Spatial Heterogeneity-Based Explainable Machine Learning Methods—Modeling the Relationship Between Yellowfin Tuna Fishery Resources and the Environment in the Pacific Ocean
Abstract
1. Introduction
2. Materials and Methods
2.1. Data Sources
2.1.1. Fishery Data
2.1.2. Environmental Data
2.2. Data Preprocessing
2.2.1. Data Matching
2.2.2. CPUE Calculation
2.3. Models and Methods
2.3.1. Variance Inflation Factor (VIF)
2.3.2. Random Forest (RF) Regression
2.3.3. Combining the Random Forest Method with eXtreme Gradient Boosting Trees (XGBRF)
2.3.4. Geographical Random Forests (GRF)
2.3.5. GeoShapley Explainable Methods
2.4. Model Evaluation
3. Results
3.1. VIF Value Factor Screening Results
3.2. Model Performance
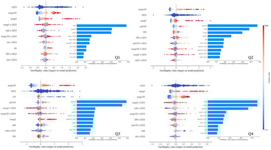
3.3. Exploring Key Factors Based on GeoShapley Explainable Method
3.3.1. Individual Effects of Environmental Factors on Yellowfin Tuna Fishery Resources
3.3.2. Results Regarding Combined Effects of Environmental Factors and Spatial Effects on Yellowfin Tuna Fishery Resources
4. Discussion
4.1. Individual Effects of Environmental Factors on Yellowfin Tuna Fishery Resources
4.2. Impact of Spatial and Environmental Interactions on Yellowfin Tuna Fishery Resources
4.3. Application of GRF Combined with the Geoshapley Method in Yellowfin Tuna Resource Research
5. Conclusions and Prospects
Author Contributions
Funding
Institutional Review Board Statement
Data Availability Statement
Acknowledgments
Conflicts of Interest
Appendix A
Appendix A.1

References
- Schaefer, K.M.; Fuller, D.W.; Block, B.A. Movements, Behavior, and Habitat Utilization of Yellowfin Tuna (Thunnus albacares) in the Northeastern Pacific Ocean, Ascertained through Archival Tag Data. Mar. Biol. 2007, 152, 503–525. [Google Scholar] [CrossRef]
- Collette, B.B.; Reeb, C.; Block, B.A. Systematics of the Tunas and Mackerels (Scombridae); Academic Press: New York, NY, USA, 2001; pp. 1–33. [Google Scholar]
- Hare, S.R.; Williams, P.G.; Jordán, C.C.; Hamer, P.A.; Hampton, W.J.; Lehodey, P.; Macdonald, M.; Scott, R.D.; Phillips, J.S.; Senina, I.; et al. The Western and Central Pacific Tuna Fishery: 2021 Overview and Status of Stocks; SPC Tuna Fisheries Assesstent Report No. 22; Pacific Community: Noumea, New Caledonia, 2022. [Google Scholar]
- FAO. The State of World Fisheries and Aquaculture 2024; FAO: Rome, Italy, 2024. [Google Scholar]
- Tomczak, M.; Godfrey, J.S. Regional Oceanography: An Introduction; Elsevier: Amsterdam, The Netherlands, 2013. [Google Scholar]
- Lehodey, P.; Andre, J.-M.; Bertignac, M.; Hampton, J.; Stoens, A.; Menkes, C.; Memery, L.; Grima, N. Predicting Skipjack Tuna Forage Distributions in the Equatorial Pacific Using a Coupled Dynamical Bio-Geochemical Model. Fish. Oceanogr. 1998, 7, 317–325. [Google Scholar] [CrossRef]
- Fischer, E.M.; Bador, M.; Huser, R.; Kendon, E.J.; Robinson, A.; Sippel, S. Record-Breaking Extremes in a Warming Climate. Nat. Rev. Earth. Environ. 2025, 6, 456–470. [Google Scholar] [CrossRef]
- Li, D.X.; Zou, X.R.; Zhou, S.T. Spatio-temporal distribution of Thunnus albacares CPUE and its relationship with environmental factors in central Pacific Ocean. South China Fish. Sci. 2024, 20, 68–76. (In Chinese) [Google Scholar]
- Yen, K.-W.; Wang, G.; Lu, H.-J. Evaluating Habitat Suitability and Relative Abundance of Skipjack (Katsuwonus pelamis) in the Western and Central Pacific during Various El Niño Events. Ocean Coast. Manag. 2017, 139, 153–160. [Google Scholar] [CrossRef]
- Puspita, A.R.; Syamsuddin, M.L.; Subiyanto; Syamsudin, F.; Purba, N.P. Predictive Modeling of Eastern Little Tuna (Euthynnus affinis) Catches in the Makassar Strait Using the Generalized Additive Model. J. Mar. Sci. Eng. 2023, 11, 165. [Google Scholar] [CrossRef]
- Yang, C.L.; Yang, X.M.; Zhu, J.F. Response of environmental factors to the distribution of tuna purse seine bonito in the western and central Pacific Ocean during different types of ENSO. South China Fish. Sci. 2021, 17, 8–18. (In Chinese) [Google Scholar]
- Zheng, H.H.; Yang, X.M.; Zhu, J.F. Environmental impact mechanism of skipjack tuna fishery in Western and Central Pacific Ocean based on Multi-scale Geographical Weighted Regression Model (MGWR). South China Fish. Sci. 2023, 19, 1–10. [Google Scholar]
- Li, M.; Yang, X.; Wang, Y.; Wang, Y.; Zhu, J. The Use of the GWPCA-MGWR Model for Studying Spatial Relationships between Environmental Variables and Longline Catches of Yellowfin Tunas. J. Mar. Sci. Eng. 2024, 12, 1002. [Google Scholar] [CrossRef]
- Wu, L.; Li, X.; Yuan, J.; Wang, S. Real-time prediction of tunnel face conditions using XGBoost random forest algorithm. Front. Struct. Civ. Eng. 2023, 17, 1777–1795. [Google Scholar] [CrossRef]
- Zhang, M.; Song, L.; Pan, C.; Wang, L. Prediction on Yellowfin Tuna (Thunnus albacares) Fishing Ground in Waters near the Marshall Islands Based on SMOTETomek-RF. Fish. Oceanogr. 2025, 34, e12704. [Google Scholar] [CrossRef]
- Young, P.; Shellswell, S. Time Series Analysis, Forecasting and Control. IEEE Trans. Autom. Control 1972, 17, 281–283. [Google Scholar] [CrossRef]
- Breiman, L. Statistical Modeling: The Two Cultures (with Comments and a Rejoinder by the Author). Statist. Sci. 2001, 16, 199–231. [Google Scholar] [CrossRef]
- Fotheringham, A.S.; Yang, W.; Kang, W. Multiscale Geographically Weighted Regression (MGWR). Ann. Am. Assoc. Geogr. 2017, 107, 1247–1265. [Google Scholar] [CrossRef]
- Baba, S.; Matsuishi, T. Pacific Saury Fishing Forecasting by Using Random Forest. Nippon Suisan Gakkaishi 2015, 81, 2–9. [Google Scholar] [CrossRef]
- Baidai, Y.; Dagorn, L.; Amande, M.J.; Gaertner, D.; Capello, M. Machine Learning for Characterizing Tropical Tuna Aggregations under Drifting Fish Aggregating Devices (DFADs) from Commercial Echosounder Buoys Data. Fish. Res. 2020, 229, 105613. [Google Scholar] [CrossRef]
- Zhang, C.; Zhou, W.F.; Tang, F.H. Forecasting model of yellowfin tuna fishing grounds in the central and western Pacific Ocean based on machine learning. Trans. Chin. Soc. Agric. Eng. 2022, 38, 330–338. (In Chinese) [Google Scholar]
- Song, L.M.; Ren, S.Y.; Zhang, M.; Sui, H.S. Fishing ground forecasting models for yellowfin tuna (Thunnus albacares) in the tropical waters of the Atlantic Ocean based on ensemble learning. J. Fish. Sci. China 2021, 28, 1069–1078. (In Chinese) [Google Scholar]
- Georganos, S.; Grippa, T.; Niang Gadiaga, A.; Linard, C.; Lennert, M.; Vanhuysse, S.; Mboga, N.; Wolff, E.; Kalogirou, S. Geographical Random Forests: A Spatial Extension of the Random Forest Algorithm to Address Spatial Heterogeneity in Remote Sensing and Population Modelling. Geocarto Int. 2021, 36, 121–136. [Google Scholar] [CrossRef]
- Georganos, S.; Grippa, T.; Gadiaga, A.; Vanhuysse, S.; Kalogirou, S.; Lennert, M.; Linard, C. An Application of Geographical Random Forests for Population Estimation in Dakar, Senegal Using Very-High-Resolution Satellite Imagery. In Proceedings of the 2019 Joint Urban Remote Sensing Event (Jurse), Vannes, France, 22–24 May 2019. [Google Scholar]
- Lotfata, A.; Georganos, S.; Kalogirou, S.; Helbich, M. Ecological Associations between Obesity Prevalence and Neighborhood Determinants Using Spatial Machine Learning in Chicago, Illinois, USA. ISPRS Int. J. Geo-Inf. 2022, 11, 550. [Google Scholar] [CrossRef]
- Zhao, Y.; Yuan, H.C. Prediction of Pacific Thunnus alalunga Fishery Based on a Multiple-Channel Single Regression Module with Explainability. Acta Hydrobiol. Sin. 2025, 49, 15–27. (In Chinese) [Google Scholar]
- Zhang, T.; Guo, H.; Song, L.; Yuan, H.; Sui, H.; Li, B. Evaluating the Importance of Vertical Environmental Variables for Albacore Fishing Grounds in Tropical Atlantic Ocean Using Machine Learning and Shapley Additive Explanations (SHAP) Approach. Fish. Oceanogr. 2025, 34, e12701. [Google Scholar] [CrossRef]
- Lan, K.-W.; Lee, M.-A.; Nishida, T.; Lu, H.-J.; Weng, J.-S.; Chang, Y. Environmental Effects on Yellowfin Tuna Catch by the Taiwan Longline Fishery in the Arabian Sea. Int. J. Remote Sens. 2012, 33, 7491–7506. [Google Scholar] [CrossRef]
- Li, Z. GeoShapley: A Game Theory Approach to Measuring Spatial Effects in Machine Learning Models. Ann. Am. Assoc. Geogr. 2024, 114, 1365–1385. [Google Scholar] [CrossRef]
- Hilborn, R.; Walters, C.J. Quantitative Fisheries Stock Assessment: Choice, Dynamics and Uncertainty, 1st ed.; Springer: New York, NY, USA, 1992. [Google Scholar]
- Ortiz, M. Standardized Catch Rates for Yellowfin Tuna (Thunnus albacares) from the US Pelagic Longline Fleet. Col. Vol. Sci. Pap. ICCAT 2004, 56, 660–675. Available online: https://www.iccat.int/Documents/CVSP/CV056_2004/n_2/CV056020660.pdf (accessed on 8 August 2025).
- Kuhn, M. Applied Predictive Modeling; Springer: New York, NY, USA, 2013. [Google Scholar]
- Breiman, L. Random Forests. Mach. Learn. 2001, 45, 5–32. [Google Scholar] [CrossRef]
- Zhang, H.; Wan, L.; Li, Y. Prediction of Soil Organic Carbon Content Using Sentinel-1/2 and Machine Learning Algorithms in Swamp Wetlands in Northeast China. IEEE J. Sel. Top. Appl. Earth Observ. Remote Sens. 2023, 16, 5219–5230. [Google Scholar] [CrossRef]
- Sun, K.; Zhou, R.Z.; Kim, J.; Hu, Y. PyGRF: An Improved Python Geographical Random Forest Model and Case Studies in Public Health and Natural Disasters. In Transactions in GIS; John Wiley & Sons: Hoboken, NJ, USA, 2024. [Google Scholar]
- Quiñones, S.; Goyal, A.; Ahmed, Z.U. Geographically Weighted Machine Learning Model for Untangling Spatial Heterogeneity of Type 2 Diabetes Mellitus (T2D) Prevalence in the USA. Sci. Rep. 2021, 11, 6955. [Google Scholar] [PubMed]
- Peng, Z.; Ji, H.; Yuan, R.; Wang, Y.; Easa, S.M.; Wang, C.; Cui, H.; Zhao, X. Modeling and Spatial Analysis of Heavy-Duty Truck CO2 Using Travel Activities. J. Transp. Geogr. 2025, 124, 104158. [Google Scholar] [CrossRef]
- Yang, S.L. The Influence of Subsurface Environment on the Vertical Water Column Distribution and Longline Fishing Catch Rate of Yellowfin Tuna in Tropical Central Western Pacific. Ph.D. Thesis, Shanghai Ocean University, Shanghai, China, 2020. (In Chinese). [Google Scholar]
- Brill, R.W. Understanding Environmental Influences on Movements and Depth Distributions of Tunas and Billfishes Can Significantly Improve Population Assessments. Am. Fish. Soc. Symp. 2001, 25, 179–198. [Google Scholar]
- Brill, R.W. A Review of Temperature and Oxygen Tolerance Studies of Tunas Pertinent to Fisheries Oceanography, Movement Models and Stock Assessments. Fish. Oceanogr. 1994, 3, 204–216. [Google Scholar] [CrossRef]
- Fuller, D.W.; Schaefer, K.M.; Hampton, J.; Caillot, S.; Leroy, B.M.; Itano, D.G. Vertical Movements, Behavior, and Habitat of Bigeye Tuna (Thunnus obesus) in the Equatorial Central Pacific Ocean. Fish. Res. 2015, 172, 57–70. [Google Scholar] [CrossRef]
- de Boyer Montégut, C.; Madec, G.; Fischer, A.S.; Lazar, A.; Iudicone, D. Mixed Layer Depth over the Global Ocean: An Examination of Profile Data and a Profile-Based Climatology. J. Geophys. Res. 2004, 109, C12003. [Google Scholar] [CrossRef]
- Arrizabalaga, H.; Dufour, F.; Kell, L.; Merino, G.; Ibaibarriaga, L.; Chust, G.; Irigoien, X.; Santiago, J.; Murua, H.; Fraile, I.; et al. Global Habitat Preferences of Commercially Valuable Tuna. Deep Sea Res. Part II Top. Stud. Oceanogr. 2015, 113, 102–112. [Google Scholar] [CrossRef]
- Block, B.A.; Keen, J.E.; Castillo, B.; Dewar, H.; Freund, E.V.; Marcinek, D.J.; Brill, R.W.; Farwell, C. Environmental Preferences of Yellowfin Tuna (Thunnus albacares) at the Northern Extent of Its Range. Mar. Biol. 1997, 130, 119–132. [Google Scholar] [CrossRef]
- Klinger, D.H.; Dale, J.J.; Gleiss, A.C.; Brandt, T.; Estess, E.E.; Gardner, L.; Machado, B.; Norton, A.; Rodriguez, L.; Stiltner, J.; et al. The Effect of Temperature on Postprandial Metabolism of Yellowfin Tuna (Thunnus albacares). Comp. Biochem. Physiol. A Mol. Integr. Physiol. 2016, 195, 32–38. [Google Scholar] [CrossRef]
- Bœuf, G.; Payan, P. How Should Salinity Influence Fish Growth? Comp. Biochem. Physiol. Part C Toxicol. Pharmacol. 2001, 130, 411–423. [Google Scholar] [CrossRef]
- Fiedler, P.C.; Talley, L.D. Hydrography of the Eastern Tropical Pacific: A Review. Prog. Oceanogr. 2006, 69, 143–180. [Google Scholar] [CrossRef]
- Bernal, D.; Brill, R.W.; Dickson, K.A.; Shiels, H.A. Sharing the Water Column: Physiological Mechanisms Underlying Species-Specific Habitat Use in Tunas. Rev. Fish. Biol. Fish. 2017, 27, 843–880. [Google Scholar] [CrossRef]
- Bertrand, A.; Bard, F.-X.; Josse, E. Tuna Food Habits Related to the Micronekton Distribution in French Polynesia. Mar. Biol. 2002, 140, 1023–1037. [Google Scholar] [CrossRef]
- Lehodey, P.; Bertignac, M.; Hampton, J.; Lewis, A.; Picaut, J. El Niño Southern Oscillation and Tuna in the Western Pacific. Nature 1997, 389, 715–718. [Google Scholar] [CrossRef]
- Lan, K.-W.; Shimada, T.; Lee, M.-A.; Su, N.-J.; Chang, Y. Using Remote-Sensing Environmental and Fishery Data to Map Potential Yellowfin Tuna Habitats in the Tropical Pacific Ocean. Remote Sens. 2017, 9, 444. [Google Scholar] [CrossRef]
- Lv, J.-M.; Ju, J.-H.; Zhang, Q.-Y.; Tao, S.-Y. The characteristics of ENSO cycle in different phases of pacific decadal oscillation. Clim. Environ. Res. 2005, 10, 238–249. [Google Scholar]
- Prince, E.D.; Goodyear, C.P. Hypoxia-Based Habitat Compression of Tropical Pelagic Fishes. Fish. Oceanogr. 2006, 15, 451–464. [Google Scholar] [CrossRef]
- Fonteneau, A.; Chassot, E.; Bodin, N. Global Spatio-Temporal Patterns in Tropical Tuna Purse Seine Fisheries on Drifting Fish Aggregating Devices (DFADs): Taking a Historical Perspective to Inform Current Challenges. Aquat. Living Resour. 2013, 26, 37–48. [Google Scholar] [CrossRef]
- Miller, A.M.; Bush, S.R.; van Zwieten, P.A. Sub-Regionalisation of Fisheries Governance: The Case of the Western and Central Pacific Ocean Tuna Fisheries. Marit. Stud. 2014, 13, 17. [Google Scholar] [CrossRef]
- Fei, J.J.; Li, C.; Zhang, J.; Teng, Y.X.; Wu, Y.T.; Shi, J.G. Effects of seamount characteristics in Central and Western Pacific Ocean on CPUEs of yellowfin tuna (Thunnus albacares) in longline and purse seine fisheries. South China Fish. Sci. 2024, 20, 1–10. (In Chinese) [Google Scholar]
- Shi, X.F.; Wang, X.; Wang, Y.X.; Shi, J.G.; Zhang, J. Feeding biology of yellowfin tuna (Thunnus albacares) in tropical central and western Pacific Ocean. South China Fish. Sci. 2022, 18, 43–51. (In Chinese) [Google Scholar]
- Deary, A.L.; Moret-Ferguson, S.; Engels, M.; Zettler, E.; Jaroslow, G.; Sancho, G. Influence of Central Pacific Oceanographic Conditions on the Potential Vertical Habitat of Four Tropical Tuna Species. Pac. Sci. 2015, 69, 461. [Google Scholar] [CrossRef]
- Morato, T.; Hoyle, S.D.; Allain, V.; Nicol, S.J. Tuna Longline Fishing around West and Central Pacific Seamounts. PLoS ONE 2010, 5, e14453. [Google Scholar] [CrossRef]
- Yesson, C.; Letessier, T.B.; Nimmo-Smith, A.; Hosegood, P.; Brierley, A.S.; Hardouin, M.; Proud, R. Improved Bathymetry Leads to 4000 New Seamount Predictions in the Global Ocean. UCL Open Environ. 2021, 3, e030. [Google Scholar] [PubMed]
- McPhaden, M.J.; Zhang, D. Slowdown of the Meridional Overturning Circulation in the Upper Pacific Ocean. Nature 2002, 415, 603–608. [Google Scholar] [CrossRef] [PubMed]
- Chavez, F.P.; Strutton, P.G.; Friederich, G.E.; Feely, R.A.; Feldman, G.C.; Foley, D.G.; McPhaden, M.J. Biological and Chemical Response of the Equatorial Pacific Ocean to the 1997-98 El Niño. Science 1999, 286, 2126–2131. [Google Scholar] [CrossRef] [PubMed]
- Sprintall, J.; Tomczak, M. Evidence of the Barrier Layer in the Surface Layer of the Tropics. J. Geophys. Res. Ocean. 1992, 97, 7305–7316. [Google Scholar] [CrossRef]
- Richards, K.J.; Whitt, D.B.; Brett, G.; Bryan, F.O.; Feloy, K.; Long, M.C. The Impact of Climate Change on Ocean Submesoscale Activity. J. Geophys. Res. Ocean. 2021, 126, e2020JC016750. [Google Scholar] [CrossRef]
- Hu, C.; Harrison, D.P.; Hinton, M.G.; Siegrist, Z.C.; Kiefer, D.A. Habitat Analysis of the Commercial Tuna of the Eastern Tropical Pacific Ocean. Fish. Oceanogr. 2018, 27, 417–434. [Google Scholar] [CrossRef]
- Lan, K.-W.; Evans, K.; Lee, M.-A. Effects of Climate Variability on the Distribution and Fishing Conditions of Yellowfin Tuna (Thunnus albacares) in the Western Indian Ocean. Clim. Change 2013, 119, 63–77. [Google Scholar] [CrossRef]
- Stramma, L.; Prince, E.D.; Schmidtko, S.; Luo, J.; Hoolihan, J.P.; Visbeck, M.; Wallace, D.W.R.; Brandt, P.; Körtzinger, A. Expansion of Oxygen Minimum Zones May Reduce Available Habitat for Tropical Pelagic Fishes. Nat. Clim. Change 2012, 2, 33–37. [Google Scholar] [CrossRef]
- Mediodia, H.J.; Kahui, V.; Noy, I. Sea Surface Temperature and Tuna Catch in the Eastern Pacific Ocean under Climate Change. Mar. Resour. Econ. 2023, 38, 329–351. [Google Scholar] [CrossRef]
- Fonteneau, A.; Ariz, J. Tunas Yield per Recruit and MSY of Longline Fisheries, Case of Yellowfin Stock in the Eastern Pacific Ocean; IATTC: La Jolla, CA, USA, 2011. [Google Scholar]
- Vaihola, S.; Kininmonth, S. Environmental Factors Determine Tuna Fishing Vessels’ Behavior in Tonga. Fishes 2023, 8, 602. [Google Scholar] [CrossRef]
- Emerson, S.; Watanabe, Y.W.; Ono, T.; Mecking, S. Temporal Trends in Apparent Oxygen Utilization in the Upper Pycnocline of the North Pacific: 1980–2000. J. Oceanogr. 2004, 60, 139. [Google Scholar] [CrossRef]
- Chen, X.Z.; Fan, W.; Cui, X.S.; Zhou, W.F.; Tang, F.H. Fishing ground forecasting of Thunnus alalung in Indian Ocean based on random forest. Acta. Oceanol. Sin. 2013, 35, 158–164. [Google Scholar]
- Liu, L.; Wan, R.; Wu, F.; Wang, Y.; Zhu, Y.; Zhou, C. An Integrative Machine Learning Approach to Understanding South Pacific Ocean Albacore Tuna Habitat Features. ICES J. Mar. Sci. 2025, 82, fsaf003. [Google Scholar] [CrossRef]





| Variable | Spatial Resolution | Unit | Data Source |
|---|---|---|---|
| sla | 0.333° × 0.333° | m | http://marine.copernicus.eu/ (accessed on 2 September 2024) |
| mld | 0.333° × 0.333° | m | http://www.science.oregonstate.edu/ (accessed on 2 September 2024) |
| chl | 0.333° × 0.333° | mg/m3 | |
| npp | 0.333° × 0.333° | mg/m2/day | |
| temp0, temp50, temp100, temp150, temp200 | 1° × 1° | °C | http://www.argo.org.cn/ (accessed on 2 September 2024) |
| salt0, salt50, salt100, salt150, salt200 | 1° × 1° | PSU | |
| u5, u55, u105, v5, v55, v105 | 0.333° × 0.333° | m/s | https://cfs.ncep.noaa.gov/ (accessed on 2 September 2024) |
| temp5, temp55, temp105, temp155 | 1° × 1° | °C | |
| salt5, salt55, salt105, salt155 | 1° × 1° | PSU | |
| DO | 1° × 1° | mol/m3 | https://esgf-node.llnl.gov/search/cmip6/ (accessed on 2 September 2024) |
| Environmental Factor | VIF Value | |||
|---|---|---|---|---|
| Q1 | Q2 | Q3 | Q4 | |
| v55 | 4.152 | 7.106 | 4.170 | 4.412 |
| v105 | 4.187 | 7.580 | 4.062 | 4.576 |
| u55 | 5.491 | 9.766 | 6.476 | 6.994 |
| u105 | 5.624 | 9.239 | 6.505 | 7.729 |
| salt5 | 7.135 | 7.428 | 8.563 | 8.548 |
| salt105 | 8.697 | 8.901 | 9.796 | 9.648 |
| temp5 | 9.884 | 8.457 | 9.948 | 9.419 |
| temp105 | 7.983 | 6.123 | 6.448 | 8.298 |
| mld | 5.327 | 2.812 | 8.595 | 2.763 |
| sla | 1.604 | 1.653 | 1.376 | 1.678 |
| chl | 1.554 | 1.709 | 1.805 | 1.560 |
| DO | 2.610 | 2.164 | 1.823 | 2.540 |
| Model | Hyperparameter | Parameter Settings | |||
|---|---|---|---|---|---|
| Q1 | Q2 | Q3 | Q4 | ||
| RF | max_depth | 7 | 9 | 13 | 18 |
| min_samples_leaf | 8 | 5 | 2 | 5 | |
| min_samples_split | 5 | 9 | 2 | 4 | |
| n_estimators | 189 | 108 | 143 | 81 | |
| XGBRF | colsample_bytree | 0.86 | 0.69 | 0.99 | 0.56 |
| gamma | 0.55 | 0.82 | 0.09 | 0.71 | |
| max_depth | 12 | 17 | 17 | 14 | |
| min_child_weight | 7 | 4 | 2 | 4 | |
| n_estimators | 185 | 203 | 236 | 201 | |
| subsample | 0.76 | 1.00 | 0.92 | 0.94 | |
| GRF | Bandwidth (λ) | 167 | 59 | 67 | 88 |
| local_weight (α) | 0.25 | 0.40 | 0.40 | 0.36 | |
| Quarter | RF | XGBRF | GRF | ||||||
|---|---|---|---|---|---|---|---|---|---|
| R2 | RMSE | MAE | R2 | RMSE | MAE | R2 | RMSE | MAE | |
| Q1 | 0.69 | 0.92 | 0.61 | 0.68 | 0.94 | 0.58 | 0.72 | 1.07 | 0.61 |
| Q2 | 0.68 | 1.49 | 0.88 | 0.77 | 1.27 | 0.72 | 0.84 | 1.06 | 0.56 |
| Q3 | 0.79 | 1.15 | 0.65 | 0.80 | 1.16 | 0.65 | 0.85 | 0.99 | 0.56 |
| Q4 | 0.71 | 0.91 | 0.62 | 0.78 | 0.78 | 0.53 | 0.78 | 0.95 | 0.51 |
| Q1 | Q2 | Q3 | Q4 | |
|---|---|---|---|---|
| <−2.5 Std. Dev. | 9 | 12 | 13 | 9 |
| −2.5–−1.5 Std. Dev. | 9 | 9 | 11 | 9 |
| −1.5–−0.50 Std. Dev. | 37 | 31 | 34 | 37 |
| −0.50–0.50 Std. Dev. | 276 | 280 | 265 | 216 |
| 0.50–1.5 Std. Dev. | 63 | 54 | 62 | 63 |
| 1.5–2.5 Std. Dev. | 8 | 8 | 10 | 8 |
| >2.5 Std. Dev. | 0 | 2 | 0 | 0 |
| Quarter | Variable | GeoShapley Value | |||||||
|---|---|---|---|---|---|---|---|---|---|
| Min | 25% | 50% | 75% | Max | Mean | Std | |Mean| | ||
| Q1 | GEO | −1.37 | −0.36 | −0.04 | 0.81 | 2.33 | 0.22 | 0.66 | 0.58 |
| temp105 | −0.60 | −0.42 | −0.15 | 0.47 | 0.95 | 0.00 | 0.46 | 0.41 | |
| temp5 | −0.43 | −0.36 | −0.23 | 0.01 | 2.11 | 0.01 | 0.59 | 0.41 | |
| temp5 × GEO | −0.69 | −0.14 | −0.03 | 0.09 | 1.72 | −0.02 | 0.26 | 0.17 | |
| mld × GEO | −0.51 | −0.18 | −0.13 | −0.09 | 0.82 | −0.13 | 0.12 | 0.15 | |
| temp105 × GEO | −0.46 | −0.11 | −0.01 | 0.08 | 0.93 | 0.01 | 0.21 | 0.15 | |
| sla × GEO | −0.47 | −0.14 | −0.08 | 0.02 | 0.44 | −0.06 | 0.13 | 0.11 | |
| sla | −0.16 | −0.07 | −0.03 | 0.12 | 0.40 | 0.03 | 0.13 | 0.11 | |
| DO × GEO | −0.32 | −0.08 | −0.04 | 0.01 | 0.72 | −0.03 | 0.11 | 0.08 | |
| chl × GEO | −0.35 | −0.10 | −0.04 | 0.00 | 0.50 | −0.04 | 0.09 | 0.08 | |
| Q2 | temp105 | −0.62 | −0.51 | −0.39 | 0.32 | 2.43 | 0.02 | 0.70 | 0.56 |
| GEO | −1.98 | −0.18 | 0.08 | 0.65 | 2.14 | 0.26 | 0.60 | 0.47 | |
| temp5 | −0.50 | −0.39 | −0.15 | −0.02 | 3.01 | −0.01 | 0.62 | 0.39 | |
| salt105 | −0.31 | −0.20 | −0.10 | 0.35 | 0.99 | 0.06 | 0.30 | 0.27 | |
| DO | −0.28 | −0.19 | 0.01 | 0.19 | 0.62 | 0.02 | 0.20 | 0.18 | |
| DO × GEO | −0.48 | −0.20 | −0.07 | 0.11 | 1.09 | −0.04 | 0.22 | 0.18 | |
| salt105 × GEO | −0.49 | −0.25 | −0.12 | −0.05 | 1.08 | −0.12 | 0.18 | 0.18 | |
| temp105 × GEO | −0.64 | −0.16 | −0.05 | 0.02 | 1.40 | −0.05 | 0.22 | 0.15 | |
| temp5 × GEO | −1.01 | −0.07 | 0.00 | 0.06 | 2.40 | 0.02 | 0.27 | 0.14 | |
| salt5 × GEO | −0.54 | −0.16 | −0.11 | −0.07 | 0.53 | −0.11 | 0.12 | 0.14 | |
| Q3 | temp105 | −0.86 | −0.55 | −0.30 | 0.27 | 2.42 | 0.02 | 0.78 | 0.59 |
| GEO | −1.28 | −0.09 | 0.27 | 0.75 | 2.82 | 0.38 | 0.62 | 0.54 | |
| v55 | −0.23 | −0.15 | −0.11 | −0.03 | 2.79 | 0.02 | 0.40 | 0.22 | |
| salt105 | −0.35 | −0.18 | 0.06 | 0.27 | 0.65 | 0.05 | 0.23 | 0.21 | |
| temp5 × GEO | −1.11 | −0.23 | −0.14 | −0.04 | 1.09 | −0.16 | 0.25 | 0.21 | |
| temp105 × GEO | −0.88 | −0.18 | −0.07 | 0.03 | 1.81 | −0.04 | 0.30 | 0.19 | |
| temp5 | −0.17 | −0.09 | −0.06 | 0.06 | 1.13 | 0.08 | 0.31 | 0.19 | |
| mld | −0.34 | −0.17 | 0.10 | 0.21 | 0.53 | 0.05 | 0.20 | 0.19 | |
| mld × GEO | −0.64 | −0.21 | −0.12 | 0.00 | 0.73 | −0.10 | 0.18 | 0.17 | |
| DO | −0.23 | −0.11 | −0.01 | 0.19 | 0.55 | 0.04 | 0.17 | 0.16 | |
| Q4 | GEO | −1.54 | −0.08 | 0.14 | 0.61 | 2.13 | 0.30 | 0.55 | 0.45 |
| temp5 | −0.40 | −0.31 | −0.25 | 0.10 | 2.03 | 0.06 | 0.61 | 0.45 | |
| temp105 | −0.53 | −0.34 | −0.15 | 0.42 | 0.90 | 0.01 | 0.41 | 0.36 | |
| temp5 × GEO | −0.76 | −0.18 | −0.11 | −0.06 | 0.67 | −0.13 | 0.18 | 0.17 | |
| mld × GEO | −0.70 | −0.17 | −0.09 | −0.01 | 1.22 | −0.12 | 0.20 | 0.15 | |
| temp105 × GEO | −0.48 | −0.12 | −0.04 | 0.04 | 1.28 | −0.02 | 0.20 | 0.14 | |
| DO × GEO | −0.40 | −0.18 | −0.11 | −0.04 | 0.60 | −0.10 | 0.13 | 0.14 | |
| salt105 × GEO | −0.42 | −0.13 | −0.07 | −0.01 | 0.45 | −0.07 | 0.09 | 0.09 | |
| mld | −0.10 | −0.03 | −0.01 | 0.04 | 1.03 | 0.06 | 0.18 | 0.09 | |
| chl × GEO | −0.38 | −0.09 | −0.06 | −0.01 | 0.25 | −0.05 | 0.10 | 0.09 | |
Disclaimer/Publisher’s Note: The statements, opinions and data contained in all publications are solely those of the individual author(s) and contributor(s) and not of MDPI and/or the editor(s). MDPI and/or the editor(s) disclaim responsibility for any injury to people or property resulting from any ideas, methods, instructions or products referred to in the content. |
© 2025 by the authors. Licensee MDPI, Basel, Switzerland. This article is an open access article distributed under the terms and conditions of the Creative Commons Attribution (CC BY) license (https://creativecommons.org/licenses/by/4.0/).
Share and Cite
Hua, Z.; Yang, X.; Li, M.; Feng, S.; Zhu, J. Spatial Heterogeneity-Based Explainable Machine Learning Methods—Modeling the Relationship Between Yellowfin Tuna Fishery Resources and the Environment in the Pacific Ocean. Fishes 2025, 10, 417. https://doi.org/10.3390/fishes10080417
Hua Z, Yang X, Li M, Feng S, Zhu J. Spatial Heterogeneity-Based Explainable Machine Learning Methods—Modeling the Relationship Between Yellowfin Tuna Fishery Resources and the Environment in the Pacific Ocean. Fishes. 2025; 10(8):417. https://doi.org/10.3390/fishes10080417
Chicago/Turabian StyleHua, Zhoujia, Xiaoming Yang, Menghao Li, Shuyang Feng, and Jiangfeng Zhu. 2025. "Spatial Heterogeneity-Based Explainable Machine Learning Methods—Modeling the Relationship Between Yellowfin Tuna Fishery Resources and the Environment in the Pacific Ocean" Fishes 10, no. 8: 417. https://doi.org/10.3390/fishes10080417
APA StyleHua, Z., Yang, X., Li, M., Feng, S., & Zhu, J. (2025). Spatial Heterogeneity-Based Explainable Machine Learning Methods—Modeling the Relationship Between Yellowfin Tuna Fishery Resources and the Environment in the Pacific Ocean. Fishes, 10(8), 417. https://doi.org/10.3390/fishes10080417
