Effects of Stocking Density of the River Shrimp Cryphiops caementarius on Physiological and Performance Responses in a Biofloc System
Abstract
1. Introduction
2. Materials and Methods
2.1. Experimental Design and Conditions
2.2. Water Quality Parameters
2.3. Shrimp Performance
2.4. Total RNA Extraction and Gene Expression Analysis by qPCR
2.5. Statistical Analysis
3. Results
3.1. Water Quality
3.2. Zootechnical Performance Responses
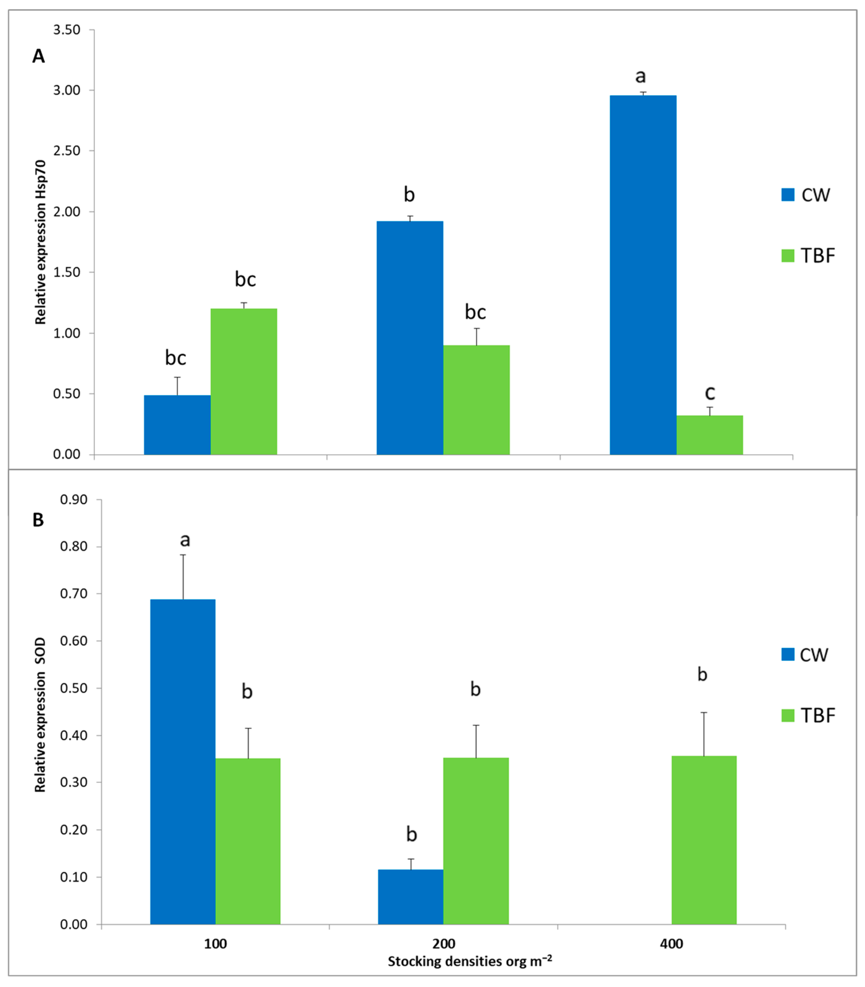
3.3. Expression of Genes
4. Discussion
5. Conclusions
Author Contributions
Funding
Institutional Review Board Statement
Informed Consent Statement
Data Availability Statement
Acknowledgments
Conflicts of Interest
References
- McIntosh, R. Modelling shrimp industry towards sustainability. INFOFISH 2019. In Proceedings of the World Shrimp Conference and Exposition “Modelling for Sustainability”, Bangkok, Thailand, 12–14 November 2019; pp. 1–7. [Google Scholar]
- Rodríguez-Olague, D.; Ponce-Palafox, J.T.; Castillo-Vargasmachuca, S.G.; Arámbul-Muñoz, E.; de los Santos, R.C.; Esparza-Leal, H.M. Effect of nursery system and stocking density to produce juveniles of whiteleg shrimp Litopenaeus vannamei. Aquacult. Rep. 2021, 20, 100709. [Google Scholar] [CrossRef]
- Kaya, D.; Genç, E.; Güroy, D.; Dinçer, S.; Yılmaz, B.H.; Yıldız, H.Y. Evaluation of biofloc technology for Astacus leptodactylus: Effect of different stocking densities on production performance and physiological responses. Acta Aquat. Turc. 2021, 17, 569–579. [Google Scholar] [CrossRef]
- Galkanda-Arachchige, H.S.C.; Hussain, A.S.; Davis, D.A. Improvement in laboratory research: Effects of stocking density, variation and sample size on outcomes of growth studies with shrimp. Aquac. Res. 2022, 53, 843–850. [Google Scholar] [CrossRef]
- Fróes, C.; Fóes, G.; Krummenauer, D.; Poersch, L.H.; Wasielesky, W. Densidade de estocagem na engorda de camarão-branco cultivado em sistema de biofloco. Pesq. Agropec. Bras. 2013, 48, 878–884. [Google Scholar] [CrossRef][Green Version]
- Battisti, E.K.; Rabaioli, A.; Uczay, J.; Sutili, F.J.; Lazzari, R. Effect of stocking density on growth, hematological and biochemical parameters and antioxidant status of silver catfish (Rhamdia quelen) cultured in a biofloc system. Aquaculture 2020, 524, 735213. [Google Scholar] [CrossRef]
- Falahatkar, B.; Bagheri, M.; Efatpanah, I. The effect of stocking densities on growth performance and biochemical indices in new hybrid of Leuciscus aspius ♀ × Rutilus frisii ♂. Aquacult. Rep. 2019, 15, 100207. [Google Scholar] [CrossRef]
- Ellis, T.; North, B.; Scott, A.P.; Bromage, N.R.; Porter, M.; Gadd, D. The relationships between stocking density and welfare in farmed rainbow trout. J. Fish Biol. 2002, 61, 493–531. [Google Scholar] [CrossRef]
- Arnold, S.J.; Sellars, M.J.; Crocos, P.J.; Coman, G.J. Intensive production of juvenile tiger shrimp Penaeus monodon: An evaluation of stocking density and artificial substrates. Aquaculture 2006, 261, 890–896. [Google Scholar] [CrossRef]
- Sookying, D.; Silva, F.S.D.; Davis, D.A.; Hanson, T.R. Effects of stocking density on the performance of Pacific white shrimp Litopenaeus vannamei cultured under pond and outdoor tank conditions using a high soybean meal diet. Aquaculture 2011, 319, 232–239. [Google Scholar] [CrossRef]
- Lin, Y.C.; Chen, J.C.; Chen, Y.Y.; Yeh, S.T.; Chen, L.L.; Huang, C.L.; Hsieh, J.F.; Li, C.C. Crowding of white shrimp Litopenaeus vananmei depresses their immunity to and resistance against Vibrio alginolyticus and white spot syndrome virus. Fish Shellfish Immunol. 2015, 45, 104–111. [Google Scholar] [CrossRef]
- Da Silveira, L.G.P.; Krummenauer, D.; Poersch, L.H.; Rosas, V.T.; Wasielesky, W. Hyperintensive stocking densities for Litopenaeus vannamei grow-out in biofloc technology culture system. J. World Aquac. Soc. 2020, 51, 1290–1300. [Google Scholar] [CrossRef]
- Anh, N.T.N.; Shayo, F.A.; Nevejan, N.; Van Hoa, N. Effects of stocking densities and feeding rates on water quality, feed efficiency, and performance of white leg shrimp Litopenaeus vannamei in an integrated system with sea grape Caulerpa lentillifera. J. Appl. Phycol. 2021, 33, 3331–3345. [Google Scholar] [CrossRef]
- Preto, A.L.; Pisseti, T.L.; Wasielesky, W.J.; Poersch, L.H.; Cavalli, R.O. Production of live bait-shrimp (Farfantepenaeus paulensis) in cages at varying stoking densities. Bol. Inst. Pesca 2009, 35, 39–45. Available online: https://institutodepesca.org/index.php/bip/article/view/836/820 (accessed on 14 May 2024).
- Li, J.; Xu, S.; Cai, Y.; Jiang, Y.; Chen, H.; Lin, L.; Lv, X. The effects of net-chasing training on survival and growth are related to stocking density in the freshwater prawn Macrobrachium rosenbergii. Aquaculture 2022, 561, 738621. [Google Scholar] [CrossRef]
- Nageswari, P.; Verma, A.K.; Gupta, S.; Jeyakumari, A.; Hittinahalli, C.M. Effects of different stocking densities on haematological, non-specific immune, and antioxidant defence parameters of striped catfish (Pangasianodon hypophthalmus) fingerlings reared in finger millet-based biofloc system. Aquacult. Int. 2022, 30, 3229–3245. [Google Scholar] [CrossRef]
- Khanjani, M.H.; Sharifinia, M. Biofloc technology as a promising tool to improve aquaculture production. Rev. Aquacult. 2020, 12, 1836–1850. [Google Scholar] [CrossRef]
- El-Sayed, A.F.M. Use of biofloc technology in shrimp aquaculture: A comprehensive review, with emphasis on the last decade. Rev. Aquacult. 2021, 13, 676–705. [Google Scholar] [CrossRef]
- Emerenciano, M.; Cuzon, G.; Paredes, A.; Gaxiola, G. Evaluation of biofloc technology in pink shrimp Farfantepenaeus duorarum culture: Growth performance, water quality, microorganisms profile and proximate analysis of biofloc. Aquacult. Int. 2013, 21, 1381–1394. [Google Scholar] [CrossRef]
- Jatobá, A.; da Silva, B.C.; da Silva, J.S.; Vieira, F.; Mouriño, J.L.P.; Seiffert, W.Q.; Toledo, T.M. Protein levels for Litopenaeus vannamei in semi-intensive and biofloc systems. Aquaculture 2014, 432, 365–371. [Google Scholar] [CrossRef]
- Avnimelech, Y. Carbon/nitrogen ratio as a control element in aquaculture systems. Aquaculture 1999, 176, 227–235. [Google Scholar] [CrossRef]
- Crab, R.; Defoirdt, T.; Bossier, P.; Verstraete, W. Biofloc technology in aquaculture: Beneficial effects and future challenges. Aquaculture 2012, 356–357, 351–356. [Google Scholar] [CrossRef]
- Ekasari, J.; Angela, D.; Waluyo, S.H.; Bachtiar, T.; Surawidjaja, E.H.; Bossier, P.; De Schryver, P. The size of biofloc determines the nutritional composition and the nitrogen recovery by aquaculture animals. Aquaculture 2014, 426–427, 105–111. [Google Scholar] [CrossRef]
- Crab, R.; Kochva, M.; Verstraete, W.; Avnimelech, Y. Bio-flocs technology application in over-wintering of tilapia. Aquacult. Eng. 2009, 40, 105–112. [Google Scholar] [CrossRef]
- Krummenauer, D.; Peixoto, S.; Cavalli, R.O.; Poersch, L.H.; Wasielesky, W., Jr. Superintensive Culture of White Shrimp, Litopenaeus vannamei, in a Biofloc Technology System in Southern Brazil at Different Stocking Densities. J. World Aquacult. Soc. 2011, 42, 726–733. [Google Scholar] [CrossRef]
- Ekasari, J.; Hanif Azhar, M.; Surawidjaja, E.H.; Nuryati, S.; De Schryver, P.; Bossier, P. Immune response and disease resistance of shrimp fed biofloc grown on different carbon sources. Fish Shellfish. Immunol. 2014, 41, 332–339. [Google Scholar] [CrossRef]
- Ekasari, J.; Rivandi, D.R.; Firdausi, A.P.; Surawidjaja, E.H.; Zairin, M., Jr.; Bossier, P.; De Schryver, P. Biofloc technology positively affects Nile tilapia (Oreochromis niloticus) larvae performance. Aquaculture 2015, 441, 72–77. [Google Scholar] [CrossRef]
- Khanjani, M.H.; Mohammadi, M.G.C.; Emerenciano, A. Microorganisms in biofloc aquaculture system. Aquacult. Rep. 2022, 26, 101300. [Google Scholar] [CrossRef]
- Bossier, P.; Ekasari, J. Biofloc technology application in aquaculture to support sustainable development goals. Microb. Biotechnol. 2017, 10, 1012–1016. [Google Scholar] [CrossRef]
- Emerenciano, M.G.C.; Miranda-Baeza, A.; Martínez-Porchas, M.; Poli, M.A.; Vieira, F.N. Biofloc Technology (BFT) in Shrimp Farming: Past and Present Shaping the Future. Front. Mar. Sci. 2021, 8, 813091. [Google Scholar] [CrossRef]
- Emerenciano, M.; Ballester, E.L.C.; Cavalli, R.O.; Wasielesky, W. Effect of Biofloc technology (BFT) on the early postlarval stage of pink shrimp Farfantepenaeus paulensis: Growth performance, floc composition and salinity stress tolerance. Aquacult. Int. 2011, 19, 891–901. [Google Scholar] [CrossRef]
- Haslun, J.; Correia, E.; Strychar, K.; Morris, T.; Samocha, T. Characterization of bioflocs in a no water exchange super-intensive system for the production of food size pacific white shrimp Litopenaeus vannamei. Int. J. Aquacult. 2012, 2, 29–39. [Google Scholar] [CrossRef]
- Zhao, P.; Huang, J.; Wang, X.H.; Song, X.L.; Yang, C.H.; Zhang, X.G.; Wang, G.C. The application of bioflocs technology in high-intensive, zero exchange farming systems of Marsupenaeus japonicus. Aquaculture 2012, 354–355, 97–106. [Google Scholar] [CrossRef]
- Khanjani, M.H.; Alizadeh, M.; Sharifinia, M. Rearing of the Pacific white shrimp, Litopenaeus vannamei in a biofloc system: The effects of different food sources and salinity levels. Aquacult. Nutr. 2020, 26, 328–337. [Google Scholar] [CrossRef]
- Poersch, L.H.; Foes, G.; Krummenauer, D.; Romano, L.A.; Wasielesky, W. Biofloco: Uma Alternativa Para Camarões Saudáveis, 130th ed.; Panorama da Aquicultura: Laranjeiras, Brazil, 2012. [Google Scholar]
- Taw, N.; Saleh, U. Malaysia Shrimp Project Scales up for Production in Biosecure Biofloc Modules. Global Aquaculture Advocate January/February 2013. Available online: www.globalseafood.org/advocate/malaysia-shrimp-project-scales-up-for-production-in-biosecure-biofloc-modules/ (accessed on 1 May 2023).
- De Lorenzo, M.A.; Poli, M.A.; Candia, E.W.S.; Schleder, D.D.; Rodrigues, M.S.; Guimarães, A.M.; Seiffert, W.Q.; do Nascimento Vieira, F. Hatchery performance of the pacific white shrimp in biofloc system using different stocking densities. Aquacult. Eng. 2016, 75, 46–50. [Google Scholar] [CrossRef]
- Holanda, M.; Santana, G.; Furtado, P.; Rodrigues, R.V.; Cerqueira, V.R.; Sampaio, L.A.; Wasielesky, W., Jr.; Poersch, L.H. Evidence of total suspended solids control by Mugil liza reared in an integrated system with pacific white shrimp Litopenaeus vannamei using biofloc technology. Aquacult. Rep. 2020, 18, 100479. [Google Scholar] [CrossRef]
- Xu, W.J.; Pan, L.Q. Enhancement of immune response and antioxidant status of Litopenaeus vannamei juvenile in biofloc-based culture tanks manipulating high C/N ratio of feed input. Aquaculture 2013, 412–413, 117–124. [Google Scholar] [CrossRef]
- Valenzuela-Jiménez, M.; Aguilera-Rivera, D.; Wasielesky, W., Jr.; Hernández-López, I.; Rodríguez-Fuentes, G.; Durruty-Lagunes, C.; Cuzon, G.; Gaxiola, G. The effect of biofloc and clear water at low and high salinity concentration on growth performance and antioxidant response of wild juveniles of Atlantic white shrimp Penaeus setiferus. Lat. Am. J. Aquat. Res. 2021, 49, 451–464. [Google Scholar] [CrossRef]
- Negrini, C.; Castro, C.; Bittencourt-Guimarães, A.; Frozza, A.; Ortiz-Kracizy, R.; Cupertino-Ballester, E. Stocking density for freshwater prawn Macrobrachium rosenbergii (Decapoda, Palaemonidae) in biofloc system. Lat. Am. J. Aquat. Res. 2017, 45, 891–899. [Google Scholar] [CrossRef]
- Lima, P.V.; Melo, F.P.; Ferreira, M.G.P.; Flickinger, D.L.; Correia, E.S. Larviculture of the painted river prawn Macrobrachium carcinus in different culture systems. Aquacult. Eng. 2021, 92, 102139. [Google Scholar] [CrossRef]
- Meruane, J.A.; Morales, M.C.; Galleguillos, C.A.; Rivera, M.A.; Hosokawa, H. Experiencias y resultados de investigaciones sobre el camarón de rio del norte Cryphiops caementarius (Molina, 1782) (Decapoda: Palaemonidae): Historia natural y cultivo. Gayana 2006, 70, 280–292. [Google Scholar] [CrossRef]
- Jara, C. Camarones Dulceacuícolas en Chile; Informe técnico-científico; Instituto de Zoología, Universidad Austral de Chile: Valdivia, Chile, 1994; 15p. [Google Scholar]
- Moscoso, V. Catálogo de crustáceos decápodos y estomatópodos del Perú. Bol. Inst. Mar. Perú 2012, 27, 209. Available online: https://hdl.handle.net/20.500.12958/2190 (accessed on 14 May 2024).
- Meruane, J.; Rivera, M.; Morales, C.; Galleguillos, C.; Hosokawa, H. Juvenile production of the freshwater prawn Cryphiops caementarius (Decapoda: Palaemonidae) under laboratory conditions in Coquimbo, Chile. Gayana 2006, 70, 228–236. [Google Scholar] [CrossRef]
- Zacarías, S.; Yépez, V. Camarón de río Cryphiops caementarius (Molina, 1782) en la costa centro-sur del Perú, 2007. Inf. Inst. Mar. Perú 2015, 42, 398–415. Available online: https://hdl.handle.net/20.500.12958/2989 (accessed on 14 May 2024).
- Moreno-Reyes, J.E.; Morales, M.C.; Meruane, J. A feasible path towards year-round production: Effects of temperature and photoperiod on ovarian maturity of subtropical palaemonid, the river shrimp, Cryphiops caementarius. Aquacult. Rep. 2021, 21, 100809. [Google Scholar] [CrossRef]
- Velásquez, C.; Wilson, A.E.; Torres-Avilés, D.; Alanís, Y.; Cárcamo, F.; Morales, M.C.; Tapia, C. Propuesta de Plan de Manejo Integrado Para el Camarón de río del Norte (Cryphiops caementarius) en la Cuenca del río Choapa; Instituto de Fomento Pesquero: Valparaíso, Chile, 2022. [Google Scholar]
- Ministerio Del Medio Ambiente (MMA). Decreto Supremo N°52 Aprueba y Oficializa Clasificación de Especies Según su Estado de Conservación, Décimo Proceso. Diario Oficial de la República de Chile, N°40.945, Cuerpo I-5. 2014. Available online: https://www.bcn.cl/leychile/navegar?idNorma=1065895&idParte=0http://bcn.cl/2rhef (accessed on 1 May 2024).
- Ulloa, D.A.; Morales, M.C.; Emerenciano, M.G. Biofloc technology: Principles focused on potential species and the case study of Chilean river shrimp Cryphiops caementarius. Rev. Aquacult. 2020, 12, 1759–1782. [Google Scholar] [CrossRef]
- Mendez, C.A.; Morales, M.C.; Merino, G.E. Settling velocity distribution of bioflocules generated with different carbon sources during the rearing of the river shrimp Cryphiops caementarius with biofloc technology. Aquacult. Eng. 2021, 93, 102157. [Google Scholar] [CrossRef]
- Ulloa, D. Efectos de la Tecnología Biofloc, Utilizando dos Fuentes de Carbono, Sobre Parámetros Zootécnicos, Enzimas Digestivas y Respuesta Inmune en Cryphiops caementarius (Molina, 1782). Ph.D. Thesis, Programa Cooperativo, Universidad de Chile, Universidad Católica del Norte, Pontificia Universidad Católica de Valparaíso, Valparaiso, Chile, 2021. [Google Scholar]
- Zheng, J.; Mao, Y.; Su, Y.; Wang, J. Effects of stocking density on the survival, growth and physical injury of Marsupenaeus japonicus juveniles in a flowing water aquaculture system. Aquacult. Res. 2020, 51, 1500–1506. [Google Scholar] [CrossRef]
- Nageswari, P.; Verma, A.K.; Gupta, S.; Jeyakumari, A.; Chandrakant, M.H. Optimization of stocking density and its impact on growth and physiological responses of Pangasianodon hypophthalmus (Sauvage, 1878) fingerlings reared in finger millet based biofloc system. Aquaculture 2022, 551, 737909. [Google Scholar] [CrossRef]
- Liu, G.; Zhu, S.; Liu, D.; Guo, X.; Ye, Z. Effects of stocking density of the white shrimp Litopenaeus vannamei (Boone) on immunities, antioxidant status, and resistance against Vibrio harveyi in a biofloc system. Fish Shellfish Immunol. 2017, 67, 19–26. [Google Scholar] [CrossRef]
- Deng, Y.; Xu, X.; Yin, X.; Lu, H.; Chen, G.; Yu, J.; Ruan, Y. Effect of stock density on the microbial community in biofloc water and Pacific white shrimp (Litopenaeus vannamei) gut microbiota. Appl. Microbiol. Biotechnol. 2019, 103, 4241–4252. [Google Scholar] [CrossRef]
- Poli, M.A.; Legarda, E.C.; de Lorenzo, M.A.; Martins, M.A.; do Nascimento Vieira, F. Pacific White shrimp and Nile tilapia integrated in a biofloc system under different fish-stocking densities. Aquaculture 2019, 498, 83–89. [Google Scholar] [CrossRef]
- Irani, M.; Islami, H.R.; Nafisi Bahabadi, M.; Hosseini Shekarabi, S.P. Production of Pacific white shrimp under different stocking density in a zero-water exchange biofloc system: Effects on water quality, zootechnical performance, and body composition. Aquacult. Eng. 2023, 100, 102313. [Google Scholar] [CrossRef]
- Wasielesky, W., Jr.; Atwood, H.; Stokes, A.; Browdy, C.L. Effect of natural production in a zero-exchange suspended microbial floc based super-intensive culture system for white shrimp Litopenaeus vannamei. Aquaculture 2006, 258, 396–403. [Google Scholar] [CrossRef]
- Emerenciano, M.G.C.; Wasielesky, W., Jr.; Soares, R.B.; Ballester, E.C.; Izeppi, E.M.; Cavalli, R.O. Crescimento e sobrevivência do camarão-rosa (Farfantepenaeus paulensis) na fase de berçário em meio heterotrófico. Acta Sci. Biol. Sci. 2007, 29, 1–7. [Google Scholar]
- Ebeling, J.M.; Timmons, M.B.; Bisogni, J.J. Engineering analysis of the stoichiometry of photoautotrophic, autotrophic, and heterotrophic removal of ammonia-nitrogen in aquaculture systems. Aquaculture 2006, 257, 346–358. [Google Scholar] [CrossRef]
- HACH. DR/2500 Spectrophotometer Procedure Manual; HACH Company: Loveland, CO, USA, 2003. [Google Scholar]
- American Public Health Association (APHA). Standard Methods for the Examination of Water and Wastewater, 19th ed.; American Public Health Association Inc.: Washington, DC, USA, 1995. [Google Scholar]
- Avnimelech, Y.; Kochba, M. Evaluation of nitrogen uptake and excretion by tilapia in biofloc tanks, using 15N tracing. Aquaculture 2009, 287, 163–168. [Google Scholar] [CrossRef]
- Dhar, A.K.; Bowers, R.M.; Licon, K.S.; Veazey, G.; Read, B. Validation of reference genes for quantitative measurement of immune gene expression in shrimp. Mol. Immunol. 2009, 46, 1688–1695. [Google Scholar] [CrossRef]
- Livak, K.J.; Schmittgen, T.D. Analysis of Relative Gene Expression Data Using Real-Time Quantitative PCR and the 2−ΔΔCT Method. Methods 2001, 25, 402–408. [Google Scholar] [CrossRef]
- Sokal, R.R.; Rohlf, F.J. Biometry: The Principles and Practices of Statistics in Biological Research, 3rd ed.; W. H. Freeman & Company: New York, NY, USA, 1995; p. 887. [Google Scholar]
- R Core Team. R: A Language and Environment for Statistical Computing; R Foundation for Statistical Computing: Vienna, Austria, 2018. [Google Scholar]
- Manduca, L.G.; da Silva, M.A.; de Alvarenga, É.R.; Alves, G.F.O.; Fernandes, A.F.A.; Assumpcao, A.F.; Cardoso, C.C.; de Sales, S.C.M.; Teixeira, E.A.; Silva, M.A.; et al. Effects of a zero exchange biofloc system on the growth performance and health of Nile tilapia at different stocking densities. Aquaculture 2020, 521, 735064. [Google Scholar] [CrossRef]
- Bardera, G.; Owen, M.A.G.; Façanha, F.N.; Alcaraz-Calero, J.M.; Alexander, M.E.; Sloman, K.A. The influence of density and dominance on Pacific white shrimp (Litopenaeus vannamei) feeding behavior. Aquaculture 2021, 531, 735949. [Google Scholar] [CrossRef]
- El-Hawarry, W.N.; Shourbela, R.M.; Haraz, Y.G.; Khatab, S.A.; Dawood, M.A.O. The influence of carbon source on growth, feed efficiency, and growth-related genes in Nile tilapia (Oreochromis niloticus) reared under biofloc conditions and high stocking density. Aquaculture 2021, 542, 736919. [Google Scholar] [CrossRef]
- Reyes-Avalos, W. Efecto del recipiente de cultivo sobre la supervivencia y el crecimiento de machos de Cryphiops caementarius en sistemas individualizados. Rev. Bio Ciencias 2016, 3, 311–325. [Google Scholar] [CrossRef]
- Escobar, C.; Pachamoro, M.; Reyes Avalos, W. Supervivencia y crecimiento de machos adultos del camarón de río Cryphiops caementarius Molina, 1782 (Crustacea, Palaemonidae) Expuestos a salinidades. Ecol. Apl. 2017, 16, 75–85. [Google Scholar] [CrossRef][Green Version]
- Terrones, S.; Reyes, W. Effect of diets with biological silage of mollusk residues on the growth of shrimp Cryphiops caementarius and tilapia Oreochromis niloticus in intensive co-culture. Sci. Agropecu. 2018, 9, 167–176. [Google Scholar] [CrossRef]
- Ferrer-Chujutalli, K.; Sernaqué-Jacinto, J.; Reyes-Avalos, W. Optimal temperature and thermal tolerance of postlarvae of the freshwater prawn Cryphiops (Cryphiops) caementarius acclimated to different temperatures. Heliyon 2024, 10, e25850. [Google Scholar] [CrossRef] [PubMed]
- Avnimelech, Y. Biofloc Technology: A Practical Guidebook, 2nd ed.; The World Aquaculture Society: Baton Rouge, LA, USA, 2012; 272p. [Google Scholar]
- Hargreaves, J.A. Biofloc Production Systems for Aquaculture; Southern Regional Aquaculture Center National Institute of Food and Agriculture, US Department of Agriculture: Washington, DC, USA, 2013; SRAC Publication No. 4503; pp. 1–11. [Google Scholar]
- Ahmad, I.; Babitha Rani, A.M.; Verma, A.K.; Maqsood, M. Biofloc technology: An emerging avenue in aquatic animal healthcare and nutrition. Aquacult. Int. 2017, 25, 1215–1226. [Google Scholar] [CrossRef]
- Rijn, J.; Tal, Y.; Schreier, H.J. Denitrification in recirculating systems: Theory and applications. Aquacult. Eng. 2006, 34, 364–376. [Google Scholar] [CrossRef]
- Gross, A.; Abutbul, S.; Zilberg, D. Acute and Chronic Effects of nitrite on White Shrimp, Litopenaeus vannamei, Cultured in Low-Salinity Brackish Water. J. World Aquacult. Soc. 2004, 35, 315–321. [Google Scholar] [CrossRef]
- Furtado, P.S.; Valenzuela, M.A.; Rodriguez-Fuentes, G.; Campos, B.R.; Wasielesky, W., Jr.; Gaxiola, G. Chronic effect of nitrite on the rearing of the white shrimp Litopenaeus vannamei in two salinities. Mar. Freshwater Behav. Physiol. 2016, 49, 201–211. [Google Scholar] [CrossRef]
- Cheng, W.; Liu, C.H.; Kuo, C.M. Effects of dissolved oxygen on hemolymph parameters of freshwater giant prawn, Macrobrachium rosenbergii (de Man). Aquaculture 2003, 220, 843–856. [Google Scholar] [CrossRef]
- Ebeling, J.M.; Timmons, M.B. Recirculating Aquaculture Systems, 2nd ed.; Cayuga Aqua Ventures: Ithaca, NY, USA, 2010; 939p. [Google Scholar]
- Chen, S.; Ling, J.; Blancheton, J.P. Nitrification kinetics of biofilm as affected by water quality factors. Aquacult. Eng. 2006, 34, 179–197. [Google Scholar] [CrossRef]
- Van Wyk, P.; Scarpa, J. Water quality requirements and management. In Farming Marine Shrimp in Recirculating Freshwater Systems; Van Wyk, P., Davis-Hodgkins, M., Laramore, R., Main, K.L., Mountain, J., Scarpa, J., Eds.; Florida Department of Agriculture and Consumer Services: Tallahassee, FL, USA, 1999; pp. 141–162. [Google Scholar]
- Furtado, P.S.; Poersch, L.H.; Wasielesky, W. The effect of different alkalinity levels on Litopenaeus vannamei reared with biofloc technology (BFT). Aquacult. Int. 2015, 23, 345–358. [Google Scholar] [CrossRef]
- Correia, E.S.; Wilkenfeld, J.S.; Morris, T.C.; Wei, L.; Prangnell, D.I.; Samocha, T.M. Intensive nursery production of the Pacific white shrimp Litopenaeus vannamei using two commercial feeds with high and low protein content in a biofloc-dominated system. Aquacult. Eng. 2014, 59, 48–54. [Google Scholar] [CrossRef]
- Das, R.R.; Sarkar, S.; Saranya, C.; Esakkiraj, P.; Aravind, R.; Saraswathy, R.; Rekha, P.N.; Muralidhar, M.; Panigrahi, A. Co-culture of Indian white shrimp, Penaeus indicus and seaweed, Gracilaria tenuistipitata in amended biofloc and recirculating aquaculture system (RAS). Aquaculture 2022, 548, 737432. [Google Scholar] [CrossRef]
- Panigrahi, A.; Saranya, C.; Sundaram, M.; Vinoth Kannan, S.R.; Das, R.R.; Satish Kumar, R.; Rajesh, P.; Otta, S.K. Carbon: Nitrogen (C:N) ratio level variation influences microbial community of the system and growth as well as immunity of shrimp (Litopenaeus vannamei) in biofloc based culture system. Fish Shellfish Immunol. 2018, 81, 329–337. [Google Scholar] [CrossRef]
- Cao, B.; Abakari, G.; Luo, G.; Tan, H.; Wu, X. Comparative analysis of nitrogen and phosphorus budgets in a bioflocs aquaculture system and recirculation aquaculture system during over-wintering of tilapia (GIFT, Oreochromis niloticus). Aquacult. Eng. 2020, 89, 102026. [Google Scholar] [CrossRef]
- Gaona, C.P.A.; de Almeida, M.S.; Viau, V.; Poersch, L.H.; Wasielesky, W., Jr. Effect of different total suspended solids levels on a Litopenaeus vannamei (Boone, 1931) BFT culture system during biofloc formation. Aquacult. Res. 2017, 48, 1070–1079. [Google Scholar] [CrossRef]
- Schveitzer, R.; Arantes, R.; Custódio, P.F.S.; do Espírito Santo, C.M.; Arana, L.V.; Seiffert, W.Q.; Andreatta, E.R. Effect of different biofloc levels on microbial activity, water quality and performance of Litopenaeus vannamei in a tank system operated with no water exchange. Aquacult. Eng. 2013, 56, 59–70. [Google Scholar] [CrossRef]
- Samocha, T.M.; Patnaik, S.; Speed, M.; Ali, A.M.; Burger, J.M.; Almeida, R.V.; Ayub, Z.; Harisanto, M.; Horowitz, A.; Brock, D.L. Use of molasses as carbon source in limited discharge nursery and grow-out systems for Litopenaeus vannamei. Aquacult. Eng. 2007, 36, 184–191. [Google Scholar] [CrossRef]
- Fróes, C.N.; Fóes, G.; Krummenauer, D.; Ballester, E.; Poersch, L.H.; Wasielesky, W., Jr. Fertilização orgânica com carbono no cultivo intensivo em viveiros com sistema de bioflocos do camarão branco Litopenaeus Vannamei. Atlântica 2012, 34, 31–39. [Google Scholar] [CrossRef]
- De Schryver, P.; Verstraete, W. Nitrogen removal from aquaculture pond water by heterotrophic nitrogen assimilation in lab-scale sequencing batch reactors. Bioresour. Technol. 2009, 100, 1162–1167. [Google Scholar] [CrossRef] [PubMed]
- Ray, A.J.; Lotz, J.M. Comparing a chemoautotrophic-based biofloc system and three heterotrophic-based systems receiving different carbohydrate sources. Aquacult. Eng. 2014, 63, 54–61. [Google Scholar] [CrossRef]
- Pérez-Fuentes, J.A.; Pérez-Rostro, C.I.; Hernández-Vergara, M.P. Pond-reared Malaysian prawn Macrobrachium rosenbergii with the biofloc system. Aquaculture 2013, 400–401, 105–110. [Google Scholar] [CrossRef]
- Araneda, M.; Pérez, E.P.; Gasca-Leyva, E. White shrimp Penaeus vannamei culture in freshwater at three densities: Condition state based on length and weight. Aquaculture 2008, 283, 13–18. [Google Scholar] [CrossRef]
- Arnold, S.J.; Coman, F.E.; Jackson, C.J.; Groves, S.A. High-intensity, zero water-exchange production of juvenile tiger shrimp, Penaeus monodon: An evaluation of artificial substrates and stocking density. Aquaculture 2009, 293, 42–48. [Google Scholar] [CrossRef]
- Balakrishnan, G.; Peyail, S.; Ramachandran, K.; Theivasigamani, A.; Savji, K.A.; Chokkaiah, M.; Nataraj, P. Growth of Cultured White Leg Shrimp Litopenaeus vannamei (Boone 1931) In Different Stocking Density. Adv. Appl. Sci. Res. 2011, 2, 107–113. [Google Scholar]
- Carvajal-Valdes, R.; Arjona, E.; Bueno, G. Feeding rate and stocking density in semi-intensive Litopenaeus vannamei culture with moderate periodic fertilization. J. Agric. Biol. Sci. 2012, 7, 899–904. [Google Scholar]
- Silva, E.; Silva, J.; Ferreira, F.; Soares, M.; Soares, R.; Peixoto, S. Influence of stocking density on the zootechnical performance of Litopenaeus vannamei during the nursery phase in a biofloc system. Bol. Inst. Pesca 2015, 41, 777–783. [Google Scholar] [CrossRef]
- Panigrahi, A.; Sundaram, M.; Saranya, C.; Satish Kumar, R.; Syama Dayal, J.; Saraswathy, R.; Otta, S.K.; Shyne Anand, P.S.; Nila Rekha, P.; Gopal, C. Influence of differential protein levels of feed on production performance and immune response of pacific white leg shrimp in a biofloc–based system. Aquaculture 2019, 503, 118–127. [Google Scholar] [CrossRef]
- Wasielesky, W., Jr.; Froes, C.; Fóes, G.; Krummenauer, D.; Lara, G.; Poersch, L. Nursery of Litopenaeus vannamei reared in a biofloc system: The effect of stocking densities and compensatory growth. J. Shellfish Res. 2013, 32, 799–806. [Google Scholar] [CrossRef]
- Esparza-Leal, H.M.; Ponce-Palafox, J.T.; Álvarez-Ruiz, P.; López-Álvarez, E.S.; Vázquez-Montoya, N.; López-Espinoza, M.; Montoya, M.; Gómez-Peraza, R.L.; Nava-Perez, E. Effect of stocking density and water exchange on performance and stress tolerance to low and high salinity by Litopenaeus vannamei postlarvae reared with biofloc in intensive nursery phase. Aquacult. Int. 2020, 28, 1473–1483. [Google Scholar] [CrossRef]
- Williams, A.S.; Davis, D.A.; Arnold, C.R. Density-Dependent Growth and Survival of Penaeus setiferus and Penaeus vannamei in a Semi-Closed Recirculating System. J. World Aquacult. Soc. 1996, 27, 107–112. [Google Scholar] [CrossRef]
- Valenti, W.C.; New, M.B. Grow-out Systems—Monoculture. In Freshwater Prawn Culture: The Farming of Macrobrachium rosenbergii; New, M.B., Valenti, W.C., Eds.; Blackwell Science Ltd.: London, UK, 2000; pp. 157–176. [Google Scholar]
- Ponce, J.E. Importancia del flujo de agua en los estanques-criaderos de camarón. In Proceedings of the Actas del Simposio sobre Acuicultura en América Latina, Montevideo, Uruguay, 26 November–2 December 1974; Documentos de Investigación. FAO, Informes de Pesca. FAO: Rome, Italy, 1977; Volume 159, pp. 240–248. Available online: https://www.fao.org/4/AC866S/AC866S00.htm#TOC (accessed on 14 May 2024).
- Cano, F.; Carrion, S.; Reyes, W. Efecto de altas densidades de siembra en el crecimiento y supervivencia de postlarvas de Cryphiops caementarius (Crustacea: Palaemonidae) en agua salobre. Rev. Citecsa 2014, 5, 62–78. [Google Scholar]
- Alston, D.E.; Sampaio, C.M.S. Nursery systems and management. In Freshwater Prawn Culture: The Farming of Macrobrachium rosenbergii; New, M.B., Valenti, W.C., Eds.; Blackwell Science Ltd.: London, UK, 2000; pp. 112–122. [Google Scholar]
- Tidwell, J.H.; D’Abramo, L.R.; Coyle, S.D.; Yasharian, D. Overview of recent research and development in temperate culture of the freshwater prawn (Macrobrachium rosenbergii De Man) in the South Central United States. Aquacult. Res. 2005, 36, 264–277. [Google Scholar] [CrossRef]
- Boock, M.V.; de Almeida Marques, H.L.; Mallasen, M.; Barros, H.P.; Moraes-Valenti, P.; Valenti, W.C. Effects of prawn stocking density and feeding management on rice-prawn culture. Aquaculture 2016, 451, 480–487. [Google Scholar] [CrossRef]
- Jones, C.M.; Ruscoe, I.M. Assessment of stocking size and density in the production of redclaw crayfish, Cherax quadricarinatus (von Martens) (Decapoda: Parastacidae), cultured under earthen pond condition. Aquaculture 2000, 189, 63–71. [Google Scholar] [CrossRef]
- Kaya, D.; Genc, E.; Genc, M.A.; Aktas, M.; Eroldogan, O.T.; Guroy, D. Biofloc technology in recirculating aquaculture system as a culture model for green tiger shrimp, Penaeus semisulcatus: Effects of different feeding rates and stocking densities. Aquaculture 2020, 528, 735526. [Google Scholar] [CrossRef]
- Mills, B.J.; McCloud, P.I. Effects of stocking and feeding rates on experimental pond production of the crayfish Cherax destructor Clark (Decapoda: Parastacidae). Aquaculture 1983, 34, 51–72. [Google Scholar] [CrossRef]
- Karplus, I.; Hulata, G.; Wohlfarth, G.W.; Halevy, A. The effect of size-grading juvenile Macrobrachium rosenbergii prior to stocking on their population structure and production in polyculture: I. Dividing the population into two fractions. Aquaculture 1986, 56, 257–270. [Google Scholar] [CrossRef]
- Barki, A.; Karplus, I.; Goren, M. Effects of size and morphotype on dominance hierarchies and resource competition in the freshwater prawn Macrobrachium rosenbergii. Anim. Behav. 1992, 44, 547–555. [Google Scholar] [CrossRef]
- McClain, W.R. Investigations of crayfish density and supplemental feeding as factors influencing growth and production of Procambarus clarkii. Freshw. Crayfish 1995, 10, 512–520. [Google Scholar]
- Ahvenharju, T. Food Intake, Growth and Social Interactions of Signal Crayfish, Pacifastacus leniusculus (Dana). Bachelor’s Thesis, University of Helsinki, Helsinki, Finland, 2007; 60p. [Google Scholar]
- Moraes-Valenti, P.; de Morais, P.A.; de Lima Preto, B.; Valenti, W.C. Effect of density on population development in the Amazon River prawn Macrobrachium amazonicum. Aquat. Biol. 2010, 9, 291–301. [Google Scholar] [CrossRef]
- Romano, N.; Zeng, C. Cannibalism of Decapod Crustaceans and Implications for Their Aquaculture: A Review of its Prevalence, Influencing Factors, and Mitigating Methods. Rev. Fish. Sci. Aquacult. 2016, 25, 42–69. [Google Scholar] [CrossRef]
- Cardona, E.; Lorgeoux, B.; Chim, L.; Goguenheim, J.; Le Delliou, H.; Cahu, C. Biofloc contribution to antioxidant defense status, lipid nutrition and reproductive performance of broodstock of the shrimp Litopenaeus stylirostris: Consequences for the quality of eggs and larvae. Aquaculture 2016, 452, 252–262. [Google Scholar] [CrossRef]
- Hussain, A.S.; Mohammad, D.A.; Ali, E.M.; Sallam, W.S. Growth Performance of the Green Tiger Shrimp Penaeus semisulcatus Raised in Biofloc Systems. J. Aquac. Mar. Biol. 2015, 2, 00038. [Google Scholar] [CrossRef]
- Miao, S.; Zhu, J.; Zhao, C.; Sun, L.; Zhang, X.; Chen, G. Effects of C/N ratio control combined with probiotics on the immune response, disease resistance, intestinal microbiota and morphology of giant fresh-water prawn (Macrobrachium rosenbergii). Aquaculture 2017, 476, 125–133. [Google Scholar] [CrossRef]
- Chan-Vivas, E.; Magaña, E.; Maldonado, C.; Escalante, K.; Gaxiola, G.; Cuzon, G. Does Biofloc Improve the Energy Distribution and Final Muscle Quality of Shrimp, Litopenaeus vannamei (Boone, 1883)? J. World Aquacult. Soc. 2019, 50, 460–468. [Google Scholar] [CrossRef]
- AftabUddin, S.; Siddique, M.A.M.; Sein, A.; Dey, P.K.; Rashed-Un-Nabi, M.; Haque, M.A. First use of biofloc technology for Penaeus monodon culture in Bangladesh: Effects of stocking density on growth performance of shrimp, water quality and bacterial growth. Aquacult. Rep. 2020, 18, 100518. [Google Scholar] [CrossRef]
- Panigrahi, A.; Das, R.R.; Sivakumar, M.R.; Saravanan, A.; Saranya, C.; Sudheer, N.S.; Kumaraguru Vasagam, K.P.; Mahalakshmi, P.; Kannappan, S.; Gopikrishna, G. Bio-augmentation of heterotrophic bacteria in biofloc system improves growth, survival, and immunity of Indian white shrimp Penaeus indicus. Fish Shellfish Immunol. 2020, 98, 477–487. [Google Scholar] [CrossRef]
- Da Silveira, L.G.P.; Rosas, V.T.; Krummenauer, D.; Fróes, C.; da Silva, A.; Poersch, L.H.; Fóes, G.; Wasielesky, W. Establishing the most productive stocking densities for each stage of a multi-phase shrimp culture in BFT system. Aquacult. Int. 2022, 30, 1889–1903. [Google Scholar] [CrossRef]
- Emerenciano, M.G.C.; Martínez- Córdova, L.R.; Martínez-Porchas, M.; Miranda-Baeza, A. Biofloc Technology (BFT): A Tool for Water Quality Management in Aquaculture. In Water Quality; Tutu, H., Ed.; Intech.: Johannesburg, South Africa, 2017; pp. 91–109. [Google Scholar]
- Tacon, A.G.J.; Cody, J.J.; Conquest, L.D.; Divakaran, S.; Forster, I.P.; Decamp, O.E. Effect of culture system on the nutrition and growth performance of Pacific white shrimp Litopenaeus vannamei (Boone) fed different diets. Aquacult. Nutr. 2002, 8, 121–137. [Google Scholar] [CrossRef]
- Hussain, A.S.; Mohammad, D.A.; Sallam, W.S.; Shoukry, N.M.; Davis, D.A. Effects of culturing the Pacific white shrimp Penaeus vannamei in “biofloc” vs “synbiotic” systems on the growth and immune system. Aquaculture 2021, 542, 736905. [Google Scholar] [CrossRef]
- Van Wyk, P. Nutrition and Feeding of Litopenaeus vannamei in Intensive Culture Systems. In Farming Marine Shrimp in Recirculating Freshwater Systems; Van Wyk, P., Davis-Hodgkins, M., Laramore, R., Main, J.K., Mountain, L., Scarpa, J., Eds.; Florida Department of Agriculture and Consumer Services: Tallahassee, FL, USA, 1999; pp. 125–139. [Google Scholar]
- Kuhn, D.D.; Lawrence, A.L.; Crockett, J.; Taylor, D. Evaluation of bioflocs derived from confectionary food effluent water as a replacement feed ingredient for fishmeal or soy meal for shrimp. Aquaculture 2016, 454, 66–71. [Google Scholar] [CrossRef]
- Da Silveira, L.G.P.; Krummenauer, D.; Poersch, L.H.; Fóes, G.K.; Rosas, V.T.; Wasielesky, W., Jr. The effect of partial harvest on production and growth performance of Litopenaeus Vannamei reared in biofloc technologic system. Aquaculture 2022, 546, 737408. [Google Scholar] [CrossRef]
- Marqués, H.L.A.; Lombardi, J.V.; Mallasen, M.; Barros, H.P.; Boock, M.V. Stocking densities in cage rearing of Amazon River prawn (Macrobrachium amazonicum) during nursery phases. Aquaculture 2010, 307, 201–205. [Google Scholar] [CrossRef]
- Sung, Y.Y. Heat Shock Proteins: An Alternative to Control Disease in Aquatic Organism. J. Marine Sci. Res. Dev. 2014, 4, e126. [Google Scholar] [CrossRef]
- Sung, Y.Y.; Roberts, R.J.; Bossier, P. Enhancement of Hsp70 synthesis protects common carp, Cyprinus carpio L., against lethal ammonia toxicity. J. Fish Dis. 2012, 35, 563–568. [Google Scholar] [CrossRef] [PubMed]
- Celi, M.; Filiciotto, F.; Vazzana, M.; Arizza, V.; Maccarrone, V.; Ceraulo, M.; Mazzola, S.; Buscaino, G. Shipping noise affecting immune responses of European spiny lobster Palinurus elephas (Fabricius, 1787). Can. J. Zool. 2015, 93, 113–121. [Google Scholar] [CrossRef]
- Sung, Y.Y.; Pineda, C.; MacRae, T.H.; Sorgeloos, P.; Bossier, P. Exposure of gnotobiotic Artemia franciscana larvae to abiotic stress promotes heat shock protein 70 synthesis and enhances resistance to pathogenic Vibrio campbellii. Cell Stress Chaperones 2008, 13, 59–66. [Google Scholar] [CrossRef]
- Aishi, K.; Sinnasamy, S.; MacRae, T.H.; Tengku-Muhammad, T.S.; Lv, A.; Sun, J.; Chen, S.; Shi, H.; Pau, T.M.; Abdullah, M.D.D.; et al. Hsp70 knockdown reduced the tolerance of Litopenaeus vannamei post larvae to low pH and salinity. Aquaculture 2019, 512, 734346. [Google Scholar] [CrossRef]
- Espinoza, V.; Brokordt, K.; Romero, A.; Farías, A.; Uriarte, I. Evaluation of physiological stress and nutritional deficiency related to cannibalism in early paralarvae of Patagonian red octopus Enteroctopus megalocyathus. Aquaculture 2019, 503, 583–588. [Google Scholar] [CrossRef]
- Feder, M.E.; Hofmann, G.E. Heat-shock proteins, molecular chaperones, and the stress response: Evolutionary and ecological physiology. Annu. Rev. Physiol. 1999, 61, 243–282. [Google Scholar] [CrossRef] [PubMed]
- Sen, S.S.; Giri, S.S. Physiological Role of Heat Shock Proteins, Molecular Function and Stress Removal in Fishes. In Heat Shock Proteins in Veterinary Medicine and Sciences; Asea, A., Kaur, P., Eds.; Heat Shock Proteins; Springer: Berlin/Heidelberg, Germany, 2017; Volume 12, pp. 215–246. [Google Scholar] [CrossRef]
- Gao, Y.; He, Z.; Vector, H.; Zhao, B.; Li, Z.; He, J.; Lee, J.Y.; Chu, Z. Effect of Stocking density on Growth, Oxidative Stress and HSP 70 of Pacific White Shrimp Litopenaeus vannamei. Turk. J. Fish Aquat. Sci. 2017, 17, 877–884. [Google Scholar] [CrossRef] [PubMed]
- Nath, S.; Haldar, C. Effects of Stress among Shrimp Post-Larvae stocked at High Stocking Density in Nursery Culture System: A Review. Int. J. Curr. Microbiol. App. Sci. 2020, 9, 2987–2996. [Google Scholar] [CrossRef]
- Xiu, Y.; Feng, J.; Lu, W.; Liu, D.; Wu, T.; Zhu, H.; Liu, P.; Li, W.; Ren, Q.; Gu, W.; et al. Identification of a novel cognate cytosolic Hsp70 gene (MnHsc70-2) from oriental river prawn Macrobrachium nipponense and comparison of its expressions with the first cognate Hsc70 (MnHsc70-1) under different stresses. Cell Stress Chaperones 2014, 19, 949–961. [Google Scholar] [CrossRef] [PubMed]
- Aksu, Ö.; Kutluyer, F.; Can, E.; Erişir, M.; Benzer, F. Influence of stock density on digestive enzyme activity (trypsin), heat shock protein 70 (HSP70), and oxidative stress biomarkers of narrow clawed crayfish, Astacus leptodactylus Eschscholtz, 1823 (Decapoda, Astacidae). Crustaceana 2016, 89, 1193–1202. [Google Scholar] [CrossRef]
- Williams, J.H.; Petersen, N.S.; Young, P.A.; Stansbury, M.A.; Farag, A.M.; Bergman, H.L. Accumulation of hsp70 in juvenile and adult rainbow trout gill exposed to metal-contaminated water and/or diet. Environ. Toxicol. Chem. 1996, 15, 1324–1328. [Google Scholar] [CrossRef]
- Ridha, M.T. Comparative study of growth performance of three strains of Nile tilapia, Oreochromis niloticus, L. at two stocking densities. Aquacult. Res. 2006, 37, 172–179. [Google Scholar] [CrossRef]
- Aksakal, E.; Ekinci, D.; Erdogan, O.; Beydemir, S.; Alım, Z.; Ceyhun, S.B. Increasing stocking density causes inhibition of metabolic–antioxidant enzymes and elevates mRNA levels of heat shock protein 70 in rainbow trout. Lives. Sci. 2011, 141, 69–75. [Google Scholar] [CrossRef]
- Hassanein, H.M.; Banhawy, M.A.; Soliman, F.M.; Abdel-Rehim, S.A.; Müller, W.E.; Schröder, H.C. Induction of HSP70 by the herbicide oxyfluorfen (Goal) in the Egyptian Nile fish, Oreochromis niloticus. Arch. Environ. Contam. Toxicol. 1999, 37, 78–84. [Google Scholar] [CrossRef]
- Lin, Y.C.; Vaseeharan, B.; Chen, J.C. Identification of the extracellular copper–zinc superoxide dismutase (ecCuZnSOD) gene of the mud crab Scylla serrata and its ex-pression following β-glucan and peptidoglycan injections. Mol. Immunol. 2008, 45, 1346–1355. [Google Scholar] [CrossRef]
- Lu, X.; Wang, C.; Liu, B. The role of Cu/Zn-SOD and Mn-SOD in the immune response to oxidative stress and pathogen challenge in the clam Meretrix meretrix. Fish Shellfish Immunol. 2015, 42, 58–65. [Google Scholar] [CrossRef] [PubMed]
- Zaki, M.A.; Alabssawy, A.N.; Nour, A.A.M.; El Basuini, M.F.; Dawood, M.A.O.; Alkahtani, S.; Abdel-Daim, M.M. The impact of stocking density and dietary carbon sources on the growth, oxidative status and stress markers of Nile tilapia (Oreochromis niloticus) reared under biofloc conditions. Aquacult. Rep. 2020, 16, 100282. [Google Scholar] [CrossRef]
- Mercier, L.S.; Palacios, E.; Campa-Córdova, Á.; Tovar-Ramírez, D.; Hernández- Herrera, R.; Racotta, I.S. Metabolic and immune responses in Pacific whiteleg shrimp Litopenaeus vannamei exposed to a repeated handling stress. Aquaculture 2006, 258, 633–640. [Google Scholar] [CrossRef]
- Xu, W.J.; Pan, L.Q. Evaluation of dietary protein level on selected parameters of immune and antioxidant systems, and growth performance of juvenile Litopenaeus vannamei reared in zero-water exchange biofloc-based culture tanks. Aquaculture 2014, 426–427, 181–188. [Google Scholar] [CrossRef]
- Yu, Z.; Li, L.; Zhu, R.; Li, M.; Wu, L.F. Effects of bioflocs with different C/N ratios on growth, immunological parameters, antioxidants and culture water quality in Opsariichthys kaopingensis Dybowski. Aquacul. Res. 2020, 51, 805–815. [Google Scholar] [CrossRef]
- Yu, Z.; Quan, Y.N.; Huang, Z.Q.; Wang, H.H.; Wu, L.F. Monitoring oxidative stress, immune response, Nrf2/NF-κB signaling molecules of Rhynchocypris lagowski living in BFT system and exposed to waterborne ammonia. Ecotoxicol. Environ. Saf. 2020, 205, 11116. [Google Scholar] [CrossRef]
- Ju, Z.Y.; Forster, I.; Conquest, L.; Dominy, W. Enhanced growth effects on shrimp (Litopenaeus vannamei) from inclusion of whole shrimp floc or floc fractions to a formulated diet. Aquacult. Nutr. 2008, 14, 533–543. [Google Scholar] [CrossRef]
- Da Silva Martins, Á.C.; Artigas-Flores, J.; Porto, C.; Wasielesky, W., Jr.; Monserrat, J.M. Antioxidant and oxidative damage responses in different organs of Pacific white shrimp Litopenaeus vannamei (Boone, 1931) reared in a biofloc technology system. Mar. Freshwater Behav. Physiol. 2015, 48, 279–288. [Google Scholar] [CrossRef]
- Molina, D.C.; Wasiliesky, W., Jr.; Monserrat, J.M. Quercetin influence in water quality and biochemical responses of shrimp Litopenaeus vannamei reared in Biofloc Technology System. Aquacult. Res. 2018, 49, 3569–3576. [Google Scholar] [CrossRef]
- Krummenauer, D.; Abreu, P.C.; Poersch, L.; Reis, P.A.C.P.; Suita, S.M.; dos Reis, W.G.; Wasielesky, W., Jr. The relationship between shrimp (Litopenaeus vannamei) size and biofloc consumption determined by the stable isotope technique. Aquaculture 2020, 529, 735635. [Google Scholar] [CrossRef]
- Panigrahi, A.; Das, R.R.; Sundaram, M.; Sivakumar, M.R.; Jannathulla, R.; Lalramchhani, C.; Antony, J.; Shyne Anand, P.S.; Vinay Kumar, K.; Jayanthi, M.; et al. Cellular and molecular immune response and production performance of Indian white shrimp Penaeus indicus (H. Milne-Edwards, 1837), reared in a biofloc-based system with different protein levels of feed. Fish Shellfish Immunol. 2021, 119, 31–41. [Google Scholar] [CrossRef] [PubMed]
- Brol, J.; Müller, L.; Cordeiro Andrade Prates, E.; Silva de Farias, B.; Fonseca Pedrosa, V.; de Almeida Pinto, L.A.; Sant’anna Cadaval, T.R., Jr.; Borges Tesser, M.; Wasielesky, W.; Ventura-Lima, J. Dietary chitosan supplementation in Litopenaeus vannamei reared in a biofloc system: Effect on antioxidant status facing saline stress. Aquaculture 2021, 544, 737034. [Google Scholar] [CrossRef]
- Melo, F.P.D.; Ferreira, M.G.P.; Lima, J.P.V.D.; Correia, E.D.S. Marine shrimp culture with bioflocs under different protein levels with and without probiotic. Rev. Caatinga 2015, 28, 202–210. [Google Scholar] [CrossRef][Green Version]
- Huang, H.H.; Li, C.Y.; Song, Y.; Lei, Y.J.; Yang, P.H. Growth performance of shrimp and water quality in a freshwater biofloc system with a salinity of 5.0‰: Effects on inputs, costs and wastes discharge during grow-out culture of Litopenaeus vannamei. Aquacult. Eng. 2022, 98, 102265. [Google Scholar] [CrossRef]

| Genes | Forward Primer (5′-3′) | Reverse Primer (5′-3′) |
|---|---|---|
| ELF1 | TGCGGTGGTATTGACAAGAGA | GAACCCTTGCCCATTTCACTG |
| Hsp70 | GGTGGTGTAATGACTGCCCTTA | GAATAGGTGGTGAAGGTCTGGG |
| SOD | CCTACGTTGCCAGCATCACT | AGTCGTACTTCAGGGAGGAA |
| Biofloc (B) | Clear-Water (CW) | |||||
|---|---|---|---|---|---|---|
| Parameters | Stocking Density (Shrimp m−2) | |||||
| 100 | 200 | 400 | 100 | 200 | 400 | |
| Temperature °C | 22.68 ± 0.06 | 22.23 ± 0.06 | 22.54 ± 0.06 | 22.31 ± 0.06 | 22.52 ± 0.06 | 22.69 ± 0.06 |
| OD (mg L −1) | 8.71 ± 0.02 | 8.73 ± 0.02 | 8.70 ± 0.02 | 8.76 ± 0.02 | 8.73 ± 0.02 | 8.67 ± 0.02 |
| pH | 8.57 ± 0.01 | 8.50 ± 0.01 | 8.29 ± 0.01 | 8.45 ± 0.01 | 8.41 ± 0.01 | 8.38 ± 0.01 |
| TAN (NH3−N mg L −1) | 0.08 ± 0.01 | 0.06 ± 0.01 | 0.09 ± 0.01 | 0.04 ± 0.01 | 0.06 ± 0.01 | 0.06 ± 0.01 |
| Nitrite (NO2−N mg L −1) | 0.03 ± 0.01 | 0.04 ± 0.01 | 0.03 ± 0.01 | 0.01 ± 0.01 | 0.01 ± 0.01 | 0.02 ± 0.01 |
| Nitrate (NO3−N mg L −1) | 73.52 ± 2.60 a | 68.98 ± 3.13 a | 71.69 ± 4.04 a | 4.30 ± 0.02 b | 5.01 ± 0.03 b | 7.12 ± 0.12 b |
| Phosphate (PO4−3mg L−1) | 4.86 ± 0.49 b | 6.16 ± 0.74 a | 7.21 ± 0.92 a | 2.76 ± 0.79 c | 3.91 ± 0.58 b | 4.34 ± 0.71 b |
| Alkalinity (CaCO3 mg L−1) | 253 ± 4.64 a | 234 ± 6.56 a | 165 ± 4.78 b | 167 ± 5.02 b | 174 ± 3.58 b | 173 ± 3.87 b |
| FV (mL L−1) | 12.52 ± 0.66 b | 12.68 ± 0.86 b | 15.09 ± 0.73 a | 2.64 ± 0.69 c | 3.59 ± 1.34 c | 6.87 ± 1.64 c |
| TSS (mg L−1) | 154 ± 8.53 c | 189 ± 5.63 b | 295 ± 12. 31 a | 11.43 ± 1.24 e | 11.54 ± 0.26 e | 34.21 ± 0.24 d |
| VSS (mg L−1) | 109 ± 5.63 c | 141 ± 2.18 b | 161 ± 5.52 a | 7.98 ± 0.17 e | 9.76 ± 0.16 e | 21.02 ± 0.23 d |
| Biofloc (B) | Clear-Water (CW) | |||||
|---|---|---|---|---|---|---|
| Parameters | Stocking Density (Shrimp m−2) | |||||
| 100 | 200 | 400 | 100 | 200 | 400 | |
| Initial weight (g) | 0.44 ± 0.07 | 0.44 ± 0.07 | 0.44 ± 0.07 | 0.44 ± 0.07 | 0.44 ± 0.07 | 0.44 ± 0.07 |
| Final weight (g) | 4.18 ± 0.43 a | 2.15 ± 0.26 b | 1.51 ± 0.24 c | 3.91 ± 0.40 a | 2.08 ± 0.33 b | 1.36 ± 0.26 c |
| Initial biomass (g) | 20.52 ± 0.13 c | 41.93 ± 0.31 b | 76.18 ± 0.76 a | 20.11 ± 0.23 c | 42.52 ± 0.16 b | 75.63 ± 0.77 a |
| Final biomass (g) | 34.84 ± 3.11 c | 62.57 ± 2.44 b | 75.73 ± 4.92 a | 18.24 ± 3.7 d | 36.14 ± 4.24 c | 58.12 ± 3.45 b |
| SR (%) | 25.67 ± 1.45 b | 37.67 ± 1.33 a | 28.00 ± 4.34 b | 16.66 ± 3.32 c | 15.33 ± 2.12 c | 15.76 ± 0.73 c |
| SGR (% d−1) | 0.80 ± 0.07 a | 0.56 ± 0.09 b | 0.48 ± 0.10 c | 0.78 ± 0.09 a | 0.55 ± 0.11 b | 0.44 ± 0.15 c |
| FCR | 8.94 ± 0.27 b | 10.06 ± 0.24 a | UD | UD | UD | UD |
Disclaimer/Publisher’s Note: The statements, opinions and data contained in all publications are solely those of the individual author(s) and contributor(s) and not of MDPI and/or the editor(s). MDPI and/or the editor(s) disclaim responsibility for any injury to people or property resulting from any ideas, methods, instructions or products referred to in the content. |
© 2024 by the authors. Licensee MDPI, Basel, Switzerland. This article is an open access article distributed under the terms and conditions of the Creative Commons Attribution (CC BY) license (https://creativecommons.org/licenses/by/4.0/).
Share and Cite
Mendez, C.A.; Morales, M.C.; Brokordt, K. Effects of Stocking Density of the River Shrimp Cryphiops caementarius on Physiological and Performance Responses in a Biofloc System. Fishes 2024, 9, 377. https://doi.org/10.3390/fishes9100377
Mendez CA, Morales MC, Brokordt K. Effects of Stocking Density of the River Shrimp Cryphiops caementarius on Physiological and Performance Responses in a Biofloc System. Fishes. 2024; 9(10):377. https://doi.org/10.3390/fishes9100377
Chicago/Turabian StyleMendez, Carlos Andres, María Cristina Morales, and Katherina Brokordt. 2024. "Effects of Stocking Density of the River Shrimp Cryphiops caementarius on Physiological and Performance Responses in a Biofloc System" Fishes 9, no. 10: 377. https://doi.org/10.3390/fishes9100377
APA StyleMendez, C. A., Morales, M. C., & Brokordt, K. (2024). Effects of Stocking Density of the River Shrimp Cryphiops caementarius on Physiological and Performance Responses in a Biofloc System. Fishes, 9(10), 377. https://doi.org/10.3390/fishes9100377

