Interaction of Polyanionic and Polycationic Brushes with Globular Proteins and Protein-like Nanocolloids
Abstract
:1. Introduction
2. Overview of Experimental Results
2.1. Interactions of Proteins with Strong or pH-Sensitive Anionic PE Brushes
2.2. Interaction of Proteins with Anionic and Cationic Weak Polyelectrolyte Brushes
2.3. Interaction of Proteins with Cationic Strong and Weak Polyelectrolyte Brushes
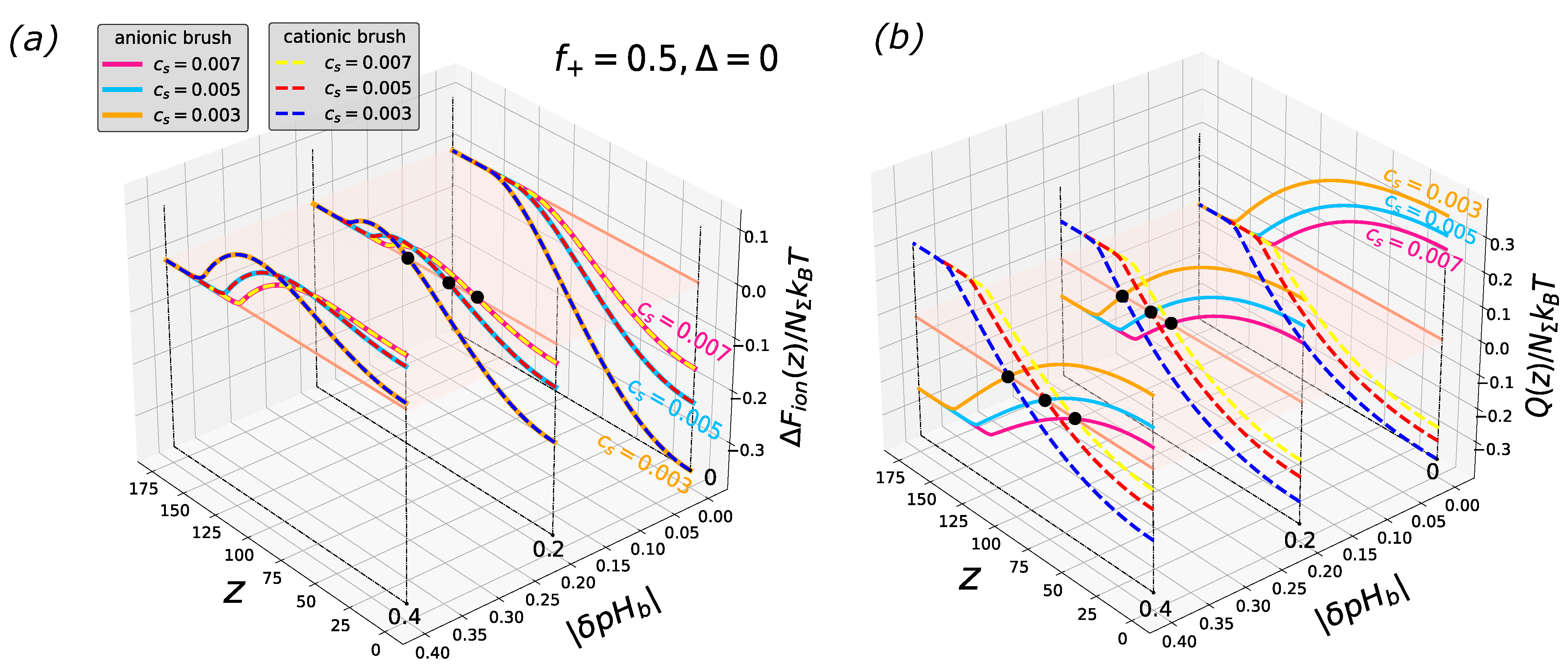
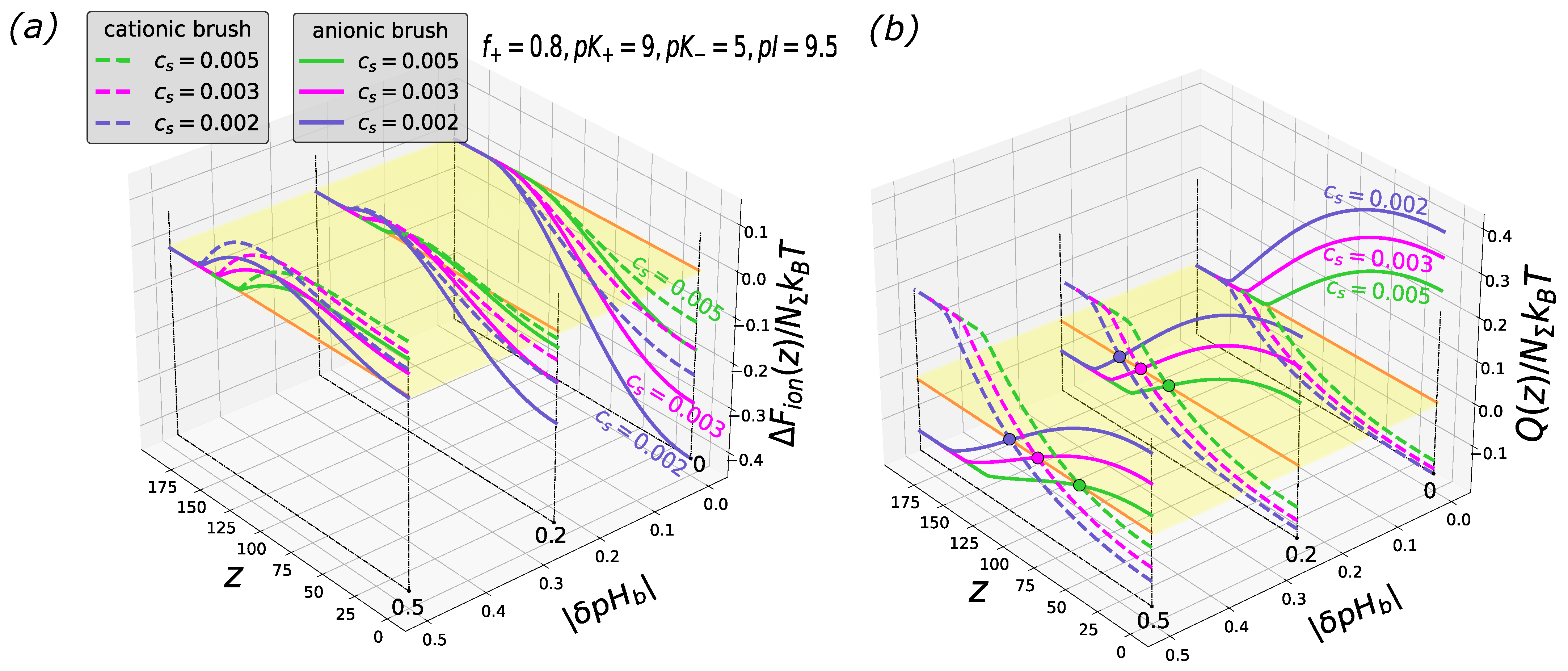
3. Theoretical Model
4. Conclusions
Author Contributions
Funding
Institutional Review Board Statement
Acknowledgments
Conflicts of Interest
References
- Dubin, P.; Bock, J.; Davis, R.; Schulz, D.N.; Thies, C. Macromolecular Complexes in Chemistry and Biology; Springer: New York, NY, USA, 1994. [Google Scholar]
- Mattison, K.W.; Brittain, I.J.; Dubin, P.L. Protein-polyelectrolyte phase boundaries. Biotechnol. Prog. 1995, 11, 632–637. [Google Scholar] [CrossRef]
- Xia, J.; Mattison, K.; Romano, V.; Dubin, P.L.; Muhoberac, B.B. Complexation of trypsin and alcohol dehydrogenase with poly (diallyldimethylammonium chloride). Biopolym. Orig. Res. Biomol. 1997, 41, 359–365. [Google Scholar] [CrossRef]
- Mattison, K.W.; Dubin, P.L.; Brittain, I.J. Complex formation between bovine serum albumin and strong polyelectrolytes: Effect of polymer charge density. J. Phys. Chem. B 1998, 102, 3830–3836. [Google Scholar] [CrossRef]
- Mattison, K.W.; Wang, Y.; Grymonpré, K.; Dubin, P.L. Micro- and macro-phase behavior in protein-polyelectrolyte complexes. Macromol. Symp. 1999, 140, 53–76. [Google Scholar] [CrossRef]
- Hattori, T.; Hallberg, R.; Dubin, P.L. Roles of electrostatic interaction and polymer structure in the binding of β-lactoglobulin to anionic polyelectrolytes: Measurement of binding constants by frontal analysis continuous capillary electrophoresis. Langmuir 2000, 16, 9738–9743. [Google Scholar] [CrossRef]
- Müller, M.; Rieser, T.; Dubin, P.L.; Lunkwitz, K. Selective interaction between proteins and the outermost surface of polyelectrolyte multilayers: Influence of the polyanion type, pH and salt. Macromol. Rapid Commun. 2001, 22, 390–395. [Google Scholar] [CrossRef]
- Wittemann, A.; Haupt, B.; Ballauff, M. Adsorption of proteins on spherical polyelectrolyte brushes in aqueous solution. Phys. Chem. Chem. Phys. 2003, 5, 1671–1677. [Google Scholar] [CrossRef]
- Wittemann, A.; Ballauff, M. Interaction of proteins with linear polyelectrolytes and spherical polyelectrolyte brushes in aqueous solution. Phys. Chem. Chem. Phys. 2006, 8, 5269–5275. [Google Scholar] [CrossRef] [PubMed]
- Becker, A.L.; Henzler, K.; Welsch, N.; Ballauff, M.; Borisov, O.V. Proteins and polyelectrolytes: A charge relationship. Curr. Opimion Colloid Interface Sci. 2012, 17, 90–96. [Google Scholar] [CrossRef]
- Walkowiak, J.; Gradzielski, M.; Zauscher, S.; Ballauff, M. Interaction of Proteins with a Planar Poly(acrylic acid) Brush: Analysis by Quartz Crystal Microbalance with Dissipation Monitoring (QCM-D). Polymers 2021, 13, 122. [Google Scholar] [CrossRef]
- Zhao, L.; Skwarczynski, M.; Toth, I. Polyelectrolyte-Based Platforms for the Delivery of Peptides and Proteins. ACS Biomater. Sci. Eng. 2019, 5, 4937–4950. [Google Scholar] [CrossRef] [PubMed]
- Wittemann, A.; Haupt, B.; Merkle, R.; Ballauff, M. Interaction of dissolved proteins with spherical polyelectrolyte brushes. Macromol. Symp. 2003, 191, 81–88. [Google Scholar] [CrossRef]
- Neumann, T.; Haupt, B.; Ballauff, M. High activity of enzymes immobilized in colloidal nanoreactors. Macromol. Biosci. 2004, 4, 13–16. [Google Scholar] [CrossRef] [PubMed]
- Lim, S.; Choi, Y.S.; Kang, D.G.; Song, Y.H.; Cha, H.J. The adhesive properties of coacervated recombinant hybrid mussel adhesive proteins. Biomaterials 2010, 31, 3715–3722. [Google Scholar] [CrossRef] [PubMed]
- Wei, W.; Tan, Y.; Martinez Rodriguez, N.R.; Yu, J.; Israelachvili, J.N.; Waite, J.H. A mussel-derived one component adhesive coacervate. Acta Biomater. 2014, 10, 1663–1670. [Google Scholar] [CrossRef] [PubMed]
- Stewart, R.J.; Wang, C.S.; Shao, H. Complex coacervates as a foundation for synthetic underwater adhesives. Adv. Colloid Interface Sci. 2011, 167, 85–93. [Google Scholar] [CrossRef] [PubMed]
- Xiao, Z.; Liu, W.; Zhu, G.; Zhou, R.; Niu, Y. A Review of the Preparation and Application of Flavour and Essential Oils Microcapsules Based on Complex Coacervation Technology. J. Sci. Food Agric. 2014, 94, 1482–1494. [Google Scholar] [CrossRef]
- Wagoner, T.; Vardhanabhuti, B.; Foegeding, E.A. Designing Whey Protein–Polysaccharide Particles for Colloidal Stability. Annu. Rev. Food Sci. Technol. 2016, 7, 93–116. [Google Scholar] [CrossRef]
- Zheng, K.; Chen, Y.; Wang, X.; Zhao, X.; Qian, W.; Xu, Y. Selective Protein Separation Based on Charge Anisotropy by Spherical Polyelectrolyte Brushes. Langmuir 2020, 36, 10528–10536. [Google Scholar] [CrossRef]
- Xu, Y.; Mazzawi, M.; Chen, K.; Sun, L.; Dubin, P.L. Protein Purification by Polyelectrolyte Coacervation: Influence of Protein Charge Anisotropy on Selectivity. Biomacromolecules 2011, 12, 1512–1522. [Google Scholar] [CrossRef]
- Lente, J.J.; Lindhoud, S. Extraction of Lysozyme from Chicken Albumen Using Polyelectrolyte Complexes. Small 2021, 18, 2105147. [Google Scholar] [CrossRef] [PubMed]
- Kabanov, A.V.; Kabanov, V.A. Interpolyelectrolyte and block ionomer complexes for gene delivery: Physico-chemical aspects. Adv. Drug Deliv. Rev. 1998, 30, 49–60. [Google Scholar] [CrossRef] [PubMed]
- Schallon, A.; Synatschke, C.V.; Jerome, V.; Müller, A.H.E.; Freitag, R. Nanopartiulate Nonviral Agent for the Effective Delivery of pDNA and si RNA to Differentiated Cells and Primary Human T Lymphocytes. Biomacromolecules 2012, 13, 3463–3474. [Google Scholar] [CrossRef] [PubMed]
- Miyata, K.; Nishiyama, N.; Kataoka, K. Rational design of smart supramolecular assemblies for gene delivery: Chemical challenges in the creation of artificial viruses. Chem. Soc. Rev. 2012, 41, 2562–2574. [Google Scholar] [CrossRef] [PubMed]
- Yu, T.; Liu, X.; Bolcato-Bellemin, A.-L.; Wang, Y.; Liu, C.; Erbacher, P.; Qu, F.; Rocchi, P.; Behr, J.-P.; Peng, L. An amphiphilic dendrimer for effective delivery of small interfering RNA and gene silencing in vitro and in vivo. Angew. Chem. Int. Ed. 2012, 51, 8606–8612. [Google Scholar] [CrossRef]
- Liu, X.; Zhou, J.; Yu, T.; Chen, C.; Cheng, Q.; Sengupta, K.; Huang, Y.; Li, H.; Liu, C.; Wang, Y.; et al. Adaptive Amphiphilic Dendrimer-Based Nanoassemblies as Robust and Versatile siRNA Delivery Systems. Angew. Chem. Int. Ed. 2014, 126, 12016–12021. [Google Scholar] [CrossRef]
- Fan, X.; Zhao, Y.; Xu, W.; Li, L. Linear-Dendritic Block Copolymer for Drug and Gene Delivery. Mater. Sci. Eng. 2016, 62, 943–959. [Google Scholar] [CrossRef]
- Malmsten, M.; Bysell, H.; Hansson, P. Biomacromolecules in Microgels–Opportunities and Challenges for Drug Delivery. Curr. Opin. Colloid Interface Sci. 2010, 15, 435–444. [Google Scholar] [CrossRef]
- Bysell, H.; Mansson, R.; Hansson, P.; Malmsten, M. Microgels and Microcapsules in Peptide and Protein Drug Delivery. Adv. Drug Deliv. Rev. 2011, 63, 1172–1185. [Google Scholar] [CrossRef]
- Hachim, D.; Whittaker, T.E.; Kim, H.; Stevens, M.M. Glycosaminoglycan-based biomaterials for growth factor and cytokine delivery: Making the right choices. J. Control. Release 2019, 313, 131–147. [Google Scholar] [CrossRef]
- Braatz, D.; Dimde, M.; Ma, G.; Zhong, Y.; Tully, M.; Grotzinger, C.; Zhang, Y.; Mavroskoufis, A.; Schirner, M.; Zhong, Z.; et al. Toolbox of Biodegradable Dendritic (Poly glycerol sulfate)-SS-poly(ester) Micelles for Cancer Treatment: Stability, Drug Release, and Tumor Targeting. Biomacromolecules 2021, 22, 2625–2640. [Google Scholar] [CrossRef]
- Banerjee, I.; Pangule, R.C.; Kane, R.S. Antifouling coatings: Recent developments in the design of surfaces that prevent fouling by proteins, bacteria, and marine organisms. Adv. Mater. 2011, 23, 690–718. [Google Scholar] [CrossRef]
- Welsch, N.; Wittemann, A.; Ballauff, M. Enhanced activity of enzymes immobilized in thermoresponsive core-shell microgels. J. Phys. Chem. B 2009, 113, 16039–16045. [Google Scholar] [CrossRef]
- Korolev, N.; Allahverdi, A.; Lyubartsev, A.P.; Nordenskiöld, L. The polyelectrolyte properties of chromatin. Soft Matter 2012, 8, 9322–9333. [Google Scholar] [CrossRef]
- Carrivain, P.; Cournac, A.; Lavelle, C.; Lesne, A.; Mozziconacci, J.; Paillusson, F.; Signon, L.; Victor, J.M.; Barbi, M. Electrostatics of DNA compaction in viruses, bacteria and eukaryotes: Functional insights and evolutionary perspective. Soft Matter 2012, 8, 9285–9301. [Google Scholar] [CrossRef]
- Kiani, C.; Chen, L.; Wu, Y.J.; Yee, A.J.; Yang, B.B. Structure and function of aggrecan. Cell Res. 2002, 12, 19–32. [Google Scholar] [CrossRef] [PubMed]
- Achazi, K.; Haag, R.; Ballauff, M.; Dernedde, J.; Kizhakkedathu, J.N.; Maysinger, D.; Multhaup, G. Understanding the Interaction of Polyelectrolyte Architectures with Proteins and Biosystems. Angew. Chem. Int. Ed. 2021, 60, 3882–3904. [Google Scholar] [CrossRef] [PubMed]
- Nie, C.A.X.; Pouyan, P.; Lauster, D.; Trimpert, J.; Kerkhoff, Y.; Szekeres, G.P.; Wallert, M.; Block, S.; Sahoo, A.K.; Dernedde, J.; et al. Polysulfates Block SARS-CoV-2 Uptake through Electrostatic Interactions. Angew. Chem. Int. Ed. 2021, 60, 15870–15878. [Google Scholar] [CrossRef] [PubMed]
- Kapelner, R.A.; Yeong, V.; Obermeyer, A.C. Molecular determinants of protein-based coacervates. Curr. Opin. Colloid Interface Sci. 2021, 52, 101407. [Google Scholar] [CrossRef]
- Yeong, V.; Werth, E.G.; Brown, L.M.; Obermeyer, A.C. Formation of biomolecular condensates in bacteria by tuning protein electrostatics. ACS Cent. Sci. 2020, 6, 2301–2310. [Google Scholar] [CrossRef]
- Cagno, V.; Tseligka, E.D.; Jones, S.T.; Tapparel, C. Heparan sulfate proteoglycans and viral attachment: True receptors or adaptation bias? Viruses 2019, 11, 596. [Google Scholar] [CrossRef]
- Wertz, C.F.; Santore, M.M. Fibrinogen adsorption on hydrophilic and hydrophobic surfaces: Geometrical and energetic aspects of interfacial relaxations. Langmuir 2002, 18, 706–715. [Google Scholar] [CrossRef]
- Czeslik, C.; Royer, C.; Hazlett, T.; Mantulin, W. Reorientational dynamics of enzymes adsorbed on quartz: A temperature-dependent time-resolved TIRF anisotropy study. Biophys. J. 2003, 84, 2533–2541. [Google Scholar] [CrossRef] [PubMed]
- Rosenfeldt, S.; Wittemann, A.; Ballauff, M.; Breininger, E.; Bolze, J.; Dingenouts, N. Interaction of proteins with spherical polyelectrolyte brushes in solution as studied by small-angle X-ray scattering. Phys. Rev. E 2004, 70, 061403. [Google Scholar] [CrossRef] [PubMed]
- Anikin, K.; Röcker, C.; Wittemann, A.; Wiedenmann, J.; Ballauff, M.; Nienhaus, G.U. Polyelectrolyte-mediated protein adsorption: Fluorescent protein binding to individual polyelectrolyte nanospheres. J. Phys. Chem. B 2005, 109, 5418–5420. [Google Scholar] [CrossRef]
- Hollmann, O.; Czeslik, C. Characterization of a planar poly (acrylic acid) brush as a materials coating for controlled protein immobilization. Langmuir 2006, 22, 3300–3305. [Google Scholar] [CrossRef]
- Wittemann, A.; Ballauff, M. Secondary structure analysis of proteins embedded in spherical polyelectrolyte brushes by FT-IR spectroscopy. Anal. Chem. 2004, 76, 2813–2819. [Google Scholar] [CrossRef]
- Borrega, R.; Tribet, C.; Audebert, R. Reversible gelation in hydrophobic polyelectrolyte/protein mixtures: An example of cross-links between soft and hard colloids. Macromolecules 1999, 32, 7798–7806. [Google Scholar] [CrossRef]
- Yoon, J.Y.; Kim, J.H.; Kim, W.S. The relationship of interaction forces in the protein adsorption onto polymeric microspheres. Colloids Surfaces A Physicochem. Eng. Asp. 1999, 153, 413–419. [Google Scholar] [CrossRef]
- Guo, X.; Ballauff, M. Spherical polyelectrolyte brushes: Comparison between annealed and quenched brushes. Phys. Rev. E 2001, 164, 051406. [Google Scholar] [CrossRef]
- Guo, X.; Ballauff, M. Spatial dimensions of colloidal polyelectrolyte brushes as determined by dynamic light scattering. Langmuir 2000, 16, 8719–8726. [Google Scholar] [CrossRef]
- De Robillard, Q.; Guo, X.; Ballauff, M.; Narayanan, T. Spatial correlation of spherical polyelectrolyte brushes in salt-free solution as observed by small-angle X-ray scattering. Macromolecules 2000, 33, 9109–9114. [Google Scholar] [CrossRef]
- Dingenouts, N.; Merkle, R.; Guo, X.; Narayanan, T.; Goerigk, G.; Ballauff, M. Use of anomalous small-angle X-ray scattering for the investigation of highly charged colloids. J. Appl. Crystallogr. 2003, 36, 578–582. [Google Scholar] [CrossRef]
- Ballauff, M.; Borisov, O. Polyelectrolyte brushes. Curr. Opin. Colloid Interface Sci. 2006, 11, 316–323. [Google Scholar] [CrossRef]
- Record, M.T., Jr.; Zhang, W.; Anderson, C.F. Analysis of effects of salts and uncharged solutes on protein and nucleic acid equilibria and processes: A practical guide to recognizing and interpreting polyelectrolyte effects, Hofmeister effects, and osmotic effects of salts. Adv. Protein Chem. 1998, 51, 281–353. [Google Scholar] [PubMed]
- Ball, V.; Winterhalter, M.; Schwinte, P.; Lavalle, P.; Voegel, J.C.; Schaaf, P. Complexation mechanism of bovine serum albumin and poly (allylamine hydrochloride). J. Phys. Chem. B 2002, 106, 2357–2364. [Google Scholar] [CrossRef]
- Czeslik, C.; Jackler, G.; Steitz, R.; von Grünberg, H.H. Protein binding to like-charged polyelectrolyte brushes by counterion evaporation. J. Phys. Chem. B 2004, 108, 13395–13402. [Google Scholar] [CrossRef]
- Leermakers, F.A.M.; Ballauff, M.; Borisov, O.V. On the mechanisms of interaction of globular proteins with polyelectrolyte brushes. Langmuir 2007, 23, 237–247. [Google Scholar]
- Xu, X.; Angioletti-Uberti, S.; Lu, Y.; Dzubiella, J.; Ballauff, M. Interaction of Proteins with Polyelectrolytes: Comparison of Theory to Experiment. Langmuir 2019, 35, 5373–5391. [Google Scholar] [CrossRef]
- Kim, S.; Sureka, H.V.; Kayitmazer, A.B.; Wang, G.; Swan, J.W.; Olsen, B.D. Effect of protein surface charge distribution on protein-polyelectrolyte complexation. Biomacromolecules 2020, 21, 6878–6890. [Google Scholar] [CrossRef]
- Božič, A.L.; Podgornik, R. pH dependence of charge multipole moments in proteins. Biophys. J. 2017, 113, 1454–1465. [Google Scholar] [CrossRef] [PubMed]
- De Vries, R.; Weinbreck, F.; De Kruif, C.G. Theory of polyelectrolyte adsorption on heterogeneously charged surfaces applied to soluble protein–polyelectrolyte complexes. J. Chem. Phys. 2003, 118, 4649–4659. [Google Scholar] [CrossRef]
- De Kruif, C.G.; Weinbreck, F.; de Vries, R. Complex coacervation of proteins and anionic polysaccharides. Curr. Opin. Colloid Interface Sci. 2004, 9, 340–349. [Google Scholar] [CrossRef]
- Yigit, C.; Heyda, J.; Ballauff, M.; Dzubiella, J. Like-charged protein-polyelectrolyte complexation driven by charge patches. J. Chem. Phys. 2015, 143. [Google Scholar] [CrossRef] [PubMed]
- Becker, A.L.; Welsch, N.; Schneider, C.; Ballauff, M. Adsorption of RNase A on cationic polyelectrolyte brushes: A study by isothermal titration calorimetry. Biomacromolecules 2011, 12, 3936–3944. [Google Scholar] [CrossRef] [PubMed]
- Lund, M.; Jönsson, B. Charge regulation in biomolecular solution. Q. Rev. Biophys. 2013, 46, 265–281. [Google Scholar] [CrossRef] [PubMed]
- Torres, P.B.; Quiroga, E.; Ramirez-Pastor, A.J.; Boeris, V.; Narambuena, C.F. Interaction between β-lactoglobuline and weak polyelectrolyte chains: A study using Monte Carlo simulation. J. Phys. Chem. B 2019, 123, 8617–8627. [Google Scholar] [CrossRef]
- Barroso da Silva, F.L.; Bostrom, M.; Persson, C. Effect of charge regulation and ion–dipole interactions on the selectivity of protein–nanoparticle binding. Langmuir 2014, 30, 4078–4083. [Google Scholar] [CrossRef]
- Barroso da Silva, F.L.; Lund, M.; Jönsson, B. On the complexation of proteins and polyelectrolytes. J. Phys. Chem. B 2006, 110, 4459–4464. [Google Scholar] [CrossRef]
- Srivastava, D.; Santiso, E.; Gubbins, K.; Barroso da Silva, F.L. Computationally Mapping p K a Shifts Due to the Presence of a Polyelectrolyte Chain around Whey Proteins. Langmuir 2017, 33, 11417–11428. [Google Scholar] [CrossRef]
- Biesheuvel, P.M.; Wittemann, A. A modified box model including charge regulation for protein adsorption in a spherical polyelectrolyte brush. J. Phys. Chem. B 2005, 109, 4209–4214. [Google Scholar] [CrossRef] [PubMed]
- de Vos, W.M.; Biesheuvel, P.M.; de Keizer, A.; Kleijn, J.M.; Cohen Stuart, M.A. Adsorption of the protein bovine serum albumin in a planar poly (acrylic acid) brush layer as measured by optical reflectometry. Langmuir 2008, 24, 6575–6584. [Google Scholar] [CrossRef]
- Li, Y.; Vries, R.D.; Kleijn, M.; Slaghek, T.; Timmermans, J.; Stuart, M.C.; Norde, W. Lysozyme uptake by oxidized starch polymer microgels. Biomacromolecules 2005, 11, 1754–1762. [Google Scholar] [CrossRef]
- De Vos, W.M.; Leermakers, F.A.; De Keizer, A.; Cohen Stuart, M.A.; Kleijn, J.M. Field theoretical analysis of driving forces for the uptake of proteins by like-charged polyelectrolyte brushes: Effects of charge regulation and patchiness. Langmuir 2010, 26, 249–259. [Google Scholar] [CrossRef]
- Leermakers, F.A.M.; Ballauff, M.; Borisov, O.V. On the mechanism of uptake of globular proteins by polyelectrolyte brushes: A two-gradient self-consistent field analysis. Langmuir 2007, 23, 3937–3946. [Google Scholar] [CrossRef] [PubMed]
- Henzler, K.; Wittemann, A.; Breininger, E.; Ballauff, M.; Rosenfeldt, S. Adsorption of bovine hemoglobin onto spherical polyelectrolyte brushes monitored by small-angle X-ray scattering and Fourier transform infrared spectroscopy. Biomacromolecules 2007, 8, 3674–3681. [Google Scholar] [CrossRef]
- Ouyang, W.; Müller, M. Monomodal polyelectrolyte complex nanoparticles of PDADMAC/poly(styrene sulfonate): Preparation and protein interaction. Macromol. Biosci. 2006, 6, 929–941. [Google Scholar] [CrossRef] [PubMed]
- Wittemann, A.; Haupt, B.; Ballauff, M. Controlled release of proteins bound to spherical polyelectrolyte brushes. Z. Phys. Chem. 2007, 221, 113–126. [Google Scholar] [CrossRef]
- Lu, Y.; Wittemann, A.; Ballauff, M. Supramolecular structures generated by spherical polyelectrolyte brushes and their application in catalysis. Macromol. Rapid Commun. 2009, 30, 806–815. [Google Scholar] [CrossRef] [PubMed]
- Erol, M.; Du, H.; Sukhishvili, S. Control of specific attachment of proteins by adsorption of polymer layers. Langmuir 2006, 22, 11329–11336. [Google Scholar] [CrossRef]
- Reichhart, C.; Czeslik, C. Native-like structure of proteins at a planar poly (acrylic acid) brush. Langmuir 2009, 25, 1047–1053. [Google Scholar] [CrossRef] [PubMed]
- Hollmann, O.; Steitz, R.; Czeslik, C. Structure and dynamics of α-lactalbumin adsorbed at a charged brush interface. Phys. Chem. Chem. Phys. 2008, 10, 1448–1456. [Google Scholar] [CrossRef] [PubMed]
- Schwinte, P.; Ball, V.; Szalontai, B.; Haikel, Y.; Voegel, J.C.; Schaaf, P. Secondary structure of proteins adsorbed onto or embedded in polyelectrolyte multilayers. Biomacromolecules 2002, 3, 1135–1143. [Google Scholar] [CrossRef] [PubMed]
- Quinn, A.; Tjipto, E.; Yu, A.; Gengenbach, T.R.; Caruso, F. Polyelectrolyte blend multilayer films: Surface morphology, wettability, and protein adsorption characteristics. Langmuir 2007, 23, 4944–4949. [Google Scholar] [CrossRef] [PubMed]
- Bruening, M.L.; Dotzauer, D.M.; Jain, P.; Ouyang, L.; Baker, G.L. Creation of functional membranes using polyelectrolyte multilayers and polymer brushes. Langmuir 2008, 24, 7663–7673. [Google Scholar] [CrossRef] [PubMed]
- Czeslik, C.; Jackler, G.; Hazlett, T.; Gratton, E.; Steitz, R.; Wittemann, A.; Ballauff, M. Salt-induced protein resistance of polyelectrolyte brushes studied using fluorescence correlation spectroscopy and neutron reflectometry. Phys. Chem. Chem. Phys. 2004, 6, 5557–5563. [Google Scholar] [CrossRef]
- Wang, W.; Li, L.; Henzler, K.; Lu, Y.; Wang, J.; Han, H.; Tian, Y.; Wang, Y.; Zhou, Z.; Lotze, G.; et al. Protein immobilization onto cationic spherical polyelectrolyte brushes studied by small angle X-ray scattering. Biomacromolecules 2017, 18, 1574–1581. [Google Scholar] [CrossRef]
- Wang, S.; Chen, K.; Xu, Y.; Yu, X.; Wang, W.; Li, L.; Guo, X. Protein immobilization and separation using anionic/cationic spherical polyelectrolyte brushes based on charge anisotropy. Soft Matter 2013, 9, 11276–11287. [Google Scholar] [CrossRef]
- Wang, S.; Chen, K.; Li, L.; Guo, X. Binding between proteins and cationic spherical polyelectrolyte brushes: Effect of pH, ionic strength, and stoichiometry. Biomacromolecules 2013, 14, 818–827. [Google Scholar] [CrossRef]
- Ye, Z.; Li, L.; Dai, L.; Wang, Y.; Yang, Q.; von Klitzing, R.; Guo, X. Selective uptake of different proteins by annealed and quenched cationic spherical polyelectrolyte brushes. J. Polym. Sci. 2020, 58, 3018–3030. [Google Scholar] [CrossRef]
- Salamatova, T.O.; Zhulina, E.B.; Borisov, O.V. Bovine Serum Albumin Interaction with Polyanionic and Polycationic Brushes: The Case Theoretical Study. Int. J. Mol. Sci. 2023, 24, 3395. [Google Scholar] [CrossRef] [PubMed]
- Salamatova, T.O.; Laktionov, M.Y.; Zhulina, E.B.; Borisov, O.V. Polyelectrolyte Brush Interacting with Ampholytic Nanoparticles as Coarse-Grained Models of Globular Proteins: Poisson–Boltzmann Theory. Biomacromolecules 2023, 24, 2433–2446. [Google Scholar] [CrossRef] [PubMed]





| Disclaimer/Publisher’s Note: The statements, opinions and data contained in all publications are solely those of the individual author(s) and contributor(s) and not of MDPI and/or the editor(s). MDPI and/or the editor(s) disclaim responsibility for any injury to people or property resulting from any ideas, methods, instructions or products referred to in the content. | 
© 2023 by the authors. Licensee MDPI, Basel, Switzerland. This article is an open access article distributed under the terms and conditions of the Creative Commons Attribution (CC BY) license (https://creativecommons.org/licenses/by/4.0/).
Share and Cite
Popova, T.O.; Zhulina, E.B.; Borisov, O.V. Interaction of Polyanionic and Polycationic Brushes with Globular Proteins and Protein-like Nanocolloids. Biomimetics 2023, 8, 597. https://doi.org/10.3390/biomimetics8080597
Popova TO, Zhulina EB, Borisov OV. Interaction of Polyanionic and Polycationic Brushes with Globular Proteins and Protein-like Nanocolloids. Biomimetics. 2023; 8(8):597. https://doi.org/10.3390/biomimetics8080597
Chicago/Turabian StylePopova, Tatiana O., Ekaterina B. Zhulina, and Oleg V. Borisov. 2023. "Interaction of Polyanionic and Polycationic Brushes with Globular Proteins and Protein-like Nanocolloids" Biomimetics 8, no. 8: 597. https://doi.org/10.3390/biomimetics8080597
APA StylePopova, T. O., Zhulina, E. B., & Borisov, O. V. (2023). Interaction of Polyanionic and Polycationic Brushes with Globular Proteins and Protein-like Nanocolloids. Biomimetics, 8(8), 597. https://doi.org/10.3390/biomimetics8080597
 
        



