Evaluation of the Potential of the Hard Clam (Meretrix meretrix) Shell Which Can Be Used as the Bioindicator for Heavy Metal Accumulation
Abstract
1. Introduction
2. Materials and Methods
2.1. Sample Collection
- Wild samples
- Cultured samples
2.2. Trace Elements Analysis
2.3. Statistical Analysis
3. Results
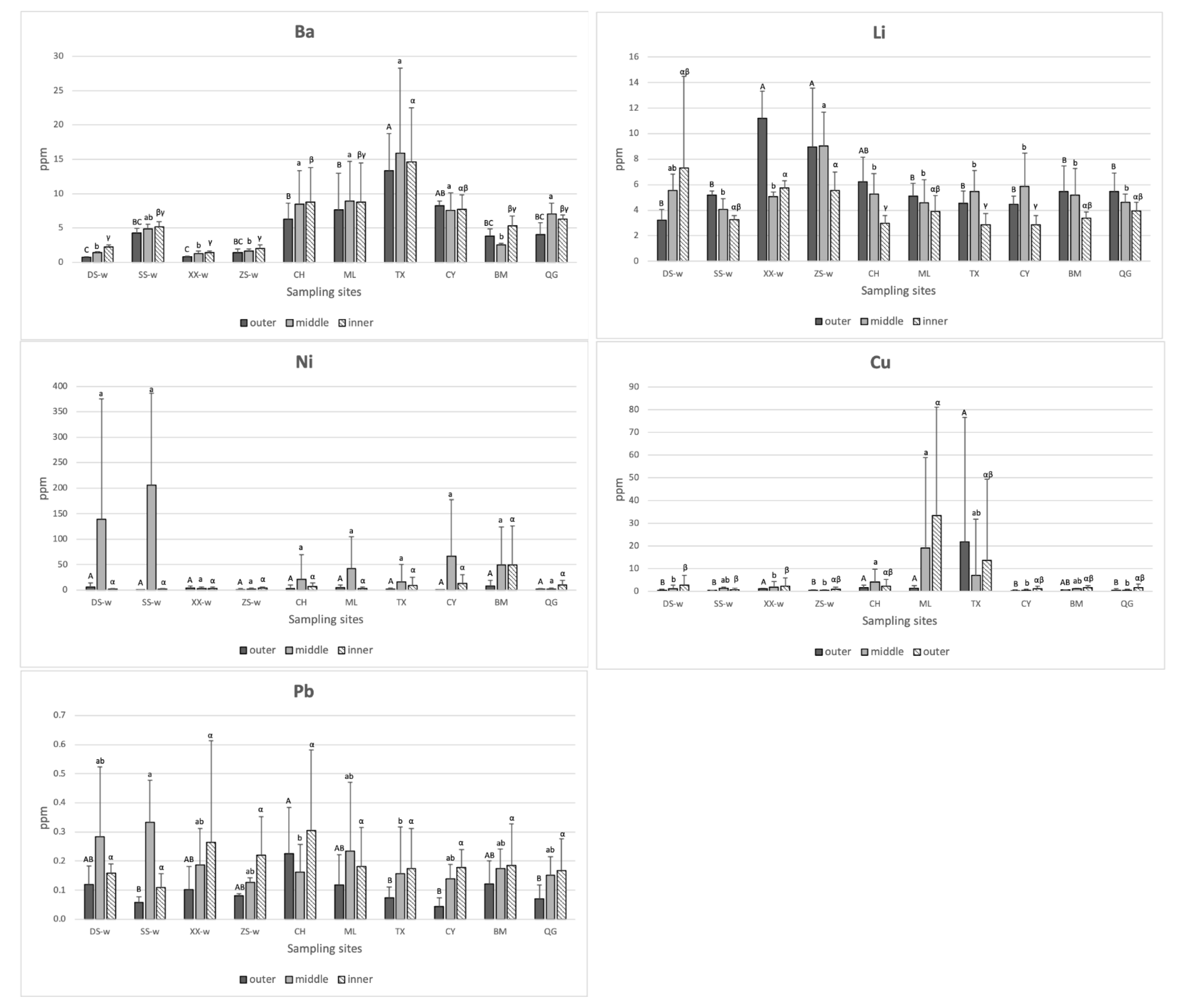
3.1. Trace Elements Concentration in the Shell of M. meretrix
3.2. Inner Site of the Shells
3.3. Middle Site of the Shells
3.4. Outer Site of the Shells
3.5. Trace Elements in Three Stages of the M. meretrix
3.6. PCA Analysis of Trace Elements in the Three Sites of the Shell
4. Discussion
5. Conclusions
Supplementary Materials
Author Contributions
Funding
Institutional Review Board Statement
Data Availability Statement
Conflicts of Interest
References
- Fisheries Statistical Yearbook 2020; Fisheries Agency, Council of Agriculture: Taipei, Taiwan, 2020.
- Huang, Y.C.; Li, Z.K.; Chen, W.L.; Chan, C.C.; Hsu, H.Y.; Lin, Y.T.; Huang, Y.S.; Han, Y.S. First record of the invasive biofouling mussel Mytella strigata (Bivalvia: Mytilidae) from clam ponds in Taiwan. BioInvasion Rec. 2021, 10, 204–312. [Google Scholar] [CrossRef]
- Abdullah, M. Heavy Metals (Cd, Cu, Cr, Pb and Zn) in Meretrix meretrix Roding, Water and Sediments from Estuaries in Sabah, North Borneo. Int. J. Environ. Sci. Educ. 2007, 2, 69–74. [Google Scholar]
- Alyahya, H.; El-Gendy, A.H.; Al Farraj, S.; El-Hedeny, M. Evaluation of heavy metal pollution in the Arabian Gulf using the clam Meretrix meretrix Linnaeus, 1758. Water Air Soil Pollut. 2011, 214, 499–507. [Google Scholar] [CrossRef]
- Böhlmark, J. Meretrix meretrix as an Indicator of Heavy Metal Contamination in Maputo Bay. Masters’ Thesis, Uppsala University, Uppsala, Sweden, 2003. [Google Scholar]
- Wang, Y.; Liang, L.; Shi, J.; Jiang, G. Study on the contamination of heavy metals and their correlations in mollusks collected from coastal sites along the Chinese Bohai Sea. Environ. Int. 2005, 31, 1103–1113. [Google Scholar] [CrossRef] [PubMed]
- Yam, R.S.; Fan, Y.T.; Tan, Z.; Wang, T.D.; Chiu, C.Y. Assessing Impacts of Metallic Contamination along the Tidal Gradient of a Riverine Mangrove: Multi-metal Bioaccumulation and Biomagnification of Filter-Feeding Bivalves. Forests 2020, 11, 504. [Google Scholar] [CrossRef]
- Hung, T.C. Heavy metal pollution and marine ecosystem as a case study in Taiwan. In Hazardous Waste: Detection, Control, Treatment; Abbou, R., Ed.; Elsevier: Amsterdam, The Netherlands, 1989; pp. 869–877. [Google Scholar]
- Hung, T.C.; Lee, T.Y.; Liao, T.F. Determination of butyltins and phenyltins in oysters and fishes from Taiwan coastal waters. Environ. Pollut. 1998, 102, 197–203. [Google Scholar] [CrossRef]
- Han, B.C.; Jeng, W.L.; Chen, R.Y.; Fang, G.T.; Hung, T.C.; Tseng, R.J. Estimation of target hazard quotients and potential health risks for metals by consumption of seafood in Taiwan. Arch. Environ. Contam. Toxicol. 1998, 35, 711–720. [Google Scholar] [CrossRef]
- Kesavan, K.; Murugan, A.; Venkatesan, V.; Kumar, V. Heavy metal accumulation in molluscs and sediment from Uppanar estuary, southeast coast of India. Thalassas 2013, 29, 15–21. [Google Scholar]
- Hung, T.C.; Meng, P.J.; Wu, S.J. Species of copper and zinc in sediments collected from the Antarctic Ocean and the Taiwan Erhjin Chi coastal area. Environ. Pollut. 1993, 80, 223–230. [Google Scholar] [CrossRef]
- Hung, T.C.; Meng, P.J.; Han, B.C. Interactions among the copper species and forms in sea water/sediments and copper bioaccumulation in oysters. Chem. Ecol. 1995, 10, 47–60. [Google Scholar] [CrossRef]
- Han, B.C.; Hung, T.C. Green oysters caused by copper pollution on the Taiwan coast. Environ. Pollut. 1990, 65, 347–362. [Google Scholar] [CrossRef]
- Han, B.C.; Jeng, W.L.; Hung, T.C.; Wen, M.Y. Relationship between copper speciation in sediments and bioaccumulation by marine bivalves of Taiwan. Environ. Pollut. 1996, 91, 35–39. [Google Scholar] [CrossRef]
- Zhuang, S. The influence of salinity, diurnal rhythm and daylength on feeding behavior in Meretrix meretrix Linnaeus. Aquaculture 2006, 252, 584–590. [Google Scholar] [CrossRef]
- Thangaraj, S.; Purushothaman, Y.; Palani, D.; Velmurugan, K.; Dilip, K.J.; Gopal, D.; Thangavel, B.; Ramalingam, K. Assessment of trace metal contamination in the marine sediment, seawater, and bivalves of Parangipettai, southeast coast of India. Mar. Pollut. Bull. 2019, 149, 110499. [Google Scholar]
- Carré, M.; Bentaleb, I.; Bruguier, O.; Ordinola, E.; Barrett, N.T.; Fontugne, M. Calcification rate influence on trace element concentrations in aragonitic bivalve shells: Evidences and mechanisms. Geochim. Cosmochim. Acta 2006, 70, 4906–4920. [Google Scholar] [CrossRef]
- Steinhardt, J.; Butler, P.G.; Carroll, M.L.; Hartley, J. The application of long-lived bivalve sclerochronology in environmental baseline monitoring. Front. Mar. Sci. 2016, 3, 176. [Google Scholar] [CrossRef]
- Bourgoin, B.P. Mytilus edulis shell as a bioindicator of lead pollution: Considerations on bioavailability and variability. Mar. Ecol. Prog. Ser. Oldendorf 1990, 61, 253–262. [Google Scholar] [CrossRef]
- Krause-Nehring, J.; Brey, T.; Thorrold, S.R. Centennial records of lead contamination in northern Atlantic bivalves (Arctica islandica). Mar. Pollut. Bull. 2012, 64, 233–240. [Google Scholar] [CrossRef]
- Karbasdehi, V.N.; Dobaradaran, S.; Nabipour, I.; Ostovar, A.; Vazirizadeh, A.; Ravanipour, M.; Nazmara, S.; Keshtkar, M.; Mirahmadi, R.; Noorinezhad, M. A new bioindicator, shell of Trachycardium lacunosum, and sediment samples to monitors metals (Al, Zn, Fe, Mn, Ni, V, Co, Cr and Cu) in marine environment: The Persian Gulf as a case. J. Environ. Health Sci. Eng. 2016, 14, 1–12. [Google Scholar] [CrossRef]
- Andrello, A.C.; Lopes, F.; Galvão, T.D. Mussel shell evaluation as bioindicator for heavy metals. AIP Conf. Proc. 2010, 1245, 110–113. [Google Scholar]
- Dar, M.A.; Belal, A.A.; Madkour, A.G. The differential abilities of some molluscs to accumulate heavy metals within their shells in the Timsah and the Great Bitter lakes, Suez Canal, Egypt. Egypt. J. Aquat. Res. 2018, 44, 291–298. [Google Scholar] [CrossRef]
- Sarkar, S.K.; Cabral, H.; Chatterjee, M.; Cardoso, I.; Bhattacharya, A.K.; Satpathy, K.K.; Alam, M.A. Biomonitoring of heavy metals using the bivalve molluscs in Sunderban mangrove wetland, northeast coast of Bay of Bengal (India): Possible risks to human health. CLEAN–Soil Air Water 2008, 36, 187–194. [Google Scholar] [CrossRef]
- Sadiq, M.; Alam, I.A.; Al-Mohanna, H. Bioaccumulation of nickel and vanadium by clams (Meretrix meretrix) living in different salinities along the Saudi coast of the Arabian Gulf. Environ. Pollut. 1992, 76, 225–231. [Google Scholar] [CrossRef]
- Rashid, A.W.; Wan, V.L.; Abdullah, M.H. Accumulation and depuration of heavy metals in the hard clam (Meretrix meretrix) under laboratory conditions. J. Biosains 2009, 20, 19–26. [Google Scholar]
- Kabu, M.; Uyarlar, C.; Zarczynska, K.; Milewska, W.; Sobiech, P. The role of boron in animal health. J. Elem. 2015, 20, 535–541. [Google Scholar]
- Yang, S.Y. The River in Xiangshan Wetland Was Dyed Green by Paint Industry Who Dumped Sewage. 2019. Appledaily. Available online: https://www.appledaily.com.tw/life/20190907/AMKYID3UUFPFQNEKMMARCZ45DI/ (accessed on 7 November 2019).
- Hompson, J.A.J.; Davis, J.C.; Drew, R.E. Toxicity, uptake and survey studies of boron in the marine environment. Water Res. 1976, 10, 869–875. [Google Scholar] [CrossRef]
- Tate, D.R.; Kirsten, B.; Roslizawati, A.L.; Brendan, P.K. Ocean acidification and warming impacts the nutritional properties of the predatory whelk, Dicathais orbita. J. Exp. Mar. Biol. Ecol. 2017, 493, 7–13. [Google Scholar] [CrossRef]
- Zhao, L.; Bernd, R.S.; Regina, M.K.; Yang, F. Sodium provides unique insights into transgenerational effects of ocean acidification on bivalve shell formation. Sci. Total Environ. 2017, 577, 360–366. [Google Scholar] [CrossRef]
- Watts, P.; Howe, P. Strontium and Strontium Compounds; Report No. 77; WHO: Geneva, Switzerland, 2010. [Google Scholar]
- Wang, X.S.; Qin, Y.; Sang, S.X. Accumulation and sources of heavy metals in urban topsoils: A case study from the city of Xuzhou, China. Environ. Geol. 2005, 48, 101–107. [Google Scholar] [CrossRef]
- Fang, L.S.; Shen, P.Y. Foreign elements in a clam shell: A clue to the history of marine pollution events. Mar. Ecol. Prog. Ser. Oldendorf 1984, 18, 187–189. [Google Scholar] [CrossRef]
- Santamaria, A.B. Manganese exposure, essentiality & toxicity. Indian J. Med. Res. 2008, 128, 484. [Google Scholar] [PubMed]
- Mikhail, B.; Arne, J. Phosphorus: An Element That Could Have Been Called Lucifer; Springer: Dordrecht, The Netherlands, 2013. [Google Scholar]
- Westerman, P.W.; Bicudo, J.R. Management considerations for organic waste use in agriculture. Bioresour. Technol. 2005, 96, 215–221. [Google Scholar] [CrossRef] [PubMed]
- Chou, M.H.; Lin, Y.C.; Yeh, X.L. Study on the Biological Control Effect of Polyculture of Larvae on Macroalgae in Clam Culture Pond; Fisheries Research Institute Annual Report; Fisheries Research Institute: Taipei, Taiwan, 2017; Volume 44. [Google Scholar]
- Lee, A.C.; Lee, M.C.; Chen, S.M.; Chin, T.S. Temperature, pH, Mg 2+ and Aerial Exposure Time Affect the Oxygen Consumption of Hard Clam (Meretrix Iusoria). J. Fish. Soc. Taiwan 2005, 32, 301–309. [Google Scholar]
- Lee, A.C.; Lin, C.R.; Chen, S.Y. The effect of temperature and components of artificial seawater on digging ability of hard clam (Meretrix lusoria). J. Fish. Soc. Taiwan 2004, 31, 251–262. [Google Scholar]
- Madejón, P. Barium. In Heavy Metals in Soils; Springer: Dordrecht, The Netherlands, 2013; pp. 507–514. [Google Scholar]
- Stoffyn-Egli, P. Conservative behaviour of dissolved lithium in estuarine waters. Estuar. Coast. Shelf Sci. 1982, 14, 577–587. [Google Scholar] [CrossRef]
- Yanong, R.P. Use of Copper in Marine Aquaculture and Aquarium Systems. EDIS, 2010, p. 2. Available online: https://edis.ifas.ufl.edu/pdf/FA/FA16500.pdf (accessed on 1 August 2018).
- Von Storch, H.; Costa-Cabral, M.; Hagner, C.; Feser, F.; Pacyna, J.; Pacyna, E.; Kolb, S. Four decades of gasoline lead emissions and control policies in Europe: A retrospective assessment. Sci. Total Environ. 2003, 311, 151–176. [Google Scholar] [CrossRef]
- Gillikin, D.P.; Dehairs, F.; Baeyens, W.; Navez, J.; Lorrain, A.; André, L. Inter-and intra-annual variations of Pb/Ca ratios in clam shells (Mercenaria mercenaria): A record of anthropogenic lead pollution? Mar. Pollut. Bull. 2005, 50, 1530–1540. [Google Scholar] [CrossRef]
- Cariou, E.; Guivel, C.; La, C.; Lenta, L.; Elliot, M. Lead accumulation in oyster shells, a potential tool for environmental monitoring. Mar. Pollut. Bull. 2017, 125, 19–29. [Google Scholar] [CrossRef]
- Food Safety Law of Taiwan. 2019. Available online: https://law.moj.gov.tw/LawClass/LawAll.aspx?pcode=l0040001 (accessed on 12 June 2019).
- Eric, J.A.; Sue-Ann, W.; Jonathon, H.S.; Piero, C. Elevated temperature and carbon dioxide levels alter growth rates and shell composition in the fluted giant clam, Tridacna Squamosa. Sci. Rep. 2022, 12, 11034. [Google Scholar]
- Szefer, P. Metals, Metalloids and Radionuclides in the Baltic Sea Ecosystem; Trace Metals in the Environment; Elsevier: Amsterdam, The Netherlands, 2002; Volume 5. [Google Scholar]
- Rainbow, P.S. Trace metal concentrations in aquatic invertebrates: Why and so what? Environ. Pollut. 2002, 120, 497–507. [Google Scholar] [CrossRef]
- Fisheries Research Institute. COA. 2018. Available online: https://en.tfrin.gov.tw (accessed on 1 August 2018).








| Sample ID | Collected Region | Wild/Aquaculture |
|---|---|---|
| DS-w-1 | Danshui River estuary | wild |
| DS-w-2 | Danshui River estuary | wild |
| DS-w-3 | Danshui River estuary | wild |
| SS-w-1 | Siangshan Wetland (Hsinchu) | wild |
| SS-w-2 | Siangshan Wetland (Hsinchu) | wild |
| SS-w-3 | Siangshan Wetland (Hsinchu) | wild |
| XX-w-1 | coastal area of Xianxi | wild |
| XX-w-2 | coastal area of Xianxi | wild |
| XX-w-3 | coastal area of Xianxi | wild |
| ZS-w-1 | Zhuoshui River estuary | wild |
| ZS-w-2 | Zhuoshui River estuary | wild |
| ZS-w-3 | Zhuoshui River estuary | wild |
| CH01-1 | aquatic farms in Changhua | Aquaculture |
| CH01-2 | aquatic farms in Changhua | Aquaculture |
| CH01-3 | aquatic farms in Changhua | Aquaculture |
| CH02-1 | aquatic farms in Changhua | Aquaculture |
| CH02-2 | aquatic farms in Changhua | Aquaculture |
| CH02-3 | aquatic farms in Changhua | Aquaculture |
| CH03-1 | aquatic farms in Changhua | Aquaculture |
| CH03-2 | aquatic farms in Changhua | Aquaculture |
| CH03-3 | aquatic farms in Changhua | Aquaculture |
| CH04-1 | aquatic farms in Changhua | Aquaculture |
| CH04-2 | aquatic farms in Changhua | Aquaculture |
| CH04-3 | aquatic farms in Changhua | Aquaculture |
| CH05-1 | aquatic farms in Changhua | Aquaculture |
| CH05-2 | aquatic farms in Changhua | Aquaculture |
| CH05-3 | aquatic farms in Changhua | Aquaculture |
| CH06-1 | aquatic farms in Changhua | Aquaculture |
| CH06-2 | aquatic farms in Changhua | Aquaculture |
| CH06-3 | aquatic farms in Changhua | Aquaculture |
| ML01-1 | aquatic farms in Mailiao (Yunlin) | Aquaculture |
| ML01-2 | aquatic farms in Mailiao (Yunlin) | Aquaculture |
| ML01-3 | aquatic farms in Mailiao (Yunlin) | Aquaculture |
| ML02-1 | aquatic farms in Mailiao (Yunlin) | Aquaculture |
| ML02-2 | aquatic farms in Mailiao (Yunlin) | Aquaculture |
| ML02-3 | aquatic farms in Mailiao (Yunlin) | Aquaculture |
| TX01-1 | aquatic farms in Taixi (Yunlin) | Aquaculture |
| TX01-2 | aquatic farms in Taixi (Yunlin) | Aquaculture |
| TX01-3 | aquatic farms in Taixi (Yunlin) | Aquaculture |
| TX02-1 | aquatic farms in Taixi (Yunlin) | Aquaculture |
| TX02-2 | aquatic farms in Taixi (Yunlin) | Aquaculture |
| TX02-3 | aquatic farms in Taixi (Yunlin) | Aquaculture |
| TX03-1 | aquatic farms in Taixi (Yunlin) | Aquaculture |
| TX03-2 | aquatic farms in Taixi (Yunlin) | Aquaculture |
| TX03-3 | aquatic farms in Taixi (Yunlin) | Aquaculture |
| TX04-1 | aquatic farms in Taixi (Yunlin) | Aquaculture |
| TX04-2 | aquatic farms in Taixi (Yunlin) | Aquaculture |
| TX04-3 | aquatic farms in Taixi (Yunlin) | Aquaculture |
| TX05-1 | aquatic farms in Taixi (Yunlin) | Aquaculture |
| TX05-2 | aquatic farms in Taixi (Yunlin) | Aquaculture |
| TX05-3 | aquatic farms in Taixi (Yunlin) | Aquaculture |
| TX06-1 | aquatic farms in Taixi (Yunlin) | Aquaculture |
| TX06-2 | aquatic farms in Taixi (Yunlin) | Aquaculture |
| TX06-3 | aquatic farms in Taixi (Yunlin) | Aquaculture |
| CY-1 | aquatic farms in Chiayi | Aquaculture |
| CY-2 | aquatic farms in Chiayi | Aquaculture |
| CY-3 | aquatic farms in Chiayi | Aquaculture |
| BM-1 | aquatic farms in Beimen (Tainan) | Aquaculture |
| BM-2 | aquatic farms in Beimen (Tainan) | Aquaculture |
| BM-3 | aquatic farms in Beimen (Tainan) | Aquaculture |
| QG-1 | aquatic farms in Qigu (Tainan) | Aquaculture |
| QG-2 | aquatic farms in Qigu (Tainan) | Aquaculture |
| QG-3 | aquatic farms in Qigu (Tainan) | Aquaculture |
Publisher’s Note: MDPI stays neutral with regard to jurisdictional claims in published maps and institutional affiliations. |
© 2022 by the authors. Licensee MDPI, Basel, Switzerland. This article is an open access article distributed under the terms and conditions of the Creative Commons Attribution (CC BY) license (https://creativecommons.org/licenses/by/4.0/).
Share and Cite
Lin, Y.-T.; Chang, F.-C.; Chung, M.-T.; Li, Z.-K.; Chan, C.-C.; Huang, Y.-S.; Huang, K.-F.; Han, Y.-S. Evaluation of the Potential of the Hard Clam (Meretrix meretrix) Shell Which Can Be Used as the Bioindicator for Heavy Metal Accumulation. Fishes 2022, 7, 290. https://doi.org/10.3390/fishes7050290
Lin Y-T, Chang F-C, Chung M-T, Li Z-K, Chan C-C, Huang Y-S, Huang K-F, Han Y-S. Evaluation of the Potential of the Hard Clam (Meretrix meretrix) Shell Which Can Be Used as the Bioindicator for Heavy Metal Accumulation. Fishes. 2022; 7(5):290. https://doi.org/10.3390/fishes7050290
Chicago/Turabian StyleLin, Yen-Ting, Fang-Chi Chang, Ming-Tsung Chung, Ze-Kai Li, Chang-Chuan Chan, Ying-Sheng Huang, Kuo-Fang Huang, and Yu-San Han. 2022. "Evaluation of the Potential of the Hard Clam (Meretrix meretrix) Shell Which Can Be Used as the Bioindicator for Heavy Metal Accumulation" Fishes 7, no. 5: 290. https://doi.org/10.3390/fishes7050290
APA StyleLin, Y.-T., Chang, F.-C., Chung, M.-T., Li, Z.-K., Chan, C.-C., Huang, Y.-S., Huang, K.-F., & Han, Y.-S. (2022). Evaluation of the Potential of the Hard Clam (Meretrix meretrix) Shell Which Can Be Used as the Bioindicator for Heavy Metal Accumulation. Fishes, 7(5), 290. https://doi.org/10.3390/fishes7050290

