Living Status and Perspective of the Silver Carp (Hypophthalmichthys molitrix) in the Lower Reach of the Yangtze River: Insights from Population Distribution, Age Structure, and Habitat Preference Analyses
Abstract
1. Introduction
2. Materials and Methods
2.1. Survey Period and Sampling Sites
2.2. Research Methodology
2.2.1. Fish Collection
2.2.2. Scale Identification
2.2.3. Habitat Investigation
2.2.4. Habitat Assessment
2.3. Data Analysis
3. Results
3.1. Catch and Population Structure
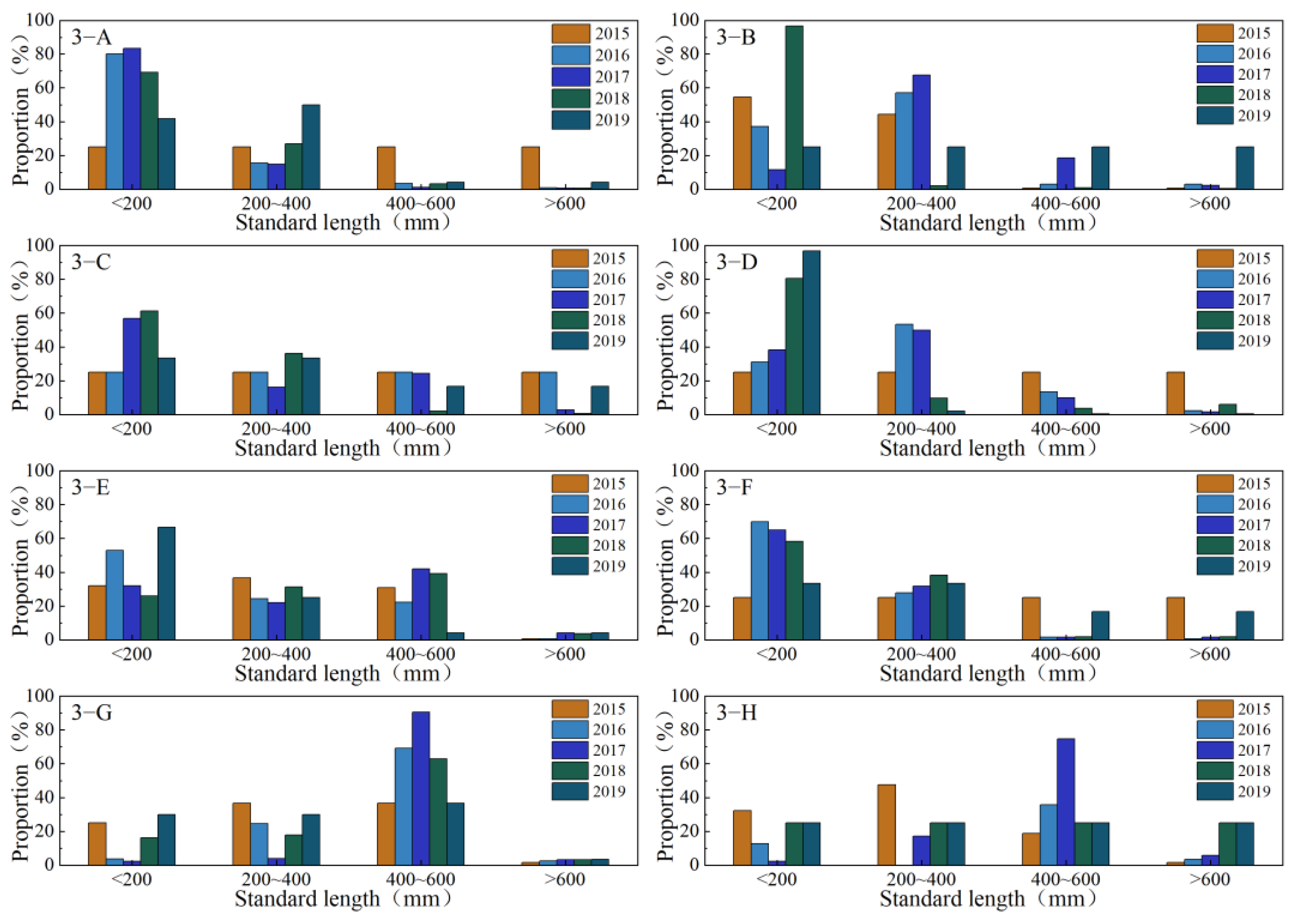
3.2. Seasonal Distribution Patterns of Silver Carps
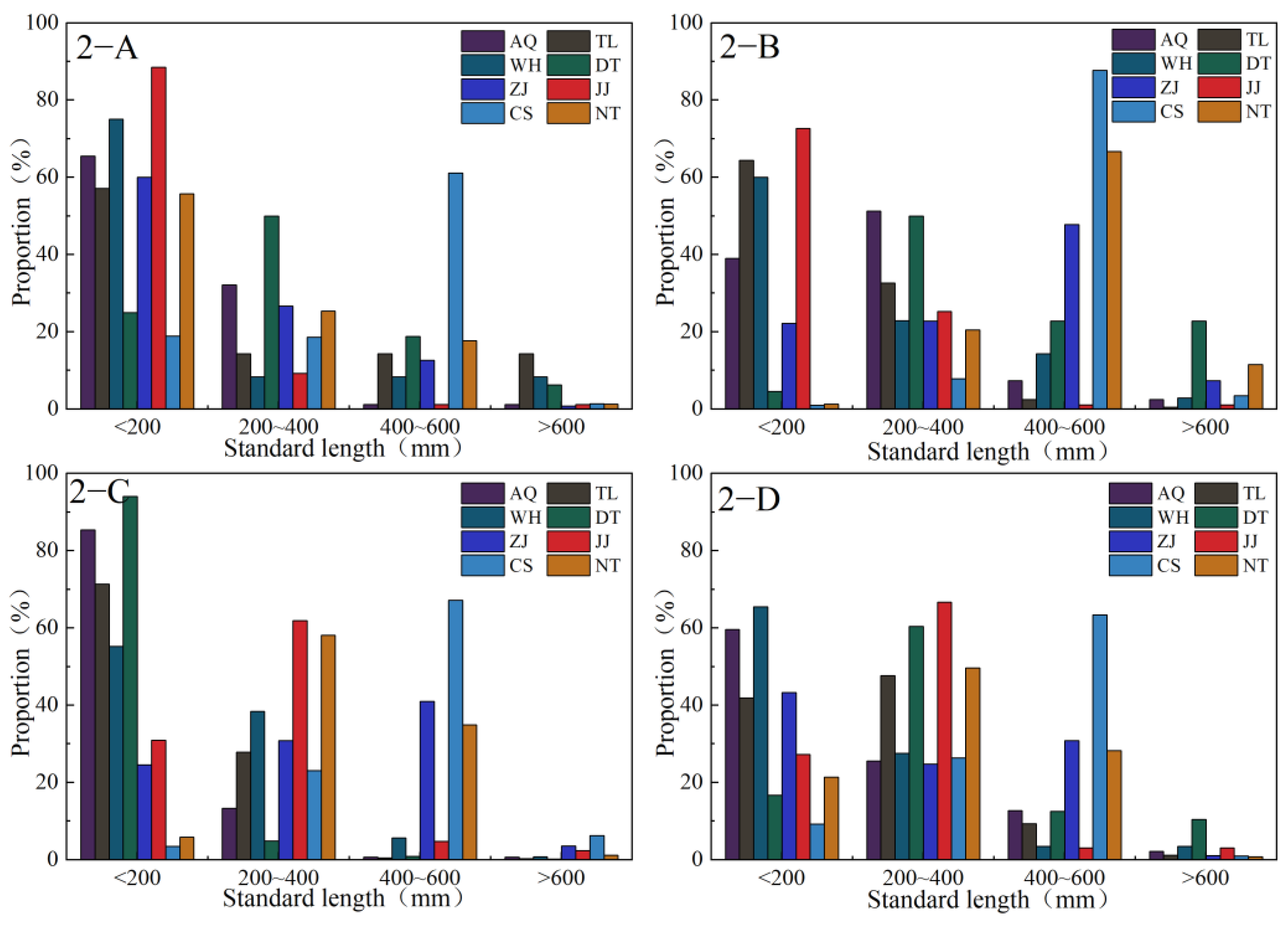
3.3. Section Distribution Characteristics of Silver Carp
3.4. Growth Characteristics of Silver Carp in the Yangtze River
3.5. Habitat Characteristics of Different River Sections
4. Discussion
4.1. Seasonal Distribution Characteristics of Silver Carp
4.2. Habitat Preferences of Silver Carp
4.3. Age Structure Characteristics of Silver Carp Population
4.4. Growth Differences of Silver Carp in the lower Yangtze River
5. Conclusions
Author Contributions
Funding
Institutional Review Board Statement
Data Availability Statement
Conflicts of Interest
References
- Peterson, C.; Summerson, H.; Thomson, E.; Lenihan, H.; Grabowski, J.; Manning, L.; Micheli, F.; Johnson, G. Synthesis of linkages between benthic and fish communities as a key to protecting essential fish habitat. Bull. Mar. Sci. 2000, 66, 759–774. [Google Scholar]
- Peluso, L.M.; Mateus, L.; Penha, J.; Bailly, D.; Cassemiro, F.; Suárez, Y.; Fantin-Cruz, I.; Kashiwaqui, E.; Lemes, P. Climate change negative effects on the Neotropical fishery resources may be exacerbated by hydroelectric dams. Sci. Total Environ. 2022, 828, 154485. [Google Scholar] [CrossRef] [PubMed]
- Stobutzki, I.C.; Silvestre, G.T.; Talib, A.A.; Krongprom, A.; Supongpan, M.; Khemakorn, P.; Armada, N.; Garces, L.R. Decline of demersal coastal fisheries resources in three developing Asian countries. Fish. Res. 2006, 78, 130–142. [Google Scholar] [CrossRef]
- Johnson, M.D. Measuring habitat quality: A review. Condor 2007, 109, 489–504. [Google Scholar] [CrossRef]
- Pape, O.L.; Gilliers, C.; Riou, P.; Morin, J.; Amara, R.; Désaunay, Y. Convergent signs of degradation in both the capacity and the quality of an essential fish habitat: State of the Seine estuary (France) flatfish nurseries. Hydrobiologia 2007, 588, 225–229. [Google Scholar] [CrossRef]
- Yuliana, E.; Farida, I.; Boer, M.; Fahrudin, A.; Kamal, M.M. Habitat quality and reef fish resources potential in Karimunjawa National Park, Indonesia. Aquac. Aquar. Conserv. Legis. 2020, 13, 1836–1848. [Google Scholar]
- Whittaker, R.H.; Levin, S.A.; Root, R.B. Niche, habitat, and ecotope. Am. Nat. 1973, 107, 321–338. [Google Scholar] [CrossRef]
- Smith, C.D.; Quist, M.C.; Hardy, R.S. Fish Assemblage Structure and Habitat Associations in a Large Western River System. River Res. Appl. 2016, 32, 622–638. [Google Scholar] [CrossRef]
- Getabu, A.; Tumwebaze, R.; Maclennan, D.N. Spatial distribution and temporal changes in the fish populations of Lake Victoria. Aquat. Living Resour. 2003, 16, 159–165. [Google Scholar] [CrossRef]
- Penston, M.J.; Millar, C.P.; Zuur, A.; Davies, I.M. Spatial and temporal distribution of Lepeophtheirussalmonis (Kryer) larvae in a sea loch containing Atlantic salmon, Salmo salar L., farms on the north-west coast of Scotland. J. Fish Dis. 2010, 31, 361–371. [Google Scholar] [CrossRef]
- Robinson, J.; Isidore, M.; Marguerite, M.A.; Őhman, M.C.; Payet, R.J. Spatial and Temporal Distribution of Reef Fish Spawning Aggregations in the Seychelles—An Interview-based Survey of Artisanal Fishers. West. Indian Ocean J. Mar. Sci. 2004, 3, 63–69. [Google Scholar]
- Fiechter, J.; Rose, K.A.; Curchitser, E.N.; Hedstrom, K.S. The role of environmental controls in determining sardine and anchovy population cycles in the California Current: Analysis of an end-to-end model. Prog. Oceanogr. 2015, 138, 381–398. [Google Scholar] [CrossRef]
- Chang, I.Z.; Lee, J.B.; Kim, S.; Oh, J.H. Climatic regime shifts and their impacts on marine ecosystem and fisheries resources in Korean waters. Prog. Oceanogr. 2000, 47, 171–190. [Google Scholar]
- KrstulovićŠifner, S. Methods for age and growth determination in cephalopods. Croat. J. Fish. Ribar. 2008, 66, 25–34. [Google Scholar]
- Shen, Y.; Wang, L.; Fu, J.; Xu, X.; Li, J. Population structure, demographic history and local adaptation of the grass carp. BMC Genom. 2019, 20, 467. [Google Scholar] [CrossRef] [PubMed]
- Chen, T.; Wang, Y.; Gardner, C.; Wu, F. Threats and protection policies of the aquatic biodiversity in the Yangtze River. J. Nat. Conserv. 2020, 58, 125931. [Google Scholar] [CrossRef]
- Yang, B.; Dou, M.; Xia, R.; Kuo, Y.M.; Li, G.; Shen, L. Effects of hydrological alteration on fish population structure and habitat in river system: A case study in the mid-downstream of the Hanjiang River in China. Glob. Ecol. Conserv. 2020, 23, e01090. [Google Scholar] [CrossRef]
- Ban, X.; Diplas, P.; Shih, W.R.; Pan, B.; Xiao, F.; Yun, D. Impact of Three Gorges Dam operation on the spawning success of four major Chinese carps. Ecol. Eng. 2019, 127, 268–275. [Google Scholar] [CrossRef]
- Freeze, M.; Henderson, S. Distribution and Status of the Bighead Carp and Silver Carp in Arkansas. North Am. J. Fish. Manag. 1982, 2, 197–200. [Google Scholar] [CrossRef]
- Ping, X.; Chen, Y.Y. Invasive Carp in China’s Plateau Lakes. Science 2001, 294, 999–1000. [Google Scholar]
- Yang, Z.; Zhu, D.; Zhu, Q.; Hu, L.; Wan, C.; Zhao, N.; Liu, H.; Chen, X. Development of new fish-based indices of biotic integrity for estimating the effects of cascade reservoirs on fish assemblages in the upper Yangtze River, China. Ecol. Indic. 2020, 119, 106860. [Google Scholar] [CrossRef]
- Yi, Y.J.; Zhang, S.H. Habitat Suitability Model of the Four Major Chinese Carps. J. Basic Sci. Eng. 2011, 19, 123–129. [Google Scholar]
- Pessanha, A.L.M.; Sales, N.S.; da Silva Lima, C.S.; Clark, F.J.K.; de Lima, L.G.; de Lima, D.E.P.C.; Brito, G.J.S. The occurrence of fish species in multiple habitat types in a tropical estuary: Environmental drivers and the importance of connectivity. Estuar. Coast. Shelf Sci. 2021, 262, 107604. [Google Scholar] [CrossRef]
- Hanski, I. Metapopulation Ecology; Oxford University Press: Oxford, UK, 1999. [Google Scholar]
- Chick, J.H.; Colaninno, C.E.; Beyer, A.M.; Brown, K.B.; Gittinger, E.J. Following the edge of the flood: Use of shallow-water habitat by larval Silver Carp Hypophthalmichthys molitrix in the upper Mississippi river system. J. Freshw. Ecol. 2020, 35, 95–104. [Google Scholar] [CrossRef]
- Tang, C.; Yan, Q.; Li, W.; Yang, X.; Zhang, S. Impact of dam construction on the spawning grounds of the four major Chinese carps in the Three Gorges Reservoir. J. Hydrol. 2022, 609, 127694. [Google Scholar] [CrossRef]
- Duan, X.; Liu, S.; Huang, M.; Qiu, S.; Li, Z.; Wang, K.; Chen, D. Changes in abundance of larvae of the four domestic Chinese carps in the middle reach of the Yangtze River, China, before and after closing of the Three Gorges Dam. Environ. Biol. Fishes 2009, 86, 13. [Google Scholar] [CrossRef]
- Sha, H.; Luo, X.Z.; Li, Z.; Zhou, G.W.; Liang, H.W. Genetic diversity of six Silver Carp (Hypophthalmichthys molitrix) geographical populations based on mitochondrial COI sequences. J. Fish. Sci. China 2018, 25, 783–792. [Google Scholar] [CrossRef]
- Zheng, B.H.; Zhang, Y.; Li, Y.B. Study of indicators and methods for river habitat assessment of Liao River Basin. Acta Sci. Circumstantiae 2007, 27, 9. [Google Scholar]
- Zheng, H.J.; LV, P. Analysis of the evolution of the river channel in the lower Anqing section of the Yangtze River. China Water Transp. 2015, 15, 283–285. [Google Scholar]
- Pauly, D. Fish Population Dynamics in Tropical Waters: A Manual for Use With Programmable Calculators; WorldFish: Penang, Malaysia, 1984. [Google Scholar]
- Paulyand, D.; David, N. ELEFAN I, a BASIC program for the objective extraction of growth parameters from length-frequency datal. Meeresforschung 1981, 28, 205–211. [Google Scholar]
- Pauly, D. Theory and management of tropical multispecies stocks: A review, with emphasis on the Southeast Asian demersal fisheries. Work. Pap. 1979, 26, 22–29. [Google Scholar]
- Von Bertalanffy, L. A quantitative theory of organic growth (inquiries on growth laws. II). Hum. Biol. 1938, 10, 181–213. [Google Scholar]
- Devries, D.R. Fish Ecology. Trans. Am. Fish. Soc. 1993, 122, 305–308. [Google Scholar] [CrossRef]
- Ye, X.Y.; Zhao, X.H.; Ren, L.; Ren, K.C.; Xu, D.P. Assessment of the stock status of Hemiculterbleekeri in the Zhushan Lake based on the ELEFAN I and LBB methods. J. Fish. Sci. China 2021, 6, 751–761. [Google Scholar]
- Zhan, B.Y. Fishery Resource Assessment; China Agriculture Press: Beijing, China, 1995. [Google Scholar]
- Wilson, M.R. Title Habitat preference, dispersal, and population trends of three species of invasive Asian carps in tributaries of the La Grange reach of the Illinois River. Int. J. Mod. Phys. B 2012. [Google Scholar] [CrossRef]
- Yang, Y.Y.; Gao, Y.J.; Wang, J.P.; Xu, B.Q.; Sun, C.X. Community structure of ichthyoplankton and its relationship with environmental factors in Laizhou Bay. Chin. J. Ecol. 2018, 37, 2976–2984. [Google Scholar]
- Bai, H.X. Analysis on Topographical Characteristics and Ecological Hydrodynamic Factors of the Four Major Chinese Carps’ Yidu Spawning Ground in Yangtze River. China Inst. Water Resour. Hydropower Res. 2015. [Google Scholar]
- Zhu, Q.G. Study on variation of fish community structrue in Poyang Lake channel in summer and autumn and the otolith and growth ofjuvenile domestic Chinese carps. Nanchang Univ. 2011. [Google Scholar]
- Xu, C.X.; Ai, Z.Q.; Xiao, M. A Review of Influencing Factors on Natural Reproduction ofFour Major Chinese Carps in Yangtze River. J. China Three Gorges Univ. (Nat. Sci.) 2017, 39, 27–30. [Google Scholar]
- Yuan, S.; Xu, L.; Tang, H.; Xiao, Y.; Whittaker, C. Swimming behavior of juvenile Silver Carp near the separation zone of a channel confluence. Int. J. Sediment Res. 2022, 37, 122–127. [Google Scholar] [CrossRef]
- Xing-Kun, H.U.; Gao, L.; Yan, H.; Liu, S.P.; Chen, D.Q.; Duan, X.B. Status of the Early Stage Fish Resources at Huangshi Section in the Middle Reaches of the Yangtze River. Resour. Environ. Yangtze Basin 2019, 28, 60–67. [Google Scholar]
- Sinokrot, B.A.; Stefan, H.G.; Mccormick, J.H.; Eaton, J.G. Modeling of climate change effects on stream temperatures and fish habitats below dams and near groundwater inputs. Clim. Chang. 1995, 30, 181–200. [Google Scholar] [CrossRef]
- Konrad, C.P. Simulating the recovery of suspended sediment transport and river-bed stability in response to dam removal on the Elwha River, Washington. Ecol. Eng. 2009, 35, 1104–1115. [Google Scholar] [CrossRef]
- Hatten, J.R.; Parsley, M.J. A spatial model of white sturgeon rearing habitat in the lower Columbia River, USA. Ecol. Model. 2009, 220, 3638–3646. [Google Scholar] [CrossRef]
- Zheng, J.; Zhong, J.S.; Li, L.F.; Rao, Y.Y.; Liu, H. Effect of tide on the species composition and density of the fish larvae and juveniles’ community in southern branch of Yangtze River estuary. J. Shanghai Ocean Univ. 2020, 29, 855–867. [Google Scholar]
- Luo, Y.T.; Fang, D.A.; Zhou, Y.F.; Xu, D.P.; Peng, Y.X.; Zhang, M.Y.; You, Y. Genetic Diversity, Habitat Relevance and Conservation Strategies of the Silver Carp in the Yangtze River by Simple Sequence Repeat. Front. Ecol. Evol. 2022, 10, 850183. [Google Scholar] [CrossRef]
- Brett, J.R. Environmental factors and growth. Fish Physiol. 1979, 8, 599–675. [Google Scholar]
- Li, M.Z.; Duan, Z.; Gao, X.; Cao, W.; Liu, H. Impact of the Three Gorges Dam on reproduction of four major Chinese carps species in the middle reaches of the Changjiang River. J. Oceanol. Limnol. JOL 2016, 34, 9. [Google Scholar] [CrossRef]
- Xu, W.; Yang, Z.; Yi, R.; Yao, J.; Chen, X. Relationship between environmental variables and egg abundance of the four major Chinese carps, downstream of the Three Gorges Reservoir. River Res. Appl. 2021, 37, 1191–1200. [Google Scholar] [CrossRef]
- Pan, W.J.; Gao, L.; Yang, H.; Liu, S.P.; Chen, D.Q.; Duan, X.B.; Zheng, Y.H. Studies on population structure and growth characteristics of Hypophthalmichthys molitrix in the Yichang to Jingzhou section of the middle branch of the Yangtze River. J. Fish. Sci. China 2019, 26, 362–370. [Google Scholar] [CrossRef]
- Xiong, F.; Liu, H.Y.; Duan, X.B.; Liu, S.P.; Chen, D.Q. Age and Growth of Hypophthalmichthys molitrix in Jiangjin of the Upper Reaches of the Yangtze River. J. Southwest Univ. (Nat. Sci. Ed.) 2013, 35, 28–35. [Google Scholar]
- Lv, G.Q.; Li, S.F. Preliminary study on the population growth and dynamics of Silver Carp, bighead, grass carp and black carp in swan oxbow of Changjiang river. J. Shanghai Fish. Univ. 1993, 2, 6–16. [Google Scholar]
- Liu, S.P.; Duan, X.B.; Chen, D.Q.; Liao, F.C.; Chen, W.J. Studies on status of fishery resources in the middle reach of the Yangtze River. Acta Hydrobiol. Sin. 2005, 29, 708–711. [Google Scholar]
- Chen, D.; Fei, X.; Ke, W.; Chang, Y. Status of research on Yangtze fish biology and fisheries. Environ. Biol. Fishes 2009, 85, 337–357. [Google Scholar] [CrossRef]
- Hintz, W.D.; Glover, D.C.; Szynkowski, B.C.; Garvey, J.E. Spatiotemporal Reproduction and Larval Habitat Associations of Nonnative Silver Carp and Bighead Carp. Trans. Am. Fish. Soc. 2017, 146, 422–431. [Google Scholar] [CrossRef]
- Yu, H.X.; Tang, W.Q.; Li, S.F. Growth character of Silver Carp at national original breeding farm in lake Laojianghe, middle reaches of the Yangtze River. Chin. J. Zool. 2009, 44, 7. [Google Scholar]
- Tian, J.L.; Wang, Y.P.; Li, P.J.; Dai, P.; Liu, S.L.; Hu, M.Q.; Liu, K. Species diversity of fish in the section near the Yangtze River estuary. J. Shanghai Ocean Univ. 2021, 30, 320–330. [Google Scholar]
- Chen, D.Q.; Liu, S.P.; Duan, X.B.; Xiong, F. A preliminary study of the fisheries biology of main commercial fishes in the middle and upper reaches of the Yangtze River. Acta Hydrobiol. Sin. 2002, 026, 618–622. [Google Scholar]





| No. | Evaluation Indicators | Metric Component | Excellent | Good | Average | Poor |
|---|---|---|---|---|---|---|
| 1 | Substrate | Proportion of sediment such as silt | <25% | 25–50% (50% included) | 50–75% | >75% |
| 2 | Habitat complexity | Number of small habitats species | >3 | 3 | 2 | 1 |
| 3 | The flow rate and depth | Number of water flow types | >3 | 3 | 2 | 1 |
| 4 | Embankment stability | Proportion of embankment erosion | <5% | 5–25% (25% included) | 25–45% | >45% |
| 5 | Stream changes | Proportion of stream change | <5% | 5–10% (10% included) | 10–15% | >15% |
| 6 | Water quantity condition | Proportion of the river channel exposed | <5% | 5–15% (15% included) | 15–25% | >25% |
| 7 | Vegetation diversity | Proportion of riparian vegetation cover | >50% | 30–50% (30% included) | 10–30% | <10% |
| 8 | Water quality conditions | Water grades | Ⅰ | Ⅱ | Ⅲ | Ⅳ |
| 9 | Human disturbance | Proportion of river banks with roads | <10% | 10–30% (30% included) | 30–50% | >50% |
| 10 | Type of land use | Proportion of riparian cultivated soil | <10% | 10–30% (30% included) | 30–50% | >50% |
| Grade value | 20,19,18,17,16 | 15,14,13,12,11 | 10,9,8,7,6 | 5,4,3,2,1 | ||
| Survey Section | CPUE Weight (Kg) | CPUE Number (Individuals) | TotalFish Weight (Silver CarpWeight) | Total Fish Number (Silver CarpNumber) |
|---|---|---|---|---|
| AQ | 12.92 | 581.7 | 1524.56 (327.32) | 68,641 (1414) |
| TL | 18.31 | 725.65 | 1409.87(407.17) | 55,875 (2034) |
| WH | 6.04 | 76.26 | 930.16 (172.26) | 11,744 (72) |
| DT | 10.84 | 99.69 | 1355 (441.59) | 12,461 (1599) |
| ZJ | 34.1 | 53.21 | 13,640 (5850.20) | 21,284 (398) |
| JJ | 3.65 | 51.08 | 492.75 (96.78) | 6896 (59) |
| CS | 7.78 | 16.73 | 4442.38 (1287.85) | 9553 (94) |
| NT | 8.98 | 18.38 | 3825.48 (1025.99) | 7830 (59) |
| Standard Length(mm) | Age | Average Age | |||||||||
|---|---|---|---|---|---|---|---|---|---|---|---|
| 0+ N (%) | 1 N (%) | 2 N (%) | 3 N (%) | 4 N (%) | 5 N (%) | 6 N (%) | 7 N (%) | 8 N (%) | 9 N (%) | ||
| 10–59 | 105 (11.4) | — | |||||||||
| 60–109 | 457 (49.5) | — | |||||||||
| 110–159 | 276 (29.8) | 356 (17.5) | 0.6 | ||||||||
| 160–209 | 86 (9.3) | 597 (29.3) | 0.9 | ||||||||
| 210–259 | 689 (33.8) | 203 (29.4) | 1.2 | ||||||||
| 260–309 | 377 (18.5) | 377 (54.7) | 1.5 | ||||||||
| 310–359 | 18 (0.9) | 96 (14.0) | 134 (28.0) | 2.5 | |||||||
| 360–409 | 13 (1.9) | 248 (51.9) | 48 (7.7) | 3.1 | |||||||
| 410–459 | 96 (20.1) | 393 (63.1) | 3.8 | ||||||||
| 460–509 | 175 (28.1) | 189 (33.7) | 4.5 | ||||||||
| 510–559 | 7 (1.1) | 355 (63.4) | 98 (38.1) | 5.2 | |||||||
| 560–609 | 16 (2.9) | 137 (53.3) | 34 (35.8) | 6 (14.6) | 2 (12.5) | 6.2 | |||||
| 610–659 | 22 (8.6) | 61 (64.2) | 35 (85.4) | 11 (68.8) | 7.3 | ||||||
| 660–709 | 3 (18.7) | 9.0 | |||||||||
| Total | 924 | 2037 | 689 | 478 | 623 | 560 | 257 | 95 | 41 | 16 | |
| Average SL | 93.3 | 178.3 | 272.0 | 367.1 | 437.2 | 495.0 | 547.4 | 591.0 | 628.8 | 662.7 | |
| Season | Number (Individuals) | Standard Length/mm | ||
|---|---|---|---|---|
| Range | Mean Value | Dominant SL Class | ||
| Spring | 861 | 13.29–640 | 275.96 ± 152.63 | <200 |
| Summer | 998 | 31.9–770 | 324.36 ± 155.54 | 400–600 |
| Autumn | 2528 | 34.94–770 | 253.96 ± 155.26 | <200 |
| Winter | 1342 | 11.92–700 | 292.59 ± 154.78 | 200–400 |
| Section | AQ | TL | WH | DT | ZJ | JJ | CS | NT |
|---|---|---|---|---|---|---|---|---|
| Indicators | ||||||||
| Substrate | 5 | 4 | 5 | 4 | 4 | 5 | 5 | 3 |
| Habitat complexity | 10 | 3 | 13 | 3 | 4 | 3 | 8 | 10 |
| the flow rate and depth | 7 | 6 | 9 | 8 | 8 | 5 | 3 | 8 |
| Embankment stability | 16 | 9 | 10 | 14 | 10 | 12 | 17 | 7 |
| Stream changes | 10 | 4 | 5 | 8 | 5 | 14 | 9 | 8 |
| Water quantity condition | 13 | 12 | 11 | 11 | 10 | 10 | 10 | 10 |
| Vegetation diversity | 20 | 8 | 13 | 9 | 6 | 7 | 8 | 6 |
| Water quality conditions | 9 | 9 | 8 | 8 | 7 | 7 | 6 | 6 |
| Human disturbance | 9 | 8 | 10 | 5 | 3 | 1 | 2 | 3 |
| Type of land use | 18 | 11 | 17 | 11 | 16 | 16 | 10 | 16 |
| River habitat index | 117 | 74 | 101 | 81 | 73 | 80 | 78 | 77 |
| Year | Sampling point | Age proportion | Reference | ||||||
|---|---|---|---|---|---|---|---|---|---|
| 1 | 2 | 3 | 4 | 5 | 6 | 7 | |||
| 1981 | The main stream | – | – | 33.3 | 44.4 | 18.5 | 0 | 3.7 | [25] |
| 1991–1992 | Swan oxbow | 66.57 | 30.60 | 1.49 | 1.19 | 0.15 | – | – | [55] |
| 1994–1999 | Middle sections | 24.24 | 51.52 | 16.16 | 3.01 | 5.05 | – | – | [21] |
| 2001–2003 | Jingzhou | 15.38 | 61.54 | 23.08 | – | – | – | – | [56] |
| 2008–2010 | Upper sections | 8.8 | 16.9 | 29.1 | 16.2 | 20.9 | 8.1 | – | [54] |
| 2016–2017 | Yichang–Jinzhou | 0.78 | 12.11 | 21.48 | 27.73 | 23.44 | 7.81 | 6.64 | [53] |
| 2015–2019 | Anqing–Nantong | 35.57 | 12.04 | 8.36 | 10.88 | 9.78 | 4.50 | 1.65 | This study |
| River section | b | k | t0 | ttp | L∞/mm | W∞/g | Wtp/g | φ | Reference |
|---|---|---|---|---|---|---|---|---|---|
| Swan oxbow | - | 0.1483 | −0.4965 | 6.9 | 1105 | 23,814 | 7038 | 3.26 | [55] |
| Old ways of the River | 2.9411 | 0.2087 | 0.0311 | 6.9 | 940 | 19,293 | 5571 | 3.27 | [59] |
| Yangtze River Estuary | 2.9800 | 0.2046 | −0.0316 | 5.3 | 1050 | 24,005 | 7088 | 3.35 | [60] |
| Middle and upper reaches | 3.0510 | 0.203 | −0.487 | 5.0 | 1030 | 24,127 | 7187 | 3.33 | [61] |
| The upper reaches | 2.9925 | 0.1882 | −0.2165 | 5.8 | 1037 | 19,865 | 6198 | 3.31 | [54] |
| Middle reaches (YC–JZ) | 2.7546 | 0.1603 | −0.8900 | 5.4 | 1047 | 14,814 | 6094 | 3.24 | [53] |
| Lower reaches (AQ–NT) | 2.9567 | 0.1648 | −0.7068 | 6.1 | 852.5 | 10,232 | 2948 | 5.07 | This study |
Publisher’s Note: MDPI stays neutral with regard to jurisdictional claims in published maps and institutional affiliations. |
© 2022 by the authors. Licensee MDPI, Basel, Switzerland. This article is an open access article distributed under the terms and conditions of the Creative Commons Attribution (CC BY) license (https://creativecommons.org/licenses/by/4.0/).
Share and Cite
Fang, D.-a.; Sun, H.; Peng, Y.; Kuang, Z.; Zhou, Y.; Xu, D. Living Status and Perspective of the Silver Carp (Hypophthalmichthys molitrix) in the Lower Reach of the Yangtze River: Insights from Population Distribution, Age Structure, and Habitat Preference Analyses. Fishes 2022, 7, 254. https://doi.org/10.3390/fishes7050254
Fang D-a, Sun H, Peng Y, Kuang Z, Zhou Y, Xu D. Living Status and Perspective of the Silver Carp (Hypophthalmichthys molitrix) in the Lower Reach of the Yangtze River: Insights from Population Distribution, Age Structure, and Habitat Preference Analyses. Fishes. 2022; 7(5):254. https://doi.org/10.3390/fishes7050254
Chicago/Turabian StyleFang, Di-an, Haibo Sun, Yunxin Peng, Zhen Kuang, Yanfeng Zhou, and Dongpo Xu. 2022. "Living Status and Perspective of the Silver Carp (Hypophthalmichthys molitrix) in the Lower Reach of the Yangtze River: Insights from Population Distribution, Age Structure, and Habitat Preference Analyses" Fishes 7, no. 5: 254. https://doi.org/10.3390/fishes7050254
APA StyleFang, D.-a., Sun, H., Peng, Y., Kuang, Z., Zhou, Y., & Xu, D. (2022). Living Status and Perspective of the Silver Carp (Hypophthalmichthys molitrix) in the Lower Reach of the Yangtze River: Insights from Population Distribution, Age Structure, and Habitat Preference Analyses. Fishes, 7(5), 254. https://doi.org/10.3390/fishes7050254

