Quinolone Resistance and Prevalence of the Related Genes in Photobacterium damselae subsp. damselae Recovered from Diseased Fish in Eastern China
Abstract
1. Introduction
2. Materials and Methods
2.1. Bacterial Strains and Culture Conditions
2.2. Minimum Inhibitory Concentration Test
2.3. Bacterial DNA Extraction
2.4. Amplified and Sequence Analysis of QRDRs
2.5. Detection and Sequence Analysis of PMQRs
3. Results
3.1. Phenotypic Characteristics of the P. damselae subsp. damselae Isolates
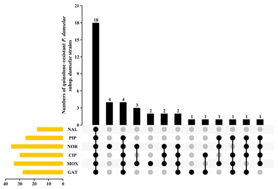
3.2. Antibiotic Resistance Profiles
3.3. Mutations in Genes That Encode the Quinolone Target Enzymes
3.4. Prevalence of PMQR Genes
4. Discussion
5. Conclusions
Supplementary Materials
Author Contributions
Funding
Institutional Review Board Statement
Informed Consent Statement
Data Availability Statement
Conflicts of Interest
References
- Rivas, A.J.; Lemos, M.L.; Osorio, C.R. Photobacterium damselae subsp. damselae, a bacterium pathogenic for marine animals and humans. Front. Microbiol. 2013, 4, 283. [Google Scholar] [CrossRef]
- Andreoni, F.; Magnani, M. Photobacteriosis: Prevention and diagnosis. J. Immunol. Res. 2014, 2014, 793817. [Google Scholar] [CrossRef]
- Yamane, K.; Asato, J.; Kawade, N.; Takahashi, H.; Kimura, B.; Arakawa, Y. Two cases of fatal necrotizing fasciitis caused by Photobacterium damsela in Japan. J. Clin. Microbiol. 2004, 42, 1370–1372. [Google Scholar] [CrossRef]
- Osorio, C.R.; Vences, A.; Matanza, X.M.; Terceti, M.S. Photobacterium damselae subsp. damselae, a generalist pathogen with unique virulence factors and high genetic diversity. J. Bacteriol. 2018, 200, e00002–e000018. [Google Scholar] [CrossRef] [PubMed]
- Samsing, F.; Barnes, A.C. The rise of the opportunists: What are the drivers of the increase in infectious diseases caused by environmental and commensal bacteria? Rev. Aquacult. 2024, 16, 1787–1797. [Google Scholar] [CrossRef]
- Sanches-Fernandes, G.M.M.; Sá-Correia, I.; Costa, R. Vibriosis outbreaks in aquaculture: Addressing environmental and public health concerns and preventive therapies using gilthead seabream farming as a model system. Front. Microbiol. 2022, 13, 904815. [Google Scholar] [CrossRef]
- Igbinosa, I.H.; Igumbor, E.U.; Aghdasi, F.; Tom, M.; Okoh, A.I. Emerging Aeromonas species infections and their significance in public health. Sci. World J. 2012, 13, 625023. [Google Scholar] [CrossRef]
- Duman, M.; Mulet, M.; Altun, S.; Saticioglu, I.B.; Ozdemir, B.; Ajmi, N.; Lalucat, J.; Elena García-Valdés, E. The diversity of Pseudomonas species isolated from fish farms in Turkey. Aquaculture 2021, 535, 736369. [Google Scholar] [CrossRef]
- Wang, C.; Liu, X.; Yang, Y.; Wang, Z. Antibiotic and antibiotic resistance genes in freshwater aquaculture ponds in China: A meta-analysis and assessment. J. Clean. Prod. 2021, 329, 129719. [Google Scholar] [CrossRef]
- Samuelsen, O.B. Pharmacokinetics of quinolones in fish: A review. Aquaculture 2006, 255, 55–75. [Google Scholar] [CrossRef]
- Shao, G.J.; Pan, X.D.; Han, J.L. Antibiotic residues in commercial freshwater fish from southeast China: Distribution and human health risk assessment. Environ. Sci. Pollut. Res. 2024, 31, 23780–23789. [Google Scholar] [CrossRef] [PubMed]
- Shao, Y.; Wang, Y.; Yuan, Y.; Xie, Y. A systematic review on antibiotics misuse in livestock and aquaculture and regulation implications in China. Sci. Total Environ. 2021, 798, 149205. [Google Scholar] [CrossRef]
- Singh, M.; Singh, P.; Singh, M.; Singh, P. Drugs and chemicals applied in aquaculture industry: A review of commercial availability, recommended dosage and mode of application. J. Entomol. Zool. Stud. 2018, 6, 903–907. [Google Scholar]
- Ljubojević Pelić, D.; Radosavljević, V.; Pelić, M.; Živkov Baloš, M.; Puvača, N.; Jug-Dujaković, J.; Gavrilović, A. Antibiotic residues in cultured fish: Implications for food safety and regulatory concerns. Fishes 2024, 9, 484. [Google Scholar] [CrossRef]
- Chenia, H.Y. Prevalence and characterization of plasmid-mediated quinolone resistance genes in Aeromonas spp. isolated from South African freshwater fish. Int. J. Food Microbiol. 2016, 231, 26–32. [Google Scholar] [CrossRef]
- Aedo, S.; Ivanova, L.; Tomova, A.; Cabello, F.C. Plasmid-related quinolone resistance determinants in epidemic Vibrio parahaemolyticus, uropathogenic escherichia coli, and marine bacteria from an aquaculture area in Chile. Microb. Ecol. 2014, 68, 324–328. [Google Scholar] [CrossRef]
- Laganà, P.; Caruso, G.; Minutoli, E.; Zaccone, R.; Santi, D. Susceptibility to antibiotics of Vibrio spp. and Photobacterium damsela spp. piscicida strains isolated from italian aquaculture farms. New Microbiol. 2011, 34, 53. [Google Scholar] [CrossRef][Green Version]
- Kim, M.; Hirono, I.; Aoki, T. Detection of quinolone-resistance genes in Photobacterium damselae subsp. piscicida strains by targeting-induced local lesions in genomes. J. Fish Dis. 2005, 28, 463–471. [Google Scholar] [CrossRef]
- Hooper, D.C. Bacterial topoisomerases, anti-topoisomerases, and anti-topoisomerase resistance. Clin. Infect. Dis. 1998, 27 (Suppl. S1), 54–63. [Google Scholar] [CrossRef]
- Hooper, D.C.; Jacoby, G.A. Mechanisms of drug resistance: Quinolone resistance. Ann. N. Y. Acad. Sci. 2015, 1354, 12–31. [Google Scholar] [CrossRef]
- Tao, Z.; Shen, C.; Zhou, S.M.; Yang, N.; Wang, G.L.; Wang, Y.J.; Xu, S.L. An outbreak of Photobacterium damselae subsp. damselae infection in cultured silver pomfret Pampus argenteus in Eastern China. Aquaculture 2018, 492, 201–205. [Google Scholar] [CrossRef]
- Lin, D.; Chen, K.; Wai-Chi Chan, E.; Chen, S. Increasing prevalence of ciprofloxacin-resistant food-borne Salmonella strains harboring multiple PMQR elements but not target gene mutations. Sci. Rep. 2015, 5, 14754. [Google Scholar] [CrossRef]
- Gomaa Elsayed, A.; Fahmy, E.M.; Abdellatif Alsayed, M.; Ahmed, M.E.; El Sayed Zaki, M.; Mofreh Mohamed, M. Study of plasmid mediated quinolone resistance genes among Escherichia coli and Klebsiella pneumoniae isolated from pediatric patients with sepsis. Sci. Rep. 2024, 14, 11849. [Google Scholar] [CrossRef] [PubMed]
- CLSI. Performance Standards for Antimicrobial Susceptibility Testing, 28th ed.; CLSI Supplement M100; Clinical and Laboratory Standards Institute: Berwyn, PA, USA, 2018. [Google Scholar]
- Robicsek, A.; Strahilevitz, J.; Sahm, D.F.; Jacoby, G.A.; Hooper, D.C. Qnr prevalence in ceftazidime-resistant enterobacteriaceae isolates from the United States. Antimicrob. Agents Chemother. 2006, 50, 2872–2874. [Google Scholar] [CrossRef]
- Gay, K.; Robicsek, A.; Strahilevitz, J.; Park, C.H.; Jacoby, G.; Barrett, T.J.; Medalla, F.; Chiller, T.M.; Hooper, D.C. Plasmid-mediated quinolone resistance in non-typhi serotypes of Salmonella enterica. Clin. Infect. Dis. 2006, 43, 297–304. [Google Scholar] [CrossRef]
- Wang, M.; Guo, Q.; Xu, X.; Wang, X.; Ye, X.; Wu, S.; Hooper, D.C.; Wang, M. New plasmid-mediated quinolone resistance gene, qnrC, found in a clinical isolate of Proteus mirabilis. Antimicrob. Agents Chemother. 2009, 53, 1892–1897. [Google Scholar] [CrossRef] [PubMed]
- Cavaco, L.M.; Hasman, H.; Xia, S.; Aarestrup, F.M. qnrD, A novel gene conferring transferable quinolone resistance in Salmonella enterica serovar kentucky and bovismorbificans strains of human origin. Antimicrob. Agents Chemother. 2009, 53, 603–608. [Google Scholar] [CrossRef]
- Park, C.H.; Robicsek, A.; Jacoby, G.A.; Sahm, D.; Hooper, D.C. Prevalence in the United States of aac(6′)-Ib-cr encoding a ciprofloxacin-modifying enzyme. Antimicrob. Agents Chemother. 2006, 50, 3953–3955. [Google Scholar] [CrossRef]
- Kim, E.S.; Jeong, J.Y.; Choi, S.-H.; Lee, S.O.; Kim, S.H.; Kim, M.N.; Woo, J.H.; Kim, Y.S. Plasmid-mediated fluoroquinolone efflux pump gene, qepA, in Escherichia coli clinical isolates in Korea. Diagn. Microbiol. Infect. Dis. 2009, 65, 335–338. [Google Scholar] [CrossRef]
- Kamruzzaman, M.; Shoma, S.; Bari, S.M.N.; Ginn, A.N.; Wiklendt, A.M.; Partridge, S.R.; Faruque, S.M.; Iredell, J.R. Genetic diversity and antibiotic resistance in Escherichia coli from environmental surface water in Dhaka City, Bangladesh. Diagn. Microbiol. Infect. Dis. 2013, 76, 222–226. [Google Scholar] [CrossRef]
- Miranda, C.D.; Concha, C.; Godoy, F.A.; Lee, M.R. Aquatic environments as hotspots of transferable low-level quinolone resistance and their potential contribution to high-level quinolone resistance. Antibiotics 2022, 11, 1487. [Google Scholar] [CrossRef] [PubMed]
- Nawaz, M.; Sung, K.; Kweon, O.; Khan, S.; Nawaz, S.; Steele, R. Characterisation of novel mutations involved in quinolone resistance in Escherichia coli isolated from imported shrimp. Int. J. Antimicrob. Agents 2015, 45, 471–476. [Google Scholar] [CrossRef]
- Wang, Z.; Shi, C.; Wang, H.; Wan, X.; Zhang, Q.; Song, X.; Li, G.; Gong, M.; Ye, S.; Xie, G.; et al. A novel research on isolation and characterization of Photobacterium damselae subsp. damselae from pacific white shrimp, Penaeus vannamei, displaying black gill disease cultured in China. J. Fish Dis. 2020, 43, 551–559. [Google Scholar] [CrossRef]
- Xie, J.; Mei, H.; Jin, S.; Bu, L.; Wang, X.; Wang, C.; Zhao, Q.; Ma, R.; Zhou, S. First report of Photobacterium damselae subsp. damselae infection in the mud crab Scylla paramamosain cultured in China. Aquaculture 2021, 530, 735880. [Google Scholar] [CrossRef]
- MAPRC. Decision on the Prohibition of Four Veterinary Drugs (Lomefloxacin, Pefloxacin, Ofloxacin and Norfloxacin) in Food Animals; Bulletin No. 2292; MAPRC: Beijing, China, 2015.
- Ghosh, A.S.; Ahamed, J.; Chauhan, K.K.; Kundu, M. Involvement of an efflux system in high-level fluoroquinolone resistance of Shigella dysenteriae. Biochem. Biophys. Res. Commun. 1998, 242, 54–56. [Google Scholar] [CrossRef]
- Wolfson, J.S.; Hooper, D.C. Fluoroquinolone antimicrobial agents. Clin. Microbiol. Rev. 1989, 2, 378–424. [Google Scholar] [CrossRef]
- Bhatnagar, K.; Wong, A. The mutational landscape of quinolone resistance in Escherichia coli. PLoS ONE 2019, 14, e0224650. [Google Scholar] [CrossRef] [PubMed]
- Rodríguez-Martínez, J.M.; Machuca, J.; Cano, M.E.; Calvo, J.; Martínez-Martínez, L.; Pascual, A. Plasmid-mediated quinolone resistance: Two decades on. Drug Resist. Updat. 2016, 29, 13–29. [Google Scholar] [CrossRef] [PubMed]
- Kareem, S.M.; Al-kadmy, I.M.; Kazaal, S.S.; Ali, A.N.M.; Aziz, S.N.; Makharita, R.R.; Algammal, A.M.; Al-Rejaie, S.; Behl, T.; Batiha, G.E.-S. Detection of gyrA and parC mutations and prevalence of plasmid-mediated quinolone resistance genes in Klebsiella pneumoniae. Infect. Drug Resist. 2021, 14, 555–563. [Google Scholar] [CrossRef]
- Saki, M.; Farajzadeh Sheikh, A.; Seyed-Mohammadi, S.; Asareh Zadegan Dezfuli, A.; Shahin, M.; Tabasi, M.; Veisi, H.; Keshavarzi, R.; Khani, P. Occurrence of plasmid-mediated quinolone resistance genes in Pseudomonas aeruginosa strains isolated from clinical specimens in Southwest Iran: A multicentral study. Sci. Rep. 2022, 12, 2296. [Google Scholar] [CrossRef]
- Zhou, Y.Y.; Ma, L.Y.; Yu, L.; Lu, X.; Liang, W.L.; Kan, B.; Su, J.R. Quinolone resistance genes and their contribution to resistance in Vibrio cholerae serogroup O139. Antibiotics 2023, 12, 416. [Google Scholar] [CrossRef] [PubMed]
- Dobiasova, H.; Kutilova, I.; Piackova, V.; Vesely, T.; Cizek, A.; Dolejska, M. Ornamental fish as a source of plasmid-mediated quinolone resistance genes and antibiotic resistance plasmids. Vet. Microbiol. 2014, 171, 413–421. [Google Scholar] [CrossRef] [PubMed]
- Yu, Y.; Li, H.; Wang, Y.; Zhang, Z.; Liao, M.; Rong, X.; Li, B.; Wang, C.; Ge, J.; Zhang, X. Antibiotic resistance, virulence and genetic characteristics of Vibrio alginolyticus isolates from aquatic environment in costal mariculture areas in China. Mar. Pollut. Bull. 2022, 185, 114219. [Google Scholar] [CrossRef]
- Xu, Y.; Zheng, Z.; Ye, L.; Chan, E.W.C.; Chen, S. Identification and genetic characterization of conjugative plasmids encoding coresistance to ciprofloxacin and cephalosporin in foodborne Vibrio spp. Microbiol. Spectrum 2023, 11, e01032-23. [Google Scholar] [CrossRef]
- Shin, J.H.; Jung, H.J.; Lee, J.Y.; Kim, H.R.; Lee, J.N.; Chang, C.L. High rates of plasmid-mediated quinolone resistance qnrB variants among ciprofloxacin-resistant Escherichia coli and Klebsiella pneumoniae from urinary tract infections in Korea. Microb. Drug Resist. 2008, 14, 221–226. [Google Scholar] [CrossRef]
- Yan, L.; Liu, D.; Wang, X.H.; Wang, Y.; Zhang, B.; Wang, M.; Xu, H. Bacterial plasmid-mediated quinolone resistance genes in aquatic environments in China. Sci. Rep. 2017, 7, 40610. [Google Scholar] [CrossRef]



| Target Genes | Primers | Sequence (5′-3′) | Reference |
|---|---|---|---|
| qnrA | qnrA-F | ATTTCTCACGCCAGGATTTG | [25] |
| qnrA-R | GATCGGCAAAGGTTAGGTCA | ||
| qnrB | qnrB-F | GATCGTGAAAGCCAGAAAGG | [26] |
| qnrB-R | ACGATGCCTGGTAGTTGTCC | ||
| qnrS | qnrS-F | ACGACATTCGTCAACTGCAA | |
| qnrS-R | TAAATTGGCACCCTGTAGGC | ||
| qnrC | qnrC-F | GGGTTGTACATTTATTGAATC | [27] |
| qnrC-R | TCCACTTTACGAGGTTCT | ||
| qnrD | qnrD-F | CGAGATCAATTTACGGGGAATA | [28] |
| qnrD-R | AACAAGCTGAAGCGCCTG | ||
| aac(6′)-Ib-cr | aac(6′)-Ib-cr-F | TTGCGATGCTCTATGAGTGGCTA | [29] |
| aac(6′)-Ib-cr-R | CTCGAATGCCTGGCGTGTTT | ||
| qepA | qepA-F | ATCACCATGGGCACGCTGGGCGAC | [30] |
| qepA-R | TGCCCCGCGTCCGGATCACGATAC | ||
| gyrA | gyrA-F | ATGAGCGATCTTGCAAAAGAGATC | This study |
| gyrA-R | TTATTCTTCAGATGAATCGCCCTGC | ||
| gyrB | gyrB-F | GTGCTTAAAGGCCTCGATGC | This study |
| gyrB-R | CTAGATTTGCATTTAGAGCATTCGC | ||
| parC | parC-F | GACCGATATGACAATGGA | This study |
| parC-R | TCTTCTTCAGGTGTTTCTGG | ||
| parE | parE-F | ATGACAGATCAAAGTTATAACGCTG | This study |
| parE-R | TTACATCTCAGCCATATCGCCT |
| Level of Quinolone Resistance | Strains | MIC (μg/mL) * | Mutations in QRDRs | Other Mutations | PMQR | |||||||
|---|---|---|---|---|---|---|---|---|---|---|---|---|
| NAL | PIP | NOR | CIP | MOX | GAT | GyrA | GyrB | ParC | ||||
| ATCC 25922 | 4 | 2 | 0.03 | 0.015 | 0.06 | 0.015 | - | - | - | - | - | |
| High-level resistance | XS13 | >512 | >512 | 16 | 32 | 32 | 32 | 83 (Ser → Ile) | - | 80 (Ser → Phe) | ParC:697 (Ala → Ser) | - |
| XS14 | >512 | >512 | 32 | 16 | 32 | 32 | 83 (Ser → Ile) | - | 80 (Ser → Phe) | ParC:697 (Ala → Ser) | - | |
| XS03 | >512 | >512 | 8 | 16 | 16 | 4 | 83 (Ser → Ile) | - | 80 (Ser → Phe) | GyrA:154 (His → Gln) | - | |
| XS55 | >512 | 256 | 4 | 16 | 16 | 2 | 83 (Ser → Ile) | - | 80 (Ser → Tyr) | - | qnrS2 | |
| XS19 | >512 | 256 | 8 | 4 | 8 | 2 | 83 (Ser → Ile) | - | 80 (Ser → Tyr) | - | - | |
| XS20 | >512 | 256 | 8 | 8 | 16 | 2 | 83 (Ser → Ile) | - | 80 (Ser → Tyr) | - | qnrS2 | |
| XS57 | >512 | 256 | 4 | 16 | 8 | 4 | 83 (Ser → Ile) | - | 80 (Ser → Tyr) | - | qnrS2 | |
| XS15 | 512 | 256 | 8 | 16 | 32 | 4 | 83 (Ser → Ile) | - | 80 (Ser → Phe) | GyrA:154 (His → Gln) 141 (Asp → Glu); GyrB:630 (Val → Ala), 655 (Ser → Asn); ParC:459 (Thr → Ser) | qnrS2 | |
| XS05 | 512 | 256 | 8 | 16 | 32 | 4 | 83 (Ser → Ile) | - | 80 (Ser → Tyr) | - | qnrS2 | |
| XS21 | 512 | 256 | 16 | 16 | 32 | 8 | 83 (Ser → Ile) | - | 80 (Ser → Tyr) | GyrB:613 (Pro → Leu) | qnrS2 | |
| XS17 | 512 | 256 | 16 | 16 | 16 | 8 | 83 (Ser → Ile) | - | 80 (Ser → Tyr) | - | qnrS2 | |
| XS04 | 512 | 256 | 8 | 4 | 16 | 4 | 83 (Ser → Ile) | - | 80 (Ser → Phe) | GyrA:154 (His → Gln) | - | |
| XS23 | 512 | 256 | 8 | 8 | 16 | 2 | 83 (Ser → Ile) | - | 80 (Ser → Phe) | ParC:556 (Glu → Lys) | qnrS2 | |
| XS60 | 512 | 128 | 2 | 4 | 8 | 2 | 83 (Ser → Ile) | - | 80 (Ser → Tyr) | - | qnrS2 | |
| XS61 | 512 | 128 | 2 | 4 | 8 | 2 | 83 (Ser → Ile) | - | 80 (Ser → Tyr) | - | qnrS2 | |
| XS25 | 512 | 64 | 4 | 2 | 4 | 2 | 83 (Ser → Ile) | - | 80 (Ser → Tyr) | - | qnrS2 | |
| XS56 | 256 | >512 | 0.25 | 1 | 2 | 0.25 | 83 (Ser → Ile) | - | 80 (Ser → Tyr) | - | qnrS2 | |
| XS62 | 128 | 64 | 2 | 2 | 4 | 1 | - | - | - | ParC:475 (Asp → Asn) | qnrS2 | |
| Moderate resistance | XS27 | 8 | 2 | 0.125 | 0.02 | 0.25 | 0.02 | - | - | - | GyrB:717 (Ala → Val) | qnrS2 |
| XS24 | 8 | 1 | 0.125 | 0.02 | 0.125 | 0.02 | - | - | - | - | qnrS2 | |
| XS58 | 4 | 16 | 2 | 0.25 | 0.5 | 0.25 | - | - | - | - | qnrS2 | |
| XS44 | 4 | 16 | 0.125 | 0.02 | 0.9 | 0.008 | - | - | - | - | qnrS2 | |
| YZ05 | 4 | 8 | 0.06 | 0.06 | 0.25 | 0.125 | - | - | - | - | qnrS2 | |
| XS46 | 4 | 8 | 0.125 | 0.06 | 0.25 | 0.06 | - | - | - | - | qnrS2 | |
| XS53 | 4 | 4 | 0.125 | 0.25 | 0.25 | 0.03 | - | - | - | - | qnrS2 | |
| XS45 | 4 | 4 | 0.125 | 0.125 | 0.25 | 0.06 | - | - | - | - | qnrS2 | |
| XS10 | 4 | 2 | 0.125 | 0.004 | 0.125 | 0.02 | - | - | - | GyrB:717 (Ala → Val) | qnrS2 | |
| XS41 | 4 | 1 | 0.125 | 0.02 | 0.06 | 0.02 | - | - | - | - | qnrS2 | |
| XS08 | 4 | 4 | 0.06 | 0.03 | 0.25 | 0.03 | - | - | - | ParC:697 (Ala → Ser) | qnrS2 | |
| XS43 | 2 | 8 | 0.125 | 0.25 | 0.9 | 0.03 | - | - | - | - | qnrS2 | |
| XS18 | 2 | 1 | 0.25 | 0.03 | 0.25 | 0.03 | - | - | - | - | qnrS2 | |
| XS50 | 2 | 4 | 0.125 | 0.125 | 0.4 | 0.03 | - | - | - | - | qnrS2 | |
| XS42 | 1 | 8 | 0.25 | 0.25 | 0.9 | 0.06 | - | - | - | - | qnrS2 | |
| XS28 | 1 | 1 | 0.125 | 0.03 | 0.125 | 0.03 | - | - | - | - | qnrS2 | |
| YZ02 | 4 | 8 | 0.25 | 0.5 | 2 | 0.125 | - | - | - | - | qnrS2 + aac(6′)-Ib-cr | |
| YZ04 | 2 | 1 | 0.06 | 0.06 | 0.125 | 0.06 | - | - | - | - | qnrB7 + aac(6′)-Ib-cr | |
| XS12 | 8 | 4 | 0.125 | 0.02 | 0.25 | 0.02 | - | - | - | GyrA:224 (Ser → Asn); GyrB:585 (Gly → Ser) | - | |
| XS33 | 8 | 2 | 0.06 | 0.008 | 0.25 | 0.02 | - | - | - | - | - | |
| XS26 | 4 | 4 | 0.25 | 0.125 | 0.5 | 0.125 | - | - | - | - | - | |
| YZ06 | 4 | 2 | 0.06 | 0.008 | 0.125 | 0.06 | - | - | - | - | - | |
| XS31 | 1 | 8 | 0.25 | 0.25 | 0.125 | 0.25 | - | - | - | - | - | |
| Sensitive | XS47 | 8 | 4 | 0.03 | 0.03 | 0.125 | 0.03 | - | - | - | - | qnrS2 |
| XS22 | 8 | 4 | 0.06 | 0.03 | 0.06 | 0.03 | - | - | - | - | qnrS2 | |
| XS11 | 8 | 2 | 0.02 | 0.008 | 0.125 | 0.008 | - | - | - | - | qnrS2 | |
| XS48 | 4 | 4 | 0.06 | 0.02 | 0.125 | 0.02 | - | - | - | - | qnrS2 | |
| XS07 | 4 | 2 | 0.03 | 0.008 | 0.06 | 0.002 | - | - | - | - | qnrS2 | |
| XS09 | 4 | 4 | 0.02 | 0.03 | 0.03 | 0.002 | - | - | - | - | qnrS2 | |
| XS52 | 2 | 2 | 0.02 | 0.02 | 0.06 | 0.02 | - | - | - | - | qnrS2 | |
| XS51 | 1 | 4 | 0.03 | 0.02 | 0.125 | 0.02 | - | - | - | - | qnrS2 | |
| XS59 | 1 | 1 | 0.001 | 0.02 | 0.06 | 0.002 | - | - | - | - | qnrS2 | |
| XS49 | 0.5 | 1 | 0.008 | 0.004 | 0.03 | 0.002 | - | - | - | - | qnrS2 | |
| XS54 | 0.125 | 0.01 | 0.004 | 0.002 | 0.004 | 0.002 | - | - | - | - | qnrS2 | |
| XS06 | 8 | 2 | 0.06 | 0.03 | 0.125 | 0.02 | - | - | - | - | - | |
| XS16 | 8 | 2 | 0.02 | 0.002 | 0.125 | 0.02 | - | - | - | - | - | |
| YZ01 | 8 | 1 | 0.06 | 0.008 | 0.125 | 0.008 | - | - | - | - | - | |
| XS38 | 8 | 2 | 0.03 | 0.008 | 0.125 | 0.008 | - | - | - | - | - | |
| XS63 | 8 | 1 | 0.03 | 0.008 | 0.03 | 0.008 | - | - | - | - | - | |
| XS01 | 8 | 4 | 0.008 | 0.001 | 0.02 | 0.002 | - | - | - | - | - | |
| YZ03 | 4 | 1 | 0.03 | 0.004 | 0.03 | 0.004 | - | - | - | - | - | |
| XS29 | 4 | 0.125 | 0.008 | 0.004 | 0.02 | 0.002 | - | - | - | - | - | |
| XS34 | 2 | 0.5 | 0.02 | 0.002 | 0.03 | 0.004 | - | - | - | - | - | |
| XS37 | 2 | 4 | 0.002 | 0.004 | 0.02 | 0.004 | - | - | - | - | - | |
| XS36 | 2 | 0.25 | 0.008 | 0.002 | 0.008 | 0.002 | - | - | - | - | - | |
| XS02 | 1 | 2 | 0.008 | 0.008 | 0.008 | 0.03 | - | - | - | - | - | |
Disclaimer/Publisher’s Note: The statements, opinions and data contained in all publications are solely those of the individual author(s) and contributor(s) and not of MDPI and/or the editor(s). MDPI and/or the editor(s) disclaim responsibility for any injury to people or property resulting from any ideas, methods, instructions or products referred to in the content. |
© 2025 by the authors. Licensee MDPI, Basel, Switzerland. This article is an open access article distributed under the terms and conditions of the Creative Commons Attribution (CC BY) license (https://creativecommons.org/licenses/by/4.0/).
Share and Cite
Yang, X.; Shen, C.; Zhou, S.; Jin, L.; Wang, Y.; Yin, F. Quinolone Resistance and Prevalence of the Related Genes in Photobacterium damselae subsp. damselae Recovered from Diseased Fish in Eastern China. Fishes 2025, 10, 280. https://doi.org/10.3390/fishes10060280
Yang X, Shen C, Zhou S, Jin L, Wang Y, Yin F. Quinolone Resistance and Prevalence of the Related Genes in Photobacterium damselae subsp. damselae Recovered from Diseased Fish in Eastern China. Fishes. 2025; 10(6):280. https://doi.org/10.3390/fishes10060280
Chicago/Turabian StyleYang, Xiangyun, Chen Shen, Suming Zhou, Liyun Jin, Yajun Wang, and Fei Yin. 2025. "Quinolone Resistance and Prevalence of the Related Genes in Photobacterium damselae subsp. damselae Recovered from Diseased Fish in Eastern China" Fishes 10, no. 6: 280. https://doi.org/10.3390/fishes10060280
APA StyleYang, X., Shen, C., Zhou, S., Jin, L., Wang, Y., & Yin, F. (2025). Quinolone Resistance and Prevalence of the Related Genes in Photobacterium damselae subsp. damselae Recovered from Diseased Fish in Eastern China. Fishes, 10(6), 280. https://doi.org/10.3390/fishes10060280

