The Hydrological Cycle of the Lower Amazon in Brazil Determines the Variation in Local Fishing Patterns
Abstract
1. Introduction
2. Materials and Methods
2.1. Study Area
2.2. Data Collection
2.3. Statistical Analysis
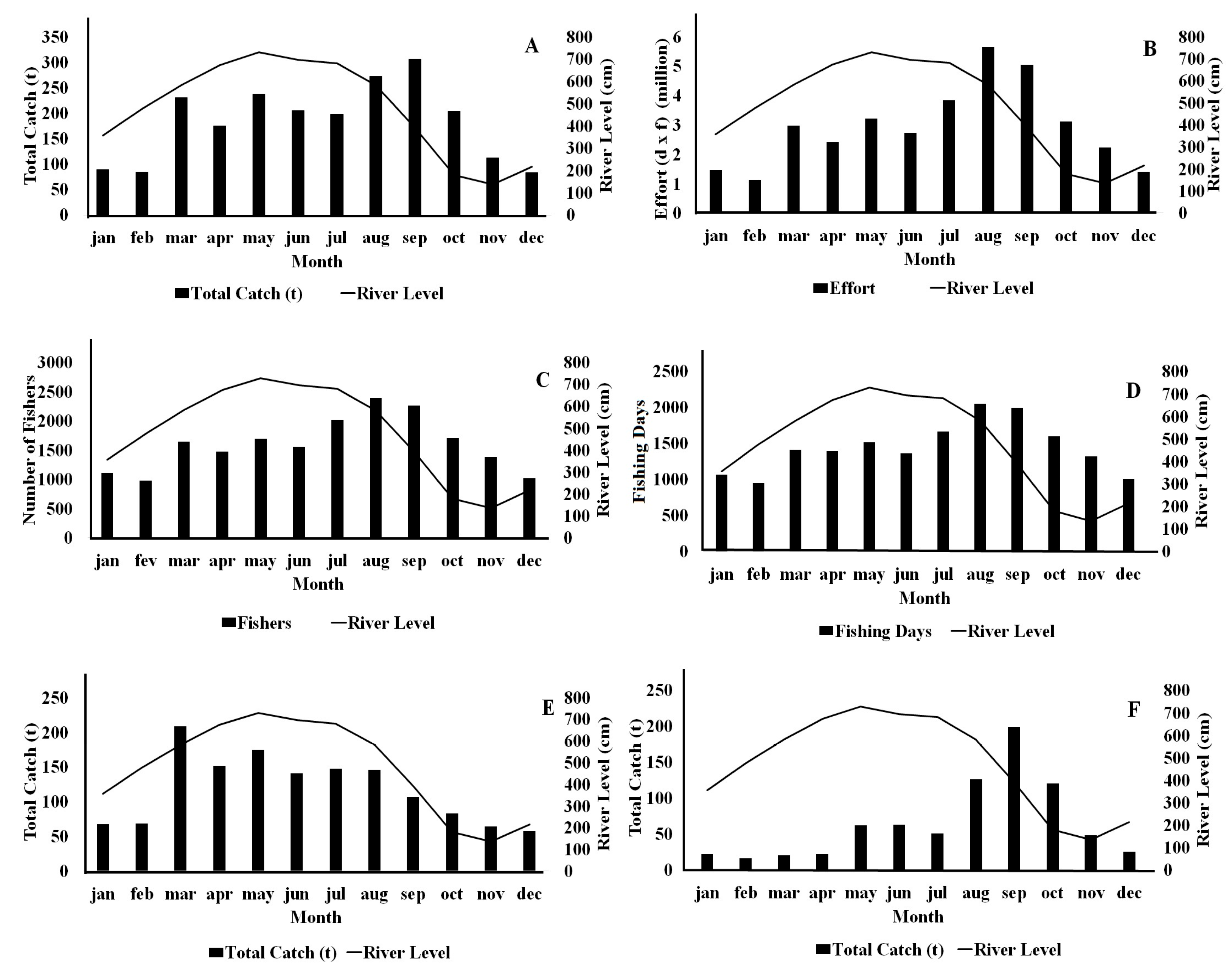
3. Results
4. Discussion
5. Conclusions
Supplementary Materials
Author Contributions
Funding
Institutional Review Board Statement
Informed Consent Statement
Data Availability Statement
Acknowledgments
Conflicts of Interest
References
- Reis, R.E.; Albert, J.S.; Di Dario, F.; Mincarone, M.M.; Petry, P.; Rocha, L.A. Fish biodiversity and conservation in South America. J. Fish Biol. 2016, 89, 2–47. [Google Scholar] [CrossRef]
- Ruffino, M.L. Status and trends of the fishery resources of the Amazon Basin in Brazil. Chapter 1. Pg 1-77. In Inland Fisheries Evolution and Management—Case Studies from Four Continents; FAO Fisheries and Aquaculture Technical Paper; Welcomme, R.L., Valbo-Jorgensen, J., Halls, A.S., Eds.; FAO: Rome, Italy, 2014; p. 579. [Google Scholar]
- Oberdorff, T.; Dias, M.S.; Jézéquel, C.; Albert, J.S.; Arantes, C.C.; Bigorne, R.; Carvajal-Valleros, F.M.; De Wever, A.; Frederico, R.G.; Hidalgo, M.; et al. Unexpected fish diversity gradients in the Amazon basin. Sci. Adv. 2019, 5, eaav8681. [Google Scholar] [CrossRef] [PubMed]
- Almeida, O.T.; Lorenzen, K.; McGrath, D.G.; Amara, L.; Rivero, S. Importância econômica do setor pesqueiro na calha do rio Amazonas-Solimões. Novos Cad. NAEA 2010, 275, 1–15. [Google Scholar] [CrossRef]
- Doria, C.R.C.; Ruffino, M.L.; Hijazi, N.C.; Cruz, R.L. A pesca comercial do Rio Madeira no Estado de Rondônia, Amazônia Brasileira. Acta Amaz. 2012, 42, 29–40. [Google Scholar] [CrossRef]
- Santos, G.M.; Ferreira, E.J.G.; Val, A.L. Recursos pesqueiros e sustentabilidade na Amazônica: Fatos e perspectivas. Hiléia Rev. Direito Ambient. Amaz. 2010, 8, 43–77. [Google Scholar]
- Isaac, V.J.; Almeida, M.C. El Consumo De Pescado En La Amazonía Brasileña. FAO Copescal Doc. Ocas. 2011, 13, 1–43. [Google Scholar]
- Almeida, O.; McGrath, D.G.; Ruffino, M.; Rivero, S. Estrutura, dinâmica e economia da pesca comercial do baixo Amazonas. Novos Cad. NAEA 2009, 12, 175–194. [Google Scholar] [CrossRef]
- Batista, V.S.; Isaac, V.J.; Fabré, N.N. A Produção desembarcada por espécie e sua variação por macrorregião Amazônica. In Peixes e Pesca no Solimões-Amazonas: Uma Avaliação Integrada; Batista, V.S., Ed.; Ibama/ProVárzea: Brasília, Brazil, 2012; 276p. [Google Scholar]
- Cruz, R.E.A.; Isaac, V.J.; Paes, E.T. A pesca da dourada Brachyplatystoma rousseauxii (Castelnau, 1855) na região do Baixo Amazonas, Brasil. Bol. Inst. Pesca 2017, 43, 474–486. [Google Scholar] [CrossRef]
- Barros, D.F.; Petrere, M., Jr.; Lecours, V.; Butturi-Gomes, D.; Castello, L.; Isaac, V.J. Effects of deforestation and other environmental variables on floodplain fish catch in the Amazon. Fish. Res. 2020, 230, 105643. [Google Scholar] [CrossRef]
- Welcomme, R.L. Status of fisheries in South American rivers. Interciencia 1990, 15, 337–345. [Google Scholar]
- Lowe-McConnell, R.H. Ecological Studies in Tropical Fish Communities; Cambridge University Press: Cambridge, UK, 1987; 382p. [Google Scholar]
- Barthem, R.B.; Fabré, N.N. Biologia e diversidade dos recursos pesqueiros da Amazônia. In A Pesca e os Recursos Pesqueiros na Amazônia Brasileira; Ruffino, M.L., Ed.; Ibama/ProVárzea: Brasília, Brazil, 2004; 268p. [Google Scholar]
- Viana, J.P. A pesca no Médio Solimões. In A Pesca e os Recursos Pesqueiros na Amazonia Brasileira; Ruffino, M.L., Ed.; Edições ProVarzea/Ibama: Manaus, Brazil, 2004; pp. 245–268. [Google Scholar]
- Neter, J.; Wasserman, W.; Kutner, M.H. Applied Linear Statistical Models: Regression, Analysis of Variance, and Experimental Designs, 3rd ed.; CRC Press: Boca Raton, FL, USA, 1990; 647p. [Google Scholar]
- Isaac, V.J. Informe estatístico do desembarque pesqueiro na cidade de Santarém—PA: 1992–1993. Ibama Coleção Meio Ambiente Série Estud. Pesca 2000, 22, 225–236. [Google Scholar]
- Gonçalves, C.; Batista, V.S. Avaliação do desembarque pesqueiro efetuado em Manacapuru, Amazonas, Brasil. Acta Amaz. 2008, 38, 135–144. [Google Scholar] [CrossRef]
- Navy, H.; Bhattarai, M. Economics and livelihoods of small-scale inland fisheries in the Lower Mekong Basin: A survey of three communities in Cambodia. Water Policy 2009, 1 (Suppl. 1), 31–51. [Google Scholar] [CrossRef]
- Hallwass, G.; Lopes, P.F.; Juras, A.A.; Silvano, R.A.M. Fishing effort and catch composition of urban market and rural villages in Brazilian Amazon. Environ. Manag. 2011, 47, 188–200. [Google Scholar] [CrossRef]
- Isaac, V.J.; Castello, L.; Santos, P.R.B.; Ruffino, M.L. Seasonal and interannual dynamics of river-floodplain multispecies fisheries in relation to flood pulses in the Lower Amazon. Fish. Res. 2016, 183, 352–359. [Google Scholar] [CrossRef]
- Bentes, K.L.S.; Oliveira, L.L.; Zacardi, D.M.; Barreto, N.J.C. The Relationship between Hydrologic Variation and Fishery Resources at the Lower Amazon, Santarém, Pará. Rev. Bras. Geogr. Física 2018, 11, 1478–1489. [Google Scholar] [CrossRef]
- Castello, L.; Bayley, P.B.; Fabré, N.N.; Batista, V.S. Flooding effects on abundance of an exploited, long-lived fish population in river-floodplains of the Amazon. Rev. Fish Biol. Fish. 2019, 29, 487–500. [Google Scholar] [CrossRef]
- Pinaya, W.H.D.; Lobon-Cervia, F.J.; Pita, P.; Buss De Souza, R.; Freire, J.; Isaac, V.J. Multispecies Fisheries in the Lower Amazon River and its Relationship with the Regional and Global Climate Variability. PLoS ONE 2016, 11, e0157050. [Google Scholar] [CrossRef]
- Pinaya, W.H.D.; Pita, P.; Souza, R.B.; Lobon-Cérvia, F.J.; Freire, J.; Isaac, V.J. The Catfish Fishing in the Amazon Floodplain Lakes. Oceanogr. Fish. Open Access J. 2018, 7, 555720. [Google Scholar]
- Barthem, R.B.; Goulding, M. An Unexpected Ecosystem: The Amazon Revealed by the Fisheries. Gráfica Biblos, Lima; Missouri Botanical Garden Press: St. Louis, MO, USA, 2007; 241p. [Google Scholar]
- Batista, V.S.; Isaac, V.J.; Fabré, N.N.; Alonso, J.C. Principais recursos pesqueiros: Variações espaço-temporais e relações com o ambiente. In Peixes e Pesca no Solimões-Amazonas: Uma Avaliação Integrada; Batista, V.S., Ed.; Ibama/ProVárzea: Brasília, Brazil, 2012; 276p. [Google Scholar]
- Isaac, V.J.; Silva, C.O.; Ruffino, M.L. A pesca no Baixo Amazonas. In A Pesca e os Recursos Pesqueiros na Amazônia Brasileira; Ruffino, M.L., Ed.; Edições ProVarzea/IBAMA: Manaus, Brazil, 2004; pp. 185–211. [Google Scholar]
- Petrere, M., Jr.; Giacomini, H.C.; De Marco Junior, P. Catch-per-unit-effort: Which estimator is best? Braz. J. Biol. 2010, 70, 483–491. [Google Scholar] [CrossRef]
- Agência Nacional de Águas. HidroWeb: Sistemas de Informações Hidrológicas. 2015. Available online: www.hidroweb.ana.gov.br/HidroWeb (accessed on 20 February 2021).
- Hammer, Ø.; Harper, D.A.T.; Ryan, P.D. Past: Paleontological statistics software package for education and data analysis. Palaeontol. Electron. 2001, 4, 1–9. [Google Scholar]
- Gilbert, R.O. Statistical Methods for Environmental Pollution Monitoring; John Wiley and Sons: New York, NY, USA, 1987. [Google Scholar]
- Yue, S.; Pilon, P.J.; Phinney, B.; Cavadias, G. The influence of autocorrelation on the ability to detect trend in hydrological series. Hydrol. Process 2002, 16, 1807–1829. [Google Scholar] [CrossRef]
- Yue, S.; Pilon, P. A comparison of the power of the t test, Mann-Kendall and bootstrap tests for trend detection. Hydrol. Sci. J. 2004, 49, 21–37. [Google Scholar] [CrossRef]
- Hossain, M.Z. The Use of Box-Cox Transformation Technique in Economic and Statistical Analyses. J. Emerg. Trends Econ. Manag. Sci. 2011, 2, 32–39. [Google Scholar]
- Duncan, D.B. Multiple range and multiple F tests. Biometrics 1955, 11, 1–42. [Google Scholar] [CrossRef]
- Montgomery, D.C. Design e Análise de Experimentos; John Wiley and Sons: New York, NY, USA, 2001. [Google Scholar]
- Field, A.P.; Miles, J.; Field, Z. Discovering Statistics Using R; Illustrated edition; Sage Publications: Thousand Oaks, CA, USA, 2012; 957p. [Google Scholar]
- Isaac, V.J.; Da Silva, C.O.; Ruffino, M.L. The artisanal fishery fleet of the Lower Amazon. Fish. Manag. Ecol. 2008, 15, 179–187. [Google Scholar] [CrossRef]
- Conceição, L.C.A.; Martins, C.M.; Santos, M.A.S.; Araújo, J.G.A.; Monteiro, E.P. A pesca artesanal e a sucessão geracional no município de Maracanã, estado do Pará, Brasil. Guaju Matinhos 2020, 6, 70–85. [Google Scholar] [CrossRef]
- Veríssimo, J. A Pesca na Amazônia; Livraria Clássica Alves Publications: Rio de Janeiro, Brazil, 1895; 206p. [Google Scholar]
- Meschkat, A. Reports to the government of Brazil on the Fisheries of the Amazon Region. In FAO Report 1305; BRA/TE/Fi 1960, FAO: Rome, Italy, 1960; 76p. [Google Scholar]
- McGrath, D.G.; Castro, F.; Futemma, C.; Amaral, B.D.; Calabria, J. Fisheries and the evolution of resource management on the lower Amazon floodplain. Hum. Ecol. 1993, 21, 167–195. [Google Scholar] [CrossRef]
- Furtado-Junior, F.; Sousa, G.F.; Tavares, M.C.S.; Begot, L.H. Seletividade da rede de arrasto para captura da piramutaba, Brachyplatystoma vaillantii (Valenciennes, 1840) obtida pela relação comprimento-perímetro. Bol. Técnico Científico CEPNOR 2007, 7, 85–96. [Google Scholar] [CrossRef]
- Hallwass, G.; Keppeler, F.W.; Tomazoni-Silva, L.H.; Alves, I.; Isaac, V.J.; Almeida, M.C.; Silvano, R.A.M. ‘Disentangling’ the advantages from gillnets in freshwater small-scale fisheries in the Brazilian Amazon. Rev. Fish Biol. Fish. 2023. [Google Scholar] [CrossRef]
- Castro, F.; McGrath, D. O manejo comunitário de lagos na Amazônia. Parcer. Estratégicas 2001, 12, 112–126. [Google Scholar]
- Isaac, V.J.; Rocha, V.L.C.; Mota, S.Q.C. Considerações sobre a Legilação da “Piracema” e outras restrições da pesca da região do Mean Amazonas. In Povos das Águas: Realidade e Perspectiva na Amazônia; Gonçalves, L.F., Leitão, W., Mello, A.F., Eds.; Coleção Eduardo Galvão, PRMCT/CNPq. MPEG: Belém, Brazil, 1993; pp. 187–212. [Google Scholar]
- Silva, C.C.; Camargo, S.A.F.; Silveira, E.D. Acordos de pesca na Amazônia Brasileira. Bol. Mus. Integr. Amaz. 2021, 14, 70–80. [Google Scholar] [CrossRef]
- Castro, F.; McGrath, D. Moving Toward Sustainability in the local Management of Floodplain Lake Fisheries in the Brazilian Amazon. Hum. Organ. 2003, 62, 123–133. [Google Scholar] [CrossRef]
- Silveira, E.M.; Serafin, S.R.F.; Siqueira, A.B. Novos olhares sobre a pesca artesanal na Lagoa do Mirim: Uma abordagem ethnoecológica. In Proceedings of the Anais do IV Simpósio sobre Formação de Professores—SIMFOP, Santa Catarina, Brazil, 7–11 May 2012; pp. 1–10. [Google Scholar]
- Brumer, A. As perspectivas dos jovens agricultores familiares no início do século XXI. In Juventude Rural, Cultura e Mudança Social; Renk, A., Dorigon, C., Eds.; Argos: Chapecó, Brazil, 2014; pp. 115–138. [Google Scholar]
- Teh, L.; Caddell, R.; Allison, E.; Finkbeiner, E.; Kittinger, J.; Nakamura, K.; Ota, Y. The role of human rights in implementing socially responsible seafood. PLoS ONE 2019, 14, e0210241. [Google Scholar] [CrossRef]
- Teh, L.C.L.; Ota, Y.; Cisneros-Montemayor, A.M.; Harrington, L.; Swartz, W. Are fishers poor? Getting to the muddy bottom of marine fisheries income statistics. Fish Fish. 2020, 21, 471–482. [Google Scholar] [CrossRef]
- Lima, M.A.L.; Kaplan, D.A.; Doria, C.R.C. Hydrological controls of fisheries production in a major Amazonian tributary. Ecohydrology 2017, 10, 1899. [Google Scholar] [CrossRef]
- Silvano, R.A.M.; Begossi, A. Fishermen’s local ecological knowledge on Southeastern Brazilian coastal fishes: Contributions to research, conservation, and management. Neotrop. Ichthyol. 2012, 10, 133–147. [Google Scholar] [CrossRef]
- Batista, V.S.; Isaac, V.J.; Viana, J.P. Exploração e Manejo dos Recursos Pesqueiros da AMAZÔNIA. In A Pesca e os Recursos Pesqueiros na Amazonia Brasileira; Ruffino, M.L., Ed.; Edições ProVarzea/Ibama: Manaus, Brazil, 2004; pp. 63–152. [Google Scholar]
- Petrere, M., Jr. Pesca e esforço de pesca no estado do Amazonas. II Locais e aparelhos de captura e estatística de desembarque. Acta Amaz. 1978, 8 (Suppl. S2), 5–54. [Google Scholar] [CrossRef]
- Smith, N.J.H. A Pesca no Rio Amazonas; INPA, Manaus, Amazonas: Manaus, Brazil, 1979; 154p. [Google Scholar]
- Isaac, V.J.; Fabré, N.N.; da Silva, C.O.; Ruffino, M.L.; Saint-Paul, U. Ecologia da Fauna Ictíica. In Peixes e Pesca no Amazonas: Uma Avaliação Integrada; Batista, V.S., Isaac, V.J., Eds.; Ibama/ProVárzea: Brasília, Brazil, 2012; pp. 201–246. [Google Scholar]
- Lowe-McConnell, R.H. Estudos Ecológicos de Comunidades de Peixes Tropicais; EDUSP: São Paulo, Brazil, 1999; 534p. [Google Scholar]
- Batista, V.S.; Lima, L.G. In search of traditional bio-ecological knowledge useful for fisheries co-management: The case of jaraquis Semaprochilodus spp. (Characiformes, Prochilodontidae) in Central Amazon, Brazil. J. Ethnobiol. Ethnomed. 2010, 6, 15. [Google Scholar] [CrossRef]
- Braga, T.M.P.; Rebêlo, R.H. Traditional knowledge of the fishermen of the lower Juruá river: Aspects related to the feeding habits of fish in the region. Interciência 2014, 39, 659–665. [Google Scholar]
- Hurd, L.E.; Sousa, R.G.C.; Siqueira-Souza, F.K.; Cooper, G.J.; Kahn, J.R.; Freitas, C.E.C. Amazon floodplain fish communities: Habitat connectivity and conservation in a rapidly deteriorating environment. Biol. Conserv. 2016, 195, 118–127. [Google Scholar] [CrossRef]
- Carvalho, F.M. Composição química e reprodução de mapará (Hypophthalmus edentatus, Spix 1829), do Lago Castanho, Amazonas (Siluriformes, Hypo-phthalmidae). Acta Amaz. 1980, 10, 379–389. [Google Scholar] [CrossRef]
- Ruffino, M.L.; Issac, V.J. Ciclo de vida e parâmetros biológicos de algumas espécies de peixes da Amazônia brasileira. IBAMA Coleção Meio Ambiente Série Estud. Pesca 2000, 22, 11–30. [Google Scholar]
- Zhao, M.; Pitman, A.J.; Chase, T. The impact of land cover change on the atmospheric circulation. Clim. Dyn. 2001, 17, 467–477. [Google Scholar] [CrossRef]
- Salazar, L.F.; Nobre, C.A.; Oyama, M.D. Climatic change consequences on the biome distribution in tropical South America. Geophys. Res. Lett. 2007, 34, L09708. [Google Scholar] [CrossRef]
- Barthem, R.B.; Petrere, M. Fisheries and population dynamics of the freshwater catfish Brachyplatystoma vaillantii in the Amazon Estuary. In Condition of the World’s Aquatic Habitats; Armantrout, N.B., Wolotira, R.J., Eds.; Oxford & IBH Publishing CO. PVT. Ltd.: Nova Delhi, India, 1995; pp. 329–350. [Google Scholar]
- Isaac, V.J.; Milstein, A.; Ruffino, M.L. A pesca artesanal no Baixo Amazonas: Análise multivariada da captura por espécie. Acta Amaz. 1996, 26, 185–208. [Google Scholar] [CrossRef]
- Pauly, D.; Christensen, V.; Dalsgaard, J.; Froese, R.; Torres, F., Jr. Fishing down marine food webs. Science 1998, 279, 860–863. [Google Scholar] [CrossRef]







| Type | Category | Gear | Description | Usage |
|---|---|---|---|---|
| NETS | Gillnets | Driftnet (“bubuia”) | Long, tall gillnet, which is left to drift in the river channel. | Used to catch catfish. |
| Gillnet (“malhadeira”) | Rectangular nets of multifilament nylon, with different mesh sizes. | Widely used near the surface or near the bottom, in the still waters of rivers or in floodplains. This net catches all different types of fish, depending on the mesh used and the site targeted. These nets may also be deployed actively, being trawled manually or by vessels. | ||
| Small gillnet (“miqueira”) | Rectangular nets of monofilament nylon, with different mesh sizes. | Used in environments with strong currents, principally to catch mapará. | ||
| Cast nets | Cast net (“redinha”) | Rectangular net used actively to encircle fish. | Used in deep water free of obstacles for the capture of fish in shoals, in particular the jaraqui. | |
| Others | Handnet (“puçá”, “rapiché”) | Funnel-shaped nets with a fine mesh and pole. | Used in the dry season (low water), primarily at the margins of islands and in areas with gravelly bottoms. | |
| LINES | Lines | Handlines and rods (“caniço”, “rapazinho”) | Long nylon line with a baited hook at the end, either held in the hand, tied to the bank, or attached to a rod. | Used in lentic environments, near fruiting trees or in sheltered locations. Used to catch pacu, aracu, and other fish in flooded areas. |
| Paternoster (“espinhel”) | Longline gear, to which a series of short lines with hooks are attached. | Used to target catfish in the river channel. |
| Variable | S | p |
|---|---|---|
| Total catch | –3837 | 0.0005 * |
| Fishing effort | –8691 | 0.0000 * |
| Gillnets in lakes | –2927 | 0.0082 * |
| Gillnets in rivers | –3622 | 0.0011 * |
| Lines in lakes | 2301 | 0.0376 * |
| Lines in rivers | –1088 | 0.3258 |
| Gillnets | ||||
|---|---|---|---|---|
| Sum of the Squares | Degrees of Freedom | F | Pr (>F) | |
| (intercept) | 571,322 | 1 | 75.6725 | 9.994 × 10−16 * |
| Line (covariate) | 4891 | 1 | 0.6478 | 0.4218 |
| Month (independent variable) | 1,156,612 | 11 | 13.9268 | 2.2 × 10−16 * |
| Residual | 1,577,936 | 209 | - | - |
| Lines | ||||
| Sum of the Squares | Degrees of Freedom | F | Pr (>F) | |
| (intercept) | 31.67 | 1 | 6.1932 | 0.01362 * |
| Gill nets (covariate) | 0.54 | 1 | 0.1065 | 0.74455 |
| Month (independent variable) | 117.14 | 11 | 2.0825 | 0.02295 * |
| Residual | 1053.44 | 206 | - | - |
Disclaimer/Publisher’s Note: The statements, opinions and data contained in all publications are solely those of the individual author(s) and contributor(s) and not of MDPI and/or the editor(s). MDPI and/or the editor(s) disclaim responsibility for any injury to people or property resulting from any ideas, methods, instructions or products referred to in the content. |
© 2023 by the authors. Licensee MDPI, Basel, Switzerland. This article is an open access article distributed under the terms and conditions of the Creative Commons Attribution (CC BY) license (https://creativecommons.org/licenses/by/4.0/).
Share and Cite
Furtado, M.d.S.C.; Queiroz, J.C.B.; Bentes, B.; Yasojima, E.K.K.; Thomaz, D.d.O.; Pinheiro, L.d.C.; Ruffino, M.L.; Isaac, V. The Hydrological Cycle of the Lower Amazon in Brazil Determines the Variation in Local Fishing Patterns. Fishes 2023, 8, 371. https://doi.org/10.3390/fishes8070371
Furtado MdSC, Queiroz JCB, Bentes B, Yasojima EKK, Thomaz DdO, Pinheiro LdC, Ruffino ML, Isaac V. The Hydrological Cycle of the Lower Amazon in Brazil Determines the Variation in Local Fishing Patterns. Fishes. 2023; 8(7):371. https://doi.org/10.3390/fishes8070371
Chicago/Turabian StyleFurtado, Maura da Silva Costa, Joaquim Carlos Barbosa Queiroz, Bianca Bentes, Edson Koiti Kudo Yasojima, Débora de Oliveira Thomaz, Larissa da Costa Pinheiro, Mauro Luis Ruffino, and Victoria Isaac. 2023. "The Hydrological Cycle of the Lower Amazon in Brazil Determines the Variation in Local Fishing Patterns" Fishes 8, no. 7: 371. https://doi.org/10.3390/fishes8070371
APA StyleFurtado, M. d. S. C., Queiroz, J. C. B., Bentes, B., Yasojima, E. K. K., Thomaz, D. d. O., Pinheiro, L. d. C., Ruffino, M. L., & Isaac, V. (2023). The Hydrological Cycle of the Lower Amazon in Brazil Determines the Variation in Local Fishing Patterns. Fishes, 8(7), 371. https://doi.org/10.3390/fishes8070371

