, B.; Widdicombe, S.; Dupont, S. Species-specific responses to ocean acidification should account for local adaptation and adaptive plasticity. Nat. Ecol. Evol. 2017, 1, 0084. [Google Scholar] [CrossRef]
- Duarte, C.M.; Hendriks, I.E.; Moore, T.S.; Olsen, Y.S.; Steckbauer, A.; Ramajo, L.; Carstensen, J.; Trotter, J.A.; McCulloch, M. Is ocean acidification an open-ocean syndrome? Understanding anthropogenic impacts on marine pH. Estuaries Coasts. 2013, 36, 221–236. [Google Scholar] [CrossRef]
- Ramajo, L.; Fernández, C.; Núñez, Y.; Caballero, P.; Lardies, M.A.; Poupin, M.J. Physiological responses of juvenile Chilean scallops (Argopecten purpuratus) to isolated and combined environmental drivers of coastal upwelling. ICES J. Mar. Sci. 2019, 76, 1836–1849. [Google Scholar] [CrossRef]
- Byrne, M.; Przeslawski, R. Multistressor impacts of warming and acidification of the ocean on marine Invertebrates’ life histories. Integr. Comp. Biol. 2013, 53, 582–596. [Google Scholar] [CrossRef]
- Lardies, M.A.; Benitez, S.; Osores, S.; Vargas, C.A.; Duarte, C.; Lohrmann, K.B.; Lagos, N.A. Physiological and histopathological impacts of increased carbon dioxide and temperature on the scallops Argopecten purpuratus cultured under upwelling influences in northern Chile. Aquaculture 2017, 479, 455–466. [Google Scholar] [CrossRef]
- Gaylord, B.; Hill, T.M.; Sanford, E.; Lenz, E.A.; Jacobs, L.A.; Sato, K.N. Functional impacts of ocean acidification in an ecologically critical foundation species. J. Exp. Biol. 2011, 214, 2586–2594. [Google Scholar] [CrossRef] [PubMed]
- Williams, E.A.; Degnan, B.M.; Gunter, H.; Jackson, D.J.; Woodcroft, B.J.; Degnan, S.M. Widespread transcriptional changes preempt the critical pelagic-benthic transition in the vetigastropod Haliotis asinina. Mol. Ecol. 2009, 18, 1006–1025. [Google Scholar] [CrossRef] [PubMed]
- Crain, C.M.; Kroeker, K.; Halpern, B.S. Interactive and cumulative effects of multiple human stressors in marine systems. Ecol. Lett. 2008, 11, 1304–1315. [Google Scholar] [CrossRef] [PubMed]
- Kroeker, K.J.; Sanford, E.; Rose, J.M.; Blanchette, C.A.; Chan, F.; Chavez, F.P.; Washburn, L. Interacting environmental mosaics drive geographic variation in mussel performance and predation vulnerability. Ecol. Lett. 2016, 19, 771–779. [Google Scholar] [CrossRef]
- Hendriks, I.E.; Duarte, C.M.; Olsen, Y.S.; Steckbauer, A.; Ramajo, L.; Moore, T.S.; Trotter, J.A.; McCulloch, M. Biological mechanisms supporting adaptation to ocean acidification in coastal ecosystems. Estuar. Coast. Shelf Sci. 2015, 152, A1–A8. [Google Scholar] [CrossRef]
- Hoogenboom, M.O.; Campbell, D.A.; Beraud, E.; DeZeeuw, K.; Ferrier-Pages, C. Effects of light, food availability and temperature stress on the function of photo-system II and photosystem I of coral symbionts. PLoS ONE 2012, 7, e30167. [Google Scholar] [CrossRef]
- Iranon, N.N.; Miller, D.L. Interactions between oxygen homeostasis, food availability, and hydrogen sulfide signaling. Front. Genet. Aging 2012, 3, 257. [Google Scholar] [CrossRef]
- Phillips, D.W. Avoidance and escape responses of the gastropod mollusc Olivella biplicata (Sowerby) to predatory asteroids. J. Exp. Mar. Biol. Ecol. 1977, 28, 77–86. [Google Scholar] [CrossRef]
- Harvey, C.; Garneau, F.X.; Himmelman, J.H. Chemodetection of the predatory seastar Leptasterias polaris by the whelk Buccinum undatum. Mar. Ecol. Prog. Ser. 1987, 40, 79–86. [Google Scholar] [CrossRef]
- Grefsrud, E.S.; Strand, Ø. Comparison of shell strength in wild and cultured scallops (Pecten maximus). Aquaculture 2006, 251, 306–313. [Google Scholar] [CrossRef]













| Large Size (l) | Middle Size (m) | Small Size (s) | |
|---|---|---|---|
| Shell length/mm | 119.85 ± 3.23 | 89.24 ± 3.77 | 60.10 ± 3.23 |
| Shell height/mm | 116.92 ± 6.02 | 87.46 ± 3.55 | 61.39 ± 6.02 |
| Shell width/mm | 26.98 ± 2.98 | 26.98 ± 2.98 | 16.21 ± 2.63 |
| Total wet weight/g | 176.50 ± 28.57 | 83.70 ± 13.97 | 30.16 ± 5.29 |
| Gene Name | Forward Primer (5′-3′) | Reverse Primer (5′-3′) |
|---|---|---|
| Gapdh | TGGTATGGCTTTCCGTGTGC | TCCTCTGTGTAACCAAGGAACC |
| KIF13B | GCAGCCAACCTCAGTCCTAACAG | TCGTGCTCGTCCTCTACCATCAT |
| CYP2C8 | GTTGCTCCTCTTGGCGTTCCT | GGCGACCGACAGAGAATGCT |
| ZCCHC8 | ACCACCACTGCCAATCAACACTC | CCATCACCTGTAGCTCCACCTCT |
| TRXL | TGTCTACAACACCCGCCAGAAT | ACACCACGAAGCATGGAAGTC |
| RAD17 | ACGAGTCGGAGTTGTGGTCTG | TGCCTGTGCCTTGAGATGTGT |
| OTOF | GTTGACGGACTCGGACGACATC | GCCTTCAGCACTCGCACAGT |
| C25B8.10 | GTTGAGCTTGGAGCTGGAACAG | GCCACCACAGTCCTAACAGAGT |
| CHRNA2 | GCCGTGCTCAGAATCCACAACT | TCCCGACGACACGCCACAATA |
| PROM1A | GGTTTGGCTTGGGATGGTGTCT | GCGTGGCTGACCTTGTTGCT |
Disclaimer/Publisher’s Note: The statements, opinions and data contained in all publications are solely those of the individual author(s) and contributor(s) and not of MDPI and/or the editor(s). MDPI and/or the editor(s) disclaim responsibility for any injury to people or property resulting from any ideas, methods, instructions or products referred to in the content. |
© 2024 by the authors. Licensee MDPI, Basel, Switzerland. This article is an open access article distributed under the terms and conditions of the Creative Commons Attribution (CC BY) license (https://creativecommons.org/licenses/by/4.0/).
Share and Cite
Li, X.; Li, D.; Tian, Y.; Chang, Y.; Hao, Z. Behavioral Characteristics and Related Physiological and Ecological Indexes of Cultured Scallops (Mizuhopecten yessoensis) in Response to Predation by the Crab Charybdis japonica. Fishes 2024, 9, 389. https://doi.org/10.3390/fishes9100389
Li X, Li D, Tian Y, Chang Y, Hao Z. Behavioral Characteristics and Related Physiological and Ecological Indexes of Cultured Scallops (Mizuhopecten yessoensis) in Response to Predation by the Crab Charybdis japonica. Fishes. 2024; 9(10):389. https://doi.org/10.3390/fishes9100389
Chicago/Turabian StyleLi, Xian, Danyang Li, Ying Tian, Yaqing Chang, and Zhenlin Hao. 2024. "Behavioral Characteristics and Related Physiological and Ecological Indexes of Cultured Scallops (Mizuhopecten yessoensis) in Response to Predation by the Crab Charybdis japonica" Fishes 9, no. 10: 389. https://doi.org/10.3390/fishes9100389
APA StyleLi, X., Li, D., Tian, Y., Chang, Y., & Hao, Z. (2024). Behavioral Characteristics and Related Physiological and Ecological Indexes of Cultured Scallops (Mizuhopecten yessoensis) in Response to Predation by the Crab Charybdis japonica. Fishes, 9(10), 389. https://doi.org/10.3390/fishes9100389

