Light Color and Intensity-Dependent Modulation of Phototactic Behavior Mediating Orientation Guidance in Schizothoracine Fishes
Abstract
1. Introduction
2. Materials and Methods
2.1. Experimental Apparatus
2.2. Experimental Materials
2.3. Experimental Method
2.3.1. Spectral Preference Experiment
2.3.2. Intensity Preference Experiment
2.4. Data Analysis
- (1)
- We employed the time proportion (F) as an indicator of preference for the two fish species across the various assay environments:where f is the number of fish distributed in a specific environmental zone, and N is the total number of fish.
- (2)
- We employed the selection index E to indicate the degree of preference for the two fish species across the various assay environments]:where the selection index E = 0 indicates no preference, E < 0 indicates avoidance, and E > 0 indicates preference. A high absolute value indicates a stronger preference for environmental factors. is the probability of fish in the zone under the light intensity, and is the probability of occurrence of fish in the zone.
3. Results
3.1. Sensitivity of Two Fish Species to Different Light Colors
3.1.1. Selection of Light Colors by Two Fish Species
3.1.2. Temporal Variations in Color Preference
3.2. Sensitivity of Two Fish Species to Different Light Colors and Intensities
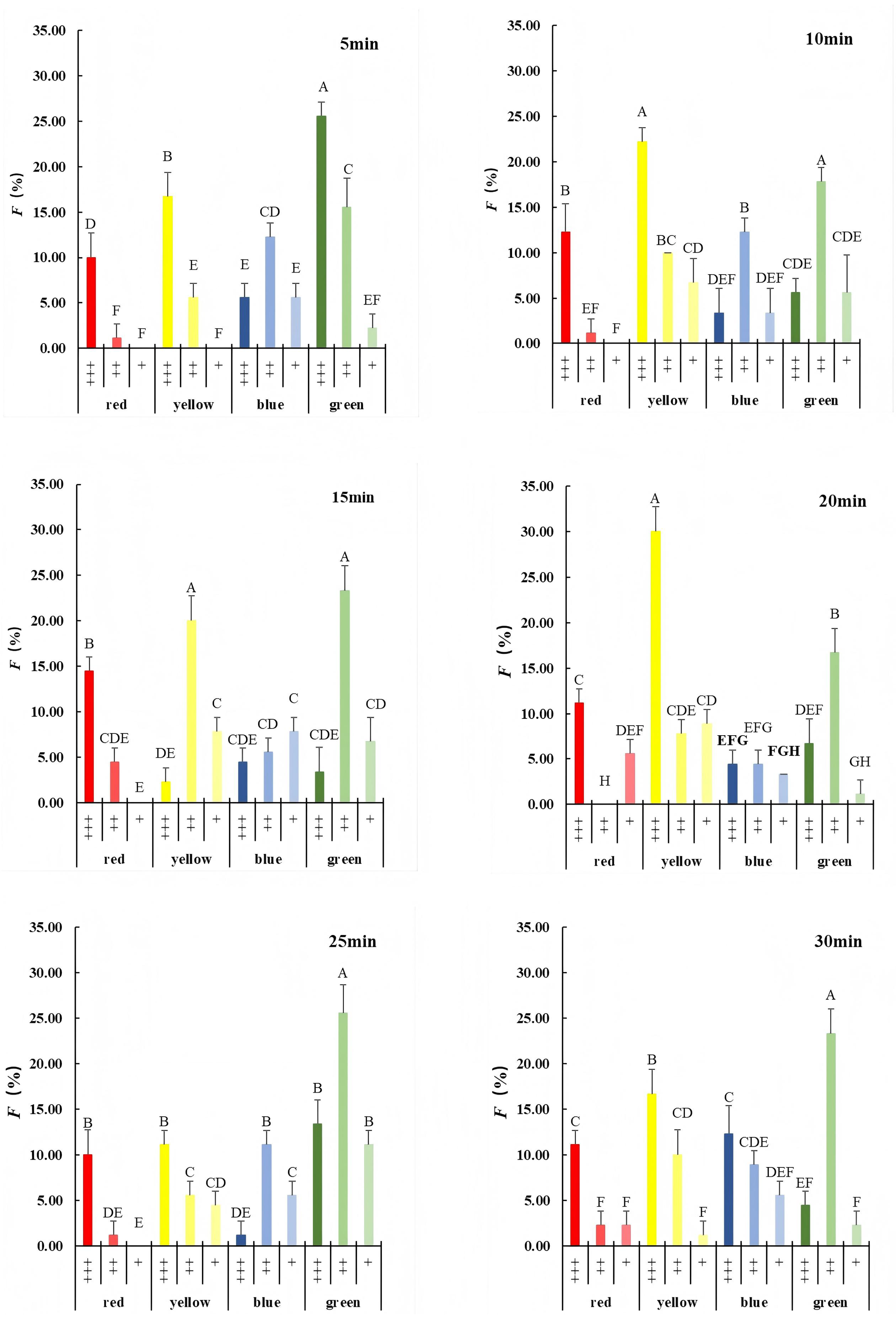
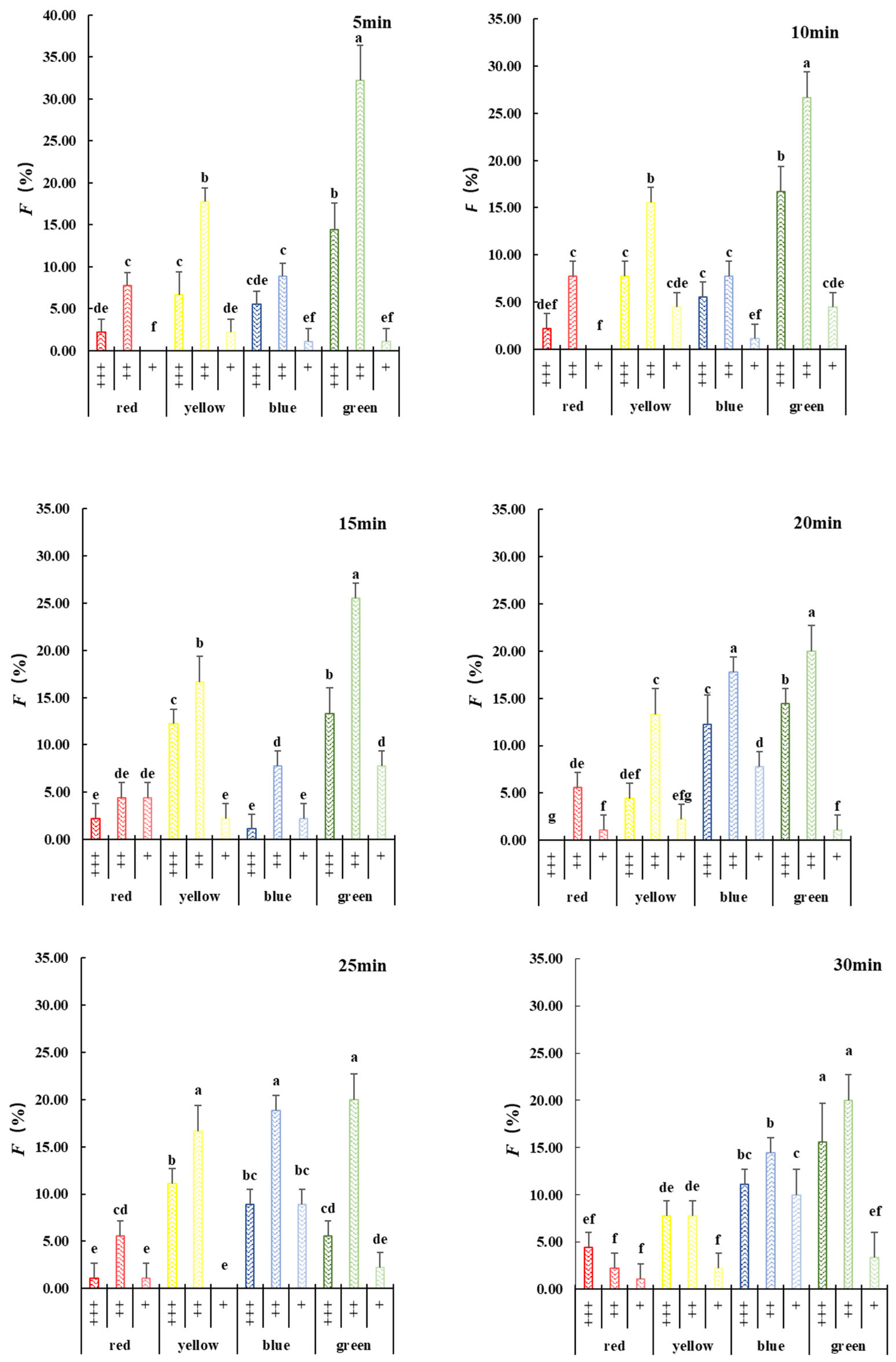
3.2.1. Selection of Light Color–Intensity Combinations
3.2.2. Temporal Variations in Distribution Under Different Light Color–Intensity Combinations
4. Discussion
4.1. Effects of Light Color on Fish Distribution and Selection Behavior
4.2. Interactive Effects of Light Color and Intensity on Regulating Fish Distribution
5. Conclusions
Supplementary Materials
Author Contributions
Funding
Informed Consent Statement
Data Availability Statement
Acknowledgments
Conflicts of Interest
References
- Bao, J.; Li, W.; Zhang, C.; Mi, X.; Li, H.; Zhao, X.; Cao, N.; Twardek, W.M.; Cooke, S.J.; Duan, M. Quantitative assessment of fish passage efficiency at a vertical-slot fishway on the Daduhe River in southwest China. Ecol. Eng. 2019, 141, 105597. [Google Scholar] [CrossRef]
- Jones, M.J.; Baumgartner, L.J.; Zampatti, B.P.; Beyer, K. Low light inhibits native fish movement through a vertical-slot fishway: Implications for engineering design. Fish. Manag. Ecol. 2017, 24, 177–185. [Google Scholar] [CrossRef]
- Mesquita, F.D.O.; Godinho, H.P.; Azevedo, P.G.D.; Young, R.J. A preliminary study into the effectiveness of stroboscopic light as an aversive stimulus for fish. Appl. Anim. Behav. Sci. 2008, 111, 402–407. [Google Scholar] [CrossRef]
- Bayarri, M.J.; Madrid, J.A.; Sánchez-Vázquez, F.J. Influence of light intensity, spectrum and orientation on sea bass plasma and ocular melatonin. J. Pineal Res. 2002, 32, 34–40. [Google Scholar] [CrossRef] [PubMed]
- Rick, I.P.; Bakker, T.C.M. Males do not see only red: UV wavelengths and male territorial aggression in the three-spined stickleback (Gasterosteus aculeatus). Naturwissenschaften 2008, 95, 631–638. [Google Scholar] [CrossRef] [PubMed]
- Villamizar, N.; Blanco-Vives, B.; Migaud, H.; Davie, A.; Carboni, S.; Sánchez-Vázquez, F.J. Effects of light during early larval development of some aquacultured teleosts: A review. Aquaculture 2011, 315, 86–94. [Google Scholar] [CrossRef]
- Marchesan, M.; Spoto, M.; Verginella, L.; Ferrero, E.A. Behavioural effects of artificial light on fish species of commercial interest. Fish. Res. 2005, 73, 171–185. [Google Scholar] [CrossRef]
- Ruchin, A.B. Effect of illumination on fish and amphibian: Development, growth, physiological and biochemical processes. Rev. Aquac. 2021, 13, 567–600. [Google Scholar] [CrossRef]
- Silva, A.T.; Katopodis, C.; Santos, J.M.; Ferreira, M.T.; Pinheiro, A.N. Cyprinid swimming behaviour in response to turbulent flow. Ecol. Eng. 2012, 44, 314–328. [Google Scholar] [CrossRef]
- Akiyama, S.; Arimoto, T.; Inoue, M. Fish herding effect by air bubble curtain in small scale experimental tank. Bull. Jpn. Soc. Sci. Fish. 1991, 57, 1301–1306. [Google Scholar] [CrossRef][Green Version]
- Tettamanti, V.; Marshall, N.J.; Cheney, K.L.; Cortesi, F. Damsels in disguise: Development of ultraviolet sensitivity and colour patterns in damselfishes (Pomacentridae). Mol. Ecol. 2025, 34, e17680. [Google Scholar] [CrossRef] [PubMed]
- Ford, M.I.; Elvidge, C.K.; Patrick, P.H.; Sills, M.; Cooke, S.J. Coloured LED light as a potential behavioural guidance tool for age 0 and 2 year walleye Sander vitreus. J. Fish Biol. 2019, 95, 1249–1256. [Google Scholar] [CrossRef] [PubMed]
- Mu, X.; Zhen, W.; Li, X.; Cao, P.; Gong, L.; Xu, F. A study of the impact of different flow velocities and light colors at the entrance of a fish collection system on the upstream swimming behavior of juvenile grass carp. Water 2019, 11, 322. [Google Scholar] [CrossRef]
- Sardo, G.; Okpala, C.; Geraci, M.; Fiorentino, F.; Vitale, S. The effects of different artificial light wavelengths on some behavioural features of juvenile pelagic Atlantic horse mackerel, Trachurus trachurus (Actinopterygii: Perciformes: Carangidae). Acta Ichthyol. Piscat. 2020, 50, 85–92. [Google Scholar] [CrossRef]
- McFarland, W.N.; Ogden, J.C.; Lythgoe, J.N. The influence of light on the twilight migrations of grunts. Environ. Biol. Fishes 1979, 4, 9–22. [Google Scholar] [CrossRef]
- Ono, K.; Simenstad, C.A. Reducing the effect of overwater structures on migrating juvenile salmon: An experiment with light. Ecol. Eng. 2014, 71, 180–189. [Google Scholar] [CrossRef]
- Lambert, M.R.; Ojala-Barbour, R.; Vadas, R., Jr.; McIntyre, A.; Quinn, T. Do small overwater structures impact marine habitats and biota? Pac. Conserv. Biol. 2023, 30, PC22037. [Google Scholar] [CrossRef]
- Elvidge, C.K.; Reid, C.H.; Ford, M.I.; Sills, M.; Patrick, P.H.; Gibson, D.; Backhouse, S.; Cooke, S.J. Ontogeny of light avoidance in juvenile lake sturgeon. J. Appl. Ichthyol. 2019, 35, 202–209. [Google Scholar] [CrossRef]
- Mortensen, A.; Damsgård, B. Compensatory growth and weight segregation following light and temperature manipulation of juvenile Atlantic salmon (Salmo salar L.) and Arctic charr (Salvelinus alpinus L.). Aquaculture 1993, 114, 261–272. [Google Scholar] [CrossRef]
- Daniels, H.V.; Berlinsky, D.L.; Hodson, R.G.; Sullivan, C.V. Effects of stocking density, salinity, and light intensity on growth and survival of southern flounder Paralichthys lethostigma larvae. J. World Aquac. Soc. 1996, 27, 153–159. [Google Scholar] [CrossRef]
- Franklin, P.; Gee, E. Living in an amphidromous world: Perspectives on the management of fish passage from an island nation. Aquat. Conserv. Mar. Freshw. Ecosyst. 2019, 29, 1424–1437. [Google Scholar] [CrossRef]
- Xu, J.; Sang, W.; Dai, H.; Lin, C.; Ke, S.; Mao, J.; Wang, G.; Shi, X. A detailed analysis of the effect of different environmental factors on fish phototactic behavior: Directional fish guiding and expelling technique. Animals 2022, 12, 240. [Google Scholar] [CrossRef] [PubMed]
- Gong, J.H.; Guo, C.Y.; Tian, Z. Study on the selectivity of Carassius auratus under different environment colors and luminous intensities. J. Biol. 2016, 33, 13–18. [Google Scholar]
- Jiang, H.; Zhu, M.E.; Pan, B.K. The preferable light color and intensity for Schizopygopsis younghusbandi. Water Power 2023, 49, 1–4. [Google Scholar]
- Dong, P.; Li, F.; Wan, D.; Sheng, H.; Huang, Z. Studies on influence of illumination on schooling behavior of Schizothorax kozlovi. Trans. Oceanol. Limnol. 2021, 43, 139–143. [Google Scholar] [CrossRef]
- Deng, Y.M.; Liu, W.; He, J.J. Effects of flow velocity y and light color on attraction of Oplegnathus fasciatus by artificial reef. J. Zhejiang Ocean Univ. Nat. Sci. 2018, 37, 203–207. [Google Scholar]
- Greenstreet, E.H.; Djamgoz, M.B.A. Nitric oxide induces light-adaptive morphological changes in retinal neurones. Neuroreport 1994, 6, 109–112. [Google Scholar] [CrossRef]
- Duncan, W.P. Interspecific differences in the metabolic rate, gill dimension and hematology of fish in an Amazonian floodplain lake. Aquat. Sci. Technol. 2020, 8, 38. [Google Scholar] [CrossRef]
- Migaud, H.; Cowan, M.; Taylor, J.; Ferguson, H.W. The effect of spectral composition and light intensity on melatonin, stress and retinal damage in post-smolt Atlantic salmon, Salmo salar. Aquaculture 2007, 270, 390–404. [Google Scholar] [CrossRef]
- Mueller, K.P.; Neuhauss, S.C.F. Quantitative measurements of the optokinetic response in adult fish. J. Neurosci. Methods 2010, 186, 29–34. [Google Scholar] [CrossRef]
- Zimmermann, M.J.Y.; Nevala, N.E.; Yoshimatsu, T.; Osorio, D.; Nilsson, D.-E.; Berens, P.; Baden, T. Zebrafish differentially process color across visual space to match natural scenes. Curr. Biol. 2018, 28, 2018–2032.e5. [Google Scholar] [CrossRef]
- Meager, J.J.; Moberg, O.; Strand, E.; Utne-Palm, A.C. Effects of light intensity on visual prey detection by juvenile Atlantic cod (Gadus morhua L.). Mar. Freshw. Behav. Physiol. 2010, 43, 99–108. [Google Scholar] [CrossRef]
- Yang, M.; Yu, Y.; Ding, J.; Luo, J.; Sun, J.; Hu, F.; Chang, Y.; Zhao, C. Effects of light intensity on Opsin4, Opsin5, and Pax6 expressions of the sea urchin Strongylocentrotus intermedius. Mar. Ecol. 2020, 41, e12593. [Google Scholar] [CrossRef]
- Bai, Y.Q.; Wang, X.; Liu, D.F.; Tu, Z.; Lu, B.; Wang, B.; Luo, J.; Shi, X. The preferable light intensity and color for darkbarbel catfish and silver carp. Acta Hydrobiol. Sin. 2014, 38, 216–221. [Google Scholar]








| Species | Number of Individuals | Wet Weight (g) | Total Length (cm) | Body Length (cm) |
|---|---|---|---|---|
| Schizopygopsis malacanthus | 30 | 56.35 ± 13.54 | 20.46 ± 1.09 | 17.32 ± 0.97 |
| Schizothorax kozlovi | 30 | 17.59 ± 6.82 | 12.78 ± 1.84 | 10.51 ± 1.64 |
| Flow Condition | Species | Colors of Light | |||||
|---|---|---|---|---|---|---|---|
| White | Red | Light Red | Yellow | Blue | Green | ||
| 0 m/s | Schi.malacanthus | −0.10 | −0.36 | −0.56 | 0.06 | 0.59 | 0.37 |
| Scht. kozlovi | −0.50 | 0.30 | −0.67 | 0.39 | −0.19 | 0.67 | |
| 0.2 m/s | Schi.malacanthus | 0.33 | −0.58 | −0.30 | 0.06 | 0.69 | −0.21 |
| Scht. kozlovi | 0.61 | −0.39 | −0.66 | −0.01 | −0.38 | 0.82 | |
| Flow Condition | Colors of Light | Time (Min) | |||||
|---|---|---|---|---|---|---|---|
| 5 | 10 | 15 | 20 | 25 | 30 | ||
| 0 m/s | white | 8.89 ± 1.57 de | 10.00 ± 2.72 cd | 11.11 ± 1.57 cd | 17.78 ± 1.57 abc | 22.22 ± 1.57 b | 20.00 ± 2.72 b |
| red | 7.78 ± 1.57 e | 7.78 ± 1.57 d | 14.44 ± 1.57 c | 15.56 ± 4.16 bc | 7.78 ± 1.57 d | 11.11 ± 1.57 a | |
| light red | 12.22 ± 1.57 cd | 5.56 ± 1.57 d | 5.56 ± 1.57 d | 11.11 ± 4.16 c | 1.11 ± 1.57 e | 8.89 ± 1.57 a | |
| yellow | 15.56 ± 1.57 c | 15.56 ± 1.57 c | 27.78 ± 4.16 a | 13.33 ± 0.00 bc | 14.44 ± 1.57 c | 18.89 ± 1.57 b | |
| blue | 35.56 ± 1.57 a | 37.78 ± 4.16 a | 23.33 ± 2.72 ab | 18.89 ± 1.57 ab | 23.33 ± 2.72 b | 20.00 ± 2.72 b | |
| green | 20.00 ± 2.72 b | 23.33 ± 4.71 b | 17.78 ± 4.16 bc | 23.33 ± 2.72 a | 31.11 ± 4.16 a | 21.11 ± 1.57 b | |
| 0.2 m/s | white | 22.22 ± 3.14 b | 14.44 ± 1.57 bc | 21.11 ± 3.14 b | 22.22 ± 3.14 a | 26.67 ± 2.72 a | 26.67 ± 2.72 a |
| red | 2.22 ± 2.72 d | 8.89 ± 1.57 c | 8.89 ± 1.57 d | 5.56 ± 3.14 c | 5.56 ± 1.57 c | 11.11 ± 1.57 b | |
| light red | 5.56 ± 1.57 d | 16.67 ± 2.72 b | 8.89 ± 1.57 d | 16.67 ± 2.72 ab | 14.44 ± 1.57 b | 7.78 ± 4.16 b | |
| yellow | 16.67 ± 2.72 c | 13.33 ± 2.72 bc | 16.67 ± 2.72 bc | 22.22 ± 1.57 a | 16.67 ± 2.72 b | 21.11 ± 1.57 a | |
| blue | 41.11 ± 1.57 a | 30.00 ± 2.72 a | 31.11 ± 1.57 a | 20.00 ± 2.72 a | 25.56 ± 4.16 a | 21.11 ± 3.14 a | |
| green | 12.22 ± 1.57 c | 16.67 ± 2.72 b | 13.33 ± 2.72 cd | 13.33 ± 2.72 b | 11.11 ± 1.57 bc | 12.22 ± 3.14 b | |
| Flow Condition | Colors of Light | Time (Min) | |||||
|---|---|---|---|---|---|---|---|
| 5 | 10 | 15 | 20 | 25 | 30 | ||
| 0 m/s | white | 8.89 ± 1.57 d | 7.78 ± 1.57 d | 2.22 ± 1.57 c | 17.78 ± 1.57 b | 11.11 ± 1.57 c | 2.22 ± 1.57 d |
| red | 25.56 ± 1.57 a | 21.11 ± 1.57 b | 21.11 ± 1.57 b | 17.78 ± 1.57 b | 18.89 ± 1.57 b | 25.56 ± 1.57 b | |
| light red | 2.22 ± 1.57 d | 4.44 ± 1.57 d | 5.56 ± 1.57 c | 8.89 ± 1.57 c | 4.44 ± 1.57 d | 7.78 ± 1.57 c | |
| yellow | 15.56 ± 1.57 c | 32.22 ± 1.57 a | 30.00 ± 2.72 a | 18.89 ± 3.14 b | 17.78 ± 1.57 b | 24.44 ± 1.57 b | |
| blue | 20.00 ± 2.72 b | 13.33 ± 2.72 c | 21.11 ± 1.57 b | 11.11 ± 1.57 c | 10.00 ± 2.72 c | 5.56 ± 1.57 cd | |
| green | 27.78 ± 1.57 a | 21.11 ± 1.57 b | 20.00 ± 2.72 b | 25.56 ± 1.57 a | 37.78 ± 1.57 a | 34.44 ± 1.57 a | |
| 0.2 m/s | white | 22.22 ± 3.14 b | 26.67 ± 2.72 b | 20.00 ± 2.72 b | 21.11 ± 1.57 d | 36.67 ± 2.72 a | 34.44 ± 5.67 a |
| red | 15.56 ± 1.57 c | 11.11 ± 1.57 d | 8.89 ± 1.57 c | 14.44 ± 1.57 cd | 3.33 ± 2.72 e | 7.78 ± 1.57 b | |
| light red | 5.56 ± 1.57 e | 4.44 ± 1.57 a | 4.44 ± 1.57 c | 7.78 ± 1.57 e | 2.22 ± 1.57 e | 10.00 ± 2.72 b | |
| yellow | 17.78 ± 1.57 c | 13.33 ± 2.72 c | 21.11 ± 1.57 b | 17.78 ± 1.57 bc | 18.89 ± 1.57 c | 10.00 ± 2.72 b | |
| blue | 11.11 ± 1.57 d | 11.11 ± 1.57 c | 8.89 ± 1.57 c | 13.33 ± 2.72 d | 13.33 ± 2.72 d | 21.11 ± 3.14 b | |
| green | 27.78 ± 1.57 a | 33.33 ± 2.72 a | 33.33 ± 2.72 a | 25.56 ± 1.57 a | 25.56 ± 1.57 b | 34.44 ± 1.57 a | |
| Flow Conditions | Species | Four Monochromatic Lights of Three Light Intensities | |||||||||||
|---|---|---|---|---|---|---|---|---|---|---|---|---|---|
| Red | Yellow | Blue | Green | ||||||||||
| + | ++ | +++ | + | ++ | +++ | + | ++ | +++ | + | ++ | +++ | ||
| 0 m/s | Schi. malacanthus | −0.49 | −0.49 | −0.64 | −0.29 | −0.07 | −0.49 | 0.69 | 1.18 | 0.00 | 0.31 | 0.49 | −0.20 |
| Scht. kozlovi | 0.38 | −0.80 | −0.84 | 0.98 | 0.18 | −0.42 | −0.38 | 0.09 | −0.38 | 0.18 | 1.44 | −0.42 | |
| 0.2 m/s | Schi. malacanthus | −0.56 | 0.00 | 0.00 | 0.01 | 0.00 | 0.00 | 0.01 | 0.00 | 0.00 | 0.00 | 0.00 | 0.00 |
| Scht. kozlovi | −0.01 | 0.00 | −0.01 | 0.00 | 0.01 | −0.01 | 0.00 | 0.00 | 0.00 | 0.00 | 0.01 | 0.00 | |
Disclaimer/Publisher’s Note: The statements, opinions and data contained in all publications are solely those of the individual author(s) and contributor(s) and not of MDPI and/or the editor(s). MDPI and/or the editor(s) disclaim responsibility for any injury to people or property resulting from any ideas, methods, instructions or products referred to in the content. |
© 2026 by the authors. Licensee MDPI, Basel, Switzerland. This article is an open access article distributed under the terms and conditions of the Creative Commons Attribution (CC BY) license.
Share and Cite
Wang, Z.; Lai, M.; Li, H.; Wang, Y.; Zeng, R.; Lv, J.; He, T.; Han, C.; Wang, X. Light Color and Intensity-Dependent Modulation of Phototactic Behavior Mediating Orientation Guidance in Schizothoracine Fishes. Fishes 2026, 11, 200. https://doi.org/10.3390/fishes11040200
Wang Z, Lai M, Li H, Wang Y, Zeng R, Lv J, He T, Han C, Wang X. Light Color and Intensity-Dependent Modulation of Phototactic Behavior Mediating Orientation Guidance in Schizothoracine Fishes. Fishes. 2026; 11(4):200. https://doi.org/10.3390/fishes11040200
Chicago/Turabian StyleWang, Zhe, Minrui Lai, Hongze Li, Yudong Wang, Rukui Zeng, Jianzhang Lv, Tao He, Changhai Han, and Xiaogang Wang. 2026. "Light Color and Intensity-Dependent Modulation of Phototactic Behavior Mediating Orientation Guidance in Schizothoracine Fishes" Fishes 11, no. 4: 200. https://doi.org/10.3390/fishes11040200
APA StyleWang, Z., Lai, M., Li, H., Wang, Y., Zeng, R., Lv, J., He, T., Han, C., & Wang, X. (2026). Light Color and Intensity-Dependent Modulation of Phototactic Behavior Mediating Orientation Guidance in Schizothoracine Fishes. Fishes, 11(4), 200. https://doi.org/10.3390/fishes11040200

