Deep Learning and Survival Analysis Reveal Foraging-Driven Habitat Use in Pacific Saury Fisheries
Abstract
1. Introduction
2. Materials and Methods
2.1. Data and Preprocessing
2.1.1. Fishery Data
2.1.2. Environmental Data
2.1.3. Refined Operational State Classification
- (1)
- Sailing (State 1): Characterized by high and stable transit speed (10–16 knots, consistent with 95% of AIS transit records from the 10 vessels) and minimal heading fluctuations (±20°). This state primarily occurred during local daytime (06:00 a.m.–14:00 p.m.) for long-distance travel to target fishing grounds, with an average daily displacement exceeding 50 nautical miles (WGS84 coordinate system, 1 nautical mile ≈ 1.852 km). Brief nighttime sailing may occur if the local fish abundance is insufficient, as confirmed by observer logs.
- (2)
- Fish Searching (State 2): Operated at lower speeds (3–10 knots) than sailing, with larger heading variations (±50°) due to active acoustic detection (fish finders) for saury schools. It mainly occurs between 12:00 a.m. and 16:00 p.m. local time (pre-fishing preparation window) but persists throughout the fishing process. Sudden turns in trajectories were a key identifier, reflecting real-time adjustments to potential prey patches.
- (3)
- Decelerating (State 3): Triggered by fish school detection, with speed gradually reduced to 3–6 knots and more extreme heading fluctuations (>60°) than fish searching. Most common during 16:00 p.m.–18:00 p.m. (pre-fishing positioning) but may continue during fishing. The narrow activity range (≤5 nautical miles) supports fine-tuning of vessel position for subsequent fish aggregation (distinguished from Positioning Adjustment by larger heading changes and absence of gear deployment).
- (4)
- Drifting (State 4): Low-speed operation (0–1.0 knots) with minor heading changes, distinguishable from other low-speed states by context: nighttime drifting (18:00 p.m.–22:00 p.m.) uses full fish-luring lights (observer-verified) to attract schools, with duration adjusted by fish density; daytime drifting (06:00 a.m.–16:00 p.m.) occurs for crew rest or transshipment (no luring lights/gear activity).
- (5)
- Fishing (State 5): The core operational state, occurring at night (19:00 p.m.–06:00 a.m.) with net deployment/hauling alongside the vessel. Speed ranges from 0.1 to 2.6 knots (with occasional 2.0–2.8 knots during single net hauls, per AIS trajectory statistics) and heading fluctuates widely (0–360°) due to gear manipulation. This state is the primary target for fishing event identification in Section 2.2 (distinguished from Drifting by active gear signals and irregular low-speed maneuvers; resolves 20:00 p.m.–22:00 p.m. overlap via light and net activity and logbook-confirmed non-zero catch).
- (6)
- Weather-Avoidance Sailing (State 6): Activated when wave heights exceed 2.5 m (consistent with NPFC safety protocols), with speed gradually increasing from 2 knots to speeds exceeding 10 knots. Trajectories appear as straight or segmented lines, reflecting active relocation to calmer waters.
- (7)
- Weather-Avoidance Drifting (State 7): Also triggered by wave heights > 2.5 m, but vessels remain stationary with speed < 2 knots (no relocation), as recorded in observer logs during moderate storm events.
- (8)
- Positioning Adjustment (State 8): Encompassed transitional activities (fish school relocation, net deployment/retrieval, bow direction adjustment, light configuration modification) with speed stabilized at 3–5 knots. It was distinguished from other mid-speed states (e.g., Decelerating) by minimal heading fluctuations (<30°) and short duration (<1 h per event).
2.2. Identification of Fishing Events: Threshold vs. Deep Learning
2.2.1. Threshold Method (Baseline)
2.2.2. Deep Learning Model: CNN-LSTM-SE Architecture
2.3. Ensemble Habitat Suitability Modeling (ESDM)
2.4. Fishing Strategy and Behavioral Response Analysis
2.4.1. Fishing Bout Definition and Aggregation
2.4.2. Habitat Classification
- Non suitable: HSI < 0.4
- Low suitability: 0.4 ≤ HSI < 0.6
- Moderate suitability: 0.6 ≤ HSI < 0.8
- High suitability: HSI ≥ 0.8 [35].
2.4.3. Bout Duration Analysis
2.4.4. Survival Analysis of Fishing Persistence
3. Results
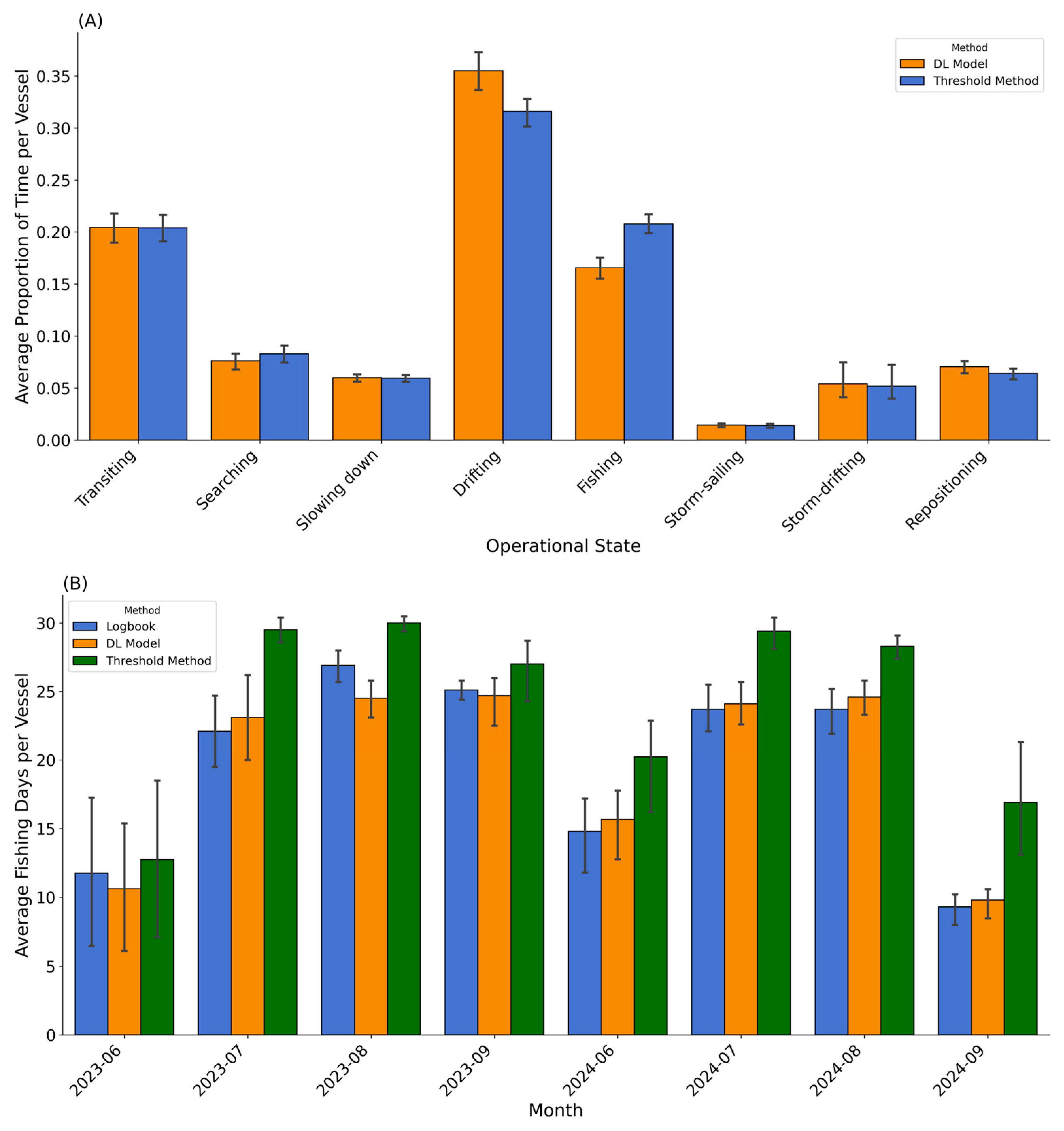
3.1. CNN-LSTM-SE Model Performance and Validation of Fishing Effort Metrics
3.1.1. Model Performance Validation
3.1.2. Validation of Fishing Effort Metrics
3.1.3. Relationship Between Fishing Duration and Catch
3.2. Spatiotemporal Dynamics of Pacific Saury’s Suitable Habitat and Its Environmental Drivers
3.2.1. Spatiotemporal Evolution of Suitable Habitats
3.2.2. Key Environmental Drivers of Habitat Dynamics
3.2.3. Response Curves and Optimal Ranges
3.3. Fishing Strategy as a Response to Habitat Quality
3.3.1. Fishing Effort Allocation and Bout Duration
3.3.2. Fishing Persistence: Kaplan–Meier Survival Analysis
3.3.3. HSI Correlation with Catch and Integrated Visualization
4. Discussion
4.1. Model Accuracy, Data Source Innovation, and Reliability
4.2. Ecological Driving Mechanisms of Habitat Spatiotemporal Dynamics
4.3. Fishing Behavior as Empirical Evidence for Optimal Foraging
4.4. Implications for Dynamic Ocean Management and Future Outlook
5. Conclusions
Author Contributions
Funding
Institutional Review Board Statement
Informed Consent Statement
Data Availability Statement
Acknowledgments
Conflicts of Interest
References
- Guisan, A.; Zimmermann, N.E. Predictive habitat distribution models in ecology. Ecol. Model. 2000, 135, 147–186. [Google Scholar] [CrossRef]
- Pinsky, M.L.; Worm, B.; Fogarty, M.J.; Sarmiento, J.L.; Levin, S.A. Marine taxa track local climate velocities. Science 2013, 341, 1239–1242. [Google Scholar] [CrossRef] [PubMed]
- Cheung, W.W.; Sarmiento, J.L.; Dunne, J.; Frölicher, T.L.; Lam, V.W.; Deng Palomares, M.; Watson, R.; Pauly, D. Shrinking of fishes exacerbates impacts of global ocean changes on marine ecosystems. Nat. Clim. Chang. 2013, 3, 254–258. [Google Scholar] [CrossRef]
- Starko, S.; Epstein, G.; Chalifour, L.; Bruce, K.; Buzzoni, D.; Csordas, M.; Dimoff, S.; Hansen, R.; Maucieri, D.; McHenry, J. Ecological responses to extreme climatic events: A systematic review of the 2014–2016 Northeast Pacific marine heatwave. Oceanogr. Mar. Biol. Annu. Rev. 2025, 63, 42–96. [Google Scholar] [CrossRef]
- Tian, Y.; Akamine, T.; Suda, M. Modeling the influence of oceanic-climatic changes on the dynamics of Pacific saury in the northwestern Pacific using a life cycle model. Fish. Oceanogr. 2004, 13, 125–137. [Google Scholar] [CrossRef]
- Hsu, J.; Chang, Y.-J.; Brodziak, J.; Kai, M.; Punt, A.E. On the probable distribution of stock-recruitment resilience of Pacific saury (Cololabis saira) in the Northwest Pacific Ocean. ICES J. Mar. Sci. 2024, 81, 748–759. [Google Scholar] [CrossRef]
- Yatsu, A.; Yukami, R.; Sakurai, Y.; Watanabe, K. Reconsideration of Parapatric Distribution Between Pacific Saury (Cololabis saira) and Japanese Sardine (Sardinops melanostictus) in the Western North Pacific Ocean: Comparisons of Two Long-Term Field Survey Results. Fish. Oceanogr. 2025, 34, e12733. [Google Scholar] [CrossRef]
- Cao, C.; Ma, S.; Liu, Y.; Tian, H.; Liu, S.; Li, J.; Tian, Y. Non-stationary response of Pacific saury (Cololabis saira) in the northwestern Pacific to climate variability. Front. Mar. Sci. 2025, 12, 1561066. [Google Scholar] [CrossRef]
- Lambert, C.; Virgili, A.; Pettex, E.; Delavenne, J.; Toison, V.; Blanck, A.; Ridoux, V. Habitat modelling predictions highlight seasonal relevance of Marine Protected Areas for marine megafauna. Deep Sea Res. Part II 2017, 141, 262–274. [Google Scholar] [CrossRef]
- Pilling, G.M.; Apostolaki, P.; Failler, P.; Floros, C.; Large, P.A.; Morales-Nin, B.; Reglero, P.; Stergiou, K.I.; Tsikliras, A.C. Assessment and management of data-poor fisheries. Adv. Fish. Sci. 2009, 50, 280–305. [Google Scholar] [CrossRef]
- Chang, S.-K.; Yuan, T.-L. Deriving high-resolution spatiotemporal fishing effort of large-scale longline fishery from vessel monitoring system (VMS) data and validated by observer data. Can. J. Fish. Aquat. Sci. 2014, 71, 1363–1370. [Google Scholar] [CrossRef]
- Sun, Y.; Lian, F.; Yang, Z. Analysis of the activities of high sea fishing vessels from China, Japan, and Korea via AIS data mining. Ocean Coast. Manag. 2023, 242, 106690. [Google Scholar] [CrossRef]
- Cheng, X.; Wang, J.; Chen, X.; Zhang, F. Attention-enhanced and integrated deep learning approach for fishing vessel classification based on multiple features. Sci. Rep. 2025, 15, 8642. [Google Scholar] [CrossRef] [PubMed]
- Zhang, J.; Zhang, S.; Wang, S.; Yang, Y.; Dai, Y.; Xiong, Y. Recognition of Acetes chinensis fishing vessel based on 3-2D integration model behavior. South China Fish. Sci. 2022, 18, 126–135. [Google Scholar] [CrossRef]
- Xiang, D.; Sun, Y.; Zhu, H.; Wang, J.; Huang, S.; Zhang, S.; Zhang, F.; Zhang, H. Comparative Analysis of Prediction Models for Trawling Grounds of the Argentine Shortfin Squid Illex argentinus in the Southwest Atlantic High Seas Based on Vessel Position and Fishing Log Data. Biology 2025, 14, 35. [Google Scholar] [CrossRef] [PubMed]
- Shi, Y.; Yan, L.; Zhang, S.; Tang, F.; Yang, S.; Fan, W.; Han, H.; Dai, Y. Revealing the effects of environmental and spatio-temporal variables on changes in Japanese sardine (Sardinops melanostictus) high abundance fishing grounds based on interpretable machine learning approach. Front. Mar. Sci. 2025, 11, 1503292. [Google Scholar] [CrossRef]
- Jiang, B.; Zhou, W. Fishing operation type recognition based on multi-branch convolutional neural network using trajectory data. PeerJ Comput. Sci. 2025, 11, e3020. [Google Scholar] [CrossRef]
- Sun, A.; Hong, W.; Li, J.; Mao, J. An Arrhythmia Classification Model Based on a CNN-LSTM-SE Algorithm. Sensors 2024, 24, 6306. [Google Scholar] [CrossRef]
- Zhang, C.; Luo, Z.; Rezgui, Y.; Zhao, T. Enhancing multi-scenario data-driven energy consumption prediction in campus buildings by selecting appropriate inputs and improving algorithms with attention mechanisms. Energy Build. 2024, 311, 114133. [Google Scholar] [CrossRef]
- Zhu, H.; Sun, Y.; Li, Y.; Xiang, D.; Gao, M.; Zhang, F.; Wang, J.; Huang, S.; Zhang, H.; Li, L. Habitat Shifts in the Pacific Saury (Cololabis saira) Population in the High Seas of the North Pacific Under Medium-to-Long-Term Climate Scenarios Based on Vessel Position Data and Ensemble Species Distribution Models. Animals 2025, 15, 2828. [Google Scholar] [CrossRef]
- Araújo, M.B.; New, M. Ensemble forecasting of species distributions. Trends Ecol. Evol. 2007, 22, 42–47. [Google Scholar] [CrossRef]
- Kaplan, E.L.; Meier, P. Nonparametric estimation from incomplete observations. J. Am. Stat. Assoc. 1958, 53, 457–481. [Google Scholar] [CrossRef]
- Asher, L.; Harvey, N.D.; Green, M.; England, G.C. Application of survival analysis and multistate modeling to understand animal behavior: Examples from guide dogs. Front. Vet. Sci. 2017, 4, 116. [Google Scholar] [CrossRef]
- Wiegrebe, S.; Kopper, P.; Sonabend, R.; Bischl, B.; Bender, A. Deep learning for survival analysis: A review. Artif. Intell. Rev. 2024, 57, 65. [Google Scholar] [CrossRef]
- Orjollet-Lacomme, T.; Friedman, J.; Pérez-Escudero, A. Optimal foraging for simple organisms, the single-input marginal value theorem. bioRxiv 2025. bioRxiv:2025.2004.2004.647000. [Google Scholar] [CrossRef]
- Fuji, T.; Miyamoto, H.; Abo, J.I.; Watai, M. Distributions of larvae and juveniles of Pacific saury Cololabis saira during winter in relation to oceanographic structures in the central and western North Pacific Ocean. Fish. Oceanogr. 2025, 34, e12697. [Google Scholar] [CrossRef]
- Tian, Y.; Akamine, T.; Suda, M. Variations in the abundance of Pacific saury (Cololabis saira) from the northwestern Pacific in relation to oceanic-climate changes. Fish. Res. 2003, 60, 439–454. [Google Scholar] [CrossRef]
- Huang, W.-B.; Lo, N.C.; Chiu, T.-S.; Chen, C.-S. Geographical distribution and abundance of Pacific saury, Cololabis saira (Brevoort) (Scomberesocidae), fishing stocks in the Northwestern Pacific in relation to sea temperatures. Zool. Stud. 2007, 46, 705. [Google Scholar]
- Sun, Y.; Zhang, H.; Jiang, K.; Xiang, D.; Shi, Y.; Huang, S.; Li, Y.; Han, H. Simulating the changes of the habitats suitability of chub mackerel (Scomber japonicus) in the high seas of the North Pacific Ocean using ensemble models under medium to long-term future climate scenarios. Mar. Pollut. Bull. 2024, 207, 116873. [Google Scholar] [CrossRef]
- Xiang, D.; Sun, Y.; Zhu, H.; Wang, J.; Huang, S.; Han, H.; Zhang, S.; Shang, C.; Zhang, H. Prediction of the relative resource abundance of the Argentine shortfin squid Illex argentinus in the high sea in the southwest Atlantic based on a deep learning model. Animals 2024, 14, 3106. [Google Scholar] [CrossRef]
- Gong, Y.; Wu, H.; Zhou, J.; Zhang, L.; Zhang, Y. Hybrid SE-attention-CNN-LSTM network for hydraulic turbine water guide bearing temperature prediction in hydropower generation station. Trans. Inst. Meas. Control 2025, 1–10. [Google Scholar] [CrossRef]
- Drake, J.M. Ensemble algorithms for ecological niche modeling from presence-background and presence-only data. Ecosphere 2014, 5, 1–16. [Google Scholar] [CrossRef]
- Zhao, G.; Cui, X.; Sun, J.; Li, T.; Wang, Q.; Ye, X.; Fan, B. Analysis of the distribution pattern of Chinese Ziziphus jujuba under climate change based on optimized biomod2 and MaxEnt models. Ecol. Indic. 2021, 132, 108256. [Google Scholar] [CrossRef]
- Allouche, O.; Tsoar, A.; Kadmon, R. Assessing the accuracy of species distribution models: Prevalence, kappa and the true skill statistic (TSS). J. Appl. Ecol. 2006, 43, 1223–1232. [Google Scholar] [CrossRef]
- Song, L.; Zhou, Y. Developing an integrated habitat index for bigeye tuna (Thunnus obesus) in the Indian Ocean based on longline fisheries data. Fish. Res. 2010, 105, 63–74. [Google Scholar] [CrossRef]
- Teal, L.R.; Marras, S.; Peck, M.A.; Domenici, P. Physiology-based modelling approaches to characterize fish habitat suitability: Their usefulness and limitations. Estuar. Coast. Shelf Sci. 2018, 201, 56–63. [Google Scholar] [CrossRef]
- Hazen, E.L.; Scales, K.L.; Maxwell, S.M.; Briscoe, D.K.; Welch, H.; Bograd, S.J.; Bailey, H.; Benson, S.R.; Eguchi, T.; Dewar, H. A dynamic ocean management tool to reduce bycatch and support sustainable fisheries. Sci. Adv. 2018, 4, eaar3001. [Google Scholar] [CrossRef]
- Zhang, H.; Sun, Y.; Zhu, H.; Xiang, D.; Wang, J.; Zhang, F.; Huang, S.; Li, Y. Simulation and Identification of the Habitat of Antarctic Krill Based on Vessel Position Data and Integrated Species Distribution Model: A Case Study of Pumping-Suction Beam Trawl Fishing Vessels. Animals 2025, 15, 1557. [Google Scholar] [CrossRef]
- Dowling, N.; Dichmont, C.; Haddon, M.; Smith, D.; Smith, A.; Sainsbury, K. Empirical harvest strategies for data-poor fisheries: A review of the literature. Fish. Res. 2015, 171, 141–153. [Google Scholar] [CrossRef]
- Dreyfus-Leon, M.J. Individual-based modelling of fishermen search behaviour with neural networks and reinforcement learning. Ecol. Model. 1999, 120, 287–297. [Google Scholar] [CrossRef]
- Bertrand, S.; Bertrand, A.; Guevara-Carrasco, R.; Gerlotto, F. Scale-invariant movements of fishermen: The same foraging strategy as natural predators. Ecol. Appl. 2007, 17, 331–337. [Google Scholar] [CrossRef]
- Chang, Y.J.; Lan, K.W.; Walsh, W.A.; Hsu, J.; Hsieh, C.H. Modelling the impacts of environmental variation on habitat suitability for Pacific saury in the Northwestern Pacific Ocean. Fish. Oceanogr. 2019, 28, 291–304. [Google Scholar] [CrossRef]
- Liu, S.; Zhang, H.; Yang, C.; Fang, Z. Differences in habitat distribution of Sardinops melanostictus and Scomber japonicus in the northwest Pacific based on a maximum entropy model. J. Shanghai Ocean Univ. 2023, 32, 806–817. [Google Scholar] [CrossRef]
- Charnov, E.L. Optimal foraging, the marginal value theorem. Theor. Popul. Biol. 1976, 9, 129–136. [Google Scholar] [CrossRef] [PubMed]
- Pinsky, M.L.; Selden, R.L.; Kitchel, Z.J. Climate-driven shifts in marine species ranges: Scaling from organisms to communities. Annu. Rev. Mar. Sci. 2020, 12, 153–179. [Google Scholar] [CrossRef] [PubMed]











| Month | Variable | Peak HSI | Optimal Value (Range) | Unit |
|---|---|---|---|---|
| 2023-06 | SST | 0.322 | 6.7(3.1~9.2) | (°C) |
| 2023-06 | SSS | 0.3649 | 32.5 (32.0~32.9) | (‰) |
| 2023-06 | SSH | 0.3791 | 1.1 (0.3~1.1) | (m) |
| 2023-06 | MLD | 0.4247 | 28.4 (20.2~36.6) | (m) |
| 2023-06 | DO | 0.3118 | 211.3 (211.3~398.4) | (mmol/m3) |
| 2023-06 | CV | 0.4486 | 0.9 (−0.6~0.9) | (m/s) |
| 2023-06 | CHL | 0.8424 | 1.3 (0.6~2.0) | (mg/m3) |
| 2023-07 | SST | 0.5392 | 10.5 (6.3~10.5) | (°C) |
| 2023-07 | SSS | 0.4523 | 34.7 (33.9~35.4) | (‰) |
| 2023-07 | SSH | 0.2287 | −0.3 (−0.3~−0.2) | (m) |
| 2023-07 | MLD | 0.3477 | 14.3 (13.7~14.9) | (m) |
| 2023-07 | DO | 0.4248 | 229.3 (202.1~256.4) | (mmol/m3) |
| 2023-07 | CV | 0.1307 | −0.8 (−0.8~0.9) | (m/s) |
| 2023-07 | CHL | 0.2199 | 0.5 (0.4~0.6) | (mg/m3) |
| 2023-08 | SST | 0.8554 | 19.1 (17.9~20.3) | (°C) |
| 2023-08 | SSS | 0.8581 | 33.6 (32.0~35.3) | (‰) |
| 2023-08 | SSH | 1.0431 | −0.2 (−0.4~−0.0) | (m) |
| 2023-08 | MLD | 0.8605 | 14.6 (12.7~16.5) | (m) |
| 2023-08 | DO | 0.8729 | 277.8 (228.5~327.1) | (mmol/m3) |
| 2023-08 | CV | 0.8919 | 0.4 (−0.2~0.9) | (m/s) |
| 2023-08 | CHL | 0.8571 | 1.1 (0.1~2.0) | (mg/m3) |
| 2023-09 | SST | 0.8384 | 22.3 (19.7~26.9) | (°C) |
| 2023-09 | SSS | 0.6281 | 32.6 (32.0~33.2) | (‰) |
| 2023-09 | SSH | 0.8704 | −0.1 (−0.4~−0.1) | (m) |
| 2023-09 | MLD | 0.8041 | 15.9 (13.6~18.2) | (m) |
| 2023-09 | DO | 0.6987 | 288.4 (250.0~326.7) | (mmol/m3) |
| 2023-09 | CV | 0.5863 | 0.3 (−0.3~0.8) | (m/s) |
| 2023-09 | CHL | 0.6556 | 0.4 (0.1~0.4) | (mg/m3) |
| 2024-06 | SST | 0.6783 | 6.4 (5.5~7.4) | (°C) |
| 2024-06 | SSS | 0.4283 | 34.4 (33.6~35.2) | (‰) |
| 2024-06 | SSH | 0.4274 | 1.2 (−0.4~1.2) | (m) |
| 2024-06 | MLD | 0.4104 | 29.9 (24.8~35.0) | (m) |
| 2024-06 | DO | 0.4537 | 251.3 (210.2~292.5) | (mmol/m3) |
| 2024-06 | CV | 0.397 | 0.5 (0.5~0.9) | (m/s) |
| 2024-06 | CHL | 0.5876 | 0.6 (0.4~0.7) | (mg/m3) |
| 2024-07 | SST | 0.3539 | 7.7 (5.5~9.1) | (°C) |
| 2024-07 | SSS | 0.1197 | 35.4 (32.0~35.4) | (‰) |
| 2024-07 | SSH | 0.2892 | 1.2 (1.2~1.4) | (m) |
| 2024-07 | MLD | 0.2993 | 16.4 (15.6~17.2) | (m) |
| 2024-07 | DO | 0.1906 | 243.0 (200.8~243.0) | (mmol/m3) |
| 2024-07 | CV | 0.1347 | 0.4 (0.4~0.9) | (m/s) |
| 2024-07 | CHL | 0.0816 | 0.1 (0.1~0.1) | (mg/m3) |
| 2024-08 | SST | 0.8839 | 16.8 (14.9~18.6) | (°C) |
| 2024-08 | SSS | 0.9067 | 34.4 (32.0~34.4) | (‰) |
| 2024-08 | SSH | 0.9248 | −0.2 (−0.4~0.1) | (m) |
| 2024-08 | MLD | 0.9532 | 13.6 (13.6~23.1) | (m) |
| 2024-08 | DO | 0.9641 | 223.5 (197.0~250.0) | (mmol/m3) |
| 2024-08 | CV | 0.8677 | 0.2 (−0.5~0.9) | (m/s) |
| 2024-08 | CHL | 0.9193 | 1.1 (0.2~2.0) | (mg/m3) |
| 2024-09 | SST | 0.5338 | 18.2 (18.2~25.5) | (°C) |
| 2024-09 | SSS | 0.5872 | 32.2 (32.0~32.5) | (‰) |
| 2024-09 | SSH | 0.5295 | −0.2 (−0.4~−0.2) | (m) |
| 2024-09 | MLD | 0.1572 | 26.3 (17.9~34.7) | (m) |
| 2024-09 | DO | 0.1793 | 285.5 (262.7~328.4) | (mmol/m3) |
| 2024-09 | CV | 0.3749 | −0.4 (−1.0~−0.4) | (m/s) |
| 2024-09 | CHL | 0.3983 | 0.8 (0.3~1.4) | (mg/m3) |
Disclaimer/Publisher’s Note: The statements, opinions and data contained in all publications are solely those of the individual author(s) and contributor(s) and not of MDPI and/or the editor(s). MDPI and/or the editor(s) disclaim responsibility for any injury to people or property resulting from any ideas, methods, instructions or products referred to in the content. |
© 2025 by the authors. Licensee MDPI, Basel, Switzerland. This article is an open access article distributed under the terms and conditions of the Creative Commons Attribution (CC BY) license (https://creativecommons.org/licenses/by/4.0/).
Share and Cite
Zhu, H.; Zhang, F.; Gao, M.; Wang, J.; Huang, S.; Zhang, H.; Zhao, G. Deep Learning and Survival Analysis Reveal Foraging-Driven Habitat Use in Pacific Saury Fisheries. Fishes 2025, 10, 597. https://doi.org/10.3390/fishes10120597
Zhu H, Zhang F, Gao M, Wang J, Huang S, Zhang H, Zhao G. Deep Learning and Survival Analysis Reveal Foraging-Driven Habitat Use in Pacific Saury Fisheries. Fishes. 2025; 10(12):597. https://doi.org/10.3390/fishes10120597
Chicago/Turabian StyleZhu, Hanji, Famou Zhang, Ming Gao, Jianhua Wang, Sisi Huang, Heng Zhang, and Guoqing Zhao. 2025. "Deep Learning and Survival Analysis Reveal Foraging-Driven Habitat Use in Pacific Saury Fisheries" Fishes 10, no. 12: 597. https://doi.org/10.3390/fishes10120597
APA StyleZhu, H., Zhang, F., Gao, M., Wang, J., Huang, S., Zhang, H., & Zhao, G. (2025). Deep Learning and Survival Analysis Reveal Foraging-Driven Habitat Use in Pacific Saury Fisheries. Fishes, 10(12), 597. https://doi.org/10.3390/fishes10120597

