Dual-Domain Reconstruction Network Incorporating Multi-Level Wavelet Transform and Recurrent Convolution for Sparse View Computed Tomography Imaging
Abstract
1. Introduction
- (1)
- A new CT reconstruction model is proposed, wherein multi-level wavelet transform and recurrent convolution unit construction are integrated. To accurately correct the errors in each frequency component of the interpolated sinograms and remove the artifacts in different directions in each frequency component of the CT images, multi-level wavelet transform is employed to decompose the sinograms and CT images into distinct frequency components, which are subsequently individually recovered through separate network branches.
- (2)
- To capture the global redundant texture information of sinograms and the global artifact features in CT images in distinct frequency components, a recurrent convolution unit (RCU) embedded with convolutional long and short-term memory (Conv-LSTM) is proposed. The RCU consists of a basic feature extraction module “3 × 3 convolution-batch normalization-ReLU activation function” (CBR) and a Conv-LSTM, where CBR is used to integrate the output features of the previous layer and adjusts the number of channels, while the Conv-LSTM weights the hidden and memory state features from the output of the previous RCU layer into the output of the current layer by combining forget gate, input gate, and output gate operations to model long-distance dependencies between the feature map in different layers, as well as the information flow of contextual textures in distinct frequency dimensions.
- (3)
- In the high-frequency component recovery network branch, an improved multi-level frequency feature normalization fusion (MFNF) block is designed to assist in the recovery of high-frequency components by aggregating low-frequency components through the self-attention-based normalization strategy. Further, the recovery of high-frequency feature information is enhanced by combining an adaptive channel soft thresholding function (ACSTF) to filter out noise and useless features in the channel dimension.
- (4)
- In the image domain loss function, an additional edge loss regularization term based on the Laplacian of Gaussian (LoG) is designed to improve the fidelity and authenticity of high-frequency edge details and mitigate the structural blurring caused by mean squared error (MSE) loss function.
2. Materials and Methods
2.1. Principles of CT Reconstruction
2.2. Network Structure
2.2.1. Discrete Wavelet Transform (DWT)
2.2.2. Recurrent Convolution Unit (RCU)
2.2.3. Multi-Level Frequency Feature Normalization Fusion (MFNF) Block
2.2.4. Loss Function
3. Results and Analysis
3.1. Dataset and Simulation Setup
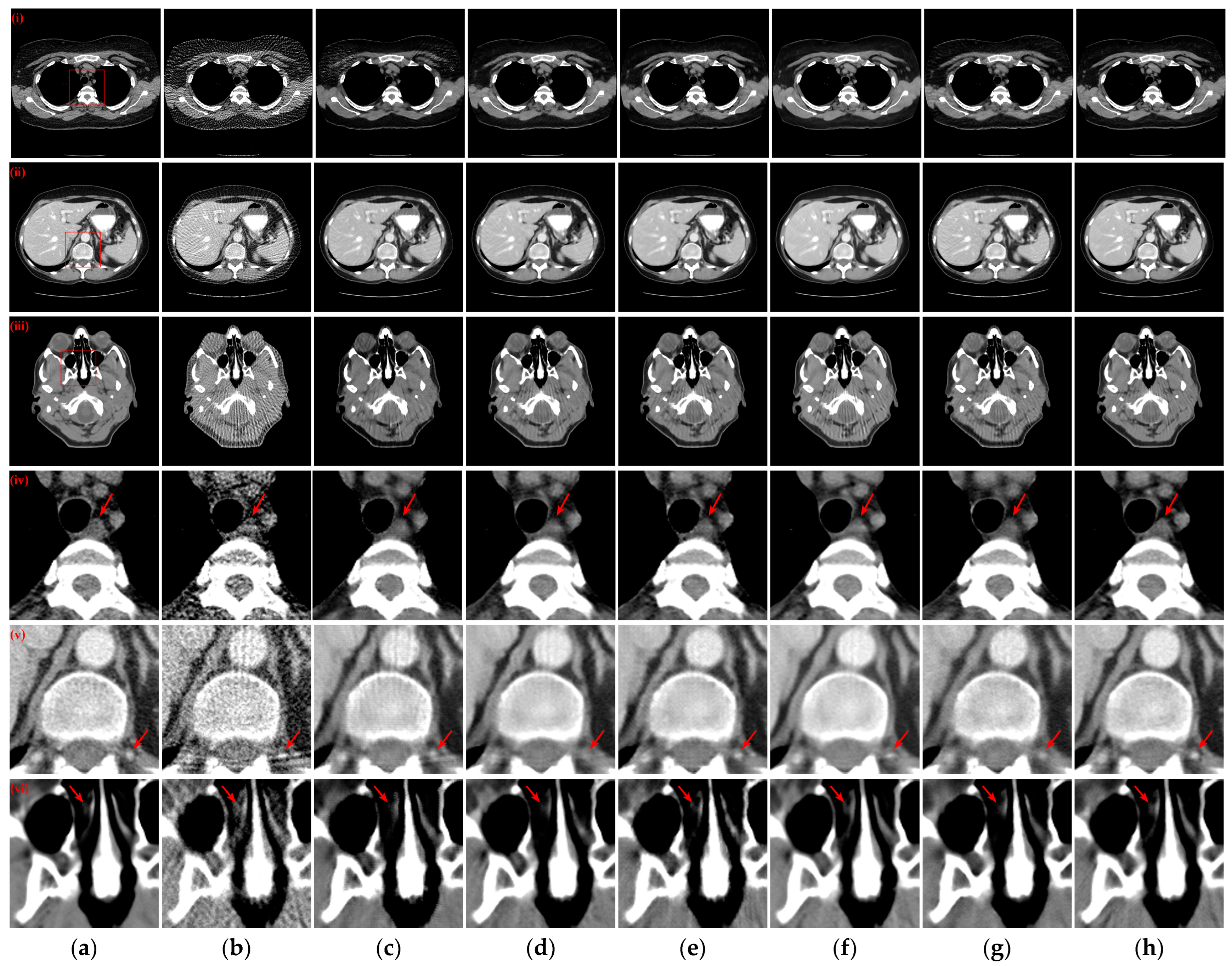
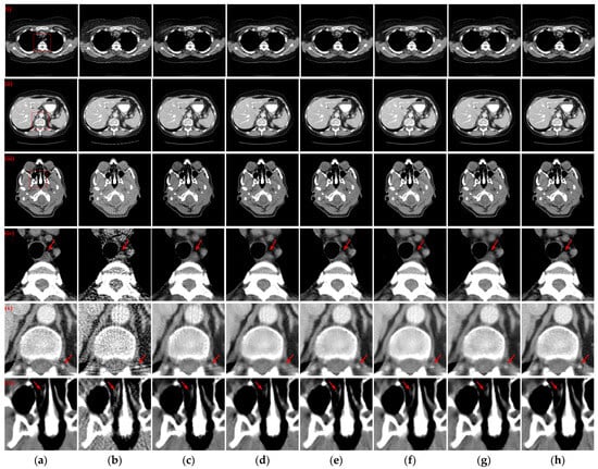
3.2. Qualitative Evaluation
3.3. Quantitative Evaluation
3.4. Robustness of Noise
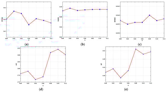
3.5. Ablation Study
3.6. Computational Cost
4. Discussion
5. Conclusions
Author Contributions
Funding
Institutional Review Board Statement
Informed Consent Statement
Data Availability Statement
Conflicts of Interest
References
- Brenner, D.J.; Hall, E.J. Computed tomography—An increasing source of radiation exposure. N. Engl. J. Med. 2007, 357, 2277–2284. [Google Scholar] [CrossRef] [PubMed]
- Wang, G.; Yu, H.; De Man, B. An outlook on X-ray CT research and development. Med. Phys. 2008, 35, 1051–1064. [Google Scholar] [CrossRef]
- Bevelacqua, J.J. Practical and Effective ALARA. Health Phys. 2010, 98, S39–S47. [Google Scholar] [CrossRef] [PubMed]
- Abdoli, M.; Dierckx, R.A.; Zaidi, H. Metal artifact reduction strategies for improved attenuation correction in hybrid PET/CT imaging. Med. Phys. 2012, 39, 3343–3360. [Google Scholar] [CrossRef] [PubMed]
- Pan, X.; Sidky, E.Y.; Vannier, M. Why do commercial CT scanners still employ traditional, filtered back-projection for image reconstruction? Inverse Probl. 2009, 25, 123009. [Google Scholar] [CrossRef] [PubMed]
- Donoho, D.L. Compressed sensing. IEEE Trans. Inf. Theory 2006, 52, 1289–1306. [Google Scholar] [CrossRef]
- Elad, M.; Aharon, M. Image Denoising via Sparse and Redundant Representations over Learned Dictionaries. IEEE Trans. Image Process. 2006, 15, 3736–3745. [Google Scholar] [CrossRef] [PubMed]
- Rudin, L.I.; Osher, S. Total variation based image restoration with free local constraints. In Proceedings of the 1st IEEE International Conference on Image Processing (ICIP 1994), Austin, TX, USA, 13–16 November 1994; Volume 1, pp. 31–35. [Google Scholar]
- Sidky, E.Y.; Pan, X. Image reconstruction in circular cone-beam computed tomography by constrained, total-variation minimization. Phys. Med. Biol. 2008, 53, 4777–4807. [Google Scholar] [CrossRef]
- Liu, Y.; Ma, J.; Fan, Y.; Liang, Z. Adaptive-weighted total variation minimization for sparse data toward low-dose X-ray computed tomography image reconstruction. Phys. Med. Biol. 2012, 57, 7923–7956. [Google Scholar] [CrossRef]
- Zhou, X.; Li, C.; Rahaman, M.M.; Yao, Y.; Ai, S.; Sun, C.; Wang, Q.; Zhang, Y.; Li, M.; Li, X.; et al. A Comprehensive Review for Breast Histopathology Image Analysis Using Classical and Deep Neural Networks. IEEE Access 2020, 8, 90931–90956. [Google Scholar] [CrossRef]
- Boveiri, H.R.; Khayami, R.; Javidan, R.; Mehdizadeh, A. Medical image registration using deep neural networks: A comprehensive review. Comput. Electr. Eng. 2020, 87, 106767. [Google Scholar] [CrossRef]
- Akcay, S.; Breckon, T. Towards automatic threat detection: A survey of advances of deep learning within X-ray security imaging. Pattern Recognit. 2022, 122, 108245. [Google Scholar] [CrossRef]
- Jin, K.H.; McCann, M.T.; Froustey, E.; Unser, M. Deep Convolutional Neural Network for Inverse Problems in Imaging. IEEE Image Process. 2017, 26, 4509–4522. [Google Scholar] [CrossRef] [PubMed]
- Huang, G.; Liu, Z.; Maaten, L.V.D.; Weinberger, K.Q. Densely Connected Convolutional Networks. In Proceedings of the IEEE Conference on Computer Vision and Pattern Recognition (CVPR 2017), Honolulu, HI, USA, 21–26 July 2017; Volume 1, pp. 2261–2269. [Google Scholar]
- Zhang, Z.; Liang, X.; Dong, X.; Xie, Y.; Cao, G. A Sparse-View CT Reconstruction Method Based on Combination of DenseNet and Deconvolution. IEEE Trans. Med. Imaging 2018, 37, 1407–1417. [Google Scholar] [CrossRef] [PubMed]
- Stanković, R.S.; Falkowski, B.J. The Haar wavelet transform: Its status and achievements. Comput. Electr. Eng. 2003, 29, 25–44. [Google Scholar] [CrossRef]
- Lee, M.; Kim, H.; Kim, H.J. Sparse-view CT reconstruction based on multi-level wavelet convolution neural network. Phys. Med. 2020, 80, 352–362. [Google Scholar] [CrossRef]
- Sun, C.; Liu, Y.; Yang, H. Degradation-Aware Deep Learning Framework for Sparse-View CT Reconstruction. Tomography 2021, 7, 932–949. [Google Scholar] [CrossRef]
- Lee, H.; Lee, J.; Kim, H.; Cho, B.; Cho, S. Deep-Neural-Network-Based Sinogram Synthesis for Sparse-View CT Image Reconstruction. IEEE Trans. Radiat. Plasma Med. Sci. 2019, 3, 109–119. [Google Scholar] [CrossRef]
- Li, Z.; Cai, A.; Wang, L.; Zhang, W.; Tang, C.; Li, L.; Liang, N.; Yan, B. Promising Generative Adversarial Network Based Sinogram Inpainting Method for Ultra-Limited-Angle Computed Tomography Imaging. Sensors 2019, 19, 3941. [Google Scholar] [CrossRef]
- Zhu, B.; Liu, J.Z.; Cauley, S.F.; Rosen, B.R.; Rosen, M.S. Image reconstruction by domain-transform manifold learning. Nature 2018, 555, 487–492. [Google Scholar] [CrossRef]
- Ma, G.; Zhu, Y.; Zhao, X. Learning Image from Projection: A Full-Automatic Reconstruction (FAR) Net for Computed Tomography. IEEE Access 2020, 8, 219400–219414. [Google Scholar] [CrossRef]
- Chen, H.; Zhang, Y.; Chen, Y.; Zhang, J.; Zhang, W.; Sun, H.; Lv, Y.; Liao, P.; Zhou, J.; Wang, G. LEARN: Learned Experts′ Assessment-Based Reconstruction Network for Sparse-Data CT. IEEE Trans. Med. Imaging 2018, 37, 1333–1347. [Google Scholar] [CrossRef] [PubMed]
- Wang, J.; Zeng, L.; Wang, C.; Guo, Y. ADMM-based deep reconstruction for limited-angle CT. Phys. Med. Biol. 2019, 64, 115011. [Google Scholar] [CrossRef]
- Zhou, B.; Chen, X.; Zhou, S.K.; Duncan, J.S.; Liu, C. DuDoDR-Net: Dual-domain data consistent recurrent network for simultaneous sparse view and metal artifact reduction in computed tomography. Med. Image Anal. 2022, 75, 102289. [Google Scholar] [CrossRef] [PubMed]
- Hu, D.; Liu, J.; Lv, T.; Zhao, Q.; Zhang, Y.; Quan, G.; Feng, J.; Chen, Y.; Luo, L. Hybrid-Domain Neural Network Processing for Sparse-View CT Reconstruction. IEEE Trans. Radiat. Plasma Med. Sci. 2021, 5, 88–98. [Google Scholar] [CrossRef]
- Bai, J.; Liu, Y.; Yang, H. Sparse-View CT Reconstruction Based on a Hybrid Domain Model with Multi-Level Wavelet Transform. Sensors 2022, 22, 3228. [Google Scholar] [CrossRef] [PubMed]
- Han, K.; Wang, Y.; Chen, H.; Chen, X.; Guo, J.; Liu, Z.; Tang, Y.; Xiao, A.; Xu, C.; Xu, Y.; et al. A Survey on Vision Transformer. IEEE Trans. Pattern Anal. Mach. Intell. 2023, 45, 87–110. [Google Scholar] [CrossRef]
- Wang, C.; Shang, K.; Zhang, H.; Li, Q.; Zhou, S.K. DuDoTrans: Dual-Domain Transformer for Sparse-View CT Reconstruction. In Proceedings of the Machine Learning for Medical Image Reconstruction (MLMIR 2022), Singapore, 22 September 2022; Volume 13587, pp. 84–94. [Google Scholar]
- Li, R.; Li, Q.; Wang, H.; Li, S.; Zhao, J.; Yan, Q.; Wang, L. DDPTransformer: Dual-Domain with Parallel Transformer Network for Sparse View CT Image Reconstruction. IEEE Trans. Comput. Imaging 2022, 8, 1101–1116. [Google Scholar] [CrossRef]
- Pan, J.; Zhang, H.; Wu, W.; Gao, Z.; Wu, W. Multi-domain integrative Swin transformer network for sparse-view tomographic reconstruction. Patterns 2022, 3, 100498. [Google Scholar] [CrossRef]
- Xia, W.; Yang, Z.; Zhou, Q.; Lu, Z.; Wang, Z.; Zhang, Y. A Transformer-Based Iterative Reconstruction Model for Sparse-View CT Reconstruction. In Proceedings of the Medical Image Computing and Computer Assisted Intervention (MICCAI 2022), Singapore, 18-22 September 2022; Volume 13436, pp. 790–800. Available online: https://conferences.miccai.org/2022/papers/021-Paper0893.html (accessed on 10 December 2023).
- Yu, Y.; Zhan, F.; Lu, S.; Ma, F.; Xie, X.; Miao, C. WaveFill: A Wavelet-based Generation Network for Image Inpainting. In Proceedings of the IEEE/CVF International Conference on Computer Vision (ICCV 2021), Montreal, QC, Canada, 10–17 October 2021; Volume 1, pp. 14094–14103. [Google Scholar]
- Ma, J.; Liang, Z.; Fan, Y.; Liu, Y.; Huang, J.; Chen, W.; Lu, H. Variance analysis of X-ray CT sinograms in the presence of electronic noise background. Med. Phys. 2012, 39, 4051–4065. [Google Scholar] [CrossRef]
- Cotter, F. 2D Wavelet Transforms in Pytorch. Software. Available online: https://github.com/fbcotter/pytorch_wavelets (accessed on 30 July 2022).
- Shi, X.; Chen, Z.; Wang, H.; Yeung, D.Y. Convolutional LSTM Network: A machine learning approach for precipitation nowcasting. In Proceedings of the 28th International Conference on Neural Information Processing Systems (NIPS 2015), Montreal, QC, Canada, 7–12 December 2015; Volume 1, pp. 802–810. [Google Scholar]
- Zamir, S.W.; Arora, A.; Khan, S.; Hayat, M.; Shahbaz, F.; Khan, S.; Yang, M. Restormer: Efficient Transformer for High-Resolution Image Restoration. In Proceedings of the IEEE/CVF Conference on Computer Vision and Pattern Recognition (CVPR 2022), New Orleans, LA, USA, 18–24 June 2022; Volume 1, pp. 5728–5739. [Google Scholar]
- Zhao, M.; Zhong, S.; Fu, X.; Tang, B.; Pecht, M. Deep Residual Shrinkage Networks for Fault Diagnosis. IEEE Trans. Ind. Inform. 2020, 16, 4681–4690. [Google Scholar] [CrossRef]
- Dosovitskiy, A.; Beyer, L.; Kolesnikov, A.; Weissenborn, D.; Zhai, X.; Unterthiner, T.; Dehghani, M.; Minderer, M.; Heigold, G.; Gelly, S.; et al. An Image is Worth 16x16 Words: Transformers for Image Recognition at Scale. In Proceedings of the International Conference on Learning Representations (ICLR 2021), Vienna, Austria, 4 May 2021. [Google Scholar]
- Liu, Z.; Lin, Y.; Cao, Y.; Hu, H.; Wei, Y.; Zhang, Z.; Lin, S.; Guo, B. Swin Transformer: Hierarchical Vision Transformer using Shifted Windows. In Proceedings of the IEEE/CVF International Conference on Computer Vision (ICCV 2021), Montreal, QC, Canada, 10–17 October 2021; Volume 1, pp. 10012–10022. [Google Scholar]
- Li, B.; Wu, F.; Weinberger, K.Q.; Belongie, S. Positional Normalization. In Proceedings of the Advances in Neural Information Processing Systems (NeurIPS 2019), Vancouver, BC, Canada, 9–14 December 2019; Volume 1, pp. 1622–1634. [Google Scholar]
- Marr, D.; Hildreth, E. Theory of edge detection. Proc. R. Soc. Lond. Ser. B Biol. Sci. 1980, 207, 187–217. [Google Scholar] [CrossRef]
- Kingma, D.P.; Ba, L.J. Adam: A Method for Stochastic Optimization. In Proceedings of the 3rd International Conference on Learning Representations (ICLR 2015), San Diego, CA, USA, 7–9 May 2015. [Google Scholar]
- McCollough, C.; Chen, B.; Holmes, D.R., III; Duan, X.; Yu, Z.; Yu, L.; Leng, S.; Fletcher, J. Low Dose CT Image and Projection Data (LDCT-and-Projection-Data) (Version 6) [Dataset]. The Cancer Imaging Archive. Available online: https://www.cancerimagingarchive.net/collection/ldct-and-projection-data (accessed on 3 April 2023).
- Xia, W.; Lu, Z.; Huang, Y.; Shi, Z.; Liu, Y.; Chen, H.; Chen, Y.; Zhou, J.; Zhang, Y. MAGIC: Manifold and Graph Integrative Convolutional Network for Low-Dose CT Reconstruction. IEEE Trans. Med. Imaging 2021, 40, 3459–3472. [Google Scholar] [CrossRef] [PubMed]
- Wang, Z.; Bovik, A.C.; Sheikh, H.R.; Simoncelli, E.P. Image quality assessment: From error visibility to structural similarity. IEEE Trans. Image Process. 2004, 13, 600–612. [Google Scholar] [CrossRef]
- Asamoah, F. Discrete Wavelet Analysis of Two-Dimensional Signals. Int. J. Electr. 2002, 39, 162–174. [Google Scholar] [CrossRef]
- Cai, G.; Feng, H.; Xu, Z.; Li, Q.; Chen, Y. Detail preserved fusion of visible and infrared images using regional saliency extraction and multi-scale image decomposition. Opt. Commun. 2015, 341, 199–209. [Google Scholar] [CrossRef]
- Ma, N.; Zhang, X.; Zheng, H.; Sun, J. ShuffleNet V2: Practical Guidelines for Efficient CNN Architecture Design. In Proceedings of the 15th European Conference on Computer Vision (ECCV 2018), Munich, Germany, 8–14 September 2018; Volume 11218, pp. 122–138. [Google Scholar]
- Mostafavi, S.M. COVID19-CT-Dataset: An Open-Access Chest CT Image Repository of 1000+ Patients with Confirmed COVID-19 Diagnosis (Version 1) [Dataset]. Harvard Dataverse. Available online: https://dataverse.harvard.edu/dataset.xhtml?persistentId=doi:10.7910/DVN/6ACUZJ (accessed on 10 December 2023).













| Method | 128 Projection Views | 64 Projection Views | 32 Projection Views | ||||||
|---|---|---|---|---|---|---|---|---|---|
| PSNR | SSIM | RMSE | PSNR | SSIM | RMSE | PSNR | SSIM | RMSE | |
| FBP | 17.0616 ± 1.6025 | 0.4801 ± 0.0486 | 0.1424 ± 0.0223 | 14.0979 ± 1.2326 | 0.3835 ± 0.0480 | 0.1991 ± 0.0253 | 11.8461 ± 1.1073 | 0.3189 ± 0.0473 | 0.2577 ± 0.0031 |
| MWNet | 35.3025 ± 2.0618 | 0.8671 ± 0.0542 | 0.0177 ± 0.0041 | 32.3812 ± 1.7980 | 0.8195 ± 0.0480 | 0.0246 ± 0.0060 | 28.6675 ± 2.1581 | 0.7816 ± 0.0563 | 0.0379 ± 0.0085 |
| DuDoTrans | 37.5434 ± 2.9086 | 0.8968 ± 0.0407 | 0.0138 ± 0.0034 | 33.5129 ± 2.1423 | 0.8489 ± 0.0443 | 0.0216 ± 0.0042 | 29.3935 ± 1.9850 | 0.7978 ± 0.0493 | 0.0347 ± 0.0071 |
| DDPTrans | 37.9856 ± 1.2154 | 0.9034 ± 0.0081 | 0.0138 ± 0.0037 | 33.3891 ± 2.1731 | 0.8443 ± 0.0511 | 0.0216 ± 0.0047 | 30.6977 ± 1.8773 | 0.8175 ± 0.0607 | 0.0298 ± 0.0056 |
| MIST | 36.7952 ± 1.9551 | 0.9059 ± 0.0374 | 0.0148 ± 0.0029 | 34.6944 ± 2.0515 | 0.8768 ± 0.0482 | 0.0189 ± 0.0040 | 30.9089 ± 1.5734 | 0.8286 ± 0.0489 | 0.0289 ± 0.0050 |
| RegFormer | 37.3118 ± 2.1226 | 0.8897 ± 0.0418 | 0.0141 ± 0.0031 | 33.5659 ± 1.6660 | 0.8471 ± 0.0463 | 0.0214 ± 0.0038 | 30.7162 ± 1.6209 | 0.8059 ± 0.0535 | 0.0296 ± 0.0050 |
| Ours | 39.7360 ± 3.1812 | 0.9279 ± 0.0356 | 0.0108 ± 0.0034 | 36.4065 ± 2.5655 | 0.8922 ± 0.0468 | 0.0157 ± 0.0040 | 31.9482 ± 1.8559 | 0.8438 ± 0.0514 | 0.0258 ± 0.0052 |
| Method | Noise-L1 (1 × 106) | Noise-L2 (5 × 105) | Noise-L3 (1 × 105) | ||||||
|---|---|---|---|---|---|---|---|---|---|
| PSNR | SSIM | RMSE | PSNR | SSIM | RMSE | PSNR | SSIM | RMSE | |
| FBP | 14.0077 ± 1.1170 | 0.3427 ± 0.0348 | 0.2009 ± 0.0239 | 13.9236 ± 1.0353 | 0.3082 ± 0.0281 | 0.2027 ± 0.0229 | 13.2971 ± 0.7244 | 0.2017 ± 0.0228 | 0.2171 ± 0.0180 |
| MWNet | 32.1469 ± 1.3300 | 0.8141 ± 0.0491 | 0.0250 ± 0.0038 | 31.6998 ± 1.1159 | 0.7972 ± 0.0469 | 0.0262 ± 0.0033 | 28.4697 ± 0.8459 | 0.6143 ± 0.0371 | 0.0379 ± 0.0040 |
| DuDoTrans | 33.3070 ± 2.9086 | 0.8410 ± 0.0428 | 0.0221 ± 0.0042 | 33.0065 ± 1.8279 | 0.8275 ± 0.0401 | 0.0228 ± 0.0041 | 30.6072 ± 1.2689 | 0.6887 ± 0.0377 | 0.0298 ± 0.0036 |
| DDPTrans | 33.3621 ± 2.1675 | 0.8441 ± 0.0596 | 0.0220 ± 0.0047 | 33.3207 ± 2.1778 | 0.8437 ± 0.0584 | 0.0221 ± 0.0047 | 32.8704 ± 1.8773 | 0.8405 ± 0.0590 | 0.0232 ± 0.0056 |
| MIST | 34.4409 ± 1.9623 | 0.8699 ± 0.0473 | 0.0194 ± 0.0039 | 34.0791 ± 2.0515 | 0.8575 ± 0.0448 | 0.0202 ± 0.0038 | 32.1646 ± 1.3665 | 0.7811 ± 0.0366 | 0.0250 ± 0.0035 |
| RegFormer | 33.4319 ± 1.8588 | 0.8465 ± 0.0463 | 0.0218 ± 0.0044 | 33.3905 ± 1.8442 | 0.8451 ± 0.0463 | 0.0219 ± 0.0044 | 33.0737 ± 1.6209 | 0.8339 ± 0.0535 | 0.0227 ± 0.0050 |
| Ours | 36.2235 ± 2.4382 | 0.8915 ± 0.0356 | 0.0159 ± 0.0039 | 35.7969 ± 2.5655 | 0.8822 ± 0.0436 | 0.0167 ± 0.0038 | 34.3397 ± 2.0856 | 0.8436 ± 0.0359 | 0.0197 ± 0.0041 |
| Baseline | Model 2 | Model 3 | Model 4 | Model 5 | Model 6 | Model 7 | Model 8 | Ours | ||
|---|---|---|---|---|---|---|---|---|---|---|
| Network Structure | Conv-LSTM | CBR | CBR | √ | 3 × 3Conv-based | √ | √ | √ | √ | √ |
| ACSTF | × | √ | × | √ | √ | √ | √ | √ | √ | |
| SNFM | √ | √ | √ | √ | SwinT | × | × | √ | √ | |
| Summation fusion | × | × | × | × | × | √ | × | × | × | |
| Concatenation fusion | × | × | × | × | × | × | √ | × | × | |
| Haar wavelet transform | √ | √ | √ | √ | √ | √ | √ | Daubechies wavelet transform | √ | |
| PSNR | 29.8588 ± 1.2407 | 31.0563 ± 1.5195 | 35.9344 ± 2.1782 | 36.2666 ± 2.3966 | 35.4864 ± 2.1166 | 36.1024 ± 2.2599 | 33.2770 ± 1.9848 | 36.2853 ± 2.5442 | 36.4065 ± 2.5655 | |
| SSIM | 0.7239 ± 0.0437 | 0.7429 ± 0.0307 | 0.8733 ± 0.0467 | 0.8883 ± 0.0467 | 0.8727 ± 0.0495 | 0.8864 ± 0.0430 | 0.8586 ± 0.262 | 0.8918 ± 0.0472 | 0.8922 ± 0.0468 | |
| RMSE | 0.0325 ± 0.0045 | 0.0285 ± 0.0057 | 0.0164 ± 0.0037 | 0.0159 ± 0.0038 | 0.0173 ± 0.0038 | 0.0162 ± 0.0038 | 0.0222 ± 0.0024 | 0.0159 ± 0.0047 | 0.0157 ± 0.0040 | |
| Param (M) | 16.68 | 17.13 | 20.03 | 54.01 | 20.90 | 14.26 | 22.29 | 20.47 | 20.47 |
| Method | PSNR | SSIM | RMSE |
|---|---|---|---|
| SDNet | 34.3578 ± 2.6077 | 0.8661 ± 0.0499 | 0.0199 ± 0.0049 |
| IDNet | 32.9327 ± 1.7221 | 0.8496 ± 0.0512 | 0.0230 ± 0.0044 |
| Ours | 36.4065 ± 2.5655 | 0.8922 ± 0.0468 | 0.0157 ± 0.0040 |
| MWNet | DuDoTrans | DDPTrans | MIST | RegFormer | Ours | |
|---|---|---|---|---|---|---|
| Param (M) | 31.21 | 0.62 | 0.95 | 27.30 | 2.41 | 20.47 |
| FLOPs (G) | 87.52 | 125.51 | 182.24 | 615.13 | 631.70 | 751.59 |
| Time (ms) | 17.53 | 159.86 | 60.95 | 262.82 | 334.70 | 284.77 |
| FBP | MWNet | DuDoTrans | DDPTrans | MIST | RegFormer | Ours | |
|---|---|---|---|---|---|---|---|
| PSNR | 20.0494 ± 1.0089 | 28.8013 ± 1.5426 | 30.2586 ± 1.4001 | 29.8582 ± 1.3986 | 30.3650 ± 1.3708 | 30.4801 ± 1.9848 | 31.9899 ± 1.8273 |
| SSIM | 0.3179 ± 0.0312 | 0.7356 ± 0.0747 | 0.7608 ± 0.0671 | 0.7325 ± 0.0916 | 0.7683 ± 0.0729 | 0.7584 ± 0.0764 | 0.7918 ± 0.724 |
| RMSE | 0.1001 ± 0.0012 | 0.0369 ± 0.0090 | 0.0311 ± 0.0031 | 0.0325 ± 0.0057 | 0.0307 ± 0.0053 | 0.0303 ± 0.0031 | 0.0257 ± 0.0072 |
Disclaimer/Publisher’s Note: The statements, opinions and data contained in all publications are solely those of the individual author(s) and contributor(s) and not of MDPI and/or the editor(s). MDPI and/or the editor(s) disclaim responsibility for any injury to people or property resulting from any ideas, methods, instructions or products referred to in the content. |
© 2024 by the authors. Licensee MDPI, Basel, Switzerland. This article is an open access article distributed under the terms and conditions of the Creative Commons Attribution (CC BY) license (https://creativecommons.org/licenses/by/4.0/).
Share and Cite
Lin, J.; Li, J.; Dou, J.; Zhong, L.; Di, J.; Qin, Y. Dual-Domain Reconstruction Network Incorporating Multi-Level Wavelet Transform and Recurrent Convolution for Sparse View Computed Tomography Imaging. Tomography 2024, 10, 133-158. https://doi.org/10.3390/tomography10010011
Lin J, Li J, Dou J, Zhong L, Di J, Qin Y. Dual-Domain Reconstruction Network Incorporating Multi-Level Wavelet Transform and Recurrent Convolution for Sparse View Computed Tomography Imaging. Tomography. 2024; 10(1):133-158. https://doi.org/10.3390/tomography10010011
Chicago/Turabian StyleLin, Juncheng, Jialin Li, Jiazhen Dou, Liyun Zhong, Jianglei Di, and Yuwen Qin. 2024. "Dual-Domain Reconstruction Network Incorporating Multi-Level Wavelet Transform and Recurrent Convolution for Sparse View Computed Tomography Imaging" Tomography 10, no. 1: 133-158. https://doi.org/10.3390/tomography10010011
APA StyleLin, J., Li, J., Dou, J., Zhong, L., Di, J., & Qin, Y. (2024). Dual-Domain Reconstruction Network Incorporating Multi-Level Wavelet Transform and Recurrent Convolution for Sparse View Computed Tomography Imaging. Tomography, 10(1), 133-158. https://doi.org/10.3390/tomography10010011

