Effect of Feed Supplementation with Bacillus coagulans on Nrf Gene Family Expression in Common Carp (Cyprinus carpio) under Long-Term Exposure to Cd2+
Abstract
1. Introduction
2. Materials and Method
2.1. Ethics Statement
2.2. Identification and Naming of Nrf Genes
2.3. Structural Domain and Phylogenetic Analysis
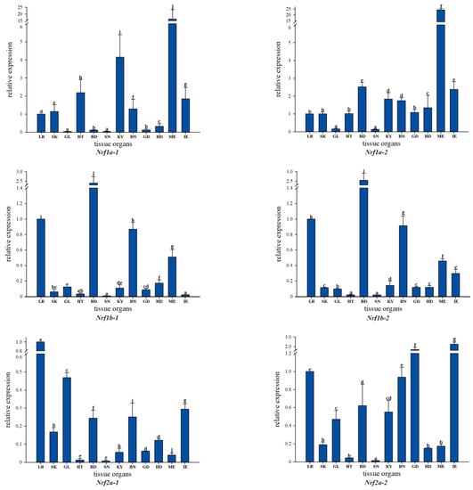
2.4. Tissue Expression of Nrf Genes
2.5. Experimental Water Environment and Feed Preparation
2.6. Experimental Sample Preparation
2.7. Data Statistics
3. Results
3.1. Identification and Naming of Nrf Genes
3.2. Exon-Intron, Domain Structures and 3D Structure Prediction
3.3. Phylogenetic Analysis of the Nrf Gene Family
3.4. Tissue Expression Pattern of Nrf Genes
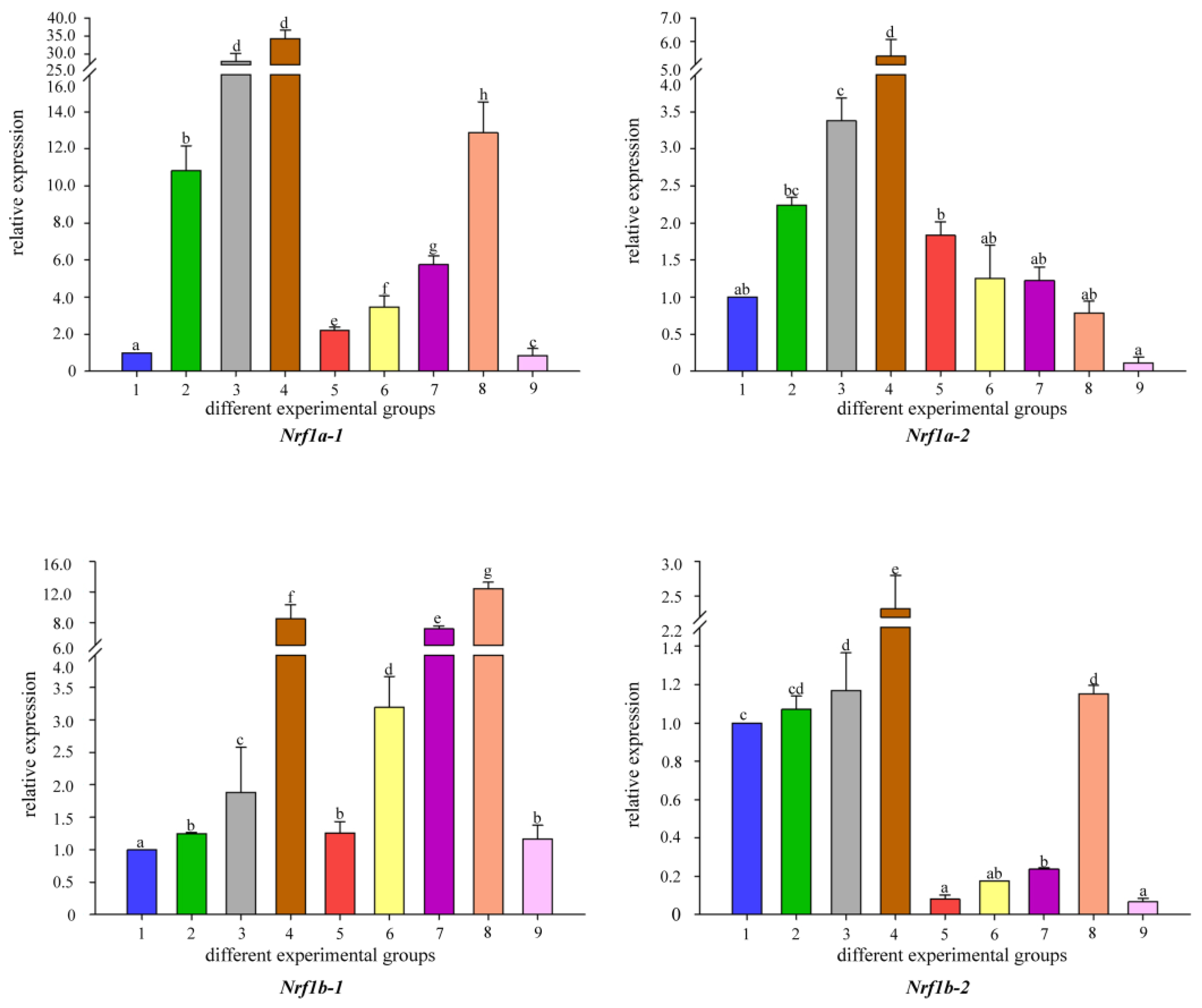
3.5. Effect of Adding B. coagulans to Feed under Cd2+ Stress on the Expression Level of Nrf Genes
4. Discussion
5. Conclusions
Supplementary Materials
Author Contributions
Funding
Institutional Review Board Statement
Data Availability Statement
Acknowledgments
Conflicts of Interest
References
- Pi, J.; Leung, L.; Xue, P.; Wang, W.; Hou, Y.; Liu, D.; Yehu, D.E.; Lee, C.; Lau, J.; Kurtz, T.W. Deficiency in the nuclear factor E2-related factor-2 transcription factor results in impaired adipogenesis and protects against diet-induced obesity. J. Biol. Chem. 2010, 285, 9292–9300. [Google Scholar] [CrossRef]
- Mark, E.H.; Alicia, R.T.; Sibel, I.K.; John, J.S. Nrf2 and Nrf2-related proteins in development and developmental toxicity: Insights from studies in zebrafish (Danio rerio). Free Radic. Biol. Med. 2015, 88, 275–289. [Google Scholar]
- Chan, Y.J.; Han, L.X.; Kan, W.Y. Cloning of Nrf1, an NFE2-related transcription factor, by genetic selection in yeast. Proc. Natl. Acad. Sci. USA 1993, 90, 11371–11375. [Google Scholar] [CrossRef] [PubMed]
- Biswas, M.; Chan, J.Y. Role of Nrf1 in antioxidant response element-mediated gene expression and beyond. Toxicol. Appl. Pharmacol. 2010, 244, 16–20. [Google Scholar] [CrossRef] [PubMed]
- Chan, J.Y.; Kwong, M.; Lu, R.; Chang, J.; Wang, B.; Kan, Y.W. Targeted disruption of the ubiquitous CNC-bZIP transcription factor, Nrf-1, results in anemia and embryonic lethality in mice. EMBO J. 2014, 17, 1779–1787. [Google Scholar] [CrossRef]
- Leung, L.; Kwong, M.; Hou, S.; Lee, C.; Chan, J.Y. Deficiency of the Nrf1 and Nrf2 Transcription Factors Results in Early Embryonic Lethality and Severe Oxidative Stress. J. Biol. Chem. 2003, 278, 48021–48029. [Google Scholar] [CrossRef]
- Moi, P.; Chan, K.; Asunis, I.; Cao, A.; Kan, Y. Isolation of NF-E2-related factor 2 (Nrf2), a NF-E2-like basic leucine zipper transcriptional activator that binds to the tandem NF-E2/AP1 repeat of the beta-globin locus control region. Proc. Natl. Acad. Sci. USA 1994, 91, 9926–9930. [Google Scholar] [CrossRef]
- Xiang, Y.; Kensler, T. Nrf2 as a target for cancer chemoprevention. Mutat. Res.-Fundam. Mol. Mech. Mutagenesis 2005, 591, 93–102. [Google Scholar]
- Lv, E.; Deng, J.; Yu, Y.; Wang, Y.; Gong, X.; Jia, J.; Wang, X. Nrf2-ARE signals mediated the anti-oxidative action of electroacupuncture in an MPTP mouse model of Parkinson’s disease. Free Radic. Res. 2015, 49, 1296–1307. [Google Scholar] [CrossRef]
- Hmlinen, M.; Teppo, H.R.; Skarp, S.; Haapasaari, K.M.; Karihtala, P. NRF1 and NRF2 mRNA and Protein Expression Decrease Early during Melanoma Carcinogenesis: An Insight into Survival and MicroRNAs. Oxidat. Med. Cell. Longev. 2019, 4, 1–15. [Google Scholar] [CrossRef]
- Ramos, M.; Dolan, P.M.; Itoh, K.; Yamamoto, M.; Kensler, T.W. Interactive effects of nrf2 genotype and oltipraz on benzo pyrene-DNA adducts and tumor yield in mice. Carcinogenesis 2003, 24, 461–467. [Google Scholar] [CrossRef] [PubMed]
- Kobayashi, A.; Ito, E.; Toki, T.; Kogame, K.; Takahashi, S.; Igarashi, K.; Hayashi, N.; Yamamoto, M. Molecular Cloning and Functional Characterization of a New Cap‘n’ Collar Family Transcription Factor Nrf3. J. Biol. Chem. 1999, 274, 6443–6452. [Google Scholar] [CrossRef] [PubMed]
- BChowdhury, A.; Katoh, H.; Hatanaka, A.; Iwanari, H.; Nakamura, N.; Hamakubo, T.; Natsume, T.; Waku, T.; Kobayashi, A. Multiple regulatory mechanisms of the biological function of NRF3 (NFE2L3) control cancer cell proliferation. Sci. Rep. 2017, 7, e12494. [Google Scholar] [CrossRef] [PubMed]
- Rost, M.S.; Shestopalov, I.; Yang, L.; Vo, A.H.; Richter, C.E. Nfe2 is dispensable for early, but required for adult thrombocyte formation and function in zebrafish. Blood 2016, 128, 2534. [Google Scholar] [CrossRef]
- Motohashi, H.; Katsuoka, F.; Shavit, J.A.; Yamamomt, M. Positive or negative mare-dependent transcriptional regulation is determined by the abundance of small maf proteins. Cell 2000, 103, 865–875. [Google Scholar] [CrossRef][Green Version]
- Williams, L.M.; Lago, B.A.; Mcarthur, A.G.; Raphenya, A.R.; Pray, N.; Saleem, N.; Salas, S.; Paulson, K.; Mangar, R.S.; Liu, Y. The transcription factor, Nuclear factor, erythroid 2 (Nfe2), is a regulator of the oxidative stress response during Danio rerio development. Aquat. Toxicol. 2016, 180, 141–154. [Google Scholar] [CrossRef]
- Liu, G.J.; Wu, Q.H.; Feng, R.E.; Guo, J.K.; Wang, R.G.; Mo, L.Y. Efficiency evaluation for remediating paddy soil contaminated with cadmium and arsenic using water management, variety screening and foliage dressing technologies. J. Environ. Manag. 2016, 170, 116–122. [Google Scholar] [CrossRef]
- Zhao, X.; Yao, L.A.; Ma, Q.L.; Zhou, G.; Xu, Z.C. Distribution and ecological risk assessment of cadmium in water and sediment in Longjiang River, China: Implication on water quality management after pollution accident. Chemosphere 2017, 194, 107–116. [Google Scholar] [CrossRef]
- Giuseppe, M.; Ike, O.; Antonino, G.; Basilio, R. Evaluation of the hair cell regeneration and claudin b and phoenix gene expression during exposure to low concentrations of cadmium and zinc in early developing zebrafish larvae, Comparative Biochemistry and Physiology Part C: Toxicol. Pharmacol. 2021, 248, 109116. [Google Scholar]
- Liu, J.; Pang, J.J.; Yan, H. The accumulation, histopathology, and intestinal microorganism effects of waterborne cadmium on Carassius auratus gibelio. Fish Physiol. Biochem. 2018, 45, 231–243. [Google Scholar] [CrossRef]
- Sevdan, Y.; Ebru, Y.; Mahmoud, D.; Einar, R.; Ehsan, A.; Hany, M.R.A. Probiotics, prebiotics, and synbiotics used to control vibriosis in fish: A review. Aquaculture 2022, 547, 737514. [Google Scholar]
- El-Saadony, M.T.; Alagawany, M.; Patra, A.K.; Kar, I.; Tiwari, R.; Dawood, M.A.; Dhama, K.; Abdel-Latif, H.M. The functionality of probiotics in aquaculture: An overview. Fish Shellfish Immunol. 2021, 117, 36–52. [Google Scholar] [CrossRef] [PubMed]
- Niu, Z.K.; Wu, H.Z.; Fu, C.; Zhang, Z.Y. Application status of Bacillus condensate. China Feed 2019, 17, 22–24. [Google Scholar] [CrossRef]
- Xu, Y.F.; Hu, H.; Zhou, J.D.; Wang, Z.G. The biological characteristics of Bacillus Coagulans and its application in aquaculture. J. Yancheng Inst. Technol. (Nat. Sci. Ed.) 2017, 30, 52–55. [Google Scholar] [CrossRef]
- Mu, Y.; Cong, Y. Bacillus coagulans and its applications in medicine. Benef. Microbes 2019, 10, 679–688. [Google Scholar] [CrossRef]
- Han, L.; Wang, X.H.; Yang, B. Analysis on pathogen in an outbreakdeath of Marsupenaeus japonicas andeffect of multi-probiotics combinationon enhancement of shrimp immunity. J. Fish. China 2017, 42, 431–441. [Google Scholar]
- Aguilar, J.; Hall, F.G.; Urbizo, U.C.; Garcia, H.S.; Vallejo, B.; González, A.; Hernández, A.; Liceaga, A.M. In silico prediction and in vitro assessment of multifunctional properties of postbiotics obtained from two probiotic bacteria. Probiotics Antimicrob. Proteins 2019, 12, 608–622. [Google Scholar] [CrossRef]
- Dong, C.; Lin, C.; Feng, J.; Jian, X.; Peng, X. Genome Wide Identification, Phylogeny, and Expression of Aquaporin Genes in Common Carp (Cyprinus carpio). PLoS ONE 2016, 11, e0166160. [Google Scholar] [CrossRef]
- Dong, C.; Jiang, L.; Peng, W.; Xu, J.; Shahid, M.; Al-Ghanim, K.A.; Sun, X.; Xu, P.; Cui, Z. Phylogenetic and Evolutionary Analyses of the Frizzled Gene Family in Common Carp (Cyprinus carpio) Provide Insights into Gene Expansion from Whole-Genome Duplications. PLoS ONE 2015, 10, e0144037. [Google Scholar] [CrossRef]
- Livak, K.J.; Schmittgen, T. Analysis of relative gene expression data using real-time quantitative pcr and the 2−ΔΔCt method. Methods 2001, 25, 402–408. [Google Scholar] [CrossRef]
- Ramos, E.; Pablo, M. Free radicals, antioxidants, nuclear factor-E2-related factor-2 and liver damage. Wiley Anal. Sci. 2020, 40, 151–168. [Google Scholar]
- Kwong, M.; Wai, Y.K.; Jefferson, Y. The CNC Basic Leucine Zipper Factor, Nrf1, Is Essential for Cell Survival in Response to Oxidative Stress-inducing Agents. J. Biol. Chem. 1999, 274, 37491–37498. [Google Scholar] [CrossRef]
- Meyer, M.; Schartl, M. Gene and genome duplications in vertebrates: The one-to-four rule and the evolution of novel gene functions. Curr. Opin. Cell Biol. 1999, 11, 699–704. [Google Scholar] [CrossRef]
- Xu, P.; Zhang, X.F.; Wang, X.; Li, J.T.; Liu, J.; Kuang, Y.; Xu, J.; Zheng, X.H. Genome sequence and genetic diversity of the common carp, Cyprinus carpio. Nat. Genet. 2014, 46, 1212–1219. [Google Scholar] [CrossRef] [PubMed]
- Sigbjørn, L.; Ben, F.K.; Simen, R.S.; Jason, R.M.; Matthew, P.K.; Torfinn, N.; Torgeir, R.H. The Atlantic salmon genome provides insights into rediploidization. Nature 2016, 533, 200–205. [Google Scholar]
- RytkNen, K.T.; Prokkola, J.M.; Salonen, V.; Nikinmaa, M. Transcriptional divergence of the duplicated hypoxia-inducible factor alpha genes in zebrafish. Gene 2014, 541, 60–66. [Google Scholar] [CrossRef] [PubMed]
- Dane, H.; Sisman, T. A morpho-histopathological study in the digestive tract of three fish species influenced with heavy metal pollution. Chemosphere 2020, 242, 125211–125218. [Google Scholar] [CrossRef]
- Li, J.T.; Hou, G.Y.; Kong, X.F.; Li, C.Y.; Zeng, J.M.; Li, H.D.; Xiao, G.B.; Li, X.M.; Sun, X.W. The fate of recent duplicated genes following a fourth-round whole genome duplication in a tetraploid fish, common carp (Cyprinus carpio). Sci. Rep. 2015, 5, 8199–8208. [Google Scholar] [CrossRef] [PubMed]
- Rastogi, S.; Liberles, D.A. Subfunctionalization of duplicated genes as a transition state to neofunctionalization. BMC Evol. Biol. 2005, 5, 1–7. [Google Scholar] [CrossRef]
- Zhang, J.; Dong, C.; Feng, J.; Li, J.; Li, X. Effects of dietary supplementation of three strains of Lactococcus lactis on HIFs genes family expression of the common carp following Aeromonas hydrophila infection. Fish Shellfish Immunol. 2019, 92, 590–599. [Google Scholar] [CrossRef]
- Liu, F.; Su, B.; Fu, Q.; Shang, M.; Gao, C.; Tan, F.; Li, C. Identification, characterization and expression analysis of TLR5 in the mucosal tissues of turbot (Scophthalmus maximus L.) following bacterial challenge. Fish Shellfish Immunol. 2017, 68, 272–279. [Google Scholar] [CrossRef] [PubMed]
- Shaikh, Z.A.; Vu, T.T.; Zaman, K. Oxidative stress as a mechanism of chronic cadmium-induced hepatotoxicity and renal toxicity and protection by antioxidants. Toxicol. Appl. Pharmacol. 1999, 54, 256–263. [Google Scholar] [CrossRef] [PubMed]
- Magro, M.; Baratella, D.; Bonaiuto, E.; Jessica, D.A.R.; Vianello, F. Stealth iron oxide nanoparticles for organotropic drug targeting. Biomacromolecules 2019, 20, 1375–1384. [Google Scholar] [CrossRef] [PubMed]
- Espada, S.; Ortega, F.; Molina-Jijón, E.; Rojo, A.I.; Cuadrado, A. The purinergic P2Y13 receptor activates the Nrf2/HO-1 axis and protects against oxidative stress-induced neuronal death. Free Radic. Biol. Med. 2010, 49, 416–426. [Google Scholar] [CrossRef]
- Ulin, A.; Henderson, J.; Pham, M.; Meyo, J.; Chen, Y.; Karchner, S.I.; Goldstone, J.V.; Hahn, M.E.; Williams, L.M. Developmental Regulation of Nuclear Factor Erythroid-2 Related Factors (Nrfs) by AHR1b in zebrafish (Danio rerio). Toxicol. Sci. Off. J. Soc. Toxicol. 2018, 167, 536–545. [Google Scholar] [CrossRef]
- Nourbakhsh, M.; Hauser, H. The Transcriptional Silencer Protein NRF: A Repressor of NF-κB Enhancers. Immunobiology 1997, 198, 65–72. [Google Scholar] [CrossRef]
- Dong, C.; Jiang, Z.; Zhang, X.; Feng, J.; Li, X. Phylogeny of Slc15 family and response to Aeromonas hydrophila infection following Lactococcus lactis dietary supplementation in Cyprinus carpio. Fish Shellfish Immunol. 2020, 106, 705–714. [Google Scholar] [CrossRef]
- Williams, L.M.; Timme-Laragy, A.R.; Goldstone, J.V.; Mcarthur, A.G.; Stegeman, J.J.; Smolowitz, R.M.; Hahn, M.E.; Yann, G. Developmental Expression of the Nfe2-Related Factor (Nrf) Transcription Factor Family in the Zebrafish, Danio rerio. PLoS ONE 2013, 8, e79574. [Google Scholar] [CrossRef]
- Kimmel, C.A.; Judy, B. Toxicologic Pathology. In Reproductive and Developmental Toxicology; Pralhad, W., Tausif, A., Eds.; Academic Press: Cambridge, MA, USA, 2011; Volume 76, pp. 1003–1026. [Google Scholar]
- Mohamed, A.L.; Waleed, N.E.; Ramy, M.; Shourbela, A.H.; ElFar, R.S.; Shewita, A.M. Miswak (Salvadora persica) dietary supplementation improves antioxidant status and nonspecific immunity in Nile tilapia (Oreochromis niloticus). Fish Shellfish Immunol. 2019, 88, 619–626. [Google Scholar]
- Gong, Y.; Yang, F.; Hu, J.; Liu, C.; Xie, S. Effects of dietary yeast hydrolysate on the growth, antioxidant response, immune response and disease resistance of largemouth bass (Micropterus salmoides). Fish Shellfish Immunol. 2019, 94, 548–557. [Google Scholar] [CrossRef]
- Hua, X.M.; Zhou, H.Q.; Zhang, Y.F.; Zhou, H. Effect of dietary supplemental chitosan and probiotics on growth and some digestive enzyme activities in juvenile Fugu Obscurus. Acta Hydrobiol. Sin. 2005, 29, 299–305. [Google Scholar]









| Gene Name | Forward Primer (5′–3′) | Reverse Primer (5′–3′) |
|---|---|---|
| Nrf1a-1 | GGAGCAGGAACCTCAGCAA | CGTCCCTTACACCGGACAA |
| Nrf1a-2 | GCCACTCATGTCACCCTTGT | GCCTGTTGTTTCGGCTGTAT |
| Nrf1b-1 | TTTCCCAGGAATTGTTCGC | GTCGGGCTTGTTGCTTTGT |
| Nrf1b-2 | GCCTACACCCAGACGCAGTT | GGTTCAGAAGCCGACGAGTG |
| Nrf2-1a | AAGCAGAAGAAACGCTCCG | TCGTACTCCAGGCCCACAA |
| Nrf2-1b | GCGTATGTCGTGATGAACGG | CTGGGCTGCCATCTTGTTTT |
| Nrf2-2a | AACCCTCCGCAGAAGCAC | TCCCACATCCGGGACATT |
| Nrf2-2b | AACAAGATGGCAGCCCAGAG | AGGTAAACCGTGCCGTCAGT |
| Nrf3-1 | CAGCCGCTTACCGTGATTG | ATGCCTGCACCCGATGTTC |
| Nrf3-2 | CGAGGGACTCATTCAGTTTACG | CGCACGCACTTCATTTAGCAG |
| Nfe2-1 | CTCGCTGGCACTGTTCATTC | ATCATCGGACGCCTCATTCT |
| Nfe2-2 | CTGGATTCAGGGCACAACG | ATAGACCGCAGCAGGATGG |
| Gene Name | CDs(na) | CDs(aa) | CDs Status | Location | Accession No. |
|---|---|---|---|---|---|
| Nrf1a-1 | 2175 | 722 | Complete | LG05 | MW838197 |
| Nrf1a-2 | 2181 | 724 | Complete | LG06 | MW838198 |
| Nrf1b-1 | 2400 | 797 | Complete | LG24 | MW838199 |
| Nrf1b-2 | 2403 | 798 | Complete | LG23 | MW838200 |
| Nrf2-1a | 1773 | 588 | Complete | LG17 | MW838201 |
| Nrf2-1b | 1953 | 648 | Complete | LG18 | MW838202 |
| Nrf2-2a | 1617 | 536 | Complete | LG12 | MW838203 |
| Nrf2-2b | 1626 | 539 | Complete | LG11 | MW838204 |
| Nrf3-1 | 1914 | 635 | Complete | LG37 | MW838205 |
| Nrf3-2 | 1917 | 636 | Complete | LG38 | MW838206 |
| Nfe2-1 | 1656 | 549 | Complete | LG45 | MW838195 |
| Nfe2-2 | 1647 | 546 | Complete | LG05 | MW838196 |
| Gene Name | Common Carp | Zebrafish | Human |
|---|---|---|---|
| Nrf1a-1 | 5 | 4 | 5 |
| Nrf1a-2 | 4 | 4 | |
| Nrf1b-1 | 4 | ||
| Nrf1b-2 | 5 | ||
| Nrf2-1a | 4 | 4 | 7 |
| Nrf2-1b | 4 | 3 | |
| Nrf2-2a | 3 | ||
| Nrf2-2b | 3 | ||
| Nrf3-1 | 6 | 3 | 3 |
| Nrf3-2 | 3 | ||
| Nfe2-1 | 9 | 10 | 11 |
| Nfe2-2 | 5 |
| Gene No. | Common Carp 12 | Human 4 | Mouse 4 | Chicken 2 | Clawed Frog 4 | Coelacanth 4 | Zebrafish 6 | Tilapia 4 | Medaka 4 | Channel Catfish 4 | Stickleback 4 | Fugu 4 |
|---|---|---|---|---|---|---|---|---|---|---|---|---|
| Nrf1 | Nrf1a-1 | Nrf1 | Nrf1 | Nrf1 | Nrf1 | Nrf1 | Nrf1a | Nrf1 | Nrf1 | Nrf1 | Nrf1 | Nrf1 |
| Nrf1a-2 | - | - | - | - | - | Nrf1b | - | - | - | - | - | |
| Nrf1b-1 | - | - | - | - | - | - | - | - | - | - | - | |
| Nrf1b-2 | - | - | - | - | - | - | - | - | - | - | - | |
| Nrf2 | Nrf2-1a | Nrf2 | Nrf2 | - | Nrf2 | Nrf2 | Nrf2a | Nrf2 | Nrf2 | Nrf2 | Nrf2 | Nrf2 |
| Nrf2-1b | - | - | - | - | - | Nrf2b | - | - | - | - | - | |
| Nrf2-2a | - | - | - | - | - | - | - | - | - | - | - | |
| Nrf2-2b | - | - | - | - | - | - | - | - | - | - | - | |
| Nrf3 | Nrf3-1 | Nrf3 | Nrf3 | - | Nrf3 | Nrf3 | Nrf3 | Nrf3 | Nrf3 | Nrf3 | Nrf3 | Nrf3 |
| Nrf3-2 | - | - | - | - | - | - | - | - | - | - | - | |
| Nfe2 | Nfe2-1 | Nfe2 | Nfe2 | Nfe2 | Nfe2 | Nfe2 | Nfe2 | Nfe2 | Nfe2 | Nfe2 | Nfe2 | Nfe2 |
| Nfe2-2 | - | - | - | - | - | - | - | - | - | - | - |
Publisher’s Note: MDPI stays neutral with regard to jurisdictional claims in published maps and institutional affiliations. |
© 2022 by the authors. Licensee MDPI, Basel, Switzerland. This article is an open access article distributed under the terms and conditions of the Creative Commons Attribution (CC BY) license (https://creativecommons.org/licenses/by/4.0/).
Share and Cite
Jiang, Z.; Li, X.; Dong, C. Effect of Feed Supplementation with Bacillus coagulans on Nrf Gene Family Expression in Common Carp (Cyprinus carpio) under Long-Term Exposure to Cd2+. Fishes 2022, 7, 48. https://doi.org/10.3390/fishes7010048
Jiang Z, Li X, Dong C. Effect of Feed Supplementation with Bacillus coagulans on Nrf Gene Family Expression in Common Carp (Cyprinus carpio) under Long-Term Exposure to Cd2+. Fishes. 2022; 7(1):48. https://doi.org/10.3390/fishes7010048
Chicago/Turabian StyleJiang, Zhou, Xuejun Li, and Chuanju Dong. 2022. "Effect of Feed Supplementation with Bacillus coagulans on Nrf Gene Family Expression in Common Carp (Cyprinus carpio) under Long-Term Exposure to Cd2+" Fishes 7, no. 1: 48. https://doi.org/10.3390/fishes7010048
APA StyleJiang, Z., Li, X., & Dong, C. (2022). Effect of Feed Supplementation with Bacillus coagulans on Nrf Gene Family Expression in Common Carp (Cyprinus carpio) under Long-Term Exposure to Cd2+. Fishes, 7(1), 48. https://doi.org/10.3390/fishes7010048
