Kinematic–Muscular Synergies Describe Human Locomotion with a Set of Functional Synergies
Abstract
1. Introduction
2. Materials and Methods
2.1. Participants
2.2. OpenSim Model and Analysis Pipeline
2.3. Synergy Extraction and Clustering
3. Results
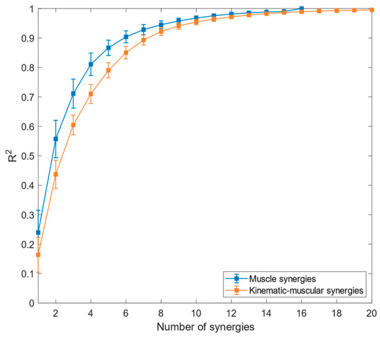
3.1. Reconstruction R2
3.2. Comparison between Kinematic–Muscular Synergies and Muscle Synergies
3.3. Extraction of Kinematic–Muscular Synergies with R2 > 0.85
4. Discussion
4.1. Summary of the Findings
4.2. Muscle Synergies vs. Kinematic–Muscular Synergies
4.3. Kinematic–Muscular Synergies Add Functional Information to Muscle Synergies
4.4. Clinical Application of Kinematic–Muscular Synergistic Control
5. Limitations and Future Work
6. Conclusions
Author Contributions
Funding
Institutional Review Board Statement
Data Availability Statement
Acknowledgments
Conflicts of Interest
References
- De Groote, F.; Jonkers, I.; Duysens, J. Task Constraints and Minimization of Muscle Effort Result in a Small Number of Muscle Synergies during Gait. Front. Comput. Neurosci. 2014, 8, 115. [Google Scholar] [CrossRef] [PubMed]
- Bizzi, E.; Cheung, V.C.K.; d’Avella, A.; Saltiel, P.; Tresch, M. Combining Modules for Movement. Brain Res. Rev. 2008, 57, 125–133. [Google Scholar] [CrossRef] [PubMed]
- Tresch, M.C.; Cheung, V.C.K.; d’Avella, A. Matrix Factorization Algorithms for the Identification of Muscle Synergies: Evaluation on Simulated and Experimental Data Sets. J. Neurophysiol. 2006, 95, 2199–2212. [Google Scholar] [CrossRef] [PubMed]
- Ivanenko, Y.P.; Poppele, R.E.; Lacquaniti, F. Five Basic Muscle Activation Patterns Account for Muscle Activity during Human Locomotion. J. Physiol. 2004, 556, 267–282. [Google Scholar] [CrossRef] [PubMed]
- d’Avella, A.; Saltiel, P.; Bizzi, E. Combinations of Muscle Synergies in the Construction of a Natural Motor Behavior. Nat. Neurosci. 2003, 6, 300–308. [Google Scholar] [CrossRef]
- Delis, I.; Panzeri, S.; Pozzo, T.; Berret, B. A Unifying Model of Concurrent Spatial and Temporal Modularity in Muscle Activity. J. Neurophysiol. 2014, 111, 675–693. [Google Scholar] [CrossRef]
- Chia Bejarano, N.; Pedrocchi, A.; Nardone, A.; Schieppati, M.; Baccinelli, W.; Monticone, M.; Ferrigno, G.; Ferrante, S. Tuning of Muscle Synergies During Walking Along Rectilinear and Curvilinear Trajectories in Humans. Ann. Biomed. Eng. 2017, 45, 1204–1218. [Google Scholar] [CrossRef]
- Rimini, D.; Agostini, V.; Knaflitz, M. Intra-Subject Consistency during Locomotion: Similarity in Shared and Subject-Specific Muscle Synergies. Front. Hum. Neurosci. 2017, 11, 586. [Google Scholar] [CrossRef]
- Ghislieri, M.; Agostini, V.; Knaflitz, M. Muscle Synergies Extracted Using Principal Activations: Improvement of Robustness and Interpretability. IEEE Trans. Neural Syst. Rehabil. Eng. 2020, 28, 453–460. [Google Scholar] [CrossRef]
- Chvatal, S.A.; Ting, L.H. Common Muscle Synergies for Balance and Walking. Front. Comput. Neurosci. 2013, 7, 48. [Google Scholar] [CrossRef]
- Marino, G.; Scano, A.; Beltrame, G.; Brambilla, C.; Marazzi, A.; Aparo, F.; Molinari Tosatti, L.; Gatti, R.; Portinaro, N. Influence of Backpack Carriage and Walking Speed on Muscle Synergies in Healthy Children. Bioengineering 2024, 11, 173. [Google Scholar] [CrossRef] [PubMed]
- Cappellini, G.; Ivanenko, Y.P.; Poppele, R.E.; Lacquaniti, F. Motor Patterns in Human Walking and Running. J. Neurophysiol. 2006, 95, 3426–3437. [Google Scholar] [CrossRef]
- Bowden, M.G.; Clark, D.J.; Kautz, S.A. Evaluation of Abnormal Synergy Patterns Poststroke: Relationship of the Fugl-Meyer Assessment to Hemiparetic Locomotion. Neurorehabil. Neural Repair 2010, 24, 328–337. [Google Scholar] [CrossRef]
- Barroso, F.O.; Torricelli, D.; Molina-Rueda, F.; Alguacil-Diego, I.M.; Cano-de-la-Cuerda, R.; Santos, C.; Moreno, J.C.; Miangolarra-Page, J.C.; Pons, J.L. Combining Muscle Synergies and Biomechanical Analysis to Assess Gait in Stroke Patients. J. Biomech. 2017, 63, 98–103. [Google Scholar] [CrossRef]
- Clark, D.J.; Ting, L.H.; Zajac, F.E.; Neptune, R.R.; Kautz, S.A. Merging of Healthy Motor Modules Predicts Reduced Locomotor Performance and Muscle Coordination Complexity Post-Stroke. J. Neurophysiol. 2010, 103, 844–857. [Google Scholar] [CrossRef]
- Cheung, V.C.K.; Turolla, A.; Agostini, M.; Silvoni, S.; Bennis, C.; Kasi, P.; Paganoni, S.; Bonato, P.; Bizzi, E. Muscle Synergy Patterns as Physiological Markers of Motor Cortical Damage. Proc. Natl. Acad. Sci. USA 2012, 109, 14652–14656. [Google Scholar] [CrossRef] [PubMed]
- Steele, K.M.; Rozumalski, A.; Schwartz, M.H. Muscle Synergies and Complexity of Neuromuscular Control during Gait in Cerebral Palsy. Dev. Med. Child Neurol. 2015, 57, 1176–1182. [Google Scholar] [CrossRef] [PubMed]
- Scano, A.; Mira, R.M.; d’Avella, A. Mixed Matrix Factorization: A Novel Algorithm for the Extraction of Kinematic-Muscular Synergies. J. Neurophysiol. 2022, 127, 529–547. [Google Scholar] [CrossRef]
- Esmaeili, S.; Karami, H.; Baniasad, M.; Shojaeefard, M.; Farahmand, F. The Association between Motor Modules and Movement Primitives of Gait: A Muscle and Kinematic Synergy Study. J. Biomech. 2022, 134, 110997. [Google Scholar] [CrossRef]
- Russo, M.; Scano, A.; Brambilla, C.; d’Avella, A. SynergyAnalyzer: A Matlab Toolbox Implementing Mixed-Matrix Factorization to Identify Kinematic-Muscular Synergies. Comput. Methods Programs Biomed. 2024, 251, 108217. [Google Scholar] [CrossRef]
- Scano, A.; Jarque-Bou, N.; Brambilla, C.; Atzori, M.; D’Avella, A.; Müller, H. Functional Synergies Applied to a Publicly Available Dataset of Hand Grasps Show Evidence of Kinematic-Muscular Synergistic Control. IEEE Access 2023, 11, 108544–108560. [Google Scholar] [CrossRef]
- Tang, L.; Li, F.; Cao, S.; Zhang, X.; Wu, D.; Chen, X. Muscle Synergy Analysis in Children with Cerebral Palsy. J. Neural Eng. 2015, 12, 046017. [Google Scholar] [CrossRef] [PubMed]
- Goudriaan, M.; Papageorgiou, E.; Shuman, B.R.; Steele, K.M.; Dominici, N.; Van Campenhout, A.; Ortibus, E.; Molenaers, G.; Desloovere, K. Muscle Synergy Structure and Gait Patterns in Children with Spastic Cerebral Palsy. Dev. Med. Child Neurol. 2022, 64, 462–468. [Google Scholar] [CrossRef] [PubMed]
- Moreira, L.; Figueiredo, J.; Fonseca, P.; Vilas-Boas, J.P.; Santos, C.P. Lower Limb Kinematic, Kinetic, and EMG Data from Young Healthy Humans during Walking at Controlled Speeds. Sci. Data 2021, 8, 103. [Google Scholar] [CrossRef]
- Seth, A.; Sherman, M.; Reinbolt, J.A.; Delp, S.L. OpenSim: A Musculoskeletal Modeling and Simulation Framework for in Silico Investigations and Exchange. Procedia IUTAM 2011, 2, 212–232. [Google Scholar] [CrossRef]
- Delp, S.L.; Anderson, F.C.; Arnold, A.S.; Loan, P.; Habib, A.; John, C.T.; Guendelman, E.; Thelen, D.G. OpenSim: Open-Source Software to Create and Analyze Dynamic Simulations of Movement. IEEE Trans. Biomed. Eng. 2007, 54, 1940–1950. [Google Scholar] [CrossRef]
- Anderson, F.C.; Pandy, M.G. Dynamic Optimization of Human Walking. J. Biomech. Eng. 2001, 123, 381–390. [Google Scholar] [CrossRef]
- Brambilla, C.; Beltrame, G.; Marino, G.; Lanzani, V.; Gatti, R.; Portinaro, N.; Molinari Tosatti, L.; Scano, A. Biomechanical Analysis of Human Gait When Changing Velocity and Carried Loads: Simulation Study with OpenSim. Biology 2024, 13, 321. [Google Scholar] [CrossRef]
- Lee, D.D.; Seung, H.S. Learning the Parts of Objects by Non-Negative Matrix Factorization. Nature 1999, 401, 788–791. [Google Scholar] [CrossRef]
- d’Avella, A.; Portone, A.; Fernandez, L.; Lacquaniti, F. Control of Fast-Reaching Movements by Muscle Synergy Combinations. J. Neurosci. Off. J. Soc. Neurosci. 2006, 26, 7791–7810. [Google Scholar] [CrossRef]
- McLean, R.A.; Sanders, W.L.; Stroup, W.W. A Unified Approach to Mixed Linear Models. Am. Stat. 1991, 45, 54–64. [Google Scholar] [CrossRef]
- Hartigan, J.A. Clustering Algorithms; Wiley: Hoboken, NJ, USA, 1975; ISBN 978-0-471-35645-5. [Google Scholar]
- Huang, B.; Chen, W.; Liang, J.; Cheng, L.; Xiong, C. Characterization and Categorization of Various Human Lower Limb Movements Based on Kinematic Synergies. Front. Bioeng. Biotechnol. 2022, 9, 793746. [Google Scholar] [CrossRef]
- Torres-Oviedo, G.; Ting, L.H. Subject-Specific Muscle Synergies in Human Balance Control Are Consistent Across Different Biomechanical Contexts. J. Neurophysiol. 2010, 103, 3084. [Google Scholar] [CrossRef]
- Banks, C.L.; Pai, M.M.; McGuirk, T.E.; Fregly, B.J.; Patten, C. Methodological Choices in Muscle Synergy Analysis Impact Differentiation of Physiological Characteristics Following Stroke. Front. Comput. Neurosci. 2017, 11, 78. [Google Scholar] [CrossRef]
- Leighton, R.D. A Functional Model to Describe the Action of the Adductor Muscles at the Hip in the Transverse Plane. Physiother. Theory Pract. 2006, 22, 251–262. [Google Scholar] [CrossRef] [PubMed]
- Lichtwark, G. The Role of the Tibialis Anterior Muscle and Tendon in Absorbing Energy during Walking. J. Sci. Med. Sport 2014, 18, e129. [Google Scholar] [CrossRef]
- Lewis, C.L.; Laudicina, N.M.; Khuu, A.; Loverro, K.L. The Human Pelvis: Variation in Structure and Function during Gait. Anat. Rec. 2017, 300, 633–642. [Google Scholar] [CrossRef]
- Arnold, A.S.; Schwartz, M.H.; Thelen, D.G.; Delp, S.L. Contributions of Muscles to Terminal-Swing Knee Motions Vary with Walking Speed. J. Biomech. 2007, 40, 3660–3671. [Google Scholar] [CrossRef][Green Version]
- Alessandro, C.; Delis, I.; Nori, F.; Panzeri, S.; Berret, B. Muscle Synergies in Neuroscience and Robotics: From Input-Space to Task-Space Perspectives. Front. Comput. Neurosci. 2013, 7, 43. [Google Scholar] [CrossRef]
- Park, J.-H.; Shin, J.-H.; Lee, H.; Roh, J.; Park, H.-S. Relevance of Upper Limb Muscle Synergies to Dynamic Force Generation: Perspectives on Rehabilitation of Impaired Intermuscular Coordination in Stroke. IEEE Trans. Neural Syst. Rehabil. Eng. 2023, 31, 4851–4861. [Google Scholar] [CrossRef]
- Scano, A.; Lanzani, V.; Brambilla, C.; d’Avella, A. Transferring Sensor-Based Assessments to Clinical Practice: The Case of Muscle Synergies. Sensors 2024, 24, 3934. [Google Scholar] [CrossRef] [PubMed]
- Borzelli, D.; De Marchis, C.; Quercia, A.; De Pasquale, P.; Casile, A.; Quartarone, A.; Calabrò, R.S.; d’Avella, A. Muscle Synergy Analysis as a Tool for Assessing the Effectiveness of Gait Rehabilitation Therapies: A Methodological Review and Perspective. Bioengineering 2024, 11, 793. [Google Scholar] [CrossRef] [PubMed]
- Rodriguez, K.L.; Roemmich, R.T.; Cam, B.; Fregly, B.J.; Hass, C.J. Persons with Parkinson’s Disease Exhibit Decreased Neuromuscular Complexity during Gait. Clin. Neurophysiol. Off. J. Int. Fed. Clin. Neurophysiol. 2013, 124, 1390–1397. [Google Scholar] [CrossRef] [PubMed]
- Safavynia, S.A.; Torres-Oviedo, G.; Ting, L.H. Muscle Synergies: Implications for Clinical Evaluation and Rehabilitation of Movement. Top. Spinal Cord Inj. Rehabil. 2011, 17, 16–24. [Google Scholar] [CrossRef]
- Falaki, A.; Cuadra, C.; Lewis, M.M.; Prado-Rico, J.M.; Huang, X.; Latash, M.L. Multi-Muscle Synergies in Preparation for Gait Initiation in Parkinson’s Disease. Clin. Neurophysiol. 2023, 154, 12–24. [Google Scholar] [CrossRef]
- Sun, S.Y.; Giszter, S.F.; Harkema, S.J.; Angeli, C.A. Modular Organization of Locomotor Networks in People with Severe Spinal Cord Injury. Front. Neurosci. 2022, 16, 1041015. [Google Scholar] [CrossRef]
- Milosevic, M.; Yokoyama, H.; Grangeon, M.; Masani, K.; Popovic, M.R.; Nakazawa, K.; Gagnon, D.H. Muscle Synergies Reveal Impaired Trunk Muscle Coordination Strategies in Individuals with Thoracic Spinal Cord Injury. J. Electromyogr. Kinesiol. 2017, 36, 40–48. [Google Scholar] [CrossRef]
- Cheng, R.; Sui, Y.; Sayenko, D.; Burdick, J.W. Motor Control After Human SCI Through Activation of Muscle Synergies Under Spinal Cord Stimulation. IEEE Trans. Neural Syst. Rehabil. Eng. 2019, 27, 1331–1340. [Google Scholar] [CrossRef]
- Bellitto, A.; De Luca, A.; Gamba, S.; Losio, L.; Massone, A.; Casadio, M.; Pierella, C. Clinical, Kinematic and Muscle Assessment of Bilateral Coordinated Upper-Limb Movements Following Cervical Spinal Cord Injury. IEEE Trans. Neural Syst. Rehabil. Eng. 2023, 31, 3607–3618. [Google Scholar] [CrossRef]
- Cappellini, G.; Ivanenko, Y.P.; Martino, G.; MacLellan, M.J.; Sacco, A.; Morelli, D.; Lacquaniti, F. Immature Spinal Locomotor Output in Children with Cerebral Palsy. Front. Physiol. 2016, 7, 478. [Google Scholar] [CrossRef]
- d’Avella, A.; Ivanenko, Y.; Lacquaniti, F. Muscle Synergies in Cerebral Palsy and Variability: Challenges and Opportunities. Dev. Med. Child Neurol. 2022, 64, 404–405. [Google Scholar] [CrossRef] [PubMed]
- Roh, J.; Rymer, W.Z.; Perreault, E.J.; Yoo, S.B.; Beer, R.F. Alterations in Upper Limb Muscle Synergy Structure in Chronic Stroke Survivors. J. Neurophysiol. 2013, 109, 768–781. [Google Scholar] [CrossRef]
- Niu, C.M.; Bao, Y.; Zhuang, C.; Li, S.; Wang, T.; Cui, L.; Xie, Q.; Lan, N. Synergy-Based FES for Post-Stroke Rehabilitation of Upper-Limb Motor Functions. IEEE Trans. Neural Syst. Rehabil. Eng. 2019, 27, 256–264. [Google Scholar] [CrossRef] [PubMed]
- Dipietro, L.; Krebs, H.I.; Fasoli, S.E.; Volpe, B.T.; Stein, J.; Bever, C.; Hogan, N. Changing Motor Synergies in Chronic Stroke. J. Neurophysiol. 2007, 98, 757–768. [Google Scholar] [CrossRef] [PubMed]
- Yeung, L.-F.; Ockenfeld, C.; Pang, M.-K.; Wai, H.-W.; Soo, O.-Y.; Li, S.-W.; Tong, K.-Y. Design of an Exoskeleton Ankle Robot for Robot-Assisted Gait Training of Stroke Patients. IEEE Int. Conf. Rehabil. Robot. Proc. 2017, 2017, 211–215. [Google Scholar] [CrossRef]
- Rinaldi, L.; Yeung, L.-F.; Lam, P.C.-H.; Pang, M.Y.C.; Tong, R.K.-Y.; Cheung, V.C.K. Adapting to the Mechanical Properties and Active Force of an Exoskeleton by Altering Muscle Synergies in Chronic Stroke Survivors. IEEE Trans. Neural Syst. Rehabil. Eng. 2020, 28, 2203–2213. [Google Scholar] [CrossRef]
- Hassan, M.; Kadone, H.; Ueno, T.; Hada, Y.; Sankai, Y.; Suzuki, K. Feasibility of Synergy-Based Exoskeleton Robot Control in Hemiplegia. IEEE Trans. Neural Syst. Rehabil. Eng. 2018, 26, 1233–1242. [Google Scholar] [CrossRef]





| Similarity between Matched Muscle and Kinematic–Muscular Synergies | ||
|---|---|---|
| Subject | Mean | Random Similarity |
| S01 | 0.898 (0.141) | 0.493 (0.276) |
| S02 | 0.881 (0.132) | 0.507 (0.279) |
| S03 | 0.824 (0.154) | 0.465 (0.259) |
| S04 | 0.970 (0.029) | 0.532 (0.251) |
| S05 | 0.823 (0.245) | 0.422 (0.299) |
| S06 | 0.878 (0.116) | 0.488 (0.257) |
| S07 | 0.926 (0.094) | 0.532 (0.245) |
| S08 | 0.939 (0.073) | 0.487 (0.283) |
| S09 | 0.809 (0.251) | 0.489 (0.263) |
| S10 | 0.868 (0.170) | 0.470 (0.283) |
| S11 | 0.908 (0.069) | 0.547 (0.255) |
| S12 | 0.845 (0.062) | 0.510 (0.264) |
| S13 | 0.878 (0.152) | 0.523 (0.264) |
| S14 | 0.873 (0.169) | 0.516 (0.253) |
| S15 | 0.889 (0.217) | 0.519 (0.255) |
| Total | 0.881 (0.045) | 0.500 (0.032) |
Disclaimer/Publisher’s Note: The statements, opinions and data contained in all publications are solely those of the individual author(s) and contributor(s) and not of MDPI and/or the editor(s). MDPI and/or the editor(s) disclaim responsibility for any injury to people or property resulting from any ideas, methods, instructions or products referred to in the content. |
© 2024 by the authors. Licensee MDPI, Basel, Switzerland. This article is an open access article distributed under the terms and conditions of the Creative Commons Attribution (CC BY) license (https://creativecommons.org/licenses/by/4.0/).
Share and Cite
Lanzani, V.; Brambilla, C.; Scano, A. Kinematic–Muscular Synergies Describe Human Locomotion with a Set of Functional Synergies. Biomimetics 2024, 9, 619. https://doi.org/10.3390/biomimetics9100619
Lanzani V, Brambilla C, Scano A. Kinematic–Muscular Synergies Describe Human Locomotion with a Set of Functional Synergies. Biomimetics. 2024; 9(10):619. https://doi.org/10.3390/biomimetics9100619
Chicago/Turabian StyleLanzani, Valentina, Cristina Brambilla, and Alessandro Scano. 2024. "Kinematic–Muscular Synergies Describe Human Locomotion with a Set of Functional Synergies" Biomimetics 9, no. 10: 619. https://doi.org/10.3390/biomimetics9100619
APA StyleLanzani, V., Brambilla, C., & Scano, A. (2024). Kinematic–Muscular Synergies Describe Human Locomotion with a Set of Functional Synergies. Biomimetics, 9(10), 619. https://doi.org/10.3390/biomimetics9100619

