Effect of a Bacillus Probiotic Compound on Penaeus vannamei Survival, Water Quality, and Microbial Communities
Abstract
1. Introduction
2. Materials and Methods
2.1. Experimental Material
2.2. Bacterial Composition Analysis of BG4
2.2.1. Activation of BG4
2.2.2. Bacterial Composition Analysis of BG4
2.2.3. Identification of Bacillus Species
2.3. Analysis of the Effect of BG4 on the Quality of Sterilized Aquaculture Water
2.3.1. Preparation of Feed Solutions
2.3.2. Preparation of Sterilized Aquaculture Water
2.3.3. Treatment Groups
2.3.4. Water Quality Indicators
2.4. Effects of BG4 on Shrimp and Aquatic Environment
2.4.1. Experimental System
2.4.2. Experimental Design
2.4.3. Detection of Indicators
- Survival rate of Penaeus vannamei
- Water quality
- Bacterial quantity and microbial community structure
2.5. Statistical Analysis
3. Results
3.1. Analysis of Bacterial Species Composition of BG4
3.2. Effect of BG4 on the Quality of Sterilized Aquaculture Water
3.3. Effects of BG4 on Aquaculture Organisms and Aquatic Environment
3.3.1. Survival rate of Penaeus vannamei
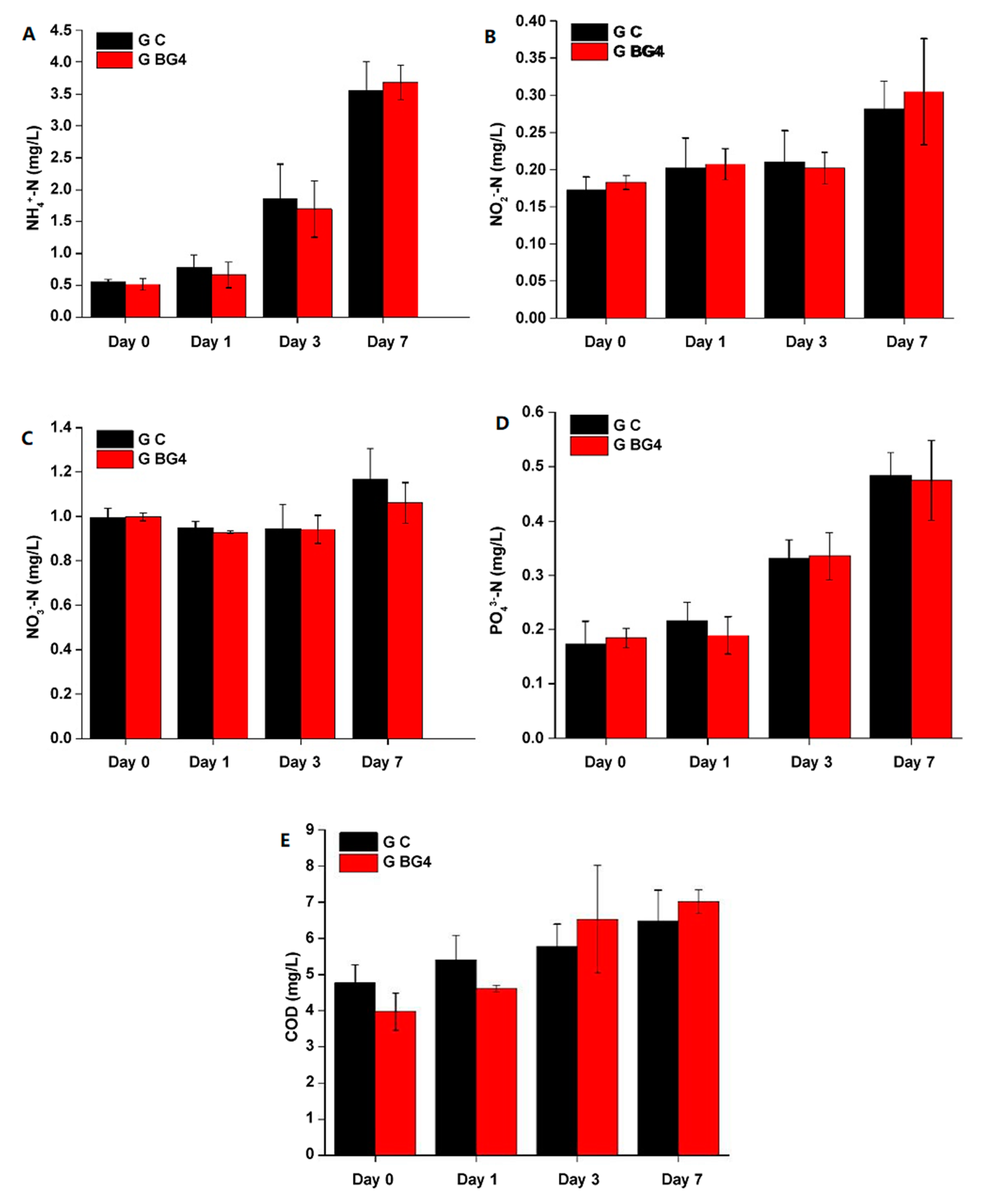
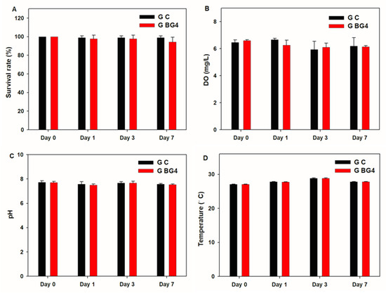
3.3.2. Effects of BG4 on Aquatic Environment
- Basic indicators
- Water quality
3.4. Effects of BG4 on the Number of Bacteria and Community Structure in the Shrimp Culture Water
3.4.1. Changes in the Total Number of Bacteria in the Shrimp Culture Water
3.4.2. Changes in Bacterial Community Structure in the Shrimp Culture Water
4. Discussion
5. Conclusions
Author Contributions
Funding
Institutional Review Board Statement
Data Availability Statement
Conflicts of Interest
References
- Gatesoupe, F.J. The use of probiotics in aquaculture. Aquaculture 1999, 180, 147–165. [Google Scholar] [CrossRef]
- Kuebutornye, F.K.A.; Abarike, E.D.; Lu, Y.S. A review on the application of Bacillus as probiotics in aquaculture. Fish Shellfish Immunol. 2019, 87, 820–828. [Google Scholar] [CrossRef]
- Elsabagh, M.; Mohamed, R.; Moustafa, E.M.; Hamza, A.; Farrag, F.; Decamp, O.; Dawood, M.A.O.; Eltholth, M. Assessing the impact of Bacillus strains mixture probiotic on water quality, growth performance, blood profile and intestinal morphology of Nile tilapia, Oreochromis niloticus. Aquac. Nutr. 2018, 24, 1613–1622. [Google Scholar] [CrossRef]
- Kavitha, M.; Raja, M.; Perumal, P. Evaluation of probiotic potential of Bacillus spp. isolated from the digestive tract of freshwater fish Labeo calbasu (Hamilton, 1822). Aquac. Rep. 2018, 11, 59–69. [Google Scholar] [CrossRef]
- Hu, X.J.; Wen, G.L.; Xu, W.J.; Xu, Y.; Su, H.C.; Yang, K.; Xu, Y.; Li, Z.J.; Cao, Y.C. Effects of the algicidal bacterium CZBC1 on microalgal and bacterial communities in shrimp culture. Aquac. Environ. Interact. 2019, 11, 279–290. [Google Scholar] [CrossRef]
- Goda, A.M.; Omar, E.A.; Srour, T.M.; Kotiet, A.M.; El-Haroun, E.; Davies, S.J. Effect of diets supplemented with feed additives on growth, feed utilization, survival, body composition and intestinal bacterial load of early weaning European seabass, Dicentrarchus labrax post-larvae. Aquac. Int. 2018, 26, 169–183. [Google Scholar] [CrossRef]
- Hu, X.J.; Cao, Y.C.; Wen, G.L.; Zhang, X.Y.; Xu, Y.; Xu, W.J.; Xu, Y.N.; Li, Z.J. Effect of combined use of Bacillus and molasses on microbial communities in shrimp cultural enclosure systems. Aquac. Res. 2017, 48, 691–2705. [Google Scholar] [CrossRef]
- Xu, W.J.; Wen, G.L.; Su, H.C.; Xu, Y.; Hu, X.J.; Cao, Y.C. Effect of input C/N ratio on bacterial community of water biofloc and shrimp gut in a commercial zero-exchange system with intensive production of Penaeus vannamei. Microorganisms 2022, 10, 1060. [Google Scholar] [CrossRef] [PubMed]
- Cai, Y.; Yuan, W.; Wang, S.; Guo, W.; Li, A.; Wu, Y.; Chen, X.; Ren, Z.; Zhou, Y. In vitro screening of putative probiotics and their dual beneficial effects: To white shrimp (Litopenaeus vannamei) postlarvae and to the rearing water. Aquaculture 2019, 498, 61–71. [Google Scholar] [CrossRef]
- Liang, Q.; Zhang, X.; Lee, K.H.; Wang, Y.; Yu, K.; Shen, W.; Fu, L.; Shu, M.; Li, W. Nitrogen removal and water microbiota in grass carp culture following supplementation with Bacillus licheniformis BSK-4. World J. Microbiol. Biotechnol. 2015, 31, 1711–1718. [Google Scholar] [CrossRef] [PubMed]
- Lalloo, R.; Ramchuran, S.; Ramduth, D.; Görgens, J.; Gardiner, N. Isolation and selection of Bacillus spp. as potential biological agents for enhancement of water quality in culture of ornamental fish. J. Appl. Microbiol. 2007, 103, 1471–1479. [Google Scholar] [CrossRef]
- Kewcharoen, W.; Srisapoome, P. Probiotic effects of Bacillus spp. from Pacific white shrimp (Litopenaeus vannamei) on water quality and shrimp growth, immune responses, and resistance to Vibrio parahaemolyticus (AHPND strains). Fish Shellfish Immunol. 2019, 94, 175–189. [Google Scholar] [CrossRef]
- Li, X.; Liu, S.F.; Yan, Y.M.; Zhang, R.J.; Wang, T.J.; Fu, B.R. Effect of Bacillus complex on water quality and bacterial community structure of Carassius aumtus culture water. J. Ecol. Rural Environ. 2020, 36, 522–530. [Google Scholar] [CrossRef]
- Hu, X.J.; Su, H.C.; Xu, Y.; Xu, W.J.; Li, S.S.; Huang, X.S.; Cao, Y.C.; Wen, G.L. Algicidal properties of fermentation products from Bacillus cereus strain JZBC1 dissolving dominant dinoflagellate species Scrippsiella trochoidea, Prorocentrum micans, and Peridinium umbonatum. Biologia 2020, 75, 2015–2024. [Google Scholar] [CrossRef]
- Zheng, X.; Tang, J.; Ren, G.; Wang, Y. The effect of four microbial products on production performance and water quality in integrated culture of freshwater pearl mussel and fishes. Aquac. Res. 2017, 48, 4897–4909. [Google Scholar] [CrossRef]
- Li, Y.; Boyd, C.E. Laboratory tests of bacterial amendments for accelerating oxidation rates of ammonia, nitrite and organic matter in aquaculture pond water. Aquaculture 2016, 460, 45–58. [Google Scholar] [CrossRef]
- Liu, S.; Wang, X.; Lin, Z.; Cai, Y.; Wu, Y.; Liu, X.; Zou, Y.; Wang, S. Purification of aquaculture effluent by Bacillus subtilis HAINUP40. Fish Sci. 2018, 37, 159–166. [Google Scholar] [CrossRef]
- Zhen, Q.I.; Yang, J.P. Application of microbiological preparation and microalgae in aquaculture. Acta Hydrobiol. Sin. 2004, 28, 85–89. [Google Scholar] [CrossRef]
- Zhang, W.; Zhang, J.; Li, Y.; Jiang, Y.; Yao, W.; Wu, Z. Water quality control in aquaculture system by Bacillus cereus S458-1. Acta Microbiol. Sin. 2019, 59, 2182–2193. [Google Scholar] [CrossRef]
- GB/T 26428-2010; Method for Determination of Bacillus subtilis in Feeds. General Administration of Quality Supervision, Inspection and Quarantine of the People’s Republic of China, China National Standardization Administration: Beijing, China, 2011.
- Cao, Y.C.; Wen, G.L.; Li, Z.J.; Liu, X.J.; Hu, X.J.; Zhang, J.S.; He, J.G. Effects of dominant microalgae species and bacterial quantity on shrimp production in the final culture season. J. Appl. Phycol. 2014, 26, 1749–1757. [Google Scholar] [CrossRef]
- GB17378.4-2007; The Specification for Marine Monitoring-Part 4: Seawater Analysis. General Administration of Quality Supervision, Inspection and Quarantine of the People’s Republic of China, China National Standardization Administration: Beijing, China, 2008.
- Zhang, D.; Li, H.; Liu, Y.; Qiao, G.; Chi, S.; Song, J. Screening and identification of organics-degrading bacteria from the sediment of sea cucumber Apostichopus japonicus ponds. Aquac. Int. 2016, 24, 373–384. [Google Scholar] [CrossRef]
- McIntosh, D.; Samocha, T.M.; Jones, E.R.; Lawrence, A.L.; McKee, D.A.; Horowitz, S.; Horowitz, A. The effect of a commercial bacterial supplement on the high-density culturing of Litopenaeus vannamei with a low-protein diet in an outdoor tank system and no water exchange. Aquacult. Eng. 2000, 21, 215–227. [Google Scholar] [CrossRef]
- Dalmin, G.; Kathiresan, K.; Purushothaman, A. Effect of probiotics on bacterial population and health status of shrimp in culture pond ecosystem. Indian J. Exp. Biol. 2001, 39, 939–942. [Google Scholar] [CrossRef]
- Wu, D.X.; Zhao, S.M.; Peng, N.; Xu, C.P.; Wang, J.; Liang, Y.X. Effects of a probiotic (Bacillus subtilis FY99-01) on the bacterial community structure and composition of shrimp (Litopenaeus vannamei, Boone) culture water assessed by denaturing gradient gel electrophoresis and high-throughput sequencing. Aquac. Res. 2016, 47, 857–869. [Google Scholar] [CrossRef]
- Cao, Y.C.; Li, Z.J.; Lin, H.Z.; Yang, Y.Y.; Wen, G.L.; Zou, G.R. Applied research of Bacillus licheniformis De in grass carp (Ctenopharyngodon idellus) culture. South China Fish. Sci. 2008, 4, 15–19. [Google Scholar] [CrossRef]
- Liu, X.Y.; Wang, L.L.; Luan, H.N.; Zheng, W.; Hou, S.; Liu, Z.; Zhang, S. Isolation and identification of a Bacillus subtilis strain for water purification. Microbiol. China 2021, 48, 449–461. [Google Scholar] [CrossRef]
- Zokaeifar, H.; Babaei, N.; Saad, C.R.; Kamarudin, M.S.; Sijam, K.; Balcazar, J.L. Administration of Bacillus subtilis strains in the rearing water enhances the water quality, growth performance, immune response, and resistance against Vibrio harveyi infection in juvenile white shrimp, Litopenaeus vannamei. Fish Shellfish Immunol. 2014, 36, 68–74. [Google Scholar] [CrossRef] [PubMed]
- Hu, X.J.; Xu, Y.; Cao, Y.C. Full-Color Illustration of Efficient Culture and Disease Control of Litopenaeus vannamei; Chemical Industry Press: Beijing, China, 2021. [Google Scholar]
- Sutyak, K.E.; Wirawan, R.E.; Aroutcheva, A.A.; Chikindas, M.L. Isolation of the Bacillus subtilis antimicrobial peptide subtilosin from the dairy product-derived Bacillus amyloliquefaciens. J. Appl. Microbiol. 2008, 104, 1067–1074. [Google Scholar] [CrossRef]
- Tyagi, M.; da Fonseca, M.M.R.; de Carvalho, C.C. Bioaugmentation and biostimulation strategies to improve the effectiveness of bioremediation processes. Biodegradation 2011, 22, 231–241. [Google Scholar] [CrossRef] [PubMed]
- Tang, J.Y.; Dai, Y.X.; Li, Y.M.; Qin, J.G.; Wang, Y. Can application of commercial microbial products improve fish growth and water quality in freshwater polyculture? N. Am. J. Aquacult. 2016, 78, 154–160. [Google Scholar] [CrossRef]
- Li, S.H.; Li, Z.J.; Yang, Y.Y.; Cao, Y.C.; Hu, X.J.; Yang, Y.F. The dynamic study of bacteria from autumn to winter in the Litopenaeus vannamei ponds. J. Jinan Univ. 2009, 30, 343–348. [Google Scholar] [CrossRef]
- Cao, Y.C.; Li, Z.; Wen, G.L.; Li, S.H.; Hu, X.J. Dynamic variation of bacteria and the relationship with water quality in marine polyculture pond. Guangdong Agric. Sci. 2013, 5, 120–130. [Google Scholar] [CrossRef]







| Bacterial Species Composition | Bacilluslicheniformis | Bacillus subtilis | Bacillus amyloliquefaciens |
|---|---|---|---|
| Bacterial quantity (CFU/g) | 5.52 × 108 | 5.32 × 108 | 1.54 × 107 |
| Percentage of quantity | 50.2% | 48.4% | 1.4% |
Disclaimer/Publisher’s Note: The statements, opinions and data contained in all publications are solely those of the individual author(s) and contributor(s) and not of MDPI and/or the editor(s). MDPI and/or the editor(s) disclaim responsibility for any injury to people or property resulting from any ideas, methods, instructions or products referred to in the content. |
© 2023 by the authors. Licensee MDPI, Basel, Switzerland. This article is an open access article distributed under the terms and conditions of the Creative Commons Attribution (CC BY) license (https://creativecommons.org/licenses/by/4.0/).
Share and Cite
Hu, X.; Xu, Y.; Su, H.; Xu, W.; Wen, G.; Xu, C.; Yang, K.; Zhang, S.; Cao, Y. Effect of a Bacillus Probiotic Compound on Penaeus vannamei Survival, Water Quality, and Microbial Communities. Fishes 2023, 8, 362. https://doi.org/10.3390/fishes8070362
Hu X, Xu Y, Su H, Xu W, Wen G, Xu C, Yang K, Zhang S, Cao Y. Effect of a Bacillus Probiotic Compound on Penaeus vannamei Survival, Water Quality, and Microbial Communities. Fishes. 2023; 8(7):362. https://doi.org/10.3390/fishes8070362
Chicago/Turabian StyleHu, Xiaojuan, Yu Xu, Haochang Su, Wujie Xu, Guoliang Wen, Chuangwen Xu, Keng Yang, Song Zhang, and Yucheng Cao. 2023. "Effect of a Bacillus Probiotic Compound on Penaeus vannamei Survival, Water Quality, and Microbial Communities" Fishes 8, no. 7: 362. https://doi.org/10.3390/fishes8070362
APA StyleHu, X., Xu, Y., Su, H., Xu, W., Wen, G., Xu, C., Yang, K., Zhang, S., & Cao, Y. (2023). Effect of a Bacillus Probiotic Compound on Penaeus vannamei Survival, Water Quality, and Microbial Communities. Fishes, 8(7), 362. https://doi.org/10.3390/fishes8070362

