Comparison of the Effectiveness of Four Commercial DNA Extraction Kits on Fresh and Frozen Human Milk Samples
Abstract
:1. Introduction
2. Materials and Methods
Statistical Analysis
3. Results
3.1. 260/230. Ratio
3.2. 260/280. Ratio
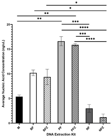
3.3. Nucleic Acid Concentration
4. Conclusions
Author Contributions
Funding
Institutional Review Board Statement
Informed Consent Statement
Data Availability Statement
Conflicts of Interest
References
- World Health Organization. Breastfeeding. 2022. Available online: https://www.who.int/health-topics/breastfeeding (accessed on 8 March 2022).
- Zong, X.; Wu, H.; Zhao, M.; Magnussen, C.G.; Xi, B. Global prevalence of WHO infant feeding practices in 57 LMICs in 2010–2018 and time trends since 2000 for 44 LMICs. eClinicalMedicine 2021, 37, 100971. [Google Scholar] [CrossRef] [PubMed]
- Ahluwalia, I.B.; Morrow, B.; Hsia, J. Why Do Women Stop Breastfeeding? Findings from the Pregnancy Risk Assessment and Monitoring System. Pediatrics 2005, 116, 1408. [Google Scholar] [CrossRef] [PubMed]
- Teich, A.S.; Barnett, J.; Bonuck, K. Women’s Perceptions of Breastfeeding Barriers in Early Postpartum Period: A Qualitative Analysis Nested in Two Randomized Controlled Trials. Breastfeed. Med. 2014, 9, 9. [Google Scholar] [CrossRef] [PubMed] [Green Version]
- Odom, E.C.; Li, R.; Scanlon, K.S.; Perrine, C.G.; Grummer-Strawn, L. Association of Family and Health Care Provider Opinion on Infant Feeding with Mother’s Breastfeeding Decision. J. Acad. Nutr. Diet. 2014, 114, 1203. [Google Scholar] [CrossRef] [PubMed] [Green Version]
- Paynter, M.J.; Goldberg, L. A critical review of human milk sharing using an intersectional feminist framework: Implications for practice. Midwifery 2018, 66, 141. [Google Scholar] [CrossRef] [PubMed]
- Eidelman, A.I. Informal Milk Sharing: To Be or Not to Be. Breastfeed. Med. 2018, 13, 1. [Google Scholar] [CrossRef] [PubMed]
- Updegrove, K.; Festival, J.; Hackney, R.; Jones, F.; Kelly, S.; Sakamoto, P.; Vickers, A. HMBANA Standards for Donor Human Milk Banking: An Overview. September 2020. Available online: https://www.hmbana.org/file_download/inline/95a0362a-c9f4-4f15-b9ab-cf8cf7b7b866 (accessed on 28 February 2022).
- Prolacta. Donate Breastmilk to Help Babies. 2022. Available online: https://www.prolacta.com/en/donors/donate-breastmilk-help-babies/ (accessed on 8 March 2022).
- Ni-Q. Donate Now. 2019. Available online: https://www.ni-q.com/donate-now/ (accessed on 8 March 2022).
- Fentiman, L.C. Marketing mothers’ milk: The commodification of breastfeeding and the new markets for breast milk and infant formula. Nev. Law J. 2010, 9, 29. [Google Scholar] [CrossRef]
- Keim, S.A.; Kulkarni, M.M.; McNamara, K.; Geraghty, S.R.; Billock, R.M.; Ronau, R.; Hogan, J.S.; Keiek, J.J. Cow’s milk contami-nation of human milk purchased via the internet. Pediatrics 2015, 135, e1157. [Google Scholar] [CrossRef] [PubMed] [Green Version]
- Mung, D.; Li, L. Applying quantitative metabolomics based on chemical isotope labeling LC-MS for detecting potential milk adulterant in human milk. Anal. Chim. Acta 2018, 1001, 78. [Google Scholar] [CrossRef] [PubMed]
- Ziegler, E.E. Adverse effect of cow’s milk in infants. Meat Dairy Prod. Complementary Feed. 2007, 60, 185. [Google Scholar]
- Darrow, D.C.; Cooke, R.E.; Segar, W.E. Water and electrolyte metabolism in infants fed cow’s milk mixtures during heat stress. Pediatrics 1954, 14, 602. [Google Scholar] [CrossRef] [PubMed]
- Prolacta Bioscience. Purity and Safety. 2022. Available online: https://www.prolacta.com/en/about-us/purity-and-safety/ (accessed on 2 June 2022).
- U.S. Food and Drug Administration. Use of Donor Human Milk. 2018. Available online: https://www.fda.gov/science-research/pediatrics/use-donor-human-milk (accessed on 7 June 2022).
- De Luca, M.; Ioele, G.; Spatari, C.; Caruso, L.; Galasso, M.P.; Ragno, G. Evaluation of human breastmilk adulteration by combining Fourier transform infrared spectroscopy and partial least square modeling. Food Sci. Nutr. 2019, 7, 2194. [Google Scholar] [CrossRef]
- Lyons, K.E.; Fouhy, F.; Shea, C.O.; Ryan, C.A.; Dempsey, E.M.; Ross, R.P.; Stanton, C. Effect of storage, temperature, and extraction kit on the phylogenetic composition detected in the human milk microbiota. MicrobiologyOpen 2020, 10, e1127. [Google Scholar] [CrossRef] [PubMed]
- Greathouse, K.L.; Sinha, R.; Vogtmann, E. DNA extraction for human microbiome studies: The issue of standardization. Genome Biol. 2019, 20, 212. [Google Scholar] [CrossRef] [Green Version]
- Norgen Biotek Corp. Milk DNA Preservation and Isolation Kit. 2022. Available online: https://norgenbiotek.com/product/milk-dna-preservation-and-isolation-kit (accessed on 28 February 2022).
- Ojo-Okunola, A.; Claassen-Weitz, S.; Mwaikono, K.S.; Gardner-Lubbe, S.; Zar, H.J.; Nicol, M.P.; du Toit, E. The influence of DNA extraction and lipid removal on human milk bacterial profiles. Methods Protoc. 2020, 3, 39. [Google Scholar] [CrossRef]
- Lackey, K.A.; Williams, J.E.; Price, W.J.; Carrothers, J.M.; Brooker, S.L.; Shafii, B.; McGuire, M.A.; McGuire, M.K. Comparison of commercially-available preservatives for maintaining the integrity of bacterial DNA in human milk. J. Microbiol. Methods 2017, 141, 73. [Google Scholar] [CrossRef] [PubMed]
- Cheema, A.; Stinson, L.; Lai, C.T.; Geddes, D.; Payne, M. DNA extraction method influences human milk bacterial profiles. J. Appl. Microbiol. 2020, 130, 142. [Google Scholar] [CrossRef] [PubMed]




| DNA Extraction Kit Name | Distributor | Catalog Number | Brief Protocol Description | Time to Completion | Samples Analyzed |
|---|---|---|---|---|---|
| Milk DNA Preservation and Isolation Kit (M) | Norgen Biotek Corp. | 44,800 | Initial preservation with proteinase K, purification additive, and isopropanol. Extraction with a silica-based spin column requiring binding, washing, and elution using a microcentrifuge and manufacturer-provided buffers. | 80 min (20 min hands on) | 10 fresh samples that had been purified and stored for 3 weeks at room temperature |
| E.Z.N.A.®® Blood DNA Mini Kit (B) | Omega Biotek | D3392 | Extraction with a silica-based column requiring binding, washing, and elution using a microcentrifuge and manufacturer-provided buffers. | 30 min hands on | 10 fresh and 10 frozen |
| Plasma/Serum Circulating DNA Purification Mini Kit (P) | Norgen Biotek Corp. | 50,600 | Extraction using a resin-based slurry to attract DNA followed by washing elution utilizing manufacturer provided elution buffer. | 30 min hands on | 10 fresh and 10 frozen |
| NucleoSpin Food Mini Kit for DNA from Food (N) | Macherey-Nagel | 740,945.50 | Extraction with a silica-based spin column requiring binding, washing, and elution using a microcentrifuge and manufacturer-provided buffers. | 30 min/6 preps hands on | 10 fresh and 10 frozen |
Publisher’s Note: MDPI stays neutral with regard to jurisdictional claims in published maps and institutional affiliations. |
© 2022 by the authors. Licensee MDPI, Basel, Switzerland. This article is an open access article distributed under the terms and conditions of the Creative Commons Attribution (CC BY) license (https://creativecommons.org/licenses/by/4.0/).
Share and Cite
Butler, C.; Matsumoto, A.; Rutherford, C.; Lima, H.K. Comparison of the Effectiveness of Four Commercial DNA Extraction Kits on Fresh and Frozen Human Milk Samples. Methods Protoc. 2022, 5, 63. https://doi.org/10.3390/mps5040063
Butler C, Matsumoto A, Rutherford C, Lima HK. Comparison of the Effectiveness of Four Commercial DNA Extraction Kits on Fresh and Frozen Human Milk Samples. Methods and Protocols. 2022; 5(4):63. https://doi.org/10.3390/mps5040063
Chicago/Turabian StyleButler, Cassidy, Amy Matsumoto, Casey Rutherford, and Hope K. Lima. 2022. "Comparison of the Effectiveness of Four Commercial DNA Extraction Kits on Fresh and Frozen Human Milk Samples" Methods and Protocols 5, no. 4: 63. https://doi.org/10.3390/mps5040063
APA StyleButler, C., Matsumoto, A., Rutherford, C., & Lima, H. K. (2022). Comparison of the Effectiveness of Four Commercial DNA Extraction Kits on Fresh and Frozen Human Milk Samples. Methods and Protocols, 5(4), 63. https://doi.org/10.3390/mps5040063

