Analysis and Testing of a Flyable Micro Flapping-Wing Rotor with a Highly Efficient Elastic Mechanism
Abstract
1. Introduction
2. The Spring-Integrated Flapping-Wing Rotor and Analysis Method
2.1. Aerodynamic Model of an FWR Wing
2.2. Modelling and Dynamic Analysis of the FWR Model
2.2.1. Kinematics of FWR Wing Motions
2.2.2. Dynamic Motion Equation of the FWR Model
2.2.3. Effect of on Kinematics of Motion and Aerodynamic Forces
2.2.4. Effects of Resonance and Spring Stiffness
- Case 1: constant driven by the motorUnder the condition of a constant driven by the motor, the resonance analysis was first conducted on the pure mechanism by excluding the aerodynamic force term in (11). Subsequently, this term was incorporated to evaluate the effect of the aerodynamic force production on the required torque of the FWR mechanical system.
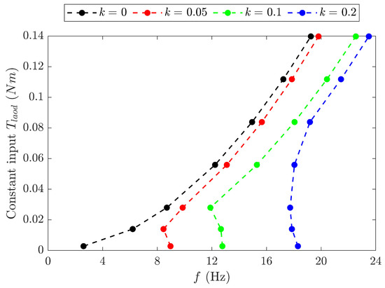
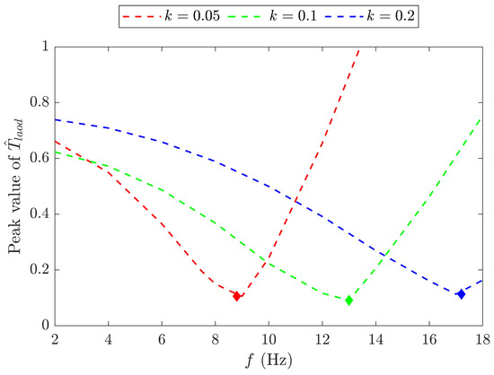
- Case without aerodynamic forcesThe dimensionless required torque of the pure mechanism with a fixed spring stiffness of N/mm was investigated for various values, and the results for three specific cases are shown in Figure 9 against the dimensionless time . For comparison, the baseline model without a spring operates at the corresponding frequencies of the spring model in the following cases: , , and 2. The baseline model results are depicted in the figure using dashed lines. Clearly, at resonance, i.e., = 1, is minimised at . As a result, the peak value of is reduced by 54% and the power saving is compared to the baseline model at the same frequency . When the frequency exceeds , the required torque increases with the frequency. At , reduces to 23%, keeping the torque smaller than the baseline model.The is obtained for three different spring stiffnesses, 0.05 N/mm, 0.1 N/mm, and 0.2 N/mm, and the results are shown in Figure 10 against a wide range of frequencies. The natural frequencies of the FWR model are determined as 8.8 Hz, 12.8 Hz, and 17.5 Hz, respectively, from the minimum peak values of . This figure also highlights the effect of the spring stiffness on the required torque across the frequency range. It can be seen that models with a lower spring stiffness, such as 0.05 N/mm, require less torque at lower flapping frequencies, whereas a higher stiffness such as 0.2 N/mm requires considerably less torque at higher frequencies.
- Case with aerodynamic forcesThe required torque was then investigated for three different springs together with the springless baseline model under the condition of aerodynamic force generation. The results are presented in Figure 11 at a flapping frequency of 8 Hz. The aerodynamic force produced by the spring models remains the same as that of the baseline model. The model with a 0.05 N/mm spring has a resonance frequency that is close to 8 Hz, resulting in the smallest required torque compared to other models, while producing the same aerodynamic force. Clearly, the spring stretches before the mid-downstroke, providing an elastic force that aids wing flapping and results in negative torque. After the second half of the downstroke, the spring compresses, leading to an increase in the positive torque. The same pattern reverses for the upstroke.
- Case 2: constant input torque from the motorAt a given flapping frequency with the same constant as in Case 1, the kinematics of the flapping motion remain consistent for the model regardless of the spring’s involvement. Ideally, excessive spring potential energy should be transferred back to the motor for later use [26]. However, it is impractical to save energy directly through a DC motor. Thus, a constant input voltage/torque is assumed for a motor-driven flapping-wing robot [27]. Obviously, a DC motor is unable to maintain a constant rotating speed without a speed controller. In reality, the counter-electromotive force from the DC motor produces a negative torque against the excessive energy and causes an increase in the motor power. Therefore, a constant torque rather than a constant speed is the primary consideration when simulating the spring’s effect on both the kinematics of the wing motion and the power requirements.
3. Experimental Results and Discussion
3.1. FWR Model Test Setup
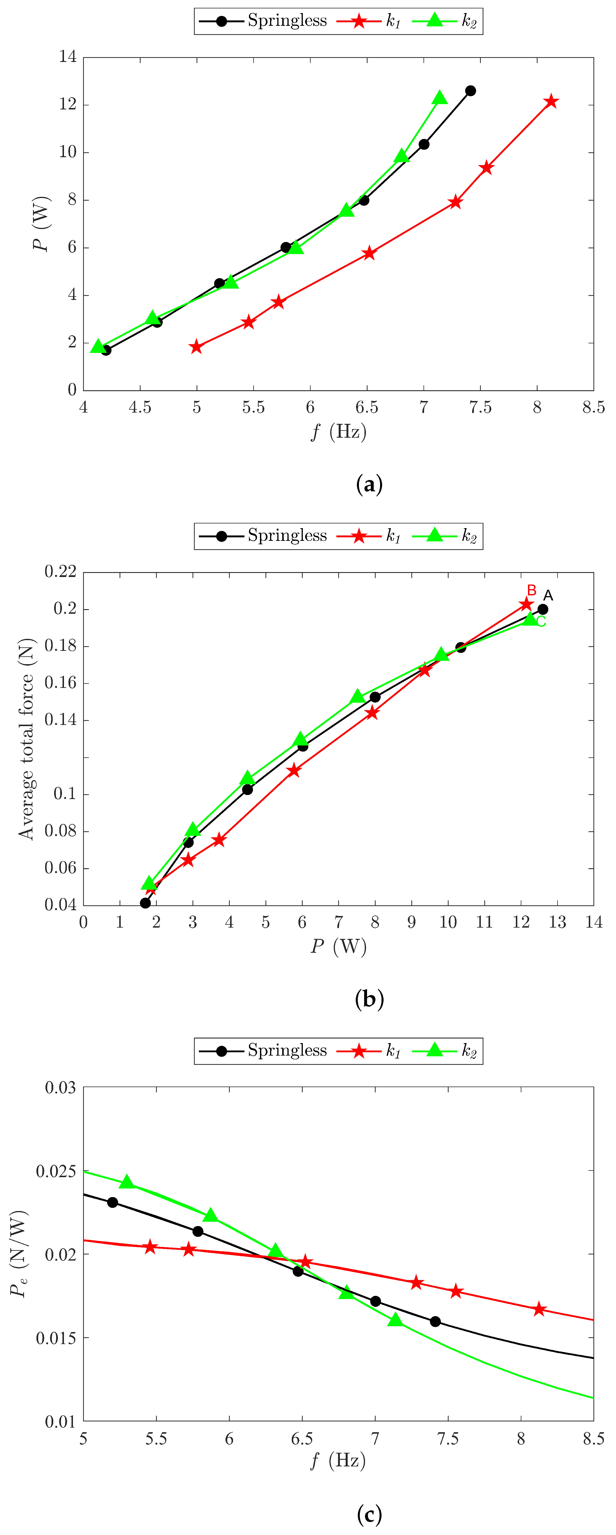
3.2. Test of the Pure FWR Mechanism
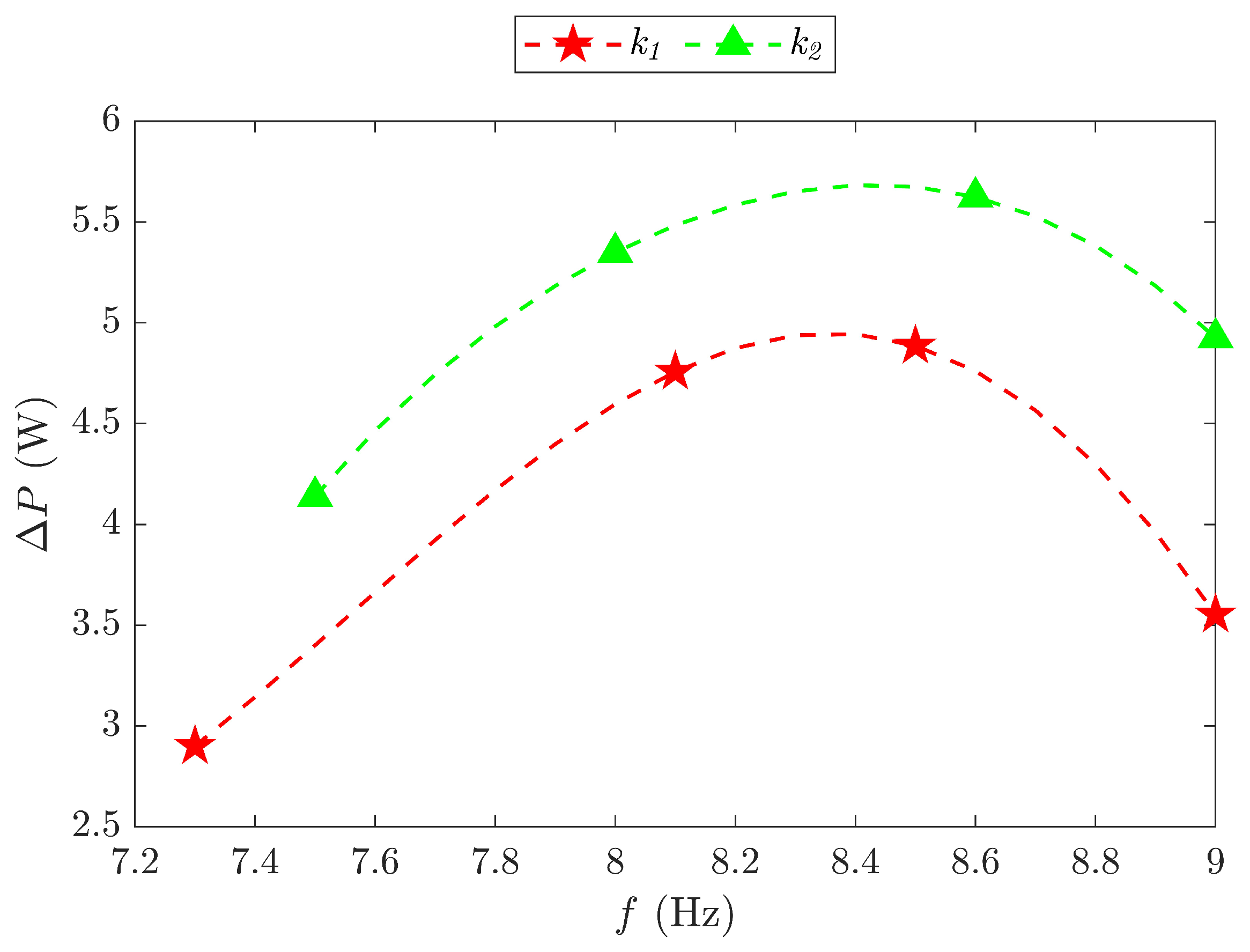
3.3. Test of the FWR Including Aerodynamic Forces
4. Take-Off Flight of the FWR-MAV with Onboard Power
5. Conclusions
- ·
- Incorporating a spring stiffness of 0.036 N/mm in the FWR model results in a maximum input power reduction of 14% and a power efficiency increase of 16% at a flapping frequency of 8.1 Hz (approaching resonance) compared to the baseline model.
- ·
- The model achieved 20% less power consumption and a 66.7% increase in power efficiency compared to a previous FWR model of the same weight and size.
- ·
- Free flight was successfully achieved with an onboard power unit and remote-control device, demonstrating significant potential for increasing the flight endurance and payload capability in future applications of FWR-MAVs.
Author Contributions
Funding
Institutional Review Board Statement
Data Availability Statement
Conflicts of Interest
Abbreviations
| MAV | Micro Aerial Vehicle |
| FWR | Flapping-Wing Rotor |
| Inertial frame | |
| Co-rotating frame | |
| Wing-fixed frame | |
| , | Intermediate frames |
| R | Ratio of wing span |
| Mean chord | |
| h | Distance between pitching axis and leading edge |
| Wing strip at span-wise location | |
| , , | Angle of rotation, flapping, and pitching |
| t, | Instant time, dimensionless time |
| , | Translational velocity, angular velocity |
| Air density | |
| Effective angle of attack | |
| , | Quasi-steady aerodynamic coefficients of wing translation |
| Quasi-steady aerodynamic coefficient of wing pitching | |
| , | Added mass coefficients |
| L, | Instantaneous lift and thrust |
| , | Leading edge and trailing edge |
| Mass of a wing strip | |
| , , | Instantaneous aerodynamic force, translational force, and rotational force |
| Instantaneous added mass force | |
| Inertial force | |
| Resulting forces of wing strip | |
| Flapping angular speed | |
| , | Rotation angle and angular speed of crank arm |
| k | Spring stiffness |
| Slide travel | |
| r | Crank arm length |
| l | Connecting rod length |
| Ratio of crank arm length to connecting rod length | |
| Initial flapping angle | |
| Load torque caused by aerodynamic, inertial, and elastic forces | |
| Dimensionless torque | |
| Total effective moment of inertia of motor and gears | |
| Effective damping coefficient of motor rotating elements | |
| Linear input gain relative to gear ratio and motor torque constant and resistance | |
| u, | Sinusoidal input voltage and magnitude |
| Motor angular velocity | |
| , | Mass of load, effective mass |
| Natural frequency | |
| P, , | Input power from a motor, power efficiency, power-saving value |
| , | Required power (torque) for model with and without spring, respectively |
| Power reduction |
References
- Lentink, D. Biomimetics: Flying like a fly. Nature 2013, 498, 306–307. [Google Scholar] [CrossRef] [PubMed]
- Roberts, L.J.; Bruck, H.A.; Gupta, S.K. Modeling of dive maneuvers in flapping wing unmanned aerial vehicles. In Proceedings of the 2015 IEEE International Symposium on Safety, Security, and Rescue Robotics (SSRR), West Lafayette, IN, USA, 18–20 October 2015; pp. 1–6. [Google Scholar] [CrossRef]
- Pines, D.J.; Felipe, B. Challenges facing future micro-air-vehicle development. J. Aircr. 2006, 43, 290–305. [Google Scholar] [CrossRef]
- Roshanbin, A.; Altartouri, H.; Karásek, M.; Preumont, A. COLIBRI: A hovering flapping twin-wing robot. Int. J. Micro Air Veh. 2017, 9, 270–282. [Google Scholar] [CrossRef]
- Tu, Z.; Fei, F.; Deng, X. Untethered Flight of an At-Scale Dual-Motor Hummingbird Robot with Bio-Inspired Decoupled Wings. IEEE Robot. Autom. Lett. 2020, 5, 4194–4201. [Google Scholar] [CrossRef]
- Phan, H.V.; Park, H.C. Mechanisms of collision recovery in flying beetles and flapping-wing robots. Science 2020, 370, 1214–1219. [Google Scholar] [CrossRef]
- Phan, H.V.; Park, H.C. Insect-inspired, tailless, hover-capable flapping-wing robots: Recent progress, challenges, and future directions. Prog. Aerosp. Sci. 2019, 111, 100573. [Google Scholar] [CrossRef]
- Keennon, M.; Klingebiel, K.; Won, H.; Andriukov, A. Development of the Nano Hummingbird: A Tailless Flapping Wing Micro Air Vehicle. In Proceedings of the 50th AIAA Aerospace Sciences Meeting including the New Horizons Forum and Aerospace Exposition, Nashville, TN, USA, 9–12 January 2012. [Google Scholar] [CrossRef]
- Coleman, D.; Benedict, M.; Hrishikeshavan, V.; Chopra, I. Design, Development and Flight-Testing of a Robotic Hummingbird. In Proceedings of the Annual Forum Proceedings—AHS International, Virginia Beach, Virginia, 5–7 May 2015. [Google Scholar]
- Nguyen, Q.V.; Chan, W.L. Development and Flight Performance of a Biological-inspired Tailless Flapping Wing Micro Air Vehicle with Wing Stroke Plane Modulation. Bioinspiration Biomim. 2019, 14, 016015. [Google Scholar] [CrossRef]
- Karásek, M.; Muijres, F.T.; De Wagter, C.; Remes, B.D.; De Croon, G.C. A tailless aerial robotic flapper reveals that flies use torque coupling in rapid banked turns. Science 2018, 361, 1089–1094. [Google Scholar] [CrossRef]
- Ellington, C.P. The aerodynamics of hovering insect flight. VI. Lift and power requirements. Philos. Trans. R. Soc. B 1984, 305, 145–181. [Google Scholar] [CrossRef]
- Guo, S.; Li, H.; Zhou, C.; Zhang, Y.L.; He, Y.; Wu, J.H. Analysis and experiment of a bio-inspired flyable micro flapping wing rotor. Aerosp. Sci. Technol. 2018, 79, 506–517. [Google Scholar] [CrossRef]
- Li, H.; Guo, S.; Zhang, Y.L.; Zhou, C.; Wu, J.H. Unsteady aerodynamic and optimal kinematic analysis of a micro flapping wing rotor. Aerosp. Sci. Technol. 2017, 63, 167–178. [Google Scholar] [CrossRef]
- Dong, X.; Li, D.; Xiang, J.; Wang, Z. Design and experimental study of a new flapping wing rotor micro aerial vehicle. Chin. J. Aeronaut. 2020, 33, 3092–3099. [Google Scholar] [CrossRef]
- Chen, S.; Wang, L.; He, Y.; Tong, M.; Pan, Y.; Ji, B.; Guo, S. Aerodynamic performance of a flyable flapping wing rotor with passive pitching angle variation. IEEE Trans. Ind. Electron. 2022, 69, 9176–9184. [Google Scholar] [CrossRef]
- Guan, Z.; Yu, Y. Aerodynamic mechanism of forces generated by twisting model-wing in bat flapping flight. Appl. Math. Mech. 2014, 35, 1607–1618. [Google Scholar] [CrossRef]
- Truong, T.Q.; Phan, V.H.; Park, H.C.; Ko, J.H. Effect of wing twisting on aerodynamic performance of flapping wing system. AIAA J. 2013, 51, 1612–1620. [Google Scholar] [CrossRef]
- Ellington, C.P. Power and efficiency of insect flight muscle. J. Exp. Biol. 1985, 115, 293–304. [Google Scholar] [CrossRef]
- Alexander, R.M.; Bennet-Clark, H.C. Storage of elastic strain energy in muscle and other tissues. Nature 1977, 265, 114–117. [Google Scholar] [CrossRef]
- Zhao, L.; Deng, X. Power distribution in the hovering flight of the hawk moth Manduca sexta. Bioinspiration Biomim. 2009, 4, 046003. [Google Scholar] [CrossRef] [PubMed]
- Lau, G.K.; Chin, Y.W.; Goh, J.T.W.; Wood, R.J. Dipteran-insect-inspired thoracic mechanism with nonlinear stiffness to save inertial power of flapping-wing flight. IEEE Trans. Robot. 2014, 30, 1187–1197. [Google Scholar] [CrossRef]
- Steltz, E.; Avadhanula, S.; Fearing, R.S. High lift force with 275 Hz wing beat in MFI. In Proceedings of the 2007 IEEE/RSJ International Conference on Intelligent Robots and Systems, San Diego, CA, USA, 29 October–2 November 2007; pp. 3987–3992. [Google Scholar] [CrossRef]
- Wood, R.J. Liftoff of a 60mg flapping-wing MAV. In Proceedings of the 2007 IEEE/RSJ International Conference on Intelligent Robots and Systems, San Diego, CA, USA, 29 October–2 November 2007; pp. 1889–1894. [Google Scholar] [CrossRef]
- Madangopal, R.; Khan, Z.A.; Agrawal, S.K. Biologically inspired design of small flapping wing air vehicles using four-bar mechanisms and quasi-steady aerodynamics. J. Mech. Des. 2005, 127, 809–816. [Google Scholar] [CrossRef]
- Tantanawat, T.; Kota, S. Design of compliant mechanisms for minimizing input power in dynamic applications. J. Mech. Des. 2007, 129, 1064–1075. [Google Scholar] [CrossRef]
- Baek, S.S.; Ma, K.Y.; Fearing, R.S. Efficient resonant drive of flapping-wing robots. In Proceedings of the 2009 IEEE/RSJ International Conference on Intelligent Robots and Systems, St. Louis, MO, USA, 10–15 October 2009; pp. 2854–2860. [Google Scholar] [CrossRef]
- Pan, Y.; Guo, S.; Whidborne, J.; Huang, X. Aerodynamic performance of a flyable flapping wing rotor with dragonfly-like flexible wings. Aerosp. Sci. Technol. 2024, 148, 109090. [Google Scholar] [CrossRef]
- Zhang, J.; Deng, X. Resonance Principle for the Design of Flapping Wing Micro Air Vehicles. IEEE Trans. Robot. 2017, 33, 183–197. [Google Scholar] [CrossRef]
- Hines, L.; Campolo, D.; Sitti, M. Liftoff of a motor-driven, flapping-wing microaerial vehicle capable of resonance. IEEE Trans. Robot. 2014, 30, 220–232. [Google Scholar] [CrossRef]






















| Component | Material | Weight (g) | Quantity |
|---|---|---|---|
| Motor | - | 4.87 | 1 |
| Model frame | Polyamide (nylon plastic) | 2.76 | 1 |
| Gear set (4 gears) | Plastics | 3.17 | 1 |
| Rocker | Carbon fibre | 0.15 | 2 |
| Connecting rod and bearing | Carbon fibre, aluminium | 0.45 | 2 |
| Slider and bearing | Aluminium | 1.9 | 1 |
| Bifurcated unit | Aluminium | 0.69 | 2 |
| Vertical shaft | Aluminium | 0.9 | 1 |
| Flapping bar | Carbon fibre | 0.3 | 2 |
| V-linkage | Carbon fibre | 0.1 | 2 |
| Wing rotary bearing | Aluminium | 0.3 | 1 |
| Wing skin | Polyimide | 1.33 | 2 |
| Total | - | 19.74 | 18 |
Disclaimer/Publisher’s Note: The statements, opinions and data contained in all publications are solely those of the individual author(s) and contributor(s) and not of MDPI and/or the editor(s). MDPI and/or the editor(s) disclaim responsibility for any injury to people or property resulting from any ideas, methods, instructions or products referred to in the content. |
© 2024 by the authors. Licensee MDPI, Basel, Switzerland. This article is an open access article distributed under the terms and conditions of the Creative Commons Attribution (CC BY) license (https://creativecommons.org/licenses/by/4.0/).
Share and Cite
Pan, Y.; Su, H.; Guo, S.; Chen, S.; Huang, X. Analysis and Testing of a Flyable Micro Flapping-Wing Rotor with a Highly Efficient Elastic Mechanism. Biomimetics 2024, 9, 737. https://doi.org/10.3390/biomimetics9120737
Pan Y, Su H, Guo S, Chen S, Huang X. Analysis and Testing of a Flyable Micro Flapping-Wing Rotor with a Highly Efficient Elastic Mechanism. Biomimetics. 2024; 9(12):737. https://doi.org/10.3390/biomimetics9120737
Chicago/Turabian StylePan, Yingjun, Huijuan Su, Shijun Guo, Si Chen, and Xun Huang. 2024. "Analysis and Testing of a Flyable Micro Flapping-Wing Rotor with a Highly Efficient Elastic Mechanism" Biomimetics 9, no. 12: 737. https://doi.org/10.3390/biomimetics9120737
APA StylePan, Y., Su, H., Guo, S., Chen, S., & Huang, X. (2024). Analysis and Testing of a Flyable Micro Flapping-Wing Rotor with a Highly Efficient Elastic Mechanism. Biomimetics, 9(12), 737. https://doi.org/10.3390/biomimetics9120737

