Lateralization of FDG-PET Hypometabolism Using Resting-State fMRI in Temporal Lobe Epilepsy: A Simultaneous PET-MRI Study
Simple Summary
Abstract
1. Introduction
2. Materials and Methods
2.1. Patient Scanning and Selection
2.2. FDG-PET Analysis
2.3. Resting-State fMRI Processing
2.4. Contralateral Asymmetry Analysis
2.5. Statistical Analysis
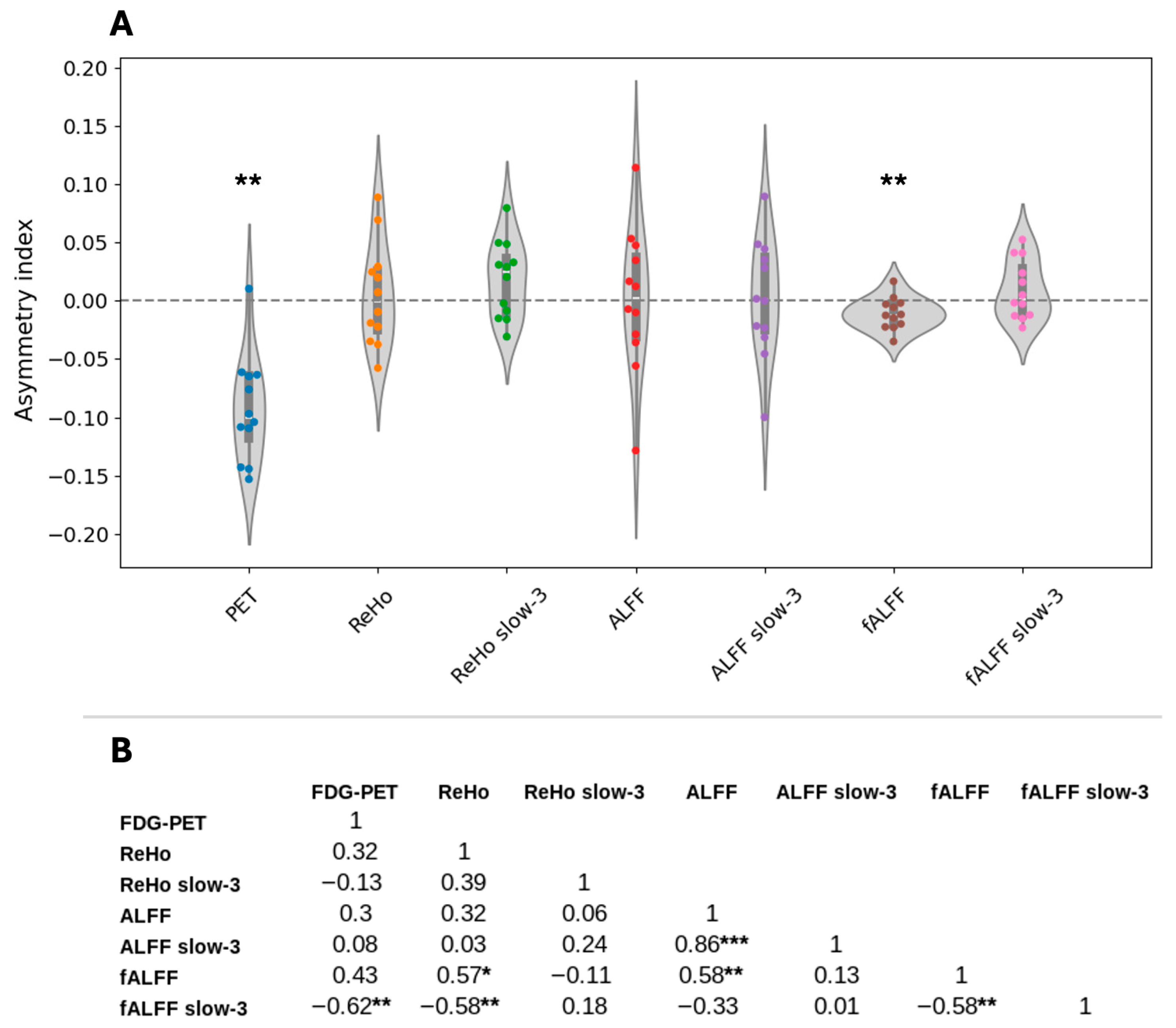
3. Results
4. Discussion
5. Conclusions
Author Contributions
Funding
Institutional Review Board Statement
Informed Consent Statement
Data Availability Statement
Acknowledgments
Conflicts of Interest
Abbreviations
| 3T | 3 Tesla |
| 7T | 7 Tesla |
| AI | Asymmetry index |
| AIs | Asymmetry indices |
| ALFF | Amplitude of low-frequency fluctuations |
| ASM | Antiseizure medication |
| BMMR | Biomedical Magnetic Resonance |
| BOLD | Blood-oxygen-level-dependent |
| BW | Body weight |
| CAPHRI | Care and Public Health Research Institute |
| CARIM | Cardiovascular Research Institute Maastricht |
| DRE | Drug-resistant epilepsy |
| EEG | Electroencephalography |
| EPI | Echo planar imaging |
| EZ | Epileptogenic zone |
| fALFF | Fractional amplitude of low-frequency fluctuations |
| FDG | Fluorodeoxyglucose |
| FDG-PET | 18Fluorodeoxyglucose positron emission tomography |
| fMRI | Functional magnetic resonance imaging |
| FSL | FMRIB Software Library |
| FWHM | Full width at half maximum |
| HS | Hippocampal sclerosis |
| kg | Kilogram |
| MBq | Megabecquerel |
| MEG | Magnetoencephalography |
| MHeNs | Mental Health and Neuroscience Research Institute |
| MPRAGE | Magnetization prepared rapid gradient echo |
| MRI | Magnetic resonance imaging |
| MTLE | Mesial temporal lobe epilepsy |
| NUTRIM | Nutrition and Translational Research in Metabolism |
| ReHo | Regional homogeneity |
| rs-fMRI | Resting-state functional magnetic resonance imaging |
| SD | Standard deviation |
| SEEG | Stereo-electroencephalography |
| SUV | Standard uptake value |
| T1w | T1-weighted |
| TD | Total injected dose |
| TE | Echo time |
| TI | Inversion time |
| TLE | Temporal lobe epilepsy |
| TR | Repetition time |
Appendix A

References
- Kalilani, L.; Sun, X.; Pelgrims, B.; Noack-Rink, M.; Villanueva, V. The epidemiology of drug-resistant epilepsy: A systematic review and meta-analysis. Epilepsia 2018, 59, 2179–2193. [Google Scholar] [CrossRef]
- Engel, J. Early Surgical Therapy for Drug-Resistant Temporal Lobe Epilepsy: A Randomized Trial. JAMA 2012, 307, 922. [Google Scholar] [CrossRef]
- Wiebe, S.; Blume, W.T.; Girvin, J.P.; Eliasziw, M. A Randomized, Controlled Trial of Surgery for Temporal-Lobe Epilepsy. N. Engl. J. Med. 2001, 345, 311–318. [Google Scholar] [CrossRef]
- Vakharia, V.N.; Duncan, J.S.; Witt, J.; Elger, C.E.; Staba, R.; Engel, J. Getting the best outcomes from epilepsy surgery. Ann. Neurol. 2018, 83, 676–690. [Google Scholar] [CrossRef]
- Leach, J.L.; Miles, L.; Henkel, D.M.; Greiner, H.M.; Kukreja, M.K.; Holland, K.D.; Rose, D.F.; Zhang, B.; Mangano, F.T. Magnetic resonance imaging abnormalities in the resection region correlate with histopathological type, gliosis extent, and postoperative outcome in pediatric cortical dysplasia: Clinical article. J. Neurosurg. Pediatr. 2014, 14, 68–80. [Google Scholar] [CrossRef]
- Blümcke, I.; Thom, M.; Aronica, E.; Armstrong, D.D.; Vinters, H.V.; Palmini, A.; Jacques, T.S.; Avanzini, G.; Barkovich, A.J.; Battaglia, G.; et al. The clinicopathologic spectrum of focal cortical dysplasias: A consensus classification proposed by an ad hoc Task Force of the ILAE Diagnostic Methods Commission1: The ILAE Classification System of FCD. Epilepsia 2011, 52, 158–174. [Google Scholar] [CrossRef] [PubMed]
- Scheffer, I.E.; Berkovic, S.; Capovilla, G.; Connolly, M.B.; French, J.; Guilhoto, L.; Hirsch, E.; Jain, S.; Mathern, G.W.; Moshé, S.L.; et al. ILAE classification of the epilepsies: Position paper of the ILAE Commission for Classification and Terminology. Epilepsia 2017, 58, 512–521. [Google Scholar] [CrossRef] [PubMed]
- Wagstyl, K.; Whitaker, K.; Raznahan, A.; Seidlitz, J.; Vértes, P.E.; Foldes, S.; Humphreys, Z.; Hu, W.; Mo, J.; Likeman, M.; et al. Atlas of lesion locations and postsurgical seizure freedom in focal cortical dysplasia: A MELD study. Epilepsia 2022, 63, 61–74. [Google Scholar] [CrossRef]
- Wang, Y.; Beeraka, N.M.; Zhu, Y.; Ge, M.; Nikolenko, V.N.; Xu, S. Can optogenetics decode human-specific hyperexcitability circuits? MedMat 2025, 2, 140–144. [Google Scholar] [CrossRef]
- Zang, Y.; Jiang, T.; Lu, Y.; He, Y.; Tian, L. Regional homogeneity approach to fMRI data analysis. Neuroimage 2004, 22, 394–400. [Google Scholar] [CrossRef]
- Wang, J.; Guo, K.; Cui, B.; Hou, Y.; Zhao, G.; Lu, J. Individual [18F]FDG PET and functional MRI based on simultaneous PET/MRI may predict seizure recurrence after temporal lobe epilepsy surgery. Eur. Radiol. 2022, 32, 3880–3888. [Google Scholar] [CrossRef] [PubMed]
- Zou, Q.-H.; Zhu, C.-Z.; Yang, Y.; Zuo, X.-N.; Long, X.-Y.; Cao, Q.-J.; Wang, Y.-F.; Zang, Y.-F. An improved approach to detection of amplitude of low-frequency fluctuation (ALFF) for resting-state fMRI: Fractional ALFF. J. Neurosci. Methods 2008, 172, 137–141. [Google Scholar] [CrossRef]
- Chen, Z.; An, Y.; Zhao, B.; Yang, W.; Yu, Q.; Cai, L.; Ni, H.; Yin, J. The value of resting-state functional magnetic resonance imaging for detecting epileptogenic zones in patients with focal epilepsy. PLoS ONE 2017, 12, e0172094. [Google Scholar] [CrossRef]
- Sathe, A.V.; Matias, C.M.; Kogan, M.; Ailes, I.; Syed, M.; Kang, K.; Miao, J.; Talekar, K.; Faro, S.; Mohamed, F.B.; et al. Resting-state fMRI can detect alterations in seizure onset and spread regions in patients with non-lesional epilepsy: A pilot study. Front. Neuroimaging 2023, 2, 1109546. [Google Scholar] [CrossRef]
- Zhang, Z.; Lu, G.; Zhong, Y.; Tan, Q.; Chen, H.; Liao, W.; Tian, L.; Li, Z.; Shi, J.; Liu, Y. fMRI study of mesial temporal lobe epilepsy using amplitude of low-frequency fluctuation analysis. Hum. Brain Mapp. 2010, 31, 1851–1861. [Google Scholar] [CrossRef]
- Tang, Y.; Choi, J.Y.; Alexopoulos, A.; Murakami, H.; Daifu-Kobayashi, M.; Zhou, Q.; Najm, I.; Jones, S.E.; Wang, Z.I. Individual localization value of resting-state fMRI in epilepsy presurgical evaluation: A combined study with stereo-EEG. Clin. Neurophysiol. 2021, 132, 3197–3206. [Google Scholar] [CrossRef]
- Uher, D.; Drenthen, G.S.; Schijns, O.E.M.G.; Colon, A.J.; Hofman, P.A.M.; Van Lanen, R.H.G.J.; Hoeberigs, C.M.; Jansen, J.F.A.; Backes, W.H. Advances in Image Processing for Epileptogenic Zone Detection with MRI. Radiology 2023, 307, e220927. [Google Scholar] [CrossRef]
- Gupta, L.; Hofman, P.A.M.; Besseling, R.M.H.; Jansen, J.F.A.; Backes, W.H. Abnormal Blood Oxygen Level–Dependent Fluctuations in Focal Cortical Dysplasia and the Perilesional Zone: Initial Findings. Am. J. Neuroradiol. 2018, 39, 1310–1315. [Google Scholar] [CrossRef] [PubMed]
- Engel, J. PET Scanning in Partial Epilepsy. Can. J. Neurol. Sci. J. Can. Sci. Neurol. 1991, 18, 588–592. [Google Scholar] [CrossRef] [PubMed][Green Version]
- Verger, A.; Lagarde, S.; Maillard, L.; Bartolomei, F.; Guedj, E. Brain molecular imaging in pharmacoresistant focal epilepsy: Current practice and perspectives. Rev. Neurol. 2018, 174, 16–27. [Google Scholar] [CrossRef]
- Wang, J.; Shan, Y.; Dai, J.; Cui, B.; Shang, K.; Yang, H.; Chen, Z.; Shan, B.; Zhao, G.; Lu, J. Altered coupling between resting-state glucose metabolism and functional activity in epilepsy. Ann. Clin. Transl. Neurol. 2020, 7, 1831–1842. [Google Scholar] [CrossRef]
- Borbély, K.; Emri, M.; Kenessey, I.; Tóth, M.; Singer, J.; Barsi, P.; Vajda, Z.; Pál, E.; Tóth, Z.; Beyer, T.; et al. PET/MRI in the Presurgical Evaluation of Patients with Epilepsy: A Concordance Analysis. Biomedicines 2022, 10, 949. [Google Scholar] [CrossRef]
- Tóth, M.; Barsi, P.; Tóth, Z.; Borbély, K.; Lückl, J.; Emri, M.; Repa, I.; Janszky, J.; Dóczi, T.; Horváth, Z.; et al. The role of hybrid FDG-PET/MRI on decision-making in presurgical evaluation of drug-resistant epilepsy. BMC Neurol. 2021, 21, 363. [Google Scholar] [CrossRef]
- Wang, J.; Sun, H.; Cui, B.; Yang, H.; Shan, Y.; Dong, C.; Zang, Y.; Lu, J. The Relationship Among Glucose Metabolism, Cerebral Blood Flow, and Functional Activity: A Hybrid PET/fMRI Study. Mol. Neurobiol. 2021, 58, 2862–2873. [Google Scholar] [CrossRef]
- Andersson, J.L.R.; Skare, S.; Ashburner, J. How to correct susceptibility distortions in spin-echo echo-planar images: Application to diffusion tensor imaging. NeuroImage 2003, 20, 870–888. [Google Scholar] [CrossRef]
- Jenkinson, M.; Beckmann, C.F.; Behrens, T.E.J.; Woolrich, M.W.; Smith, S.M. FSL. NeuroImage 2012, 62, 782–790. [Google Scholar] [CrossRef] [PubMed]
- Jia, X.-Z.; Wang, J.; Sun, H.-Y.; Zhang, H.; Liao, W.; Wang, Z.; Yan, C.-G.; Song, X.-W.; Zang, Y.-F. RESTplus: An improved toolkit for resting-state functional magnetic resonance imaging data processing. Sci. Bull. 2019, 64, 953–954. [Google Scholar] [CrossRef]
- Wang, Z.; Zhang, Z.; Liao, W.; Xu, Q.; Zhang, J.; Lu, W.; Jiao, Q.; Chen, G.; Feng, J.; Lu, G. Frequency-dependent amplitude alterations of resting-state spontaneous fluctuations in idiopathic generalized epilepsy. Epilepsy Res. 2014, 108, 853–860. [Google Scholar] [CrossRef] [PubMed]
- Fischl, B. FreeSurfer. NeuroImage 2012, 62, 774–781. [Google Scholar] [CrossRef]
- Avants, B.B.; Tustison, N.; Johnson, H.J. ANTs, Version Ecphorella; Advanced Normalization Tools (ANTs); Zenodo: Geneva, Switzerland, 2020. [Google Scholar] [CrossRef]
- Brett, M.; Markiewicz, C.J.; Hanke, M.; Côté, M.-A.; Cipollini, B.; McCarthy, P.; Jarecka, D.; Cheng, C.P.; Larson, E.; Halchenko, Y.O.; et al. nipy/nibabel: 5.2.0, version 5.2.0; Zenodo: Geneva, Switzerland, 2023. [CrossRef]
- Virtanen, P.; Gommers, R.; Oliphant, T.E.; Haberland, M.; Reddy, T.; Cournapeau, D.; Burovski, E.; Peterson, P.; Weckesser, W.; Bright, J.; et al. SciPy 1.0: Fundamental algorithms for scientific computing in Python. Nat. Methods 2020, 17, 261–272. [Google Scholar] [CrossRef] [PubMed]
- Cook, R.D. Detection of Influential Observation in Linear Regression. Technometrics 1977, 19, 15–18. [Google Scholar] [CrossRef]
- Overholser, B.R.; Sowinski, K.M. Biostatistics Primer: Part 2. Nutr. Clin. Pract. 2008, 23, 76–84. [Google Scholar] [CrossRef] [PubMed]
- Donaire, A.; Capdevila, A.; Carreño, M.; Setoain, X.; Rumià, J.; Aparicio, J.; Campistol, J.; Padilla, N.; Sanmartí, F.; Vernet, O.; et al. Identifying the cortical substrates of interictal epileptiform activity in patients with extratemporal epilepsy: An EEG-fMRI sequential analysis and FDG-PET study. Epilepsia 2013, 54, 678–690. [Google Scholar] [CrossRef]
- Guo, K.; Cui, B.; Shang, K.; Hou, Y.; Fan, X.; Yang, H.; Zhao, G.; Lu, J. Assessment of localization accuracy and postsurgical prediction of simultaneous 18F-FDG PET/MRI in refractory epilepsy patients. Eur. Radiol. 2021, 31, 6974–6982. [Google Scholar] [CrossRef]
- Nugent, A.C.; Martinez, A.; D’Alfonso, A.; Zarate, C.A.; Theodore, W.H. The Relationship between Glucose Metabolism, Resting-State fMRI BOLD Signal, and GABAA-Binding Potential: A Preliminary Study in Healthy Subjects and Those with Temporal Lobe Epilepsy. J. Cereb. Blood Flow Metab. 2015, 35, 583–591. [Google Scholar] [CrossRef]
- Reyes, A.; Thesen, T.; Wang, X.; Hahn, D.; Yoo, D.; Kuzniecky, R.; Devinsky, O.; Blackmon, K. Resting-state functional MRI distinguishes temporal lobe epilepsy subtypes. Epilepsia 2016, 57, 1475–1484. [Google Scholar] [CrossRef]
- Qiao, P.-F.; Niu, G.-M. Resting-State fMRI findings in patients with first-Episode idiopathic epilepsy before and after treatment. Neurosciences 2017, 22, 316–319. [Google Scholar] [CrossRef]
- Yuan, S.; Huang, H.; Cai, B.; Li, J.; Zhang, M.; Luo, J. Altered metabolic-functional coupling in the epileptogenic network could predict surgical outcomes of mesial temporal lobe epilepsy. Front. Neurosci. 2023, 17, 1165982. [Google Scholar] [CrossRef]
- Yan, Y.; Xie, G.; Zhou, H.; Liu, H.; Wan, M. Altered spontaneous brain activity in patients with childhood absence epilepsy: Associations with treatment effects. Neuroreport 2020, 31, 613–618. [Google Scholar] [CrossRef]
- Pan, J.W.; Williamson, A.; Cavus, I.; Hetherington, H.P.; Zaveri, H.; Petroff, O.A.C.; Spencer, D.D. Neurometabolism in human epilepsy. Epilepsia 2008, 49, 31–41. [Google Scholar] [CrossRef] [PubMed]
- Tenney, J.R.; Rozhkov, L.; Horn, P.; Miles, L.; Miles, M.V. Cerebral glucose hypometabolism is associated with mitochondrial dysfunction in patients with intractable epilepsy and cortical dysplasia. Epilepsia 2014, 55, 1415–1422. [Google Scholar] [CrossRef]
- Gupta, L.; Janssens, R.; Vlooswijk, M.C.G.; Rouhl, R.P.W.; De Louw, A.; Aldenkamp, A.P.; Ulman, S.; Besseling, R.M.H.; Hofman, P.A.M.; Van Kranen-Mastenbroek, V.H.; et al. Towards prognostic biomarkers from BOLD fluctuations to differentiate a first epileptic seizure from new-onset epilepsy. Epilepsia 2017, 58, 476–483. [Google Scholar] [CrossRef]
- Ponisio, M.R.; Zempel, J.M.; Day, B.K.; Eisenman, L.N.; Miller-Thomas, M.M.; Smyth, M.D.; Hogan, R.E. The Role of SPECT and PET in Epilepsy. Am. J. Roentgenol. 2021, 216, 759–768. [Google Scholar] [CrossRef]
- Wong, C.H.; Bleasel, A.; Wen, L.; Eberl, S.; Byth, K.; Fulham, M.; Somerville, E.; Mohamed, A. The topography and significance of extratemporal hypometabolism in refractory mesial temporal lobe epilepsy examined by FDG-PET. Epilepsia 2010, 51, 1365–1373. [Google Scholar] [CrossRef] [PubMed]
- Van Lanen, R.H.; Haeren, R.H.; Staals, J.; Dings, J.T.; Schijns, O.E.; Hoogland, G.; Van Kuijk, S.M.; Kapsokalyvas, D.; Van Zandvoort, M.A.; Vink, H.; et al. Cerebrovascular glycocalyx damage and microcirculation impairment in patients with temporal lobe epilepsy. J. Cereb. Blood Flow Metab. 2023, 43, 1737–1751. [Google Scholar] [CrossRef]
- Cohen, A.D.; Moia, S.; Pike, G.B.; Caballero-Gaudes, C.; Wang, Y. Resting state BOLD-perfusion coupling patterns using multiband multi-echo pseudo-continuous arterial spin label imaging. Sci. Rep. 2025, 15, 2108. [Google Scholar] [CrossRef] [PubMed]
- Wan, X.; Yin, X.; Chai, X.; Tian, M.; Wang, J.; Zhang, J. Evaluation of Neurovascular Coupling in Early-Onset and Late-Onset Epilepsy of Unknown Etiology. J. Magn. Reson. Imaging 2025, 61, 2489–2500. [Google Scholar] [CrossRef] [PubMed]
- Lucas, A.; Cornblath, E.J.; Sinha, N.; Caciagli, L.; Hadar, P.; Tranquille, A.; Stein, J.M.; Das, S.; Davis, K.A. Improved Seizure Onset-Zone Lateralization in Temporal Lobe Epilepsy using 7T Resting-State fMRI: A Direct Comparison with 3T. medRxiv 2023. [Google Scholar] [CrossRef]



| PET | T1w | BOLD rs-fMRI | |
|---|---|---|---|
| TR [ms] | - | 2300 | 2340 |
| TE [ms] | - | 2.34 | 30 |
| TI [ms] | - | 900 | - |
| Voxel size [mm] | 2 × 2 × 2 | 0.5 × 0.5 × 0.5 | 3 × 3 × 3 |
| Matrix size [voxels] | 344 × 344 × 127 | 320 × 512 × 512 | 80 × 80 × 40 |
| FDG dose [MBq/kg] | 1.56 ± 0.13 | - | - |
| Number of volumes | 1 | 1 | 175 |
| Sequence type | - | 3D MPRAGE | 2D EPI |
| Field strength [Tesla] | - | 3 | 3 |
| Flip angle [degrees] | - | 8 | 90 |
| Sub | SF | TCS | EH | FDG-PET Scan | Presurgical Workup | Outcome [Lat-Loc] | ||||||
|---|---|---|---|---|---|---|---|---|---|---|---|---|
| Tracer Dose [MBq/kg] | BW [kg] | I-to-S Delay [min] | FDG-PET | EEG | MEG | MRI | SEEG | |||||
| 59F-R | 0.3/w | n | y | 1.60 | 79 | 41 | L T | L T | R T | N | L T; I | L T |
| 46M-R | u | y | n | 1.37 | 104 | 53 | R T | B PS | n/a | N | B I | R T |
| 30M-R | clusters | n | n | 1.80 | 75 | 53 | R T | R W | R T | N | R T; O | R T |
| 51M-R | >1/d | y | n | 1.55 | 75 | 54 | R T; P | R T; P | R T; P | N | n/a | R T |
| 25F-R | 2.5/m | n | y | 1.49 | 81 | 54 | R T | R T | n/a | N | n/a | R T |
| 16M-R | 0.3/w | y | n | 1.54 | 98 | 46 | L T | L T; F | n/a | N | n/a | L T |
| 34F-R | clusters | y | n | 1.60 | 65 | 53 | R T | W | W | N | n/a | R T |
| 15M-R | >1/w | y | n | 1.64 | 59 | 52 | R T; P | B T; F | R P; I | N | n/a | R T |
| 29F-R | 5/m | y | n | 1.49 | 51 | 47 | R T; I; P | R W | R T | R T | n/a | R T |
| 31F-R | 1/w | y | n | 1.46 | 55 | 55 | R T | R T; F | R T | N | n/a | R T |
| 35M-L | u | y | n | 1.46 | 70 | 56 | R T | R T; P; O | R T | B W | n/a | R T |
| 38M-L | 1/m | y | y | 1.58 | 90 | 55 | L T; F; O | L T; F | R T | R T | n/a | L T |
Disclaimer/Publisher’s Note: The statements, opinions and data contained in all publications are solely those of the individual author(s) and contributor(s) and not of MDPI and/or the editor(s). MDPI and/or the editor(s) disclaim responsibility for any injury to people or property resulting from any ideas, methods, instructions or products referred to in the content. |
© 2026 by the authors. Licensee MDPI, Basel, Switzerland. This article is an open access article distributed under the terms and conditions of the Creative Commons Attribution (CC BY) license.
Share and Cite
Uher, D.; Drenthen, G.S.; Weijer, T.v.d.; Pol, J.v.d.; Hoeberigs, C.M.; Hofman, P.A.M.; Springer, S.; Rouhl, R.P.W.; Colon, A.J.; Schijns, O.E.M.G.; et al. Lateralization of FDG-PET Hypometabolism Using Resting-State fMRI in Temporal Lobe Epilepsy: A Simultaneous PET-MRI Study. Tomography 2026, 12, 30. https://doi.org/10.3390/tomography12030030
Uher D, Drenthen GS, Weijer Tvd, Pol Jvd, Hoeberigs CM, Hofman PAM, Springer S, Rouhl RPW, Colon AJ, Schijns OEMG, et al. Lateralization of FDG-PET Hypometabolism Using Resting-State fMRI in Temporal Lobe Epilepsy: A Simultaneous PET-MRI Study. Tomography. 2026; 12(3):30. https://doi.org/10.3390/tomography12030030
Chicago/Turabian StyleUher, Daniel, Gerhard S. Drenthen, Tineke van de Weijer, Jochem van der Pol, Christianne M. Hoeberigs, Paul A. M. Hofman, Sam Springer, Rob P. W. Rouhl, Albert J. Colon, Olaf E. M. G. Schijns, and et al. 2026. "Lateralization of FDG-PET Hypometabolism Using Resting-State fMRI in Temporal Lobe Epilepsy: A Simultaneous PET-MRI Study" Tomography 12, no. 3: 30. https://doi.org/10.3390/tomography12030030
APA StyleUher, D., Drenthen, G. S., Weijer, T. v. d., Pol, J. v. d., Hoeberigs, C. M., Hofman, P. A. M., Springer, S., Rouhl, R. P. W., Colon, A. J., Schijns, O. E. M. G., Backes, W. H., & Jansen, J. F. A. (2026). Lateralization of FDG-PET Hypometabolism Using Resting-State fMRI in Temporal Lobe Epilepsy: A Simultaneous PET-MRI Study. Tomography, 12(3), 30. https://doi.org/10.3390/tomography12030030

