Lyrebird Optimization Algorithm: A New Bio-Inspired Metaheuristic Algorithm for Solving Optimization Problems
Abstract
:1. Introduction
- LOA is introduced as mimicking the natural behavior of lyrebirds in the wild.
- The fundamental inspiration of LOA is derived from the strategies of lyrebirds when they sense danger.
- LOA theory is expressed and mathematically modeled in two phases of (i) exploration based on simulation of the escape strategy and (ii) exploitation based on simulation of the hiding strategy.
- The performance of LOA was evaluated using the CEC 2017 test suite for problem dimensions of 10, 30, 50, and 100.
- The performance of LOA in handling real-world applications was evaluated in handling twenty-two constrained optimization problems from the CEC 2011 test suite and four engineering design problems.
- The results obtained from LOA were compared with the performance of twelve well-known metaheuristic algorithms.
2. Literature Review
3. Lyrebird Optimization Algorithm
3.1. Inspiration of LOA
3.2. Algorithm Initialization
3.3. Mathematical Modelling of LOA
3.3.1. Phase 1: Escaping Strategy (Exploration Phase)
3.3.2. Phase 2: Hiding Strategy (Exploitation Phase)
3.4. Repetition Process, Pseudocode, and Flowchart of LOA
| Algorithm 1. Pseudocode of LOA. | ||||
| Start LOA. | ||||
| 1. | Input problem information: variables, objective function, and constraints. | |||
| 2. | Set LOA population size (N) and iterations (T). | |||
| 3. | Generate the initial population matrix at random using Equation (2). | |||
| 4. | Evaluate the objective function. | |||
| 5. | Determine the best candidate solution. | |||
| 6. | For to T | |||
| 7. | For to | |||
| 8. | Determine the type of lyrebird defense strategy against predator attack using Equation (4). | |||
| 9. | if (chose Phase 1) | |||
| 10. | Determine candidate safe areas for ith lyrebird based on Equation (5). | |||
| 11. | Calculate the new position of the th LOA member using Equation (6). | |||
| 12. | Update ith LOA member using Equation (7). | |||
| 13. | else (chose Phase 2) | |||
| 14. | Calculate the new position of the th LOA member using Equation (8). | |||
| 15. | Update ith LOA member using Equation (9). | |||
| 16. | end (if) | |||
| 17. | end (For to ) | |||
| 18. | Save the best candidate solution so far. | |||
| 19. | end (For to T) | |||
| 20. | Output the best quasi-optimal solution obtained with the LOA. | |||
| End LOA. | ||||
3.5. Computational Complexity of LOA
- The preparation and initialization steps of LOA have a time complexity equal to O(Nm), where N is the number of lyrebirds in the population and m is the number of decision variables of the problem.
- In each iteration, the objective function is calculated corresponding to each lyrebird. Therefore, calculating the objective function has a time complexity equal to O(NT), where T is the maximum number of LOA iterations.
- In each iteration, each lyrebird is randomly updated based on one of the escape or hiding phases. Therefore, the lyrebird update process has a time complexity equal to O(NmT).
4. Simulation Studies and Results
4.1. Performance Comparison and Experimental Setting
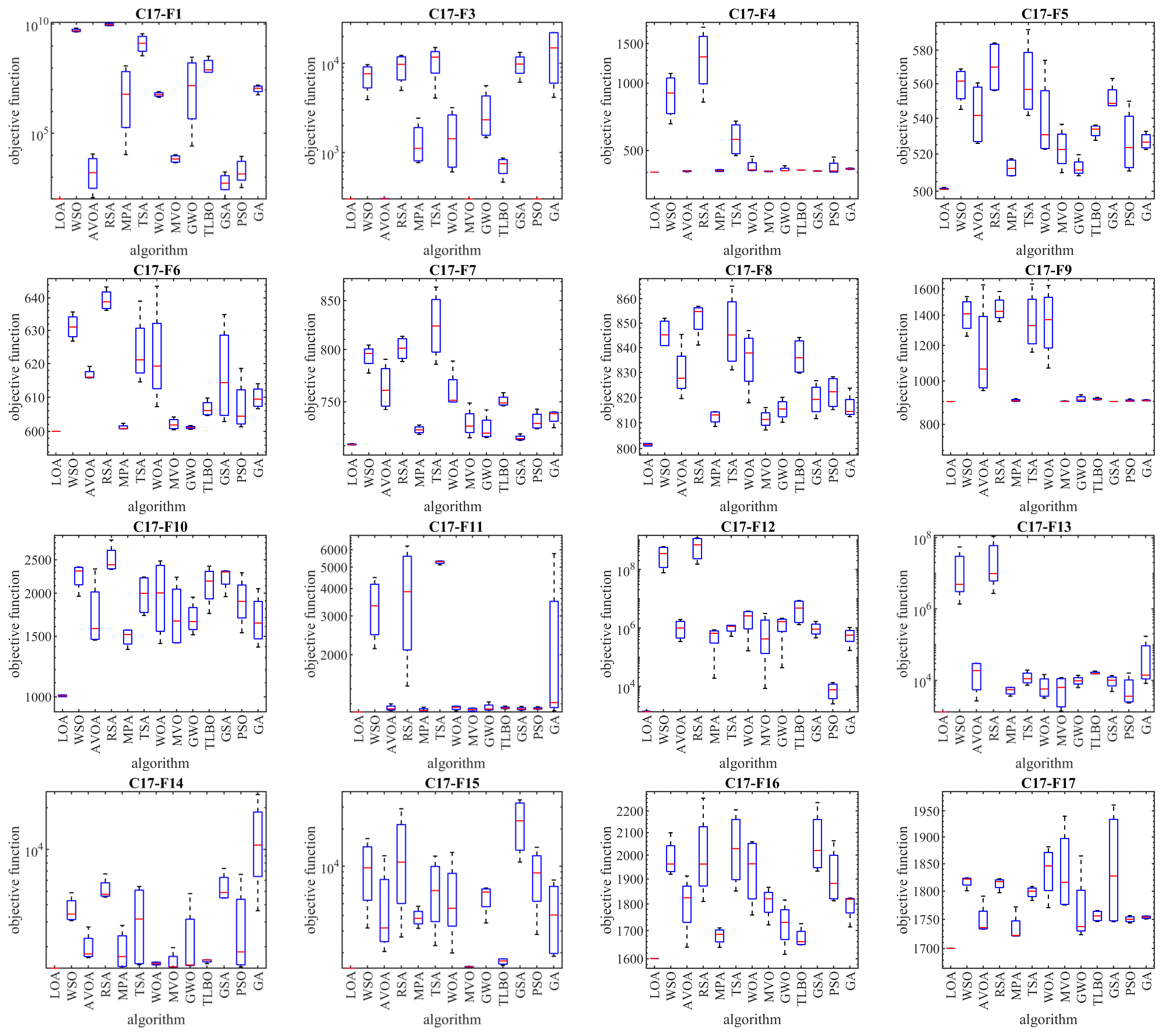
4.2. Evaluation CEC 2017 Test Suite
4.3. Statistical Analysis
4.4. Discussion
5. LOA for Real-World Applications
5.1. Evaluation of CEC 2011 Test Suite
5.2. Pressure Vessel Design Problem
5.3. Speed Reducer Design Problem
5.4. Welded Beam Design
5.5. Tension/Compression Spring Design
6. Conclusions and Future Works
Author Contributions
Funding
Institutional Review Board Statement
Data Availability Statement
Acknowledgments
Conflicts of Interest
References
- Zhao, S.; Zhang, T.; Ma, S.; Chen, M. Dandelion Optimizer: A nature-inspired metaheuristic algorithm for engineering applications. Eng. Appl. Artif. Intell. 2022, 114, 105075. [Google Scholar] [CrossRef]
- Sergeyev, Y.D.; Kvasov, D.; Mukhametzhanov, M. On the efficiency of nature-inspired metaheuristics in expensive global optimization with limited budget. Sci. Rep. 2018, 8, 453. [Google Scholar] [CrossRef]
- Liberti, L.; Kucherenko, S. Comparison of deterministic and stochastic approaches to global optimization. Int. Trans. Oper. Res. 2005, 12, 263–285. [Google Scholar] [CrossRef]
- Koc, I.; Atay, Y.; Babaoglu, I. Discrete tree seed algorithm for urban land readjustment. Eng. Appl. Artif. Intell. 2022, 112, 104783. [Google Scholar] [CrossRef]
- Kokangul, A. A combination of deterministic and stochastic approaches to optimize bed capacity in a hospital unit. Comput. Methods Programs Biomed. 2008, 90, 56–65. [Google Scholar] [CrossRef] [PubMed]
- Mohammadi-Balani, A.; Nayeri, M.D.; Azar, A.; Taghizadeh-Yazdi, M. Golden eagle optimizer: A nature-inspired metaheuristic algorithm. Comput. Ind. Eng. 2021, 152, 107050. [Google Scholar] [CrossRef]
- De Armas, J.; Lalla-Ruiz, E.; Tilahun, S.L.; Voß, S. Similarity in metaheuristics: A gentle step towards a comparison methodology. Nat. Comput. 2022, 21, 265–287. [Google Scholar] [CrossRef]
- Dehghani, M.; Montazeri, Z.; Dehghani, A.; Malik, O.P.; Morales-Menendez, R.; Dhiman, G.; Nouri, N.; Ehsanifar, A.; Guerrero, J.M.; Ramirez-Mendoza, R.A. Binary spring search algorithm for solving various optimization problems. Appl. Sci. 2021, 11, 1286. [Google Scholar] [CrossRef]
- Ghorpade, S.; Zennaro, M.; Chaudhari, B.S. Towards green computing: Intelligent bio-inspired agent for IoT-enabled wireless sensor networks. Int. J. Sens. Netw. 2021, 35, 121–131. [Google Scholar] [CrossRef]
- Ghorpade, S.N.; Zennaro, M.; Chaudhari, B.S. IoT-based hybrid optimized fuzzy threshold ELM model for localization of elderly persons. Expert Syst. Appl. 2021, 184, 115500. [Google Scholar] [CrossRef]
- Ghorpade, S.N.; Zennaro, M.; Chaudhari, B.S. GWO model for optimal localization of IoT-enabled sensor nodes in smart parking systems. IEEE Trans. Intell. Transp. Syst. 2020, 22, 1217–1224. [Google Scholar] [CrossRef]
- Ghorpade, S.N.; Zennaro, M.; Chaudhari, B.S.; Saeed, R.A.; Alhumyani, H.; Abdel-Khalek, S. Enhanced differential crossover and quantum particle swarm optimization for IoT applications. IEEE Access 2021, 9, 93831–93846. [Google Scholar] [CrossRef]
- Ghorpade, S.N.; Zennaro, M.; Chaudhari, B.S.; Saeed, R.A.; Alhumyani, H.; Abdel-Khalek, S. A novel enhanced quantum PSO for optimal network configuration in heterogeneous industrial IoT. IEEE Access 2021, 9, 134022–134036. [Google Scholar] [CrossRef]
- Baburaj, E. Comparative Analysis of Bio-Inspired Optimization Algorithms in Neural Network-Based Data Mining Classification. Int. J. Swarm Intell. Res. IJSIR 2022, 13, 25. [Google Scholar]
- Toloueiashtian, M.; Golsorkhtabaramiri, M.; Rad, S.Y.B. An improved whale optimization algorithm solving the point coverage problem in wireless sensor networks. Telecommun. Syst. 2022, 79, 417–436. [Google Scholar] [CrossRef]
- Singh, H.; Rai, V.; Kumar, N.; Dadheech, P.; Kotecha, K.; Selvachandran, G.; Abraham, A. An enhanced whale optimization algorithm for clustering. Multimed. Tools Appl. 2023, 82, 4599–4618. [Google Scholar] [CrossRef]
- Nguyen-Trang, T.; Nguyen-Thoi, T.; Nguyen-Thi, K.-N.; Vo-Van, T. Balance-driven automatic clustering for probability density functions using metaheuristic optimization. Int. J. Mach. Learn. Cybern. 2023, 14, 1063–1078. [Google Scholar] [CrossRef]
- Karim, F.K.; Khafaga, D.S.; Eid, M.M.; Towfek, S.; Alkahtani, H.K. A Novel Bio-Inspired Optimization Algorithm Design for Wind Power Engineering Applications Time-Series Forecasting. Biomimetics 2023, 8, 321. [Google Scholar] [CrossRef]
- Sayed, E.A.; Sameh, M.A.; Attia, M.A.; Badr, A.O. Enhancement of PV performance by using hybrid TLBO-EO optimization. Ain Shams Eng. J. 2023, 14, 101892. [Google Scholar] [CrossRef]
- Shaikh, M.S.; Raj, S.; Babu, R.; Kumar, S.; Sagrolikar, K. A hybrid moth-flame algorithm with particle swarm optimization with application in power transmission and distribution. Decis. Anal. J. 2023, 6, 100182. [Google Scholar] [CrossRef]
- Seyyedabbasi, A. Binary Sand Cat Swarm Optimization Algorithm for Wrapper Feature Selection on Biological Data. Biomimetics 2023, 8, 310. [Google Scholar] [CrossRef]
- Nssibi, M.; Manita, G.; Korbaa, O. Advances in nature-inspired metaheuristic optimization for feature selection problem: A comprehensive survey. Comput. Sci. Rev. 2023, 49, 100559. [Google Scholar] [CrossRef]
- Trojovská, E.; Dehghani, M.; Trojovský, P. Zebra Optimization Algorithm: A New Bio-Inspired Optimization Algorithm for Solving Optimization Algorithm. IEEE Access 2022, 10, 49445–49473. [Google Scholar] [CrossRef]
- Wolpert, D.H.; Macready, W.G. No free lunch theorems for optimization. IEEE Trans. Evol. Comput. 1997, 1, 67–82. [Google Scholar] [CrossRef]
- Kennedy, J.; Eberhart, R. Particle Swarm Optimization. In Proceedings of ICNN’95—International Conference on Neural Networks, Perth, WA, Australia, 27 November–1 December 1995; IEEE: Perth, WA, Australia, 1995; Volume 4, pp. 1942–1948. [Google Scholar]
- Dorigo, M.; Maniezzo, V.; Colorni, A. Ant system: Optimization by a colony of cooperating agents. IEEE Trans. Syst. Man Cybern. Part B Cybern. 1996, 26, 29–41. [Google Scholar] [CrossRef] [PubMed]
- Karaboga, D.; Basturk, B. Artificial Bee Colony (ABC) Optimization Algorithm For Solving Constrained Optimization Problems. In Proceedings of the International Fuzzy Systems Association World Congress, Cancun, Mexico, 18–21 June 2007; Springer: Berlin/Heidelberg, Germany, 2007; pp. 789–798. [Google Scholar]
- Yang, X.-S. Firefly algorithm, stochastic test functions and design optimisation. Int. J. Bio-Inspired Comput. 2010, 2, 78–84. [Google Scholar] [CrossRef]
- Mirjalili, S.; Mirjalili, S.M.; Lewis, A. Grey Wolf Optimizer. Adv. Eng. Softw. 2014, 69, 46–61. [Google Scholar] [CrossRef]
- Trojovský, P.; Dehghani, M. Pelican Optimization Algorithm: A Novel Nature-Inspired Algorithm for Engineering Applications. Sensors 2022, 22, 855. [Google Scholar] [CrossRef]
- Dehghani, M.; Montazeri, Z.; Trojovská, E.; Trojovský, P. Coati Optimization Algorithm: A new bio-inspired metaheuristic algorithm for solving optimization problems. Knowl. Based Syst. 2023, 259, 110011. [Google Scholar] [CrossRef]
- Agushaka, J.O.; Ezugwu, A.E.; Abualigah, L. Gazelle optimization algorithm: A novel nature-inspired metaheuristic optimizer. Neural Comput. Appl. 2023, 35, 4099–4131. [Google Scholar] [CrossRef]
- Faramarzi, A.; Heidarinejad, M.; Mirjalili, S.; Gandomi, A.H. Marine Predators Algorithm: A nature-inspired metaheuristic. Expert Syst. Appl. 2020, 152, 113377. [Google Scholar] [CrossRef]
- Abdel-Basset, M.; Mohamed, R.; Jameel, M.; Abouhawwash, M. Nutcracker optimizer: A novel nature-inspired metaheuristic algorithm for global optimization and engineering design problems. Knowl. Based Syst. 2023, 262, 110248. [Google Scholar] [CrossRef]
- Abualigah, L.; Abd Elaziz, M.; Sumari, P.; Geem, Z.W.; Gandomi, A.H. Reptile Search Algorithm (RSA): A nature-inspired meta-heuristic optimizer. Expert Syst. Appl. 2022, 191, 116158. [Google Scholar] [CrossRef]
- Zhao, S.; Zhang, T.; Ma, S.; Wang, M. Sea-horse optimizer: A novel nature-inspired meta-heuristic for global optimization problems. Appl. Intell. 2023, 53, 11833–11860. [Google Scholar] [CrossRef]
- Braik, M.; Hammouri, A.; Atwan, J.; Al-Betar, M.A.; Awadallah, M.A. White Shark Optimizer: A novel bio-inspired meta-heuristic algorithm for global optimization problems. Knowl. Based Syst. 2022, 243, 108457. [Google Scholar] [CrossRef]
- Chopra, N.; Ansari, M.M. Golden Jackal Optimization: A Novel Nature-Inspired Optimizer for Engineering Applications. Expert Syst. Appl. 2022, 198, 116924. [Google Scholar] [CrossRef]
- Abdollahzadeh, B.; Gharehchopogh, F.S.; Mirjalili, S. African vultures optimization algorithm: A new nature-inspired metaheuristic algorithm for global optimization problems. Comput. Ind. Eng. 2021, 158, 107408. [Google Scholar] [CrossRef]
- Jiang, Y.; Wu, Q.; Zhu, S.; Zhang, L. Orca predation algorithm: A novel bio-inspired algorithm for global optimization problems. Expert Syst. Appl. 2022, 188, 116026. [Google Scholar] [CrossRef]
- Kaur, S.; Awasthi, L.K.; Sangal, A.L.; Dhiman, G. Tunicate Swarm Algorithm: A new bio-inspired based metaheuristic paradigm for global optimization. Eng. Appl. Artif. Intell. 2020, 90, 103541. [Google Scholar] [CrossRef]
- Mirjalili, S.; Lewis, A. The whale optimization algorithm. Adv. Eng. Softw. 2016, 95, 51–67. [Google Scholar] [CrossRef]
- Hashim, F.A.; Houssein, E.H.; Hussain, K.; Mabrouk, M.S.; Al-Atabany, W. Honey Badger Algorithm: New metaheuristic algorithm for solving optimization problems. Math. Comput. Simul. 2022, 192, 84–110. [Google Scholar] [CrossRef]
- Goldberg, D.E.; Holland, J.H. Genetic Algorithms and Machine Learning. Mach. Learn. 1988, 3, 95–99. [Google Scholar] [CrossRef]
- Storn, R.; Price, K. Differential evolution—A simple and efficient heuristic for global optimization over continuous spaces. J. Glob. Optim. 1997, 11, 341–359. [Google Scholar] [CrossRef]
- De Castro, L.N.; Timmis, J.I. Artificial immune systems as a novel soft computing paradigm. Soft Comput. 2003, 7, 526–544. [Google Scholar] [CrossRef]
- Reynolds, R.G. An Introduction to Cultural Algorithms. In Proceedings of the Third Annual Conference on Evolutionary Programming, San Diego, CA, USA, 24–26 February 1994; World Scientific: Singapore, 1994; pp. 131–139. [Google Scholar]
- Koza, J.R.; Koza, J.R. Genetic Programming: On the Programming of Computers by Means of Natural Selection; MIT Press: Cambridge, MA, USA, 1992; Volume 1. [Google Scholar]
- Beyer, H.-G.; Schwefel, H.-P. Evolution strategies—A comprehensive introduction. Nat. Comput. 2002, 1, 3–52. [Google Scholar] [CrossRef]
- Kirkpatrick, S.; Gelatt, C.D.; Vecchi, M.P. Optimization by simulated annealing. Science 1983, 220, 671–680. [Google Scholar] [CrossRef]
- Dehghani, M.; Samet, H. Momentum search algorithm: A new meta-heuristic optimization algorithm inspired by momentum conservation law. SN Appl. Sci. 2020, 2, 1720. [Google Scholar] [CrossRef]
- Rashedi, E.; Nezamabadi-Pour, H.; Saryazdi, S. GSA: A gravitational search algorithm. Inf. Sci. 2009, 179, 2232–2248. [Google Scholar] [CrossRef]
- Dehghani, M.; Montazeri, Z.; Dhiman, G.; Malik, O.; Morales-Menendez, R.; Ramirez-Mendoza, R.A.; Dehghani, A.; Guerrero, J.M.; Parra-Arroyo, L. A spring search algorithm applied to engineering optimization problems. Appl. Sci. 2020, 10, 6173. [Google Scholar] [CrossRef]
- Mirjalili, S.; Mirjalili, S.M.; Hatamlou, A. Multi-verse optimizer: A nature-inspired algorithm for global optimization. Neural Comput. Appl. 2016, 27, 495–513. [Google Scholar] [CrossRef]
- Hatamlou, A. Black hole: A new heuristic optimization approach for data clustering. Inf. Sci. 2013, 222, 175–184. [Google Scholar] [CrossRef]
- Wei, Z.; Huang, C.; Wang, X.; Han, T.; Li, Y. Nuclear reaction optimization: A novel and powerful physics-based algorithm for global optimization. IEEE Access 2019, 7, 66084–66109. [Google Scholar] [CrossRef]
- Cuevas, E.; Oliva, D.; Zaldivar, D.; Pérez-Cisneros, M.; Sossa, H. Circle detection using electro-magnetism optimization. Inf. Sci. 2012, 182, 40–55. [Google Scholar] [CrossRef]
- Eskandar, H.; Sadollah, A.; Bahreininejad, A.; Hamdi, M. Water cycle algorithm—A novel metaheuristic optimization method for solving constrained engineering optimization problems. Comput. Struct. 2012, 110, 151–166. [Google Scholar] [CrossRef]
- Faramarzi, A.; Heidarinejad, M.; Stephens, B.; Mirjalili, S. Equilibrium optimizer: A novel optimization algorithm. Knowl. Based Syst. 2020, 191, 105190. [Google Scholar] [CrossRef]
- Kaveh, A.; Dadras, A. A novel meta-heuristic optimization algorithm: Thermal exchange optimization. Adv. Eng. Softw. 2017, 110, 69–84. [Google Scholar] [CrossRef]
- Hashim, F.A.; Houssein, E.H.; Mabrouk, M.S.; Al-Atabany, W.; Mirjalili, S. Henry gas solubility optimization: A novel physics-based algorithm. Future Gener. Comput. Syst. 2019, 101, 646–667. [Google Scholar] [CrossRef]
- Hashim, F.A.; Hussain, K.; Houssein, E.H.; Mabrouk, M.S.; Al-Atabany, W. Archimedes optimization algorithm: A new metaheuristic algorithm for solving optimization problems. Appl. Intell. 2021, 51, 1531–1551. [Google Scholar] [CrossRef]
- Pereira, J.L.J.; Francisco, M.B.; Diniz, C.A.; Oliver, G.A.; Cunha, S.S., Jr.; Gomes, G.F. Lichtenberg algorithm: A novel hybrid physics-based meta-heuristic for global optimization. Expert Syst. Appl. 2021, 170, 114522. [Google Scholar] [CrossRef]
- Rao, R.V.; Savsani, V.J.; Vakharia, D. Teaching–learning-based optimization: A novel method for constrained mechanical design optimization problems. Comput. Aided Des. 2011, 43, 303–315. [Google Scholar] [CrossRef]
- Matoušová, I.; Trojovský, P.; Dehghani, M.; Trojovská, E.; Kostra, J. Mother optimization algorithm: A new human-based metaheuristic approach for solving engineering optimization. Sci. Rep. 2023, 13, 10312. [Google Scholar] [CrossRef]
- Trojovský, P.; Dehghani, M. A new optimization algorithm based on mimicking the voting process for leader selection. PeerJ Comput. Sci. 2022, 8, e976. [Google Scholar] [CrossRef] [PubMed]
- Dehghani, M.; Trojovská, E.; Trojovský, P. A new human-based metaheuristic algorithm for solving optimization problems on the base of simulation of driving training process. Sci. Rep. 2022, 12, 9924. [Google Scholar] [CrossRef] [PubMed]
- Dehghani, M.; Trojovský, P. Teamwork Optimization Algorithm: A New Optimization Approach for Function Minimization/Maximization. Sensors 2021, 21, 4567. [Google Scholar] [CrossRef]
- Mohamed, A.W.; Hadi, A.A.; Mohamed, A.K. Gaining-sharing knowledge based algorithm for solving optimization problems: A novel nature-inspired algorithm. Int. J. Mach. Learn. Cybern. 2020, 11, 1501–1529. [Google Scholar] [CrossRef]
- Givi, H.; Hubalovska, M. Skill optimization algorithm: A new human-based metaheuristic technique. Comput. Mater. Contin. 2023, 74, 179–202. [Google Scholar] [CrossRef]
- Ayyarao, T.L.; Ramakrishna, N.; Elavarasam, R.M.; Polumahanthi, N.; Rambabu, M.; Saini, G.; Khan, B.; Alatas, B. War Strategy Optimization Algorithm: A New Effective Metaheuristic Algorithm for Global Optimization. IEEE Access 2022, 10, 25073–25105. [Google Scholar] [CrossRef]
- Oladejo, S.O.; Ekwe, S.O.; Akinyemi, L.A.; Mirjalili, S.A. The Deep Sleep Optimiser: A Human-Based Metaheuristic Approach. IEEE Access 2023, 11, 83639–83665. [Google Scholar] [CrossRef]
- Braik, M.; Ryalat, M.H.; Al-Zoubi, H. A novel meta-heuristic algorithm for solving numerical optimization problems: Ali Baba and the forty thieves. Neural Comput. Appl. 2022, 34, 409–455. [Google Scholar] [CrossRef]
- Al-Betar, M.A.; Alyasseri, Z.A.A.; Awadallah, M.A.; Abu Doush, I. Coronavirus herd immunity optimizer (CHIO). Neural Comput. Appl. 2021, 33, 5011–5042. [Google Scholar] [CrossRef]
- Dehghani, M.; Montazeri, Z.; Givi, H.; Guerrero, J.M.; Dhiman, G. Darts game optimizer: A new optimization technique based on darts game. Int. J. Intell. Eng. Syst. 2020, 13, 286–294. [Google Scholar] [CrossRef]
- Dehghani, M.; Mardaneh, M.; Guerrero, J.M.; Malik, O.; Kumar, V. Football game based optimization: An application to solve energy commitment problem. Int. J. Intell. Eng. Syst. 2020, 13, 514–523. [Google Scholar] [CrossRef]
- Moghdani, R.; Salimifard, K. Volleyball premier league algorithm. Appl. Soft Comput. 2018, 64, 161–185. [Google Scholar] [CrossRef]
- Zeidabadi, F.A.; Dehghani, M. POA: Puzzle Optimization Algorithm. Int. J. Intell. Eng. Syst. 2022, 15, 273–281. [Google Scholar]
- Ma, B.; Hu, Y.; Lu, P.; Liu, Y. Running city game optimizer: A game-based metaheuristic optimization algorithm for global optimization. J. Comput. Des. Eng. 2023, 10, 65–107. [Google Scholar] [CrossRef]
- Kaveh, A.; Zolghadr, A. A Novel Meta-Heuristic Algorithm: Tug of War Optimization. Int. J. Optim. Civ. Eng. 2016, 6, 469–492. [Google Scholar]
- Givi, H.; Hubálovská, M. Billiards Optimization Algorithm: A New Game-Based Metaheuristic Approach. Comput. Mater. Contin. 2023, 74, 5283–5300. [Google Scholar] [CrossRef]
- Montazeri, Z.; Niknam, T.; Aghaei, J.; Malik, O.P.; Dehghani, M.; Dhiman, G. Golf Optimization Algorithm: A New Game-Based Metaheuristic Algorithm and Its Application to Energy Commitment Problem Considering Resilience. Biomimetics 2023, 8, 386. [Google Scholar] [CrossRef]
- Ting, T.; Yang, X.-S.; Cheng, S.; Huang, K. Hybrid metaheuristic algorithms: Past, present, and future. Recent Adv. Swarm Intell. Evol. Comput. 2015, 585, 71–83. [Google Scholar]
- Garg, H. A hybrid PSO-GA algorithm for constrained optimization problems. Appl. Math. Comput. 2016, 274, 292–305. [Google Scholar] [CrossRef]
- Yun, Y.; Gen, M.; Erdene, T.N. Applying GA-PSO-TLBO approach to engineering optimization problems. Math. Biosci. Eng. 2023, 20, 552–571. [Google Scholar] [CrossRef]
- Mohammed, H.; Rashid, T. A novel hybrid GWO with WOA for global numerical optimization and solving pressure vessel design. Neural Comput. Appl. 2020, 32, 14701–14718. [Google Scholar] [CrossRef]
- Sharma, A.; Sharma, A.; Jately, V.; Averbukh, M.; Rajput, S.; Azzopardi, B. A novel TSA-PSO based hybrid algorithm for GMPP tracking under partial shading conditions. Energies 2022, 15, 3164. [Google Scholar] [CrossRef]
- Robinson, F.N.; Curtis, H.S. The vocal displays of the lyrebirds (Menuridae). Emu 1996, 96, 258–275. [Google Scholar] [CrossRef]
- Dalziell, A.H.; Welbergen, J.A. Elaborate mimetic vocal displays by female superb lyrebirds. Front. Ecol. Evol. 2016, 4, 34. [Google Scholar] [CrossRef]
- Awad, N.; Ali, M.; Liang, J.; Qu, B.; Suganthan, P.; Definitions, P. Evaluation Criteria for the CEC 2017 Special Session and Competition on Single Objective Real-Parameter Numerical Optimization; Technical Report; Nanyang Technological University: Singapore, 2016. [Google Scholar]
- Wilcoxon, F. Individual comparisons by ranking methods. In Breakthroughs in Statistics; Springer: Berlin/Heidelberg, Germany, 1992; pp. 196–202. [Google Scholar]
- Das, S.; Suganthan, P.N. Problem Definitions and Evaluation Criteria for CEC 2011 Competition on Testing Evolutionary Algorithms on Real World Optimization Problems; Technical Report; Jadavpur University: Kolkata, India; Nanyang Technological University: Singapore, 2010; pp. 341–359. [Google Scholar]
- Kannan, B.; Kramer, S.N. An augmented Lagrange multiplier based method for mixed integer discrete continuous optimization and its applications to mechanical design. J. Mech. Des. 1994, 116, 405–411. [Google Scholar] [CrossRef]
- Gandomi, A.H.; Yang, X.-S. Benchmark problems in structural optimization. In Computational Optimization, Methods and Algorithms; Springer: Berlin/Heidelberg, Germany, 2011; pp. 259–281. [Google Scholar]
- Mezura-Montes, E.; Coello, C.A.C. Useful Infeasible Solutions in Engineering Optimization with Evolutionary Algorithms. In Proceedings of the 4th Mexican International Conference on Artificial Intelligence, Monterrey, Mexico, 14–18 November 2005; Springer: Berlin/Heidelberg, Germany, 2005; pp. 652–662. [Google Scholar]




















| Algorithm | Parameter | Value |
|---|---|---|
| GA | ||
| Type | Real coded | |
| Selection | Roulette wheel (proportionate) | |
| Crossover | Whole arithmetic (probability = 0.8, ) | |
| Mutation | Gaussian (probability = 0.05) | |
| PSO | ||
| Topology | Fully connected | |
| Cognitive and social constant | (C1, C2) | |
| Inertia weight | Linear reduction from 0.9 to 0.1. | |
| Velocity limit | 10% of dimension range | |
| GSA | ||
| Alpha, G0, Rnorm, Rpower | 20, 100, 2, 1 | |
| TLBO | ||
| TF: teaching factor | TF = round | |
| random number | rand is a random number between | |
| GWO | ||
| Convergence parameter (a) | a: linear reduction from 2 to 0. | |
| MVO | ||
| Wormhole existence probability (WEP) | Min(WEP) = 0.2 and Max(WEP) = 1. | |
| Exploitation accuracy over the iterations (p) | . | |
| WOA | ||
| Convergence parameter (a) | a: linear reduction from 2 to 0. | |
| r is a random vector in | ||
| l is a random number in | ||
| TSA | ||
| Pmin and Pmax | 1, 4 | |
| c1, c2, c3 | Random numbers lie in the range of | |
| MPA | ||
| Constant number | P = 0.5 | |
| Random vector | R is a vector of uniform random numbers in | |
| Fish Aggregating Devices (FADs) | FADs = 0.2 | |
| Binary vector | U = 0 or 1 | |
| RSA | ||
| Sensitive parameter | ||
| Sensitive parameter | ||
| Evolutionary Sense (ES) | ES: randomly decreasing values between 2 and −2. | |
| AVOA | ||
| L1, L2 | 0.8, 0.2 | |
| w | 2.5 | |
| P1, P2, P3 | 0.6, 0.4, 0.6 | |
| WSO | ||
| Fmin and Fmax | 0.07, 0.75 | |
| τ, ao, a1, a2 | 4.125, 6.25, 100, 0.0005 |
| LOA | WSO | AVOA | RSA | MPA | TSA | WOA | MVO | GWO | TLBO | GSA | PSO | GA | ||
|---|---|---|---|---|---|---|---|---|---|---|---|---|---|---|
| C17-F1 | Mean | 1.00E+02 | 5.18E+09 | 3.66E+03 | 9.70E+09 | 3.35E+07 | 1.65E+09 | 6.13E+06 | 7.15E+03 | 8.38E+07 | 1.40E+08 | 7.14E+02 | 2.99E+03 | 1.13E+07 |
| Best | 1.00E+02 | 4.35E+09 | 1.15E+02 | 8.39E+09 | 1.07E+04 | 3.54E+08 | 4.46E+06 | 4.55E+03 | 2.64E+04 | 6.23E+07 | 1.00E+02 | 3.33E+02 | 5.83E+06 | |
| Worst | 1.00E+02 | 6.50E+09 | 1.13E+04 | 1.16E+10 | 1.22E+08 | 3.60E+09 | 8.07E+06 | 1.05E+04 | 3.05E+08 | 3.37E+08 | 1.71E+03 | 8.85E+03 | 1.62E+07 | |
| Std | 0.00E+00 | 1.01E+09 | 5.70E+03 | 1.56E+09 | 6.43E+07 | 1.57E+09 | 1.66E+06 | 3.05E+03 | 1.61E+08 | 1.44E+08 | 7.56E+02 | 4.29E+03 | 4.70E+06 | |
| Median | 1.00E+02 | 4.94E+09 | 1.59E+03 | 9.43E+09 | 6.15E+06 | 1.33E+09 | 5.99E+06 | 6.76E+03 | 1.54E+07 | 7.99E+07 | 5.26E+02 | 1.39E+03 | 1.15E+07 | |
| Rank | 1 | 12 | 4 | 13 | 8 | 11 | 6 | 5 | 9 | 10 | 2 | 3 | 7 | |
| C17-F3 | Mean | 3.00E+02 | 7.22E+03 | 3.02E+02 | 9.18E+03 | 1.35E+03 | 1.07E+04 | 1.66E+03 | 3.00E+02 | 2.93E+03 | 7.05E+02 | 9.76E+03 | 3.00E+02 | 1.40E+04 |
| Best | 3.00E+02 | 3.92E+03 | 3.00E+02 | 4.96E+03 | 7.67E+02 | 4.07E+03 | 6.03E+02 | 3.00E+02 | 1.47E+03 | 4.63E+02 | 6.15E+03 | 3.00E+02 | 4.15E+03 | |
| Worst | 3.00E+02 | 9.67E+03 | 3.04E+02 | 1.23E+04 | 2.42E+03 | 1.51E+04 | 3.18E+03 | 3.00E+02 | 5.61E+03 | 8.63E+02 | 1.33E+04 | 3.00E+02 | 2.22E+04 | |
| Std | 0.00E+00 | 2.75E+03 | 2.27E+00 | 3.64E+03 | 8.32E+02 | 5.08E+03 | 1.32E+03 | 5.07E-02 | 2.08E+03 | 1.91E+02 | 3.19E+03 | 7.14E-14 | 1.03E+04 | |
| Median | 3.00E+02 | 7.64E+03 | 3.02E+02 | 9.74E+03 | 1.11E+03 | 1.18E+04 | 1.43E+03 | 3.00E+02 | 2.32E+03 | 7.47E+02 | 9.82E+03 | 3.00E+02 | 1.49E+04 | |
| Rank | 1 | 9 | 4 | 10 | 6 | 12 | 7 | 3 | 8 | 5 | 11 | 2 | 13 | |
| C17-F4 | Mean | 4.00E+02 | 8.93E+02 | 4.05E+02 | 1.30E+03 | 4.06E+02 | 5.68E+02 | 4.24E+02 | 4.03E+02 | 4.11E+02 | 4.09E+02 | 4.04E+02 | 4.19E+02 | 4.14E+02 |
| Best | 4.00E+02 | 6.59E+02 | 4.01E+02 | 8.23E+02 | 4.02E+02 | 4.74E+02 | 4.06E+02 | 4.02E+02 | 4.06E+02 | 4.08E+02 | 4.03E+02 | 4.00E+02 | 4.11E+02 | |
| Worst | 4.00E+02 | 1.10E+03 | 4.06E+02 | 1.78E+03 | 4.11E+02 | 6.77E+02 | 4.70E+02 | 4.05E+02 | 4.27E+02 | 4.09E+02 | 4.06E+02 | 4.67E+02 | 4.18E+02 | |
| Std | 0.00E+00 | 2.18E+02 | 2.58E+00 | 4.42E+02 | 4.56E+00 | 1.08E+02 | 3.35E+01 | 1.78E+00 | 1.15E+01 | 5.68E-01 | 1.19E+00 | 3.49E+01 | 3.06E+00 | |
| Median | 4.00E+02 | 9.04E+02 | 4.05E+02 | 1.31E+03 | 4.06E+02 | 5.60E+02 | 4.10E+02 | 4.03E+02 | 4.06E+02 | 4.09E+02 | 4.04E+02 | 4.05E+02 | 4.14E+02 | |
| Rank | 1 | 12 | 4 | 13 | 5 | 11 | 10 | 2 | 7 | 6 | 3 | 9 | 8 | |
| C17-F5 | Mean | 5.01E+02 | 5.59E+02 | 5.42E+02 | 5.70E+02 | 5.12E+02 | 5.62E+02 | 5.39E+02 | 5.23E+02 | 5.13E+02 | 5.33E+02 | 5.52E+02 | 5.27E+02 | 5.27E+02 |
| Best | 5.01E+02 | 5.45E+02 | 5.26E+02 | 5.56E+02 | 5.08E+02 | 5.42E+02 | 5.23E+02 | 5.10E+02 | 5.08E+02 | 5.27E+02 | 5.47E+02 | 5.11E+02 | 5.22E+02 | |
| Worst | 5.02E+02 | 5.69E+02 | 5.60E+02 | 5.84E+02 | 5.17E+02 | 5.93E+02 | 5.74E+02 | 5.37E+02 | 5.20E+02 | 5.36E+02 | 5.63E+02 | 5.50E+02 | 5.32E+02 | |
| Std | 5.41E-01 | 1.15E+01 | 1.97E+01 | 1.72E+01 | 5.29E+00 | 2.47E+01 | 2.62E+01 | 1.21E+01 | 5.31E+00 | 4.14E+00 | 8.29E+00 | 1.96E+01 | 4.93E+00 | |
| Median | 5.01E+02 | 5.61E+02 | 5.42E+02 | 5.70E+02 | 5.12E+02 | 5.57E+02 | 5.31E+02 | 5.22E+02 | 5.11E+02 | 5.34E+02 | 5.48E+02 | 5.23E+02 | 5.26E+02 | |
| Rank | 1 | 11 | 9 | 13 | 2 | 12 | 8 | 4 | 3 | 7 | 10 | 5 | 6 | |
| C17-F6 | Mean | 6.00E+02 | 6.31E+02 | 6.17E+02 | 6.39E+02 | 6.01E+02 | 6.24E+02 | 6.22E+02 | 6.02E+02 | 6.01E+02 | 6.07E+02 | 6.17E+02 | 6.07E+02 | 6.10E+02 |
| Best | 6.00E+02 | 6.27E+02 | 6.16E+02 | 6.36E+02 | 6.01E+02 | 6.15E+02 | 6.07E+02 | 6.00E+02 | 6.01E+02 | 6.05E+02 | 6.03E+02 | 6.01E+02 | 6.07E+02 | |
| Worst | 6.00E+02 | 6.36E+02 | 6.19E+02 | 6.43E+02 | 6.02E+02 | 6.39E+02 | 6.44E+02 | 6.04E+02 | 6.02E+02 | 6.10E+02 | 6.35E+02 | 6.19E+02 | 6.14E+02 | |
| Std | 0.00E+00 | 4.19E+00 | 1.79E+00 | 3.52E+00 | 8.45E-01 | 1.15E+01 | 1.66E+01 | 1.81E+00 | 4.88E-01 | 2.58E+00 | 1.61E+01 | 8.52E+00 | 3.53E+00 | |
| Median | 6.00E+02 | 6.31E+02 | 6.16E+02 | 6.39E+02 | 6.01E+02 | 6.21E+02 | 6.19E+02 | 6.02E+02 | 6.01E+02 | 6.06E+02 | 6.14E+02 | 6.04E+02 | 6.09E+02 | |
| Rank | 1 | 12 | 9 | 13 | 3 | 11 | 10 | 4 | 2 | 5 | 8 | 6 | 7 | |
| C17-F7 | Mean | 7.11E+02 | 7.93E+02 | 7.64E+02 | 8.01E+02 | 7.24E+02 | 8.24E+02 | 7.60E+02 | 7.30E+02 | 7.25E+02 | 7.51E+02 | 7.17E+02 | 7.32E+02 | 7.36E+02 |
| Best | 7.11E+02 | 7.77E+02 | 7.43E+02 | 7.88E+02 | 7.20E+02 | 7.86E+02 | 7.50E+02 | 7.17E+02 | 7.17E+02 | 7.46E+02 | 7.15E+02 | 7.25E+02 | 7.26E+02 | |
| Worst | 7.12E+02 | 8.04E+02 | 7.90E+02 | 8.13E+02 | 7.28E+02 | 8.64E+02 | 7.89E+02 | 7.49E+02 | 7.42E+02 | 7.58E+02 | 7.20E+02 | 7.43E+02 | 7.40E+02 | |
| Std | 5.57E-01 | 1.26E+01 | 2.39E+01 | 1.28E+01 | 3.80E+00 | 3.72E+01 | 2.07E+01 | 1.45E+01 | 1.26E+01 | 5.93E+00 | 2.72E+00 | 8.95E+00 | 7.34E+00 | |
| Median | 7.11E+02 | 7.96E+02 | 7.61E+02 | 8.01E+02 | 7.24E+02 | 8.24E+02 | 7.51E+02 | 7.27E+02 | 7.21E+02 | 7.49E+02 | 7.16E+02 | 7.30E+02 | 7.39E+02 | |
| Rank | 1 | 11 | 10 | 12 | 3 | 13 | 9 | 5 | 4 | 8 | 2 | 6 | 7 | |
| C17-F8 | Mean | 8.01E+02 | 8.46E+02 | 8.30E+02 | 8.52E+02 | 8.12E+02 | 8.47E+02 | 8.35E+02 | 8.11E+02 | 8.15E+02 | 8.36E+02 | 8.19E+02 | 8.22E+02 | 8.16E+02 |
| Best | 8.01E+02 | 8.41E+02 | 8.20E+02 | 8.41E+02 | 8.09E+02 | 8.31E+02 | 8.18E+02 | 8.07E+02 | 8.10E+02 | 8.30E+02 | 8.12E+02 | 8.15E+02 | 8.12E+02 | |
| Worst | 8.02E+02 | 8.52E+02 | 8.45E+02 | 8.57E+02 | 8.14E+02 | 8.65E+02 | 8.47E+02 | 8.16E+02 | 8.20E+02 | 8.44E+02 | 8.27E+02 | 8.28E+02 | 8.24E+02 | |
| Std | 6.26E-01 | 6.36E+00 | 1.18E+01 | 7.96E+00 | 2.90E+00 | 1.66E+01 | 1.35E+01 | 3.97E+00 | 4.53E+00 | 8.00E+00 | 6.98E+00 | 7.06E+00 | 5.55E+00 | |
| Median | 8.01E+02 | 8.45E+02 | 8.28E+02 | 8.55E+02 | 8.13E+02 | 8.45E+02 | 8.38E+02 | 8.11E+02 | 8.16E+02 | 8.36E+02 | 8.19E+02 | 8.22E+02 | 8.14E+02 | |
| Rank | 1 | 11 | 8 | 13 | 3 | 12 | 9 | 2 | 4 | 10 | 6 | 7 | 5 | |
| C17-F9 | Mean | 9.00E+02 | 1.40E+03 | 1.18E+03 | 1.45E+03 | 9.05E+02 | 1.36E+03 | 1.36E+03 | 9.01E+02 | 9.12E+02 | 9.11E+02 | 9.00E+02 | 9.04E+02 | 9.05E+02 |
| Best | 9.00E+02 | 1.26E+03 | 9.52E+02 | 1.35E+03 | 9.00E+02 | 1.16E+03 | 1.07E+03 | 9.00E+02 | 9.01E+02 | 9.07E+02 | 9.00E+02 | 9.01E+02 | 9.03E+02 | |
| Worst | 9.00E+02 | 1.54E+03 | 1.63E+03 | 1.58E+03 | 9.13E+02 | 1.64E+03 | 1.63E+03 | 9.03E+02 | 9.32E+02 | 9.19E+02 | 9.00E+02 | 9.12E+02 | 9.09E+02 | |
| Std | 0.00E+00 | 1.33E+02 | 3.44E+02 | 1.04E+02 | 6.15E+00 | 2.28E+02 | 2.57E+02 | 1.62E+00 | 1.60E+01 | 5.89E+00 | 0.00E+00 | 5.72E+00 | 2.98E+00 | |
| Median | 9.00E+02 | 1.41E+03 | 1.06E+03 | 1.43E+03 | 9.03E+02 | 1.33E+03 | 1.37E+03 | 9.00E+02 | 9.07E+02 | 9.10E+02 | 9.00E+02 | 9.02E+02 | 9.04E+02 | |
| Rank | 1 | 11 | 8 | 12 | 5 | 10 | 9 | 2 | 7 | 6 | 1 | 3 | 4 | |
| C17-F10 | Mean | 1.01E+03 | 2.25E+03 | 1.74E+03 | 2.51E+03 | 1.49E+03 | 1.99E+03 | 1.98E+03 | 1.75E+03 | 1.69E+03 | 2.12E+03 | 2.22E+03 | 1.90E+03 | 1.68E+03 |
| Best | 1.00E+03 | 1.96E+03 | 1.46E+03 | 2.35E+03 | 1.37E+03 | 1.72E+03 | 1.43E+03 | 1.44E+03 | 1.52E+03 | 1.75E+03 | 1.95E+03 | 1.54E+03 | 1.40E+03 | |
| Worst | 1.01E+03 | 2.38E+03 | 2.35E+03 | 2.85E+03 | 1.57E+03 | 2.23E+03 | 2.48E+03 | 2.23E+03 | 1.95E+03 | 2.39E+03 | 2.32E+03 | 2.29E+03 | 2.06E+03 | |
| Std | 7.24E+00 | 2.14E+02 | 4.55E+02 | 2.57E+02 | 9.79E+01 | 2.89E+02 | 5.53E+02 | 4.16E+02 | 2.00E+02 | 3.00E+02 | 1.94E+02 | 3.38E+02 | 3.10E+02 | |
| Median | 1.01E+03 | 2.32E+03 | 1.58E+03 | 2.42E+03 | 1.52E+03 | 2.00E+03 | 2.00E+03 | 1.66E+03 | 1.65E+03 | 2.17E+03 | 2.30E+03 | 1.89E+03 | 1.64E+03 | |
| Rank | 1 | 12 | 5 | 13 | 2 | 9 | 8 | 6 | 4 | 10 | 11 | 7 | 3 | |
| C17-F11 | Mean | 1.10E+03 | 3.32E+03 | 1.15E+03 | 3.85E+03 | 1.13E+03 | 5.26E+03 | 1.15E+03 | 1.13E+03 | 1.15E+03 | 1.15E+03 | 1.14E+03 | 1.14E+03 | 2.32E+03 |
| Best | 1.10E+03 | 2.13E+03 | 1.12E+03 | 1.44E+03 | 1.11E+03 | 5.12E+03 | 1.11E+03 | 1.11E+03 | 1.12E+03 | 1.14E+03 | 1.12E+03 | 1.13E+03 | 1.11E+03 | |
| Worst | 1.10E+03 | 4.48E+03 | 1.20E+03 | 6.23E+03 | 1.16E+03 | 5.34E+03 | 1.17E+03 | 1.15E+03 | 1.22E+03 | 1.17E+03 | 1.17E+03 | 1.16E+03 | 5.76E+03 | |
| Std | 0.00E+00 | 1.15E+03 | 3.87E+01 | 2.34E+03 | 2.24E+01 | 1.06E+02 | 2.88E+01 | 2.25E+01 | 5.17E+01 | 1.55E+01 | 2.17E+01 | 1.53E+01 | 2.49E+03 | |
| Median | 1.10E+03 | 3.34E+03 | 1.14E+03 | 3.87E+03 | 1.12E+03 | 5.29E+03 | 1.16E+03 | 1.13E+03 | 1.13E+03 | 1.14E+03 | 1.13E+03 | 1.14E+03 | 1.21E+03 | |
| Rank | 1 | 11 | 6 | 12 | 2 | 13 | 8 | 3 | 9 | 7 | 4 | 5 | 10 | |
| C17-F12 | Mean | 1.35E+03 | 3.38E+08 | 1.05E+06 | 6.75E+08 | 5.43E+05 | 9.95E+05 | 2.25E+06 | 9.85E+05 | 1.35E+06 | 4.83E+06 | 9.76E+05 | 7.80E+03 | 5.79E+05 |
| Best | 1.32E+03 | 7.61E+07 | 3.41E+05 | 1.50E+08 | 1.91E+04 | 5.16E+05 | 1.64E+05 | 8.51E+03 | 4.35E+04 | 1.29E+06 | 4.54E+05 | 2.47E+03 | 1.68E+05 | |
| Worst | 1.44E+03 | 5.91E+08 | 1.91E+06 | 1.18E+09 | 8.50E+05 | 1.22E+06 | 3.74E+06 | 3.09E+06 | 2.12E+06 | 8.56E+06 | 1.65E+06 | 1.34E+04 | 1.02E+06 | |
| Std | 6.24E+01 | 2.83E+08 | 7.99E+05 | 5.67E+08 | 3.98E+05 | 3.62E+05 | 1.81E+06 | 1.55E+06 | 9.96E+05 | 4.19E+06 | 5.51E+05 | 5.41E+03 | 3.82E+05 | |
| Median | 1.33E+03 | 3.43E+08 | 9.81E+05 | 6.85E+08 | 6.52E+05 | 1.12E+06 | 2.55E+06 | 4.19E+05 | 1.63E+06 | 4.74E+06 | 9.00E+05 | 7.68E+03 | 5.63E+05 | |
| Rank | 1 | 12 | 8 | 13 | 3 | 7 | 10 | 6 | 9 | 11 | 5 | 2 | 4 | |
| C17-F13 | Mean | 1.31E+03 | 1.65E+07 | 1.76E+04 | 3.29E+07 | 5.26E+03 | 1.22E+04 | 7.31E+03 | 6.49E+03 | 9.91E+03 | 1.61E+04 | 9.69E+03 | 6.39E+03 | 5.22E+04 |
| Best | 1.30E+03 | 1.37E+06 | 2.66E+03 | 2.73E+06 | 3.62E+03 | 7.32E+03 | 3.20E+03 | 1.38E+03 | 6.28E+03 | 1.52E+04 | 4.89E+03 | 2.33E+03 | 8.23E+03 | |
| Worst | 1.31E+03 | 5.46E+07 | 3.01E+04 | 1.09E+08 | 6.42E+03 | 1.94E+04 | 1.46E+04 | 1.19E+04 | 1.38E+04 | 1.82E+04 | 1.36E+04 | 1.60E+04 | 1.72E+05 | |
| Std | 2.47E+00 | 2.77E+07 | 1.54E+04 | 5.55E+07 | 1.45E+03 | 5.66E+03 | 5.64E+03 | 5.93E+03 | 3.36E+03 | 1.60E+03 | 4.02E+03 | 7.08E+03 | 8.72E+04 | |
| Median | 1.30E+03 | 4.91E+06 | 1.88E+04 | 9.82E+06 | 5.50E+03 | 1.11E+04 | 5.74E+03 | 6.35E+03 | 9.77E+03 | 1.54E+04 | 1.01E+04 | 3.59E+03 | 1.40E+04 | |
| Rank | 1 | 12 | 10 | 13 | 2 | 8 | 5 | 4 | 7 | 9 | 6 | 3 | 11 | |
| C17-F14 | Mean | 1.40E+03 | 3.70E+03 | 2.00E+03 | 5.18E+03 | 1.92E+03 | 3.30E+03 | 1.51E+03 | 1.56E+03 | 2.31E+03 | 1.58E+03 | 5.39E+03 | 2.93E+03 | 1.25E+04 |
| Best | 1.40E+03 | 3.08E+03 | 1.67E+03 | 4.54E+03 | 1.43E+03 | 1.48E+03 | 1.48E+03 | 1.42E+03 | 1.46E+03 | 1.51E+03 | 4.47E+03 | 1.43E+03 | 3.63E+03 | |
| Worst | 1.40E+03 | 4.88E+03 | 2.77E+03 | 6.67E+03 | 2.84E+03 | 5.41E+03 | 1.55E+03 | 1.97E+03 | 4.81E+03 | 1.61E+03 | 7.29E+03 | 6.61E+03 | 2.48E+04 | |
| Std | 5.41E-01 | 8.97E+02 | 5.64E+02 | 1.09E+03 | 7.18E+02 | 2.27E+03 | 4.10E+01 | 2.93E+02 | 1.82E+03 | 5.22E+01 | 1.44E+03 | 2.70E+03 | 9.76E+03 | |
| Median | 1.40E+03 | 3.43E+03 | 1.77E+03 | 4.76E+03 | 1.70E+03 | 3.16E+03 | 1.51E+03 | 1.43E+03 | 1.48E+03 | 1.60E+03 | 4.90E+03 | 1.83E+03 | 1.07E+04 | |
| Rank | 1 | 10 | 6 | 11 | 5 | 9 | 2 | 3 | 7 | 4 | 12 | 8 | 13 | |
| C17-F15 | Mean | 1.50E+03 | 9.84E+03 | 5.14E+03 | 1.34E+04 | 3.87E+03 | 6.77E+03 | 6.02E+03 | 1.54E+03 | 5.63E+03 | 1.70E+03 | 2.29E+04 | 8.68E+03 | 4.42E+03 |
| Best | 1.50E+03 | 3.17E+03 | 2.05E+03 | 2.68E+03 | 3.15E+03 | 2.28E+03 | 1.99E+03 | 1.52E+03 | 3.48E+03 | 1.58E+03 | 1.08E+04 | 2.81E+03 | 1.87E+03 | |
| Worst | 1.50E+03 | 1.67E+04 | 1.22E+04 | 2.91E+04 | 4.75E+03 | 1.21E+04 | 1.29E+04 | 1.55E+03 | 6.67E+03 | 1.79E+03 | 3.44E+04 | 1.42E+04 | 7.74E+03 | |
| Std | 2.56E-01 | 6.36E+03 | 5.13E+03 | 1.26E+04 | 7.22E+02 | 4.58E+03 | 5.19E+03 | 1.27E+01 | 1.59E+03 | 1.10E+02 | 1.23E+04 | 5.19E+03 | 3.17E+03 | |
| Median | 1.50E+03 | 9.72E+03 | 3.17E+03 | 1.08E+04 | 3.79E+03 | 6.36E+03 | 4.57E+03 | 1.54E+03 | 6.19E+03 | 1.72E+03 | 2.33E+04 | 8.84E+03 | 4.04E+03 | |
| Rank | 1 | 11 | 6 | 12 | 4 | 9 | 8 | 2 | 7 | 3 | 13 | 10 | 5 | |
| C17-F16 | Mean | 1.60E+03 | 1.99E+03 | 1.80E+03 | 2.00E+03 | 1.68E+03 | 2.03E+03 | 1.94E+03 | 1.81E+03 | 1.72E+03 | 1.67E+03 | 2.05E+03 | 1.91E+03 | 1.79E+03 |
| Best | 1.60E+03 | 1.92E+03 | 1.64E+03 | 1.81E+03 | 1.64E+03 | 1.85E+03 | 1.76E+03 | 1.72E+03 | 1.62E+03 | 1.65E+03 | 1.93E+03 | 1.81E+03 | 1.71E+03 | |
| Worst | 1.60E+03 | 2.10E+03 | 1.91E+03 | 2.26E+03 | 1.71E+03 | 2.21E+03 | 2.06E+03 | 1.87E+03 | 1.82E+03 | 1.73E+03 | 2.24E+03 | 2.06E+03 | 1.82E+03 | |
| Std | 3.44E-01 | 8.71E+01 | 1.25E+02 | 2.07E+02 | 3.28E+01 | 1.75E+02 | 1.55E+02 | 6.67E+01 | 9.01E+01 | 3.90E+01 | 1.52E+02 | 1.26E+02 | 5.82E+01 | |
| Median | 1.60E+03 | 1.96E+03 | 1.82E+03 | 1.96E+03 | 1.69E+03 | 2.03E+03 | 1.96E+03 | 1.82E+03 | 1.73E+03 | 1.66E+03 | 2.02E+03 | 1.88E+03 | 1.82E+03 | |
| Rank | 1 | 10 | 6 | 11 | 3 | 12 | 9 | 7 | 4 | 2 | 13 | 8 | 5 | |
| C17-F17 | Mean | 1.70E+03 | 1.82E+03 | 1.75E+03 | 1.81E+03 | 1.73E+03 | 1.80E+03 | 1.84E+03 | 1.84E+03 | 1.77E+03 | 1.76E+03 | 1.84E+03 | 1.75E+03 | 1.75E+03 |
| Best | 1.70E+03 | 1.80E+03 | 1.73E+03 | 1.80E+03 | 1.72E+03 | 1.78E+03 | 1.77E+03 | 1.78E+03 | 1.72E+03 | 1.75E+03 | 1.75E+03 | 1.74E+03 | 1.75E+03 | |
| Worst | 1.70E+03 | 1.82E+03 | 1.79E+03 | 1.82E+03 | 1.77E+03 | 1.81E+03 | 1.88E+03 | 1.94E+03 | 1.86E+03 | 1.77E+03 | 1.96E+03 | 1.76E+03 | 1.76E+03 | |
| Std | 1.69E-01 | 1.20E+01 | 3.07E+01 | 1.21E+01 | 2.72E+01 | 1.17E+01 | 5.24E+01 | 8.49E+01 | 7.20E+01 | 1.04E+01 | 1.20E+02 | 5.94E+00 | 2.62E+00 | |
| Median | 1.70E+03 | 1.82E+03 | 1.74E+03 | 1.82E+03 | 1.72E+03 | 1.80E+03 | 1.85E+03 | 1.82E+03 | 1.74E+03 | 1.76E+03 | 1.83E+03 | 1.75E+03 | 1.75E+03 | |
| Rank | 1 | 10 | 3 | 9 | 2 | 8 | 11 | 12 | 7 | 6 | 13 | 4 | 5 | |
| C17-F18 | Mean | 1.81E+03 | 2.73E+06 | 1.14E+04 | 5.44E+06 | 1.06E+04 | 1.16E+04 | 2.23E+04 | 2.01E+04 | 1.91E+04 | 2.83E+04 | 9.36E+03 | 2.10E+04 | 1.23E+04 |
| Best | 1.80E+03 | 1.41E+05 | 4.71E+03 | 2.70E+05 | 4.05E+03 | 7.21E+03 | 6.24E+03 | 8.39E+03 | 6.12E+03 | 2.30E+04 | 6.19E+03 | 2.83E+03 | 3.36E+03 | |
| Worst | 1.82E+03 | 7.91E+06 | 1.50E+04 | 1.58E+07 | 1.59E+04 | 1.56E+04 | 3.51E+04 | 3.23E+04 | 3.22E+04 | 3.53E+04 | 1.14E+04 | 3.90E+04 | 1.77E+04 | |
| Std | 1.10E+01 | 3.92E+06 | 5.01E+03 | 7.83E+06 | 5.84E+03 | 3.81E+03 | 1.51E+04 | 1.22E+04 | 1.44E+04 | 6.17E+03 | 2.42E+03 | 2.03E+04 | 6.83E+03 | |
| Median | 1.80E+03 | 1.43E+06 | 1.30E+04 | 2.85E+06 | 1.13E+04 | 1.18E+04 | 2.40E+04 | 1.98E+04 | 1.90E+04 | 2.74E+04 | 9.92E+03 | 2.10E+04 | 1.41E+04 | |
| Rank | 1 | 12 | 4 | 13 | 3 | 5 | 10 | 8 | 7 | 11 | 2 | 9 | 6 | |
| C17-F19 | Mean | 1.90E+03 | 3.70E+05 | 6.49E+03 | 6.72E+05 | 5.43E+03 | 1.20E+05 | 3.33E+04 | 1.91E+03 | 5.23E+03 | 4.57E+03 | 3.87E+04 | 2.39E+04 | 5.99E+03 |
| Best | 1.90E+03 | 2.45E+04 | 2.16E+03 | 4.38E+04 | 2.30E+03 | 1.95E+03 | 7.40E+03 | 1.91E+03 | 1.94E+03 | 2.04E+03 | 1.07E+04 | 2.59E+03 | 2.20E+03 | |
| Worst | 1.90E+03 | 7.80E+05 | 1.27E+04 | 1.44E+06 | 9.08E+03 | 2.40E+05 | 6.10E+04 | 1.92E+03 | 1.33E+04 | 1.20E+04 | 5.61E+04 | 7.35E+04 | 9.53E+03 | |
| Std | 8.10E-01 | 3.59E+05 | 5.59E+03 | 6.88E+05 | 3.76E+03 | 1.48E+05 | 2.39E+04 | 7.32E+00 | 5.90E+03 | 5.40E+03 | 2.21E+04 | 3.64E+04 | 3.29E+03 | |
| Median | 1.90E+03 | 3.38E+05 | 5.54E+03 | 6.01E+05 | 5.18E+03 | 1.19E+05 | 3.25E+04 | 1.91E+03 | 2.85E+03 | 2.12E+03 | 4.40E+04 | 9.77E+03 | 6.12E+03 | |
| Rank | 1 | 12 | 7 | 13 | 5 | 11 | 9 | 2 | 4 | 3 | 10 | 8 | 6 | |
| C17-F20 | Mean | 2.00E+03 | 2.21E+03 | 2.16E+03 | 2.21E+03 | 2.09E+03 | 2.20E+03 | 2.20E+03 | 2.13E+03 | 2.16E+03 | 2.07E+03 | 2.24E+03 | 2.16E+03 | 2.05E+03 |
| Best | 2.00E+03 | 2.16E+03 | 2.03E+03 | 2.16E+03 | 2.07E+03 | 2.10E+03 | 2.09E+03 | 2.04E+03 | 2.13E+03 | 2.06E+03 | 2.18E+03 | 2.14E+03 | 2.03E+03 | |
| Worst | 2.00E+03 | 2.27E+03 | 2.28E+03 | 2.27E+03 | 2.12E+03 | 2.31E+03 | 2.28E+03 | 2.24E+03 | 2.24E+03 | 2.08E+03 | 2.33E+03 | 2.19E+03 | 2.06E+03 | |
| Std | 0.00E+00 | 5.10E+01 | 1.23E+02 | 5.83E+01 | 2.23E+01 | 9.43E+01 | 9.42E+01 | 8.56E+01 | 5.39E+01 | 9.35E+00 | 8.04E+01 | 2.89E+01 | 1.06E+01 | |
| Median | 2.00E+03 | 2.20E+03 | 2.17E+03 | 2.21E+03 | 2.08E+03 | 2.19E+03 | 2.21E+03 | 2.13E+03 | 2.14E+03 | 2.07E+03 | 2.23E+03 | 2.16E+03 | 2.05E+03 | |
| Rank | 1 | 11 | 8 | 12 | 4 | 10 | 9 | 5 | 7 | 3 | 13 | 6 | 2 | |
| C17-F21 | Mean | 2.20E+03 | 2.29E+03 | 2.21E+03 | 2.26E+03 | 2.25E+03 | 2.32E+03 | 2.31E+03 | 2.25E+03 | 2.31E+03 | 2.30E+03 | 2.36E+03 | 2.31E+03 | 2.29E+03 |
| Best | 2.20E+03 | 2.24E+03 | 2.20E+03 | 2.22E+03 | 2.25E+03 | 2.22E+03 | 2.22E+03 | 2.20E+03 | 2.30E+03 | 2.20E+03 | 2.34E+03 | 2.31E+03 | 2.23E+03 | |
| Worst | 2.20E+03 | 2.32E+03 | 2.24E+03 | 2.29E+03 | 2.26E+03 | 2.36E+03 | 2.35E+03 | 2.30E+03 | 2.31E+03 | 2.33E+03 | 2.38E+03 | 2.32E+03 | 2.33E+03 | |
| Std | 0.00E+00 | 3.55E+01 | 1.75E+01 | 3.12E+01 | 2.21E+00 | 7.33E+01 | 6.42E+01 | 6.38E+01 | 3.93E+00 | 6.70E+01 | 1.51E+01 | 7.99E+00 | 5.03E+01 | |
| Median | 2.20E+03 | 2.30E+03 | 2.21E+03 | 2.27E+03 | 2.25E+03 | 2.35E+03 | 2.33E+03 | 2.25E+03 | 2.31E+03 | 2.32E+03 | 2.36E+03 | 2.31E+03 | 2.31E+03 | |
| Rank | 1 | 6 | 2 | 5 | 4 | 12 | 9 | 3 | 10 | 8 | 13 | 11 | 7 | |
| C17-F22 | Mean | 2.30E+03 | 2.68E+03 | 2.31E+03 | 2.89E+03 | 2.30E+03 | 2.70E+03 | 2.32E+03 | 2.29E+03 | 2.31E+03 | 2.32E+03 | 2.30E+03 | 2.31E+03 | 2.32E+03 |
| Best | 2.30E+03 | 2.57E+03 | 2.30E+03 | 2.69E+03 | 2.30E+03 | 2.44E+03 | 2.32E+03 | 2.23E+03 | 2.30E+03 | 2.31E+03 | 2.30E+03 | 2.30E+03 | 2.31E+03 | |
| Worst | 2.30E+03 | 2.79E+03 | 2.31E+03 | 3.04E+03 | 2.31E+03 | 2.89E+03 | 2.33E+03 | 2.31E+03 | 2.32E+03 | 2.33E+03 | 2.30E+03 | 2.34E+03 | 2.32E+03 | |
| Std | 1.58E-01 | 1.09E+02 | 3.25E+00 | 1.59E+02 | 3.69E+00 | 2.20E+02 | 5.72E+00 | 3.91E+01 | 1.01E+01 | 8.57E+00 | 1.72E-02 | 2.24E+01 | 3.28E+00 | |
| Median | 2.30E+03 | 2.68E+03 | 2.31E+03 | 2.92E+03 | 2.30E+03 | 2.72E+03 | 2.32E+03 | 2.30E+03 | 2.31E+03 | 2.32E+03 | 2.30E+03 | 2.30E+03 | 2.32E+03 | |
| Rank | 3 | 11 | 6 | 13 | 4 | 12 | 10 | 1 | 5 | 9 | 2 | 7 | 8 | |
| C17-F23 | Mean | 2.60E+03 | 2.69E+03 | 2.64E+03 | 2.70E+03 | 2.61E+03 | 2.72E+03 | 2.65E+03 | 2.62E+03 | 2.61E+03 | 2.64E+03 | 2.78E+03 | 2.64E+03 | 2.65E+03 |
| Best | 2.60E+03 | 2.65E+03 | 2.63E+03 | 2.67E+03 | 2.61E+03 | 2.63E+03 | 2.63E+03 | 2.61E+03 | 2.61E+03 | 2.63E+03 | 2.72E+03 | 2.64E+03 | 2.63E+03 | |
| Worst | 2.60E+03 | 2.70E+03 | 2.66E+03 | 2.74E+03 | 2.62E+03 | 2.76E+03 | 2.67E+03 | 2.63E+03 | 2.62E+03 | 2.65E+03 | 2.92E+03 | 2.65E+03 | 2.66E+03 | |
| Std | 1.44E+00 | 2.69E+01 | 1.44E+01 | 3.39E+01 | 2.50E+00 | 6.29E+01 | 2.15E+01 | 1.12E+01 | 6.77E+00 | 9.38E+00 | 9.97E+01 | 8.99E+00 | 1.41E+01 | |
| Median | 2.60E+03 | 2.69E+03 | 2.64E+03 | 2.69E+03 | 2.61E+03 | 2.74E+03 | 2.65E+03 | 2.62E+03 | 2.61E+03 | 2.64E+03 | 2.75E+03 | 2.64E+03 | 2.66E+03 | |
| Rank | 1 | 10 | 5 | 11 | 3 | 12 | 8 | 4 | 2 | 6 | 13 | 7 | 9 | |
| C17-F24 | Mean | 2.63E+03 | 2.78E+03 | 2.76E+03 | 2.84E+03 | 2.63E+03 | 2.67E+03 | 2.76E+03 | 2.68E+03 | 2.74E+03 | 2.75E+03 | 2.74E+03 | 2.76E+03 | 2.72E+03 |
| Best | 2.52E+03 | 2.73E+03 | 2.73E+03 | 2.82E+03 | 2.61E+03 | 2.53E+03 | 2.73E+03 | 2.50E+03 | 2.72E+03 | 2.73E+03 | 2.50E+03 | 2.75E+03 | 2.55E+03 | |
| Worst | 2.73E+03 | 2.85E+03 | 2.78E+03 | 2.90E+03 | 2.64E+03 | 2.81E+03 | 2.79E+03 | 2.76E+03 | 2.76E+03 | 2.77E+03 | 2.89E+03 | 2.78E+03 | 2.81E+03 | |
| Std | 1.27E+02 | 5.74E+01 | 2.78E+01 | 4.60E+01 | 1.44E+01 | 1.60E+02 | 2.89E+01 | 1.31E+02 | 2.12E+01 | 1.64E+01 | 1.81E+02 | 1.77E+01 | 1.28E+02 | |
| Median | 2.64E+03 | 2.77E+03 | 2.77E+03 | 2.82E+03 | 2.63E+03 | 2.66E+03 | 2.75E+03 | 2.73E+03 | 2.75E+03 | 2.75E+03 | 2.79E+03 | 2.75E+03 | 2.76E+03 | |
| Rank | 1 | 12 | 11 | 13 | 2 | 3 | 9 | 4 | 7 | 8 | 6 | 10 | 5 | |
| C17-F25 | Mean | 2.93E+03 | 3.13E+03 | 2.91E+03 | 3.26E+03 | 2.92E+03 | 3.13E+03 | 2.91E+03 | 2.92E+03 | 2.94E+03 | 2.93E+03 | 2.92E+03 | 2.92E+03 | 2.95E+03 |
| Best | 2.90E+03 | 3.06E+03 | 2.90E+03 | 3.20E+03 | 2.92E+03 | 2.91E+03 | 2.77E+03 | 2.90E+03 | 2.92E+03 | 2.92E+03 | 2.90E+03 | 2.90E+03 | 2.94E+03 | |
| Worst | 2.95E+03 | 3.28E+03 | 2.95E+03 | 3.33E+03 | 2.92E+03 | 3.63E+03 | 2.96E+03 | 2.94E+03 | 2.95E+03 | 2.95E+03 | 2.94E+03 | 2.95E+03 | 2.96E+03 | |
| Std | 2.51E+01 | 1.11E+02 | 2.52E+01 | 6.14E+01 | 4.63E+00 | 3.67E+02 | 9.89E+01 | 2.47E+01 | 1.18E+01 | 2.15E+01 | 2.30E+01 | 2.80E+01 | 1.19E+01 | |
| Median | 2.94E+03 | 3.09E+03 | 2.90E+03 | 3.26E+03 | 2.92E+03 | 2.98E+03 | 2.95E+03 | 2.92E+03 | 2.94E+03 | 2.93E+03 | 2.92E+03 | 2.92E+03 | 2.95E+03 | |
| Rank | 7 | 12 | 2 | 13 | 3 | 11 | 1 | 4 | 9 | 8 | 5 | 6 | 10 | |
| C17-F26 | Mean | 2.90E+03 | 3.53E+03 | 2.98E+03 | 3.72E+03 | 3.01E+03 | 3.59E+03 | 3.17E+03 | 2.90E+03 | 3.25E+03 | 3.19E+03 | 3.82E+03 | 2.90E+03 | 2.90E+03 |
| Best | 2.90E+03 | 3.22E+03 | 2.81E+03 | 3.41E+03 | 2.89E+03 | 3.13E+03 | 2.93E+03 | 2.90E+03 | 2.97E+03 | 2.91E+03 | 2.81E+03 | 2.81E+03 | 2.72E+03 | |
| Worst | 2.90E+03 | 3.74E+03 | 3.15E+03 | 4.04E+03 | 3.28E+03 | 4.21E+03 | 3.56E+03 | 2.90E+03 | 3.86E+03 | 3.83E+03 | 4.29E+03 | 3.00E+03 | 3.10E+03 | |
| Std | 4.04E-13 | 2.51E+02 | 2.08E+02 | 2.97E+02 | 1.97E+02 | 5.74E+02 | 3.04E+02 | 3.73E-02 | 4.50E+02 | 4.68E+02 | 7.45E+02 | 8.62E+01 | 2.12E+02 | |
| Median | 2.90E+03 | 3.58E+03 | 2.97E+03 | 3.71E+03 | 2.93E+03 | 3.51E+03 | 3.10E+03 | 2.90E+03 | 3.08E+03 | 3.01E+03 | 4.09E+03 | 2.90E+03 | 2.89E+03 | |
| Rank | 2 | 10 | 5 | 12 | 6 | 11 | 7 | 3 | 9 | 8 | 13 | 4 | 1 | |
| C17-F27 | Mean | 3.09E+03 | 3.20E+03 | 3.12E+03 | 3.23E+03 | 3.10E+03 | 3.18E+03 | 3.19E+03 | 3.09E+03 | 3.11E+03 | 3.11E+03 | 3.22E+03 | 3.13E+03 | 3.16E+03 |
| Best | 3.09E+03 | 3.16E+03 | 3.10E+03 | 3.13E+03 | 3.09E+03 | 3.10E+03 | 3.18E+03 | 3.09E+03 | 3.09E+03 | 3.10E+03 | 3.21E+03 | 3.10E+03 | 3.12E+03 | |
| Worst | 3.09E+03 | 3.28E+03 | 3.18E+03 | 3.41E+03 | 3.13E+03 | 3.22E+03 | 3.20E+03 | 3.09E+03 | 3.17E+03 | 3.17E+03 | 3.24E+03 | 3.18E+03 | 3.21E+03 | |
| Std | 2.86E-13 | 5.86E+01 | 4.25E+01 | 1.37E+02 | 2.04E+01 | 5.64E+01 | 1.20E+01 | 2.58E+00 | 4.22E+01 | 3.91E+01 | 1.56E+01 | 3.78E+01 | 4.39E+01 | |
| Median | 3.09E+03 | 3.19E+03 | 3.10E+03 | 3.18E+03 | 3.10E+03 | 3.19E+03 | 3.19E+03 | 3.09E+03 | 3.10E+03 | 3.10E+03 | 3.22E+03 | 3.13E+03 | 3.15E+03 | |
| Rank | 1 | 11 | 6 | 13 | 3 | 9 | 10 | 2 | 5 | 4 | 12 | 7 | 8 | |
| C17-F28 | Mean | 3.10E+03 | 3.57E+03 | 3.23E+03 | 3.75E+03 | 3.21E+03 | 3.57E+03 | 3.28E+03 | 3.23E+03 | 3.33E+03 | 3.32E+03 | 3.44E+03 | 3.30E+03 | 3.24E+03 |
| Best | 3.10E+03 | 3.53E+03 | 3.10E+03 | 3.67E+03 | 3.16E+03 | 3.40E+03 | 3.15E+03 | 3.10E+03 | 3.19E+03 | 3.21E+03 | 3.42E+03 | 3.17E+03 | 3.14E+03 | |
| Worst | 3.10E+03 | 3.60E+03 | 3.38E+03 | 3.81E+03 | 3.24E+03 | 3.77E+03 | 3.38E+03 | 3.38E+03 | 3.40E+03 | 3.38E+03 | 3.45E+03 | 3.38E+03 | 3.50E+03 | |
| Std | 0.00E+00 | 3.59E+01 | 1.34E+02 | 6.85E+01 | 3.69E+01 | 2.07E+02 | 1.27E+02 | 1.67E+02 | 1.05E+02 | 8.78E+01 | 1.53E+01 | 1.01E+02 | 1.86E+02 | |
| Median | 3.10E+03 | 3.58E+03 | 3.22E+03 | 3.76E+03 | 3.23E+03 | 3.55E+03 | 3.29E+03 | 3.23E+03 | 3.37E+03 | 3.34E+03 | 3.43E+03 | 3.32E+03 | 3.16E+03 | |
| Rank | 1 | 12 | 3 | 13 | 2 | 11 | 6 | 4 | 9 | 8 | 10 | 7 | 5 | |
| C17-F29 | Mean | 3.13E+03 | 3.33E+03 | 3.28E+03 | 3.37E+03 | 3.20E+03 | 3.23E+03 | 3.34E+03 | 3.20E+03 | 3.26E+03 | 3.21E+03 | 3.34E+03 | 3.26E+03 | 3.23E+03 |
| Best | 3.13E+03 | 3.31E+03 | 3.21E+03 | 3.30E+03 | 3.16E+03 | 3.16E+03 | 3.23E+03 | 3.14E+03 | 3.19E+03 | 3.16E+03 | 3.23E+03 | 3.17E+03 | 3.19E+03 | |
| Worst | 3.13E+03 | 3.35E+03 | 3.36E+03 | 3.43E+03 | 3.24E+03 | 3.30E+03 | 3.48E+03 | 3.28E+03 | 3.37E+03 | 3.23E+03 | 3.61E+03 | 3.34E+03 | 3.28E+03 | |
| Std | 2.70E+00 | 1.62E+01 | 8.33E+01 | 7.45E+01 | 3.61E+01 | 5.98E+01 | 1.14E+02 | 6.35E+01 | 9.40E+01 | 3.42E+01 | 2.02E+02 | 8.57E+01 | 4.29E+01 | |
| Median | 3.13E+03 | 3.33E+03 | 3.27E+03 | 3.37E+03 | 3.20E+03 | 3.23E+03 | 3.32E+03 | 3.19E+03 | 3.24E+03 | 3.22E+03 | 3.25E+03 | 3.27E+03 | 3.23E+03 | |
| Rank | 1 | 10 | 9 | 13 | 3 | 5 | 12 | 2 | 7 | 4 | 11 | 8 | 6 | |
| C17-F30 | Mean | 3.42E+03 | 2.15E+06 | 2.81E+05 | 3.51E+06 | 3.96E+05 | 5.86E+05 | 9.47E+05 | 2.89E+05 | 8.93E+05 | 5.80E+04 | 7.47E+05 | 3.70E+05 | 1.46E+06 |
| Best | 3.39E+03 | 1.59E+06 | 1.00E+05 | 7.90E+05 | 1.54E+04 | 1.07E+05 | 4.42E+03 | 7.25E+03 | 3.22E+04 | 2.81E+04 | 5.74E+05 | 6.26E+03 | 5.02E+05 | |
| Worst | 3.44E+03 | 3.08E+06 | 7.33E+05 | 5.54E+06 | 5.84E+05 | 1.24E+06 | 3.57E+06 | 1.10E+06 | 1.29E+06 | 9.72E+04 | 9.54E+05 | 7.33E+05 | 3.32E+06 | |
| Std | 3.02E+01 | 7.02E+05 | 3.28E+05 | 2.16E+06 | 2.81E+05 | 5.24E+05 | 1.91E+06 | 5.90E+05 | 6.44E+05 | 3.67E+04 | 1.72E+05 | 4.56E+05 | 1.45E+06 | |
| Median | 3.42E+03 | 1.98E+06 | 1.46E+05 | 3.85E+06 | 4.92E+05 | 4.99E+05 | 1.04E+05 | 2.37E+04 | 1.12E+06 | 5.33E+04 | 7.30E+05 | 3.70E+05 | 1.00E+06 | |
| Rank | 1 | 12 | 3 | 13 | 6 | 7 | 10 | 4 | 9 | 2 | 8 | 5 | 11 | |
| Sum rank | 38 | 318 | 177 | 350 | 106 | 286 | 239 | 116 | 188 | 191 | 238 | 183 | 197 | |
| Mean rank | 1.31E+00 | 1.10E+01 | 6.10E+00 | 1.21E+01 | 3.66E+00 | 9.86E+00 | 8.24E+00 | 4.00E+00 | 6.48E+00 | 6.59E+00 | 8.21E+00 | 6.31E+00 | 6.79E+00 | |
| Total rank | 1 | 12 | 4 | 13 | 2 | 11 | 10 | 3 | 6 | 7 | 9 | 5 | 8 | |
| LOA | WSO | AVOA | RSA | MPA | TSA | WOA | MVO | GWO | TLBO | GSA | PSO | GA | ||
|---|---|---|---|---|---|---|---|---|---|---|---|---|---|---|
| C17-F1 | Mean | 1.00E+02 | 2.49E+10 | 2.96E+03 | 3.90E+10 | 2.54E+04 | 1.70E+10 | 1.61E+09 | 5.10E+05 | 1.58E+09 | 5.86E+09 | 9.97E+06 | 1.33E+09 | 1.69E+08 |
| Best | 1.00E+02 | 2.15E+10 | 2.71E+02 | 3.48E+10 | 1.17E+04 | 1.07E+10 | 1.27E+09 | 3.97E+05 | 2.61E+08 | 3.70E+09 | 2.41E+03 | 3.56E+03 | 1.26E+08 | |
| Worst | 1.00E+02 | 3.12E+10 | 7.27E+03 | 4.80E+10 | 3.87E+04 | 2.32E+10 | 2.00E+09 | 6.49E+05 | 4.77E+09 | 8.73E+09 | 3.48E+07 | 5.33E+09 | 2.33E+08 | |
| Std | 8.93E-15 | 4.94E+09 | 3.57E+03 | 6.62E+09 | 1.42E+04 | 6.36E+09 | 4.07E+08 | 1.36E+05 | 2.32E+09 | 2.29E+09 | 1.82E+07 | 2.90E+09 | 5.04E+07 | |
| Median | 1.00E+02 | 2.35E+10 | 2.15E+03 | 3.67E+10 | 2.57E+04 | 1.71E+10 | 1.59E+09 | 4.98E+05 | 6.53E+08 | 5.50E+09 | 2.54E+06 | 3.03E+06 | 1.59E+08 | |
| Rank | 1 | 12 | 2 | 13 | 3 | 11 | 9 | 4 | 8 | 10 | 5 | 7 | 6 | |
| C17-F3 | Mean | 3.00E+02 | 9.24E+04 | 4.24E+04 | 6.99E+04 | 1.06E+03 | 4.48E+04 | 2.20E+05 | 1.70E+03 | 3.96E+04 | 3.29E+04 | 9.10E+04 | 3.03E+04 | 1.59E+05 |
| Best | 3.00E+02 | 8.44E+04 | 2.31E+04 | 5.41E+04 | 8.23E+02 | 4.25E+04 | 1.82E+05 | 1.34E+03 | 3.46E+04 | 2.80E+04 | 7.84E+04 | 2.16E+04 | 1.20E+05 | |
| Worst | 3.00E+02 | 1.01E+05 | 5.49E+04 | 7.59E+04 | 1.30E+03 | 4.72E+04 | 2.53E+05 | 2.33E+03 | 4.42E+04 | 3.57E+04 | 1.00E+05 | 3.89E+04 | 2.21E+05 | |
| Std | 0.00E+00 | 9.17E+03 | 1.49E+04 | 1.15E+04 | 2.35E+02 | 2.60E+03 | 3.20E+04 | 4.78E+02 | 4.29E+03 | 3.74E+03 | 1.07E+04 | 8.57E+03 | 5.19E+04 | |
| Median | 3.00E+02 | 9.19E+04 | 4.59E+04 | 7.48E+04 | 1.06E+03 | 4.48E+04 | 2.23E+05 | 1.57E+03 | 3.98E+04 | 3.40E+04 | 9.27E+04 | 3.03E+04 | 1.47E+05 | |
| Rank | 1 | 11 | 7 | 9 | 2 | 8 | 13 | 3 | 6 | 5 | 10 | 4 | 12 | |
| C17-F4 | Mean | 4.59E+02 | 6.14E+03 | 5.12E+02 | 9.35E+03 | 4.91E+02 | 4.34E+03 | 8.37E+02 | 4.95E+02 | 5.66E+02 | 8.85E+02 | 5.88E+02 | 6.16E+02 | 7.94E+02 |
| Best | 4.59E+02 | 3.46E+03 | 4.90E+02 | 6.00E+03 | 4.81E+02 | 1.02E+03 | 7.75E+02 | 4.87E+02 | 5.13E+02 | 6.89E+02 | 5.69E+02 | 5.13E+02 | 7.45E+02 | |
| Worst | 4.59E+02 | 8.31E+03 | 5.29E+02 | 1.31E+04 | 5.12E+02 | 7.20E+03 | 9.14E+02 | 5.08E+02 | 5.96E+02 | 1.27E+03 | 6.10E+02 | 7.95E+02 | 8.17E+02 | |
| Std | 0.00E+00 | 2.19E+03 | 1.76E+01 | 3.19E+03 | 1.53E+01 | 2.84E+03 | 6.90E+01 | 9.75E+00 | 3.95E+01 | 2.81E+02 | 1.97E+01 | 1.41E+02 | 3.68E+01 | |
| Median | 4.59E+02 | 6.40E+03 | 5.14E+02 | 9.17E+03 | 4.86E+02 | 4.57E+03 | 8.29E+02 | 4.92E+02 | 5.78E+02 | 7.94E+02 | 5.86E+02 | 5.78E+02 | 8.08E+02 | |
| Rank | 1 | 12 | 4 | 13 | 2 | 11 | 9 | 3 | 5 | 10 | 6 | 7 | 8 | |
| C17-F5 | Mean | 5.02E+02 | 8.28E+02 | 7.15E+02 | 8.66E+02 | 5.79E+02 | 7.80E+02 | 8.08E+02 | 6.14E+02 | 6.16E+02 | 7.57E+02 | 7.12E+02 | 6.26E+02 | 6.93E+02 |
| Best | 5.01E+02 | 8.09E+02 | 6.80E+02 | 8.41E+02 | 5.58E+02 | 7.53E+02 | 7.80E+02 | 6.00E+02 | 5.78E+02 | 7.36E+02 | 6.94E+02 | 6.03E+02 | 6.46E+02 | |
| Worst | 5.04E+02 | 8.49E+02 | 7.70E+02 | 8.98E+02 | 6.01E+02 | 8.12E+02 | 8.21E+02 | 6.47E+02 | 6.44E+02 | 7.82E+02 | 7.37E+02 | 6.73E+02 | 7.53E+02 | |
| Std | 1.40E+00 | 1.78E+01 | 4.48E+01 | 2.98E+01 | 1.98E+01 | 3.04E+01 | 2.03E+01 | 2.44E+01 | 3.55E+01 | 2.45E+01 | 2.11E+01 | 3.48E+01 | 4.81E+01 | |
| Median | 5.02E+02 | 8.28E+02 | 7.04E+02 | 8.62E+02 | 5.79E+02 | 7.77E+02 | 8.15E+02 | 6.04E+02 | 6.22E+02 | 7.56E+02 | 7.09E+02 | 6.14E+02 | 6.86E+02 | |
| Rank | 1 | 12 | 8 | 13 | 2 | 10 | 11 | 3 | 4 | 9 | 7 | 5 | 6 | |
| C17-F6 | Mean | 6.00E+02 | 6.76E+02 | 6.44E+02 | 6.79E+02 | 6.03E+02 | 6.73E+02 | 6.72E+02 | 6.23E+02 | 6.11E+02 | 6.41E+02 | 6.54E+02 | 6.44E+02 | 6.29E+02 |
| Best | 6.00E+02 | 6.74E+02 | 6.42E+02 | 6.74E+02 | 6.02E+02 | 6.58E+02 | 6.62E+02 | 6.12E+02 | 6.04E+02 | 6.34E+02 | 6.53E+02 | 6.33E+02 | 6.22E+02 | |
| Worst | 6.00E+02 | 6.77E+02 | 6.47E+02 | 6.85E+02 | 6.04E+02 | 6.82E+02 | 6.77E+02 | 6.35E+02 | 6.18E+02 | 6.52E+02 | 6.54E+02 | 6.55E+02 | 6.33E+02 | |
| Std | 7.14E-14 | 1.12E+00 | 2.27E+00 | 5.71E+00 | 1.20E+00 | 1.18E+01 | 7.69E+00 | 1.19E+01 | 6.07E+00 | 8.49E+00 | 7.90E-01 | 1.05E+01 | 5.23E+00 | |
| Median | 6.00E+02 | 6.76E+02 | 6.44E+02 | 6.78E+02 | 6.03E+02 | 6.76E+02 | 6.75E+02 | 6.23E+02 | 6.11E+02 | 6.39E+02 | 6.53E+02 | 6.45E+02 | 6.30E+02 | |
| Rank | 1 | 12 | 7 | 13 | 2 | 11 | 10 | 4 | 3 | 6 | 9 | 8 | 5 | |
| C17-F7 | Mean | 7.33E+02 | 1.27E+03 | 1.13E+03 | 1.31E+03 | 8.41E+02 | 1.20E+03 | 1.28E+03 | 8.48E+02 | 8.78E+02 | 1.06E+03 | 9.59E+02 | 8.71E+02 | 9.56E+02 |
| Best | 7.33E+02 | 1.22E+03 | 1.02E+03 | 1.30E+03 | 8.16E+02 | 1.06E+03 | 1.24E+03 | 7.98E+02 | 8.12E+02 | 9.75E+02 | 9.15E+02 | 8.51E+02 | 9.18E+02 | |
| Worst | 7.35E+02 | 1.30E+03 | 1.28E+03 | 1.33E+03 | 8.93E+02 | 1.34E+03 | 1.35E+03 | 9.19E+02 | 9.17E+02 | 1.13E+03 | 1.03E+03 | 8.97E+02 | 1.01E+03 | |
| Std | 8.21E-01 | 3.78E+01 | 1.27E+02 | 1.70E+01 | 3.79E+01 | 1.33E+02 | 5.97E+01 | 5.64E+01 | 5.01E+01 | 8.91E+01 | 5.34E+01 | 2.18E+01 | 4.09E+01 | |
| Median | 7.33E+02 | 1.27E+03 | 1.10E+03 | 1.30E+03 | 8.29E+02 | 1.20E+03 | 1.26E+03 | 8.39E+02 | 8.93E+02 | 1.06E+03 | 9.48E+02 | 8.69E+02 | 9.49E+02 | |
| Rank | 1 | 11 | 9 | 13 | 2 | 10 | 12 | 3 | 5 | 8 | 7 | 4 | 6 | |
| C17-F8 | Mean | 8.03E+02 | 1.07E+03 | 9.43E+02 | 1.11E+03 | 8.87E+02 | 1.05E+03 | 1.02E+03 | 8.89E+02 | 8.88E+02 | 1.01E+03 | 9.54E+02 | 9.18E+02 | 9.77E+02 |
| Best | 8.01E+02 | 1.06E+03 | 9.14E+02 | 1.09E+03 | 8.80E+02 | 1.00E+03 | 9.65E+02 | 8.60E+02 | 8.81E+02 | 9.94E+02 | 9.31E+02 | 9.07E+02 | 9.62E+02 | |
| Worst | 8.04E+02 | 1.09E+03 | 9.63E+02 | 1.13E+03 | 8.94E+02 | 1.15E+03 | 1.06E+03 | 9.18E+02 | 8.96E+02 | 1.04E+03 | 9.79E+02 | 9.33E+02 | 9.97E+02 | |
| Std | 1.55E+00 | 1.69E+01 | 2.44E+01 | 2.51E+01 | 6.38E+00 | 7.25E+01 | 4.35E+01 | 2.74E+01 | 6.77E+00 | 2.36E+01 | 2.34E+01 | 1.28E+01 | 1.92E+01 | |
| Median | 8.04E+02 | 1.07E+03 | 9.47E+02 | 1.10E+03 | 8.86E+02 | 1.02E+03 | 1.03E+03 | 8.90E+02 | 8.87E+02 | 1.01E+03 | 9.53E+02 | 9.16E+02 | 9.75E+02 | |
| Rank | 1 | 12 | 6 | 13 | 2 | 11 | 10 | 4 | 3 | 9 | 7 | 5 | 8 | |
| C17-F9 | Mean | 9.00E+02 | 1.05E+04 | 4.63E+03 | 1.01E+04 | 1.08E+03 | 1.10E+04 | 1.05E+04 | 5.22E+03 | 2.02E+03 | 5.53E+03 | 3.92E+03 | 3.41E+03 | 1.27E+03 |
| Best | 9.00E+02 | 8.94E+03 | 3.43E+03 | 9.89E+03 | 9.28E+02 | 6.69E+03 | 8.05E+03 | 4.17E+03 | 1.51E+03 | 4.00E+03 | 3.41E+03 | 2.06E+03 | 1.07E+03 | |
| Worst | 9.00E+02 | 1.19E+04 | 5.26E+03 | 1.03E+04 | 1.22E+03 | 1.48E+04 | 1.25E+04 | 7.97E+03 | 2.77E+03 | 8.32E+03 | 4.71E+03 | 5.18E+03 | 1.47E+03 | |
| Std | 7.14E-14 | 1.33E+03 | 8.94E+02 | 1.84E+02 | 1.47E+02 | 3.64E+03 | 2.45E+03 | 1.99E+03 | 6.65E+02 | 2.13E+03 | 6.22E+02 | 1.44E+03 | 2.05E+02 | |
| Median | 9.00E+02 | 1.05E+04 | 4.90E+03 | 1.02E+04 | 1.08E+03 | 1.12E+04 | 1.07E+04 | 4.38E+03 | 1.90E+03 | 4.89E+03 | 3.78E+03 | 3.21E+03 | 1.27E+03 | |
| Rank | 1 | 11 | 7 | 10 | 2 | 13 | 12 | 8 | 4 | 9 | 6 | 5 | 3 | |
| C17-F10 | Mean | 2.29E+03 | 6.98E+03 | 5.30E+03 | 7.63E+03 | 3.91E+03 | 6.36E+03 | 6.29E+03 | 4.54E+03 | 4.67E+03 | 7.65E+03 | 4.73E+03 | 4.91E+03 | 5.96E+03 |
| Best | 1.85E+03 | 6.41E+03 | 4.61E+03 | 6.80E+03 | 3.57E+03 | 5.01E+03 | 5.45E+03 | 4.27E+03 | 4.18E+03 | 7.31E+03 | 4.48E+03 | 4.68E+03 | 5.50E+03 | |
| Worst | 2.53E+03 | 7.29E+03 | 5.76E+03 | 8.24E+03 | 4.32E+03 | 6.93E+03 | 7.54E+03 | 4.91E+03 | 4.96E+03 | 7.83E+03 | 5.12E+03 | 5.36E+03 | 6.48E+03 | |
| Std | 3.27E+02 | 4.27E+02 | 6.04E+02 | 6.61E+02 | 3.74E+02 | 9.84E+02 | 1.01E+03 | 3.48E+02 | 3.70E+02 | 2.54E+02 | 3.31E+02 | 3.33E+02 | 5.02E+02 | |
| Median | 2.40E+03 | 7.12E+03 | 5.42E+03 | 7.75E+03 | 3.87E+03 | 6.74E+03 | 6.09E+03 | 4.48E+03 | 4.76E+03 | 7.74E+03 | 4.65E+03 | 4.80E+03 | 5.93E+03 | |
| Rank | 1 | 11 | 7 | 12 | 2 | 10 | 9 | 3 | 4 | 13 | 5 | 6 | 8 | |
| C17-F11 | Mean | 1.10E+03 | 7.19E+03 | 1.25E+03 | 8.43E+03 | 1.17E+03 | 4.94E+03 | 7.49E+03 | 1.30E+03 | 2.14E+03 | 1.95E+03 | 2.81E+03 | 1.24E+03 | 8.78E+03 |
| Best | 1.10E+03 | 5.93E+03 | 1.19E+03 | 6.87E+03 | 1.12E+03 | 3.52E+03 | 5.40E+03 | 1.26E+03 | 1.38E+03 | 1.57E+03 | 2.19E+03 | 1.21E+03 | 3.25E+03 | |
| Worst | 1.11E+03 | 8.23E+03 | 1.31E+03 | 9.48E+03 | 1.20E+03 | 7.43E+03 | 1.11E+04 | 1.34E+03 | 4.18E+03 | 2.65E+03 | 3.45E+03 | 1.27E+03 | 1.64E+04 | |
| Std | 2.34E+00 | 1.10E+03 | 5.67E+01 | 1.30E+03 | 3.64E+01 | 1.91E+03 | 2.69E+03 | 4.98E+01 | 1.48E+03 | 5.20E+02 | 6.48E+02 | 2.89E+01 | 6.15E+03 | |
| Median | 1.10E+03 | 7.31E+03 | 1.25E+03 | 8.68E+03 | 1.17E+03 | 4.40E+03 | 6.75E+03 | 1.30E+03 | 1.51E+03 | 1.78E+03 | 2.80E+03 | 1.24E+03 | 7.71E+03 | |
| Rank | 1 | 10 | 4 | 12 | 2 | 9 | 11 | 5 | 7 | 6 | 8 | 3 | 13 | |
| C17-F12 | Mean | 1.74E+03 | 6.69E+09 | 1.99E+07 | 1.04E+10 | 2.07E+04 | 4.83E+09 | 2.36E+08 | 1.07E+07 | 5.00E+07 | 2.88E+08 | 1.90E+08 | 2.44E+06 | 7.32E+06 |
| Best | 1.72E+03 | 5.53E+09 | 2.80E+06 | 9.26E+09 | 1.48E+04 | 2.49E+09 | 6.03E+07 | 4.97E+06 | 4.86E+06 | 1.84E+08 | 3.67E+07 | 2.64E+05 | 5.07E+06 | |
| Worst | 1.76E+03 | 8.50E+09 | 4.85E+07 | 1.31E+10 | 2.64E+04 | 6.31E+09 | 4.71E+08 | 2.59E+07 | 1.05E+08 | 5.00E+08 | 6.06E+08 | 4.85E+06 | 9.58E+06 | |
| Std | 2.19E+01 | 1.38E+09 | 2.19E+07 | 1.97E+09 | 5.37E+03 | 1.80E+09 | 2.06E+08 | 1.10E+07 | 4.75E+07 | 1.56E+08 | 3.02E+08 | 2.15E+06 | 2.23E+06 | |
| Median | 1.75E+03 | 6.37E+09 | 1.41E+07 | 9.61E+09 | 2.08E+04 | 5.26E+09 | 2.06E+08 | 5.97E+06 | 4.52E+07 | 2.34E+08 | 5.81E+07 | 2.32E+06 | 7.32E+06 | |
| Rank | 1 | 12 | 6 | 13 | 2 | 11 | 9 | 5 | 7 | 10 | 8 | 3 | 4 | |
| C17-F13 | Mean | 1.32E+03 | 5.44E+09 | 1.43E+05 | 1.00E+10 | 1.86E+03 | 1.39E+09 | 8.61E+05 | 8.67E+04 | 7.19E+05 | 8.40E+07 | 3.48E+04 | 3.09E+04 | 1.13E+07 |
| Best | 1.31E+03 | 2.65E+09 | 7.89E+04 | 5.27E+09 | 1.60E+03 | 1.88E+07 | 4.06E+05 | 3.47E+04 | 8.69E+04 | 5.83E+07 | 2.82E+04 | 1.28E+04 | 3.08E+06 | |
| Worst | 1.32E+03 | 7.62E+09 | 2.25E+05 | 1.23E+10 | 2.37E+03 | 4.84E+09 | 1.27E+06 | 1.74E+05 | 2.23E+06 | 1.24E+08 | 5.09E+04 | 6.97E+04 | 2.44E+07 | |
| Std | 2.11E+00 | 2.24E+09 | 6.62E+04 | 3.51E+09 | 3.81E+02 | 2.52E+09 | 4.92E+05 | 7.12E+04 | 1.11E+06 | 3.08E+07 | 1.18E+04 | 2.85E+04 | 9.95E+06 | |
| Median | 1.31E+03 | 5.75E+09 | 1.33E+05 | 1.13E+10 | 1.74E+03 | 3.59E+08 | 8.83E+05 | 6.90E+04 | 2.79E+05 | 7.69E+07 | 3.00E+04 | 2.05E+04 | 8.95E+06 | |
| Rank | 1 | 12 | 6 | 13 | 2 | 11 | 8 | 5 | 7 | 10 | 4 | 3 | 9 | |
| C17-F14 | Mean | 1.42E+03 | 1.80E+06 | 2.58E+05 | 2.09E+06 | 1.44E+03 | 1.12E+06 | 2.11E+06 | 1.94E+04 | 5.07E+05 | 1.33E+05 | 1.09E+06 | 1.79E+04 | 1.91E+06 |
| Best | 1.42E+03 | 1.11E+06 | 3.61E+04 | 1.05E+06 | 1.44E+03 | 7.99E+05 | 3.42E+04 | 4.82E+03 | 3.27E+04 | 7.74E+04 | 7.06E+05 | 3.09E+03 | 3.16E+05 | |
| Worst | 1.42E+03 | 2.28E+06 | 5.97E+05 | 3.11E+06 | 1.44E+03 | 1.58E+06 | 6.46E+06 | 3.30E+04 | 1.09E+06 | 1.53E+05 | 1.64E+06 | 3.27E+04 | 3.22E+06 | |
| Std | 8.80E-01 | 5.96E+05 | 2.69E+05 | 1.08E+06 | 3.87E+00 | 3.89E+05 | 3.21E+06 | 1.32E+04 | 5.82E+05 | 4.04E+04 | 4.80E+05 | 1.41E+04 | 1.46E+06 | |
| Median | 1.42E+03 | 1.91E+06 | 1.99E+05 | 2.10E+06 | 1.44E+03 | 1.05E+06 | 9.82E+05 | 1.99E+04 | 4.54E+05 | 1.51E+05 | 1.00E+06 | 1.80E+04 | 2.05E+06 | |
| Rank | 1 | 10 | 6 | 12 | 2 | 9 | 13 | 4 | 7 | 5 | 8 | 3 | 11 | |
| C17-F15 | Mean | 1.50E+03 | 2.89E+08 | 3.57E+04 | 5.68E+08 | 1.61E+03 | 1.37E+07 | 4.79E+06 | 4.07E+04 | 1.50E+07 | 4.88E+06 | 1.53E+04 | 4.62E+03 | 9.08E+05 |
| Best | 1.50E+03 | 2.50E+08 | 1.05E+04 | 4.90E+08 | 1.58E+03 | 5.38E+06 | 2.21E+05 | 2.36E+04 | 9.35E+04 | 1.11E+06 | 1.09E+04 | 1.89E+03 | 1.67E+05 | |
| Worst | 1.50E+03 | 3.20E+08 | 5.79E+04 | 6.27E+08 | 1.63E+03 | 3.18E+07 | 1.56E+07 | 6.73E+04 | 5.63E+07 | 9.18E+06 | 2.08E+04 | 8.52E+03 | 2.04E+06 | |
| Std | 9.31E-01 | 3.78E+07 | 2.18E+04 | 7.31E+07 | 2.61E+01 | 1.33E+07 | 7.92E+06 | 2.06E+04 | 3.00E+07 | 3.60E+06 | 4.49E+03 | 3.19E+03 | 9.30E+05 | |
| Median | 1.50E+03 | 2.93E+08 | 3.72E+04 | 5.78E+08 | 1.62E+03 | 8.74E+06 | 1.69E+06 | 3.60E+04 | 1.88E+06 | 4.61E+06 | 1.48E+04 | 4.03E+03 | 7.16E+05 | |
| Rank | 1 | 12 | 5 | 13 | 2 | 10 | 8 | 6 | 11 | 9 | 4 | 3 | 7 | |
| C17-F16 | Mean | 1.66E+03 | 4.19E+03 | 2.94E+03 | 4.81E+03 | 2.01E+03 | 3.19E+03 | 4.12E+03 | 2.54E+03 | 2.50E+03 | 3.38E+03 | 3.57E+03 | 2.87E+03 | 2.89E+03 |
| Best | 1.61E+03 | 3.87E+03 | 2.51E+03 | 4.07E+03 | 1.73E+03 | 2.79E+03 | 3.40E+03 | 2.32E+03 | 2.36E+03 | 3.19E+03 | 3.39E+03 | 2.64E+03 | 2.56E+03 | |
| Worst | 1.74E+03 | 4.45E+03 | 3.43E+03 | 5.48E+03 | 2.25E+03 | 3.44E+03 | 4.93E+03 | 2.79E+03 | 2.62E+03 | 3.60E+03 | 3.73E+03 | 3.13E+03 | 3.22E+03 | |
| Std | 6.74E+01 | 2.89E+02 | 4.13E+02 | 8.20E+02 | 2.56E+02 | 3.12E+02 | 6.86E+02 | 2.23E+02 | 1.44E+02 | 1.95E+02 | 1.67E+02 | 2.75E+02 | 3.50E+02 | |
| Median | 1.65E+03 | 4.21E+03 | 2.90E+03 | 4.85E+03 | 2.03E+03 | 3.27E+03 | 4.07E+03 | 2.53E+03 | 2.52E+03 | 3.36E+03 | 3.57E+03 | 2.85E+03 | 2.89E+03 | |
| Rank | 1 | 12 | 7 | 13 | 2 | 8 | 11 | 4 | 3 | 9 | 10 | 5 | 6 | |
| C17-F17 | Mean | 1.73E+03 | 3.33E+03 | 2.44E+03 | 3.62E+03 | 1.86E+03 | 3.20E+03 | 2.80E+03 | 2.07E+03 | 1.93E+03 | 2.17E+03 | 2.49E+03 | 2.31E+03 | 2.14E+03 |
| Best | 1.72E+03 | 2.76E+03 | 2.30E+03 | 3.26E+03 | 1.75E+03 | 2.20E+03 | 2.34E+03 | 2.02E+03 | 1.80E+03 | 1.96E+03 | 2.39E+03 | 2.08E+03 | 2.09E+03 | |
| Worst | 1.73E+03 | 4.04E+03 | 2.55E+03 | 4.26E+03 | 1.92E+03 | 5.82E+03 | 3.11E+03 | 2.21E+03 | 2.07E+03 | 2.46E+03 | 2.63E+03 | 2.69E+03 | 2.21E+03 | |
| Std | 7.30E+00 | 5.95E+02 | 1.19E+02 | 4.96E+02 | 7.92E+01 | 1.91E+03 | 3.57E+02 | 1.04E+02 | 1.38E+02 | 2.31E+02 | 1.28E+02 | 2.94E+02 | 5.59E+01 | |
| Median | 1.73E+03 | 3.26E+03 | 2.46E+03 | 3.48E+03 | 1.88E+03 | 2.39E+03 | 2.87E+03 | 2.02E+03 | 1.92E+03 | 2.14E+03 | 2.46E+03 | 2.23E+03 | 2.13E+03 | |
| Rank | 1 | 12 | 8 | 13 | 2 | 11 | 10 | 4 | 3 | 6 | 9 | 7 | 5 | |
| C17-F18 | Mean | 1.83E+03 | 2.70E+07 | 2.52E+06 | 3.11E+07 | 1.89E+03 | 3.45E+07 | 5.61E+06 | 6.08E+05 | 3.99E+05 | 1.58E+06 | 4.89E+05 | 1.30E+05 | 3.46E+06 |
| Best | 1.82E+03 | 7.78E+06 | 2.68E+05 | 1.00E+07 | 1.87E+03 | 1.27E+06 | 1.89E+06 | 1.53E+05 | 7.46E+04 | 7.35E+05 | 2.74E+05 | 9.29E+04 | 2.70E+06 | |
| Worst | 1.83E+03 | 5.25E+07 | 5.02E+06 | 6.10E+07 | 1.91E+03 | 6.54E+07 | 1.16E+07 | 1.65E+06 | 1.02E+06 | 1.99E+06 | 9.53E+05 | 1.55E+05 | 5.08E+06 | |
| Std | 2.94E+00 | 2.15E+07 | 2.43E+06 | 2.35E+07 | 1.66E+01 | 3.88E+07 | 4.53E+06 | 7.58E+05 | 4.86E+05 | 6.28E+05 | 3.41E+05 | 2.95E+04 | 1.18E+06 | |
| Median | 1.83E+03 | 2.39E+07 | 2.39E+06 | 2.66E+07 | 1.90E+03 | 3.57E+07 | 4.48E+06 | 3.17E+05 | 2.48E+05 | 1.80E+06 | 3.65E+05 | 1.37E+05 | 3.04E+06 | |
| Rank | 1 | 11 | 8 | 12 | 2 | 13 | 10 | 6 | 4 | 7 | 5 | 3 | 9 | |
| C17-F19 | Mean | 1.91E+03 | 5.52E+08 | 6.44E+04 | 9.30E+08 | 1.92E+03 | 2.80E+08 | 1.36E+07 | 8.93E+05 | 3.83E+06 | 5.47E+06 | 7.78E+04 | 4.24E+04 | 1.54E+06 |
| Best | 1.91E+03 | 4.13E+08 | 1.38E+04 | 6.72E+08 | 1.92E+03 | 3.48E+06 | 1.77E+06 | 2.26E+04 | 6.74E+04 | 2.84E+06 | 4.22E+04 | 8.42E+03 | 6.09E+05 | |
| Worst | 1.91E+03 | 7.18E+08 | 1.43E+05 | 1.41E+09 | 1.93E+03 | 7.75E+08 | 2.35E+07 | 2.01E+06 | 1.24E+07 | 7.77E+06 | 1.05E+05 | 1.27E+05 | 2.74E+06 | |
| Std | 2.10E+00 | 1.67E+08 | 6.14E+04 | 3.56E+08 | 3.45E+00 | 3.88E+08 | 1.08E+07 | 1.05E+06 | 6.23E+06 | 2.64E+06 | 2.83E+04 | 6.14E+04 | 9.77E+05 | |
| Median | 1.91E+03 | 5.38E+08 | 5.02E+04 | 8.20E+08 | 1.92E+03 | 1.70E+08 | 1.46E+07 | 7.71E+05 | 1.45E+06 | 5.63E+06 | 8.21E+04 | 1.72E+04 | 1.41E+06 | |
| Rank | 1 | 12 | 4 | 13 | 2 | 11 | 10 | 6 | 8 | 9 | 5 | 3 | 7 | |
| C17-F20 | Mean | 2.07E+03 | 2.86E+03 | 2.61E+03 | 2.91E+03 | 2.17E+03 | 2.82E+03 | 2.80E+03 | 2.58E+03 | 2.36E+03 | 2.77E+03 | 2.97E+03 | 2.53E+03 | 2.46E+03 |
| Best | 2.03E+03 | 2.77E+03 | 2.46E+03 | 2.74E+03 | 2.06E+03 | 2.68E+03 | 2.61E+03 | 2.36E+03 | 2.19E+03 | 2.68E+03 | 2.61E+03 | 2.48E+03 | 2.41E+03 | |
| Worst | 2.16E+03 | 2.97E+03 | 2.84E+03 | 3.02E+03 | 2.26E+03 | 2.96E+03 | 2.98E+03 | 2.97E+03 | 2.52E+03 | 2.88E+03 | 3.43E+03 | 2.65E+03 | 2.49E+03 | |
| Std | 6.93E+01 | 8.89E+01 | 1.78E+02 | 1.32E+02 | 9.10E+01 | 1.28E+02 | 1.70E+02 | 2.94E+02 | 1.47E+02 | 1.02E+02 | 3.75E+02 | 9.11E+01 | 3.82E+01 | |
| Median | 2.04E+03 | 2.85E+03 | 2.58E+03 | 2.95E+03 | 2.18E+03 | 2.81E+03 | 2.81E+03 | 2.50E+03 | 2.36E+03 | 2.75E+03 | 2.92E+03 | 2.49E+03 | 2.46E+03 | |
| Rank | 1 | 11 | 7 | 12 | 2 | 10 | 9 | 6 | 3 | 8 | 13 | 5 | 4 | |
| C17-F21 | Mean | 2.31E+03 | 2.61E+03 | 2.44E+03 | 2.66E+03 | 2.36E+03 | 2.53E+03 | 2.60E+03 | 2.40E+03 | 2.39E+03 | 2.49E+03 | 2.56E+03 | 2.43E+03 | 2.49E+03 |
| Best | 2.30E+03 | 2.52E+03 | 2.22E+03 | 2.59E+03 | 2.35E+03 | 2.31E+03 | 2.52E+03 | 2.37E+03 | 2.35E+03 | 2.48E+03 | 2.54E+03 | 2.41E+03 | 2.45E+03 | |
| Worst | 2.31E+03 | 2.67E+03 | 2.59E+03 | 2.75E+03 | 2.38E+03 | 2.65E+03 | 2.66E+03 | 2.43E+03 | 2.40E+03 | 2.50E+03 | 2.59E+03 | 2.44E+03 | 2.53E+03 | |
| Std | 4.85E+00 | 7.71E+01 | 1.67E+02 | 7.80E+01 | 1.19E+01 | 1.66E+02 | 7.36E+01 | 2.86E+01 | 2.49E+01 | 1.17E+01 | 2.55E+01 | 1.70E+01 | 3.74E+01 | |
| Median | 2.31E+03 | 2.62E+03 | 2.47E+03 | 2.66E+03 | 2.36E+03 | 2.57E+03 | 2.60E+03 | 2.40E+03 | 2.40E+03 | 2.49E+03 | 2.55E+03 | 2.43E+03 | 2.48E+03 | |
| Rank | 1 | 12 | 6 | 13 | 2 | 9 | 11 | 4 | 3 | 8 | 10 | 5 | 7 | |
| C17-F22 | Mean | 2.30E+03 | 7.75E+03 | 5.63E+03 | 7.51E+03 | 2.30E+03 | 8.50E+03 | 7.19E+03 | 3.89E+03 | 2.69E+03 | 5.54E+03 | 6.16E+03 | 4.78E+03 | 2.69E+03 |
| Best | 2.30E+03 | 7.42E+03 | 2.30E+03 | 6.53E+03 | 2.30E+03 | 8.28E+03 | 6.28E+03 | 2.31E+03 | 2.56E+03 | 2.71E+03 | 3.93E+03 | 2.45E+03 | 2.61E+03 | |
| Worst | 2.30E+03 | 8.25E+03 | 6.91E+03 | 8.51E+03 | 2.30E+03 | 8.61E+03 | 8.01E+03 | 5.85E+03 | 2.94E+03 | 8.69E+03 | 7.14E+03 | 7.03E+03 | 2.74E+03 | |
| Std | 0.00E+00 | 3.87E+02 | 2.42E+03 | 9.26E+02 | 1.28E+00 | 1.67E+02 | 7.85E+02 | 2.01E+03 | 1.88E+02 | 3.55E+03 | 1.63E+03 | 2.29E+03 | 6.86E+01 | |
| Median | 2.30E+03 | 7.66E+03 | 6.65E+03 | 7.51E+03 | 2.30E+03 | 8.56E+03 | 7.24E+03 | 3.69E+03 | 2.62E+03 | 5.39E+03 | 6.78E+03 | 4.81E+03 | 2.69E+03 | |
| Rank | 1 | 12 | 8 | 11 | 2 | 13 | 10 | 5 | 4 | 7 | 9 | 6 | 3 | |
| C17-F23 | Mean | 2.66E+03 | 3.17E+03 | 2.92E+03 | 3.23E+03 | 2.65E+03 | 3.18E+03 | 3.03E+03 | 2.73E+03 | 2.75E+03 | 2.90E+03 | 3.73E+03 | 2.89E+03 | 2.96E+03 |
| Best | 2.65E+03 | 3.09E+03 | 2.81E+03 | 3.17E+03 | 2.48E+03 | 3.06E+03 | 2.86E+03 | 2.69E+03 | 2.73E+03 | 2.87E+03 | 3.62E+03 | 2.86E+03 | 2.94E+03 | |
| Worst | 2.66E+03 | 3.25E+03 | 3.08E+03 | 3.30E+03 | 2.71E+03 | 3.37E+03 | 3.13E+03 | 2.76E+03 | 2.77E+03 | 2.94E+03 | 3.83E+03 | 2.94E+03 | 3.03E+03 | |
| Std | 1.80E+00 | 8.26E+01 | 1.30E+02 | 6.07E+01 | 1.22E+02 | 1.46E+02 | 1.29E+02 | 3.30E+01 | 1.84E+01 | 3.57E+01 | 1.20E+02 | 4.10E+01 | 4.48E+01 | |
| Median | 2.65E+03 | 3.17E+03 | 2.89E+03 | 3.21E+03 | 2.70E+03 | 3.14E+03 | 3.07E+03 | 2.74E+03 | 2.75E+03 | 2.88E+03 | 3.73E+03 | 2.88E+03 | 2.95E+03 | |
| Rank | 2 | 10 | 7 | 12 | 1 | 11 | 9 | 3 | 4 | 6 | 13 | 5 | 8 | |
| C17-F24 | Mean | 2.83E+03 | 3.30E+03 | 3.16E+03 | 3.39E+03 | 2.88E+03 | 3.27E+03 | 3.11E+03 | 2.90E+03 | 2.92E+03 | 3.03E+03 | 3.35E+03 | 3.12E+03 | 3.21E+03 |
| Best | 2.83E+03 | 3.26E+03 | 3.02E+03 | 3.31E+03 | 2.87E+03 | 3.16E+03 | 3.04E+03 | 2.86E+03 | 2.91E+03 | 3.01E+03 | 3.31E+03 | 3.05E+03 | 3.12E+03 | |
| Worst | 2.83E+03 | 3.37E+03 | 3.31E+03 | 3.54E+03 | 2.89E+03 | 3.31E+03 | 3.13E+03 | 2.93E+03 | 2.92E+03 | 3.07E+03 | 3.38E+03 | 3.23E+03 | 3.29E+03 | |
| Std | 1.25E+00 | 5.57E+01 | 1.36E+02 | 1.19E+02 | 1.11E+01 | 7.88E+01 | 4.52E+01 | 3.42E+01 | 9.27E+00 | 2.69E+01 | 3.48E+01 | 8.56E+01 | 8.47E+01 | |
| Median | 2.83E+03 | 3.28E+03 | 3.15E+03 | 3.36E+03 | 2.89E+03 | 3.29E+03 | 3.12E+03 | 2.92E+03 | 2.92E+03 | 3.03E+03 | 3.35E+03 | 3.10E+03 | 3.22E+03 | |
| Rank | 1 | 11 | 8 | 13 | 2 | 10 | 6 | 3 | 4 | 5 | 12 | 7 | 9 | |
| C17-F25 | Mean | 2.89E+03 | 3.90E+03 | 2.91E+03 | 4.50E+03 | 2.89E+03 | 3.45E+03 | 3.07E+03 | 2.91E+03 | 2.99E+03 | 3.07E+03 | 2.99E+03 | 2.89E+03 | 3.10E+03 |
| Best | 2.89E+03 | 3.54E+03 | 2.89E+03 | 3.92E+03 | 2.88E+03 | 3.08E+03 | 3.04E+03 | 2.88E+03 | 2.95E+03 | 2.95E+03 | 2.98E+03 | 2.89E+03 | 3.08E+03 | |
| Worst | 2.89E+03 | 4.17E+03 | 2.95E+03 | 5.28E+03 | 2.90E+03 | 3.83E+03 | 3.09E+03 | 2.97E+03 | 3.06E+03 | 3.20E+03 | 3.00E+03 | 2.91E+03 | 3.11E+03 | |
| Std | 8.28E-03 | 2.89E+02 | 2.74E+01 | 6.16E+02 | 6.14E+00 | 3.95E+02 | 2.75E+01 | 4.50E+01 | 5.30E+01 | 1.30E+02 | 1.05E+01 | 1.21E+01 | 1.34E+01 | |
| Median | 2.89E+03 | 3.95E+03 | 2.90E+03 | 4.41E+03 | 2.89E+03 | 3.44E+03 | 3.08E+03 | 2.89E+03 | 2.97E+03 | 3.06E+03 | 2.99E+03 | 2.89E+03 | 3.10E+03 | |
| Rank | 1 | 12 | 4 | 13 | 2 | 11 | 9 | 5 | 6 | 8 | 7 | 3 | 10 | |
| C17-F26 | Mean | 3.58E+03 | 8.97E+03 | 7.19E+03 | 9.53E+03 | 2.97E+03 | 8.54E+03 | 8.19E+03 | 4.74E+03 | 4.53E+03 | 5.84E+03 | 7.33E+03 | 4.80E+03 | 4.36E+03 |
| Best | 3.56E+03 | 8.56E+03 | 5.95E+03 | 8.73E+03 | 2.97E+03 | 7.90E+03 | 7.49E+03 | 4.41E+03 | 4.15E+03 | 4.50E+03 | 6.31E+03 | 3.55E+03 | 3.99E+03 | |
| Worst | 3.61E+03 | 9.71E+03 | 7.92E+03 | 1.10E+04 | 2.98E+03 | 8.94E+03 | 9.02E+03 | 5.35E+03 | 5.12E+03 | 7.10E+03 | 7.85E+03 | 6.29E+03 | 4.82E+03 | |
| Std | 2.48E+01 | 5.83E+02 | 9.42E+02 | 1.14E+03 | 2.85E+00 | 4.85E+02 | 6.85E+02 | 4.77E+02 | 4.51E+02 | 1.30E+03 | 7.82E+02 | 1.40E+03 | 3.77E+02 | |
| Median | 3.57E+03 | 8.80E+03 | 7.44E+03 | 9.22E+03 | 2.97E+03 | 8.66E+03 | 8.14E+03 | 4.60E+03 | 4.42E+03 | 5.87E+03 | 7.57E+03 | 4.68E+03 | 4.32E+03 | |
| Rank | 2 | 12 | 8 | 13 | 1 | 11 | 10 | 5 | 4 | 7 | 9 | 6 | 3 | |
| C17-F27 | Mean | 3.21E+03 | 3.60E+03 | 3.35E+03 | 3.75E+03 | 3.21E+03 | 3.46E+03 | 3.42E+03 | 3.23E+03 | 3.25E+03 | 3.31E+03 | 4.91E+03 | 3.28E+03 | 3.45E+03 |
| Best | 3.20E+03 | 3.54E+03 | 3.27E+03 | 3.47E+03 | 3.20E+03 | 3.33E+03 | 3.26E+03 | 3.21E+03 | 3.24E+03 | 3.24E+03 | 4.47E+03 | 3.24E+03 | 3.38E+03 | |
| Worst | 3.21E+03 | 3.69E+03 | 3.42E+03 | 4.02E+03 | 3.23E+03 | 3.70E+03 | 3.54E+03 | 3.26E+03 | 3.26E+03 | 3.38E+03 | 5.23E+03 | 3.32E+03 | 3.49E+03 | |
| Std | 5.06E+00 | 7.48E+01 | 8.95E+01 | 2.56E+02 | 1.64E+01 | 1.80E+02 | 1.33E+02 | 1.99E+01 | 1.10E+01 | 6.52E+01 | 4.01E+02 | 3.71E+01 | 5.62E+01 | |
| Median | 3.21E+03 | 3.58E+03 | 3.36E+03 | 3.74E+03 | 3.21E+03 | 3.41E+03 | 3.44E+03 | 3.23E+03 | 3.25E+03 | 3.32E+03 | 4.97E+03 | 3.27E+03 | 3.47E+03 | |
| Rank | 1 | 11 | 7 | 12 | 2 | 10 | 8 | 3 | 4 | 6 | 13 | 5 | 9 | |
| C17-F28 | Mean | 3.10E+03 | 4.72E+03 | 3.26E+03 | 5.60E+03 | 3.21E+03 | 4.12E+03 | 3.43E+03 | 3.25E+03 | 3.58E+03 | 3.65E+03 | 3.51E+03 | 3.32E+03 | 3.57E+03 |
| Best | 3.10E+03 | 4.49E+03 | 3.23E+03 | 5.30E+03 | 3.19E+03 | 3.58E+03 | 3.37E+03 | 3.22E+03 | 3.39E+03 | 3.50E+03 | 3.44E+03 | 3.19E+03 | 3.52E+03 | |
| Worst | 3.10E+03 | 4.97E+03 | 3.29E+03 | 5.91E+03 | 3.24E+03 | 4.67E+03 | 3.48E+03 | 3.28E+03 | 4.05E+03 | 3.98E+03 | 3.65E+03 | 3.52E+03 | 3.62E+03 | |
| Std | 2.86E-13 | 2.22E+02 | 2.71E+01 | 3.18E+02 | 2.20E+01 | 5.49E+02 | 5.32E+01 | 2.99E+01 | 3.43E+02 | 2.44E+02 | 1.06E+02 | 1.66E+02 | 5.44E+01 | |
| Median | 3.10E+03 | 4.71E+03 | 3.26E+03 | 5.59E+03 | 3.20E+03 | 4.12E+03 | 3.43E+03 | 3.25E+03 | 3.44E+03 | 3.56E+03 | 3.47E+03 | 3.29E+03 | 3.56E+03 | |
| Rank | 1 | 12 | 4 | 13 | 2 | 11 | 6 | 3 | 9 | 10 | 7 | 5 | 8 | |
| C17-F29 | Mean | 3.35E+03 | 5.33E+03 | 4.30E+03 | 5.54E+03 | 3.65E+03 | 5.17E+03 | 5.03E+03 | 3.83E+03 | 3.78E+03 | 4.47E+03 | 5.00E+03 | 4.14E+03 | 4.25E+03 |
| Best | 3.33E+03 | 4.89E+03 | 3.95E+03 | 4.93E+03 | 3.50E+03 | 4.65E+03 | 4.76E+03 | 3.70E+03 | 3.70E+03 | 4.15E+03 | 4.74E+03 | 3.95E+03 | 3.88E+03 | |
| Worst | 3.37E+03 | 5.79E+03 | 4.50E+03 | 6.38E+03 | 3.78E+03 | 6.03E+03 | 5.19E+03 | 3.94E+03 | 3.89E+03 | 4.94E+03 | 5.25E+03 | 4.38E+03 | 4.60E+03 | |
| Std | 2.14E+01 | 4.71E+02 | 2.65E+02 | 7.74E+02 | 1.36E+02 | 7.04E+02 | 1.99E+02 | 1.11E+02 | 9.50E+01 | 3.65E+02 | 2.99E+02 | 1.93E+02 | 3.49E+02 | |
| Median | 3.36E+03 | 5.31E+03 | 4.36E+03 | 5.43E+03 | 3.65E+03 | 5.01E+03 | 5.07E+03 | 3.83E+03 | 3.76E+03 | 4.40E+03 | 5.01E+03 | 4.12E+03 | 4.27E+03 | |
| Rank | 1 | 12 | 7 | 13 | 2 | 11 | 10 | 4 | 3 | 8 | 9 | 5 | 6 | |
| C17-F30 | Mean | 5.01E+03 | 1.37E+09 | 1.36E+06 | 2.70E+09 | 7.57E+03 | 3.67E+07 | 3.75E+07 | 2.96E+06 | 6.10E+06 | 3.62E+07 | 2.16E+06 | 2.61E+05 | 6.71E+05 |
| Best | 4.96E+03 | 1.01E+09 | 4.81E+05 | 1.94E+09 | 6.32E+03 | 1.26E+07 | 7.47E+06 | 5.31E+05 | 1.36E+06 | 1.94E+07 | 1.89E+06 | 7.48E+03 | 1.86E+05 | |
| Worst | 5.09E+03 | 1.50E+09 | 2.41E+06 | 2.98E+09 | 1.00E+04 | 8.58E+07 | 6.01E+07 | 4.23E+06 | 1.65E+07 | 7.59E+07 | 2.60E+06 | 9.86E+05 | 1.28E+06 | |
| Std | 6.42E+01 | 2.62E+08 | 8.79E+05 | 5.53E+08 | 1.89E+03 | 3.62E+07 | 2.39E+07 | 1.80E+06 | 7.59E+06 | 2.90E+07 | 3.35E+05 | 5.27E+05 | 5.82E+05 | |
| Median | 4.99E+03 | 1.48E+09 | 1.28E+06 | 2.94E+09 | 6.97E+03 | 2.43E+07 | 4.12E+07 | 3.53E+06 | 3.28E+06 | 2.47E+07 | 2.08E+06 | 2.45E+04 | 6.07E+05 | |
| Rank | 1 | 12 | 5 | 13 | 2 | 10 | 11 | 7 | 8 | 9 | 6 | 3 | 4 | |
| Sum rank | 31 | 334 | 182 | 361 | 57 | 305 | 284 | 128 | 151 | 232 | 231 | 139 | 204 | |
| Mean rank | 1.07E+00 | 1.15E+01 | 6.28E+00 | 1.24E+01 | 1.97E+00 | 1.05E+01 | 9.79E+00 | 4.41E+00 | 5.21E+00 | 8.00E+00 | 7.97E+00 | 4.79E+00 | 7.03E+00 | |
| Total rank | 1 | 12 | 6 | 13 | 2 | 11 | 10 | 3 | 5 | 9 | 8 | 4 | 7 | |
| LOA | WSO | AVOA | RSA | MPA | TSA | WOA | MVO | GWO | TLBO | GSA | PSO | GA | ||
|---|---|---|---|---|---|---|---|---|---|---|---|---|---|---|
| C17-F1 | Mean | 1.00E+02 | 5.67E+10 | 8.76E+06 | 8.87E+10 | 5.34E+06 | 3.61E+10 | 7.29E+09 | 3.85E+06 | 8.86E+09 | 1.96E+10 | 1.62E+10 | 2.40E+09 | 9.85E+09 |
| Best | 1.00E+02 | 5.06E+10 | 1.04E+06 | 7.76E+10 | 2.06E+06 | 3.32E+10 | 4.30E+09 | 2.76E+06 | 6.39E+09 | 1.34E+10 | 1.30E+10 | 9.84E+08 | 9.38E+09 | |
| Worst | 1.00E+02 | 6.06E+10 | 2.32E+07 | 9.70E+10 | 1.35E+07 | 3.88E+10 | 1.09E+10 | 4.79E+06 | 1.21E+10 | 2.65E+10 | 1.94E+10 | 3.20E+09 | 1.06E+10 | |
| Std | 0.00E+00 | 4.83E+09 | 1.07E+07 | 9.19E+09 | 5.99E+06 | 2.53E+09 | 3.40E+09 | 9.13E+05 | 2.60E+09 | 6.94E+09 | 2.88E+09 | 1.06E+09 | 6.29E+08 | |
| Median | 1.00E+02 | 5.77E+10 | 5.41E+06 | 9.02E+10 | 2.88E+06 | 3.61E+10 | 6.98E+09 | 3.93E+06 | 8.46E+09 | 1.94E+10 | 1.63E+10 | 2.71E+09 | 9.71E+09 | |
| Rank | 1 | 12 | 4 | 13 | 3 | 11 | 6 | 2 | 7 | 10 | 9 | 5 | 8 | |
| C17-F3 | Mean | 3.00E+02 | 1.50E+05 | 1.39E+05 | 1.49E+05 | 1.70E+04 | 1.03E+05 | 2.21E+05 | 4.38E+04 | 1.23E+05 | 9.31E+04 | 1.68E+05 | 1.37E+05 | 2.49E+05 |
| Best | 3.00E+02 | 1.29E+05 | 1.07E+05 | 1.36E+05 | 1.47E+04 | 9.08E+04 | 1.67E+05 | 3.47E+04 | 1.08E+05 | 7.04E+04 | 1.52E+05 | 1.03E+05 | 2.08E+05 | |
| Worst | 3.00E+02 | 1.73E+05 | 1.69E+05 | 1.63E+05 | 2.01E+04 | 1.10E+05 | 3.38E+05 | 5.45E+04 | 1.38E+05 | 1.06E+05 | 1.90E+05 | 1.79E+05 | 2.87E+05 | |
| Std | 0.00E+00 | 2.01E+04 | 3.06E+04 | 1.32E+04 | 2.62E+03 | 9.75E+03 | 8.76E+04 | 8.96E+03 | 1.33E+04 | 1.78E+04 | 2.01E+04 | 3.57E+04 | 3.51E+04 | |
| Median | 3.00E+02 | 1.49E+05 | 1.40E+05 | 1.50E+05 | 1.66E+04 | 1.06E+05 | 1.91E+05 | 4.30E+04 | 1.23E+05 | 9.78E+04 | 1.66E+05 | 1.33E+05 | 2.52E+05 | |
| Rank | 1 | 10 | 8 | 9 | 2 | 5 | 12 | 3 | 6 | 4 | 11 | 7 | 13 | |
| C17-F4 | Mean | 4.70E+02 | 1.40E+04 | 6.85E+02 | 2.25E+04 | 5.28E+02 | 7.89E+03 | 1.86E+03 | 5.58E+02 | 1.38E+03 | 2.67E+03 | 2.93E+03 | 9.87E+02 | 1.47E+03 |
| Best | 4.29E+02 | 1.09E+04 | 6.70E+02 | 1.49E+04 | 4.92E+02 | 6.33E+03 | 1.19E+03 | 5.21E+02 | 1.03E+03 | 1.52E+03 | 2.45E+03 | 6.70E+02 | 1.27E+03 | |
| Worst | 5.26E+02 | 1.59E+04 | 7.10E+02 | 2.69E+04 | 5.80E+02 | 1.02E+04 | 2.22E+03 | 6.30E+02 | 1.69E+03 | 4.56E+03 | 3.11E+03 | 1.74E+03 | 1.59E+03 | |
| Std | 5.39E+01 | 2.46E+03 | 2.01E+01 | 5.97E+03 | 4.48E+01 | 1.78E+03 | 5.04E+02 | 5.41E+01 | 3.21E+02 | 1.45E+03 | 3.50E+02 | 5.51E+02 | 1.52E+02 | |
| Median | 4.64E+02 | 1.46E+04 | 6.81E+02 | 2.41E+04 | 5.19E+02 | 7.53E+03 | 2.02E+03 | 5.40E+02 | 1.41E+03 | 2.30E+03 | 3.07E+03 | 7.67E+02 | 1.51E+03 | |
| Rank | 1 | 12 | 4 | 13 | 2 | 11 | 8 | 3 | 6 | 9 | 10 | 5 | 7 | |
| C17-F5 | Mean | 5.05E+02 | 1.07E+03 | 8.38E+02 | 1.09E+03 | 7.23E+02 | 1.11E+03 | 9.31E+02 | 7.26E+02 | 7.13E+02 | 9.72E+02 | 7.89E+02 | 7.73E+02 | 8.71E+02 |
| Best | 5.04E+02 | 1.04E+03 | 8.10E+02 | 1.08E+03 | 6.46E+02 | 9.77E+02 | 8.93E+02 | 6.56E+02 | 6.87E+02 | 9.32E+02 | 7.40E+02 | 7.22E+02 | 8.42E+02 | |
| Worst | 5.06E+02 | 1.11E+03 | 8.78E+02 | 1.11E+03 | 7.84E+02 | 1.22E+03 | 9.55E+02 | 8.33E+02 | 7.40E+02 | 9.98E+02 | 8.24E+02 | 8.34E+02 | 8.91E+02 | |
| Std | 1.04E+00 | 3.61E+01 | 3.19E+01 | 1.51E+01 | 6.28E+01 | 1.28E+02 | 3.01E+01 | 8.59E+01 | 3.07E+01 | 3.19E+01 | 4.32E+01 | 5.03E+01 | 2.51E+01 | |
| Median | 5.04E+02 | 1.06E+03 | 8.33E+02 | 1.10E+03 | 7.32E+02 | 1.13E+03 | 9.38E+02 | 7.07E+02 | 7.13E+02 | 9.78E+02 | 7.97E+02 | 7.69E+02 | 8.75E+02 | |
| Rank | 1 | 11 | 7 | 12 | 3 | 13 | 9 | 4 | 2 | 10 | 6 | 5 | 8 | |
| C17-F6 | Mean | 6.00E+02 | 6.90E+02 | 6.57E+02 | 6.92E+02 | 6.11E+02 | 6.85E+02 | 6.92E+02 | 6.35E+02 | 6.21E+02 | 6.61E+02 | 6.55E+02 | 6.50E+02 | 6.46E+02 |
| Best | 6.00E+02 | 6.87E+02 | 6.52E+02 | 6.89E+02 | 6.08E+02 | 6.66E+02 | 6.87E+02 | 6.26E+02 | 6.16E+02 | 6.49E+02 | 6.50E+02 | 6.48E+02 | 6.34E+02 | |
| Worst | 6.00E+02 | 6.94E+02 | 6.62E+02 | 6.94E+02 | 6.14E+02 | 7.00E+02 | 7.00E+02 | 6.58E+02 | 6.31E+02 | 6.69E+02 | 6.57E+02 | 6.54E+02 | 6.58E+02 | |
| Std | 0.00E+00 | 3.77E+00 | 4.87E+00 | 2.50E+00 | 2.84E+00 | 1.69E+01 | 6.05E+00 | 1.67E+01 | 7.15E+00 | 9.38E+00 | 3.53E+00 | 2.71E+00 | 1.10E+01 | |
| Median | 6.00E+02 | 6.89E+02 | 6.56E+02 | 6.91E+02 | 6.10E+02 | 6.86E+02 | 6.91E+02 | 6.29E+02 | 6.20E+02 | 6.62E+02 | 6.56E+02 | 6.50E+02 | 6.46E+02 | |
| Rank | 1 | 11 | 8 | 12 | 2 | 10 | 13 | 4 | 3 | 9 | 7 | 6 | 5 | |
| C17-F7 | Mean | 7.57E+02 | 1.73E+03 | 1.61E+03 | 1.83E+03 | 1.01E+03 | 1.63E+03 | 1.65E+03 | 1.04E+03 | 1.05E+03 | 1.44E+03 | 1.37E+03 | 1.17E+03 | 1.28E+03 |
| Best | 7.55E+02 | 1.71E+03 | 1.55E+03 | 1.75E+03 | 9.60E+02 | 1.49E+03 | 1.59E+03 | 1.00E+03 | 1.03E+03 | 1.32E+03 | 1.21E+03 | 1.02E+03 | 1.20E+03 | |
| Worst | 7.58E+02 | 1.76E+03 | 1.68E+03 | 1.93E+03 | 1.06E+03 | 1.77E+03 | 1.74E+03 | 1.07E+03 | 1.07E+03 | 1.50E+03 | 1.50E+03 | 1.39E+03 | 1.32E+03 | |
| Std | 1.69E+00 | 2.43E+01 | 6.01E+01 | 8.13E+01 | 5.23E+01 | 1.45E+02 | 7.17E+01 | 2.97E+01 | 2.03E+01 | 8.82E+01 | 1.38E+02 | 1.74E+02 | 5.87E+01 | |
| Median | 7.57E+02 | 1.73E+03 | 1.62E+03 | 1.82E+03 | 1.02E+03 | 1.63E+03 | 1.64E+03 | 1.04E+03 | 1.05E+03 | 1.47E+03 | 1.39E+03 | 1.14E+03 | 1.29E+03 | |
| Rank | 1 | 12 | 9 | 13 | 2 | 10 | 11 | 3 | 4 | 8 | 7 | 5 | 6 | |
| C17-F8 | Mean | 8.06E+02 | 1.39E+03 | 1.11E+03 | 1.41E+03 | 9.99E+02 | 1.40E+03 | 1.30E+03 | 1.01E+03 | 1.02E+03 | 1.29E+03 | 1.12E+03 | 1.04E+03 | 1.23E+03 |
| Best | 8.03E+02 | 1.33E+03 | 1.06E+03 | 1.38E+03 | 9.70E+02 | 1.31E+03 | 1.17E+03 | 9.72E+02 | 9.88E+02 | 1.24E+03 | 1.11E+03 | 1.00E+03 | 1.19E+03 | |
| Worst | 8.11E+02 | 1.43E+03 | 1.15E+03 | 1.43E+03 | 1.03E+03 | 1.53E+03 | 1.40E+03 | 1.08E+03 | 1.06E+03 | 1.35E+03 | 1.14E+03 | 1.10E+03 | 1.25E+03 | |
| Std | 3.89E+00 | 4.69E+01 | 5.47E+01 | 2.33E+01 | 3.34E+01 | 1.04E+02 | 1.03E+02 | 5.01E+01 | 3.36E+01 | 4.79E+01 | 1.07E+01 | 5.30E+01 | 2.95E+01 | |
| Median | 8.04E+02 | 1.39E+03 | 1.11E+03 | 1.42E+03 | 9.99E+02 | 1.39E+03 | 1.31E+03 | 9.95E+02 | 1.02E+03 | 1.29E+03 | 1.12E+03 | 1.03E+03 | 1.24E+03 | |
| Rank | 1 | 11 | 6 | 13 | 2 | 12 | 10 | 3 | 4 | 9 | 7 | 5 | 8 | |
| C17-F9 | Mean | 9.00E+02 | 3.41E+04 | 1.26E+04 | 3.43E+04 | 3.18E+03 | 3.58E+04 | 3.12E+04 | 1.86E+04 | 6.53E+03 | 2.27E+04 | 1.01E+04 | 9.75E+03 | 1.21E+04 |
| Best | 9.00E+02 | 3.28E+04 | 1.20E+04 | 3.22E+04 | 2.01E+03 | 3.30E+04 | 2.90E+04 | 9.96E+03 | 5.68E+03 | 1.75E+04 | 9.21E+03 | 9.03E+03 | 9.97E+03 | |
| Worst | 9.00E+02 | 3.73E+04 | 1.34E+04 | 3.60E+04 | 4.59E+03 | 3.99E+04 | 3.64E+04 | 2.46E+04 | 7.43E+03 | 2.67E+04 | 1.09E+04 | 1.11E+04 | 1.39E+04 | |
| Std | 1.01E-13 | 2.31E+03 | 6.61E+02 | 1.94E+03 | 1.16E+03 | 3.24E+03 | 3.84E+03 | 7.47E+03 | 9.87E+02 | 4.16E+03 | 7.68E+02 | 9.97E+02 | 2.29E+03 | |
| Median | 9.00E+02 | 3.32E+04 | 1.25E+04 | 3.45E+04 | 3.07E+03 | 3.51E+04 | 2.96E+04 | 1.99E+04 | 6.50E+03 | 2.33E+04 | 1.01E+04 | 9.44E+03 | 1.23E+04 | |
| Rank | 1 | 11 | 7 | 12 | 2 | 13 | 10 | 8 | 3 | 9 | 5 | 4 | 6 | |
| C17-F10 | Mean | 4.35E+03 | 1.25E+04 | 8.12E+03 | 1.37E+04 | 6.43E+03 | 1.14E+04 | 1.14E+04 | 7.49E+03 | 8.44E+03 | 1.35E+04 | 8.38E+03 | 7.61E+03 | 1.13E+04 |
| Best | 3.56E+03 | 1.20E+04 | 7.60E+03 | 1.34E+04 | 5.59E+03 | 1.04E+04 | 1.02E+04 | 6.21E+03 | 6.50E+03 | 1.28E+04 | 7.56E+03 | 7.42E+03 | 1.08E+04 | |
| Worst | 5.10E+03 | 1.33E+04 | 8.59E+03 | 1.41E+04 | 7.04E+03 | 1.24E+04 | 1.25E+04 | 8.53E+03 | 1.33E+04 | 1.40E+04 | 9.45E+03 | 8.11E+03 | 1.20E+04 | |
| Std | 7.02E+02 | 6.53E+02 | 4.50E+02 | 3.50E+02 | 7.56E+02 | 9.28E+02 | 1.12E+03 | 1.08E+03 | 3.58E+03 | 6.98E+02 | 8.56E+02 | 3.62E+02 | 5.64E+02 | |
| Median | 4.37E+03 | 1.24E+04 | 8.14E+03 | 1.36E+04 | 6.54E+03 | 1.13E+04 | 1.14E+04 | 7.61E+03 | 6.96E+03 | 1.36E+04 | 8.25E+03 | 7.46E+03 | 1.12E+04 | |
| Rank | 1 | 11 | 5 | 13 | 2 | 9 | 10 | 3 | 7 | 12 | 6 | 4 | 8 | |
| C17-F11 | Mean | 1.13E+03 | 1.46E+04 | 1.58E+03 | 1.99E+04 | 1.25E+03 | 1.23E+04 | 4.88E+03 | 1.55E+03 | 5.86E+03 | 4.90E+03 | 1.35E+04 | 1.64E+03 | 2.28E+04 |
| Best | 1.12E+03 | 1.35E+04 | 1.47E+03 | 1.77E+04 | 1.20E+03 | 1.06E+04 | 4.31E+03 | 1.40E+03 | 3.54E+03 | 4.60E+03 | 1.27E+04 | 1.38E+03 | 1.33E+04 | |
| Worst | 1.13E+03 | 1.53E+04 | 1.72E+03 | 2.16E+04 | 1.28E+03 | 1.47E+04 | 6.09E+03 | 1.69E+03 | 1.01E+04 | 5.44E+03 | 1.53E+04 | 1.95E+03 | 3.05E+04 | |
| Std | 5.92E+00 | 9.01E+02 | 1.30E+02 | 1.75E+03 | 3.65E+01 | 1.96E+03 | 8.94E+02 | 1.36E+02 | 3.31E+03 | 4.25E+02 | 1.31E+03 | 2.64E+02 | 7.74E+03 | |
| Median | 1.13E+03 | 1.48E+04 | 1.56E+03 | 2.02E+04 | 1.26E+03 | 1.19E+04 | 4.56E+03 | 1.54E+03 | 4.88E+03 | 4.77E+03 | 1.30E+04 | 1.62E+03 | 2.36E+04 | |
| Rank | 1 | 11 | 4 | 12 | 2 | 9 | 6 | 3 | 8 | 7 | 10 | 5 | 13 | |
| C17-F12 | Mean | 2.91E+03 | 4.13E+10 | 6.95E+07 | 6.74E+10 | 1.36E+07 | 2.45E+10 | 1.25E+09 | 7.51E+07 | 9.08E+08 | 4.79E+09 | 2.06E+09 | 1.52E+09 | 1.94E+08 |
| Best | 2.53E+03 | 3.47E+10 | 2.95E+07 | 4.92E+10 | 1.29E+07 | 1.03E+10 | 1.03E+09 | 4.04E+07 | 1.43E+08 | 2.70E+09 | 6.77E+08 | 1.20E+07 | 6.11E+07 | |
| Worst | 3.17E+03 | 4.96E+10 | 1.07E+08 | 9.25E+10 | 1.43E+07 | 4.12E+10 | 1.70E+09 | 1.19E+08 | 1.69E+09 | 9.42E+09 | 3.70E+09 | 4.39E+09 | 2.68E+08 | |
| Std | 2.98E+02 | 7.29E+09 | 4.55E+07 | 2.17E+10 | 7.27E+05 | 1.39E+10 | 3.35E+08 | 3.61E+07 | 8.38E+08 | 3.43E+09 | 1.36E+09 | 2.22E+09 | 9.90E+07 | |
| Median | 2.96E+03 | 4.05E+10 | 7.06E+07 | 6.40E+10 | 1.37E+07 | 2.32E+10 | 1.13E+09 | 7.02E+07 | 9.01E+08 | 3.52E+09 | 1.93E+09 | 8.38E+08 | 2.23E+08 | |
| Rank | 1 | 12 | 3 | 13 | 2 | 11 | 7 | 4 | 6 | 10 | 9 | 8 | 5 | |
| C17-F13 | Mean | 1.34E+03 | 2.33E+10 | 1.41E+05 | 4.08E+10 | 1.55E+04 | 9.56E+09 | 9.00E+07 | 2.29E+05 | 3.39E+08 | 5.55E+08 | 1.76E+07 | 4.52E+08 | 3.93E+07 |
| Best | 1.33E+03 | 1.34E+10 | 3.25E+04 | 2.06E+10 | 8.26E+03 | 5.08E+09 | 6.76E+07 | 1.43E+05 | 1.54E+08 | 4.52E+08 | 2.97E+04 | 4.84E+04 | 2.56E+07 | |
| Worst | 1.34E+03 | 3.18E+10 | 3.11E+05 | 5.87E+10 | 1.83E+04 | 1.49E+10 | 1.02E+08 | 3.57E+05 | 8.51E+08 | 7.58E+08 | 5.92E+07 | 1.14E+09 | 5.26E+07 | |
| Std | 4.66E+00 | 8.77E+09 | 1.30E+05 | 1.74E+10 | 5.29E+03 | 4.51E+09 | 1.66E+07 | 9.91E+04 | 3.72E+08 | 1.50E+08 | 3.07E+07 | 6.06E+08 | 1.31E+07 | |
| Median | 1.34E+03 | 2.40E+10 | 1.11E+05 | 4.20E+10 | 1.78E+04 | 9.14E+09 | 9.50E+07 | 2.08E+05 | 1.75E+08 | 5.04E+08 | 5.51E+06 | 3.34E+08 | 3.96E+07 | |
| Rank | 1 | 12 | 3 | 13 | 2 | 11 | 7 | 4 | 8 | 10 | 5 | 9 | 6 | |
| C17-F14 | Mean | 1.43E+03 | 2.46E+07 | 1.16E+06 | 4.59E+07 | 1.56E+03 | 2.55E+06 | 4.52E+06 | 1.81E+05 | 1.09E+06 | 8.21E+05 | 1.44E+07 | 5.44E+05 | 1.06E+07 |
| Best | 1.43E+03 | 8.04E+06 | 3.59E+05 | 1.41E+07 | 1.54E+03 | 6.73E+05 | 4.00E+06 | 1.15E+05 | 8.51E+04 | 6.77E+05 | 3.26E+06 | 1.96E+05 | 5.23E+06 | |
| Worst | 1.43E+03 | 4.82E+07 | 2.76E+06 | 9.29E+07 | 1.58E+03 | 4.04E+06 | 5.37E+06 | 3.51E+05 | 2.11E+06 | 9.47E+05 | 2.36E+07 | 8.72E+05 | 1.83E+07 | |
| Std | 2.85E+00 | 1.84E+07 | 1.19E+06 | 3.65E+07 | 1.79E+01 | 1.52E+06 | 6.44E+05 | 1.24E+05 | 8.99E+05 | 1.53E+05 | 1.00E+07 | 3.01E+05 | 6.00E+06 | |
| Median | 1.43E+03 | 2.11E+07 | 7.59E+05 | 3.83E+07 | 1.55E+03 | 2.74E+06 | 4.36E+06 | 1.29E+05 | 1.09E+06 | 8.30E+05 | 1.53E+07 | 5.55E+05 | 9.50E+06 | |
| Rank | 1 | 12 | 7 | 13 | 2 | 8 | 9 | 3 | 6 | 5 | 11 | 4 | 10 | |
| C17-F15 | Mean | 1.53E+03 | 2.47E+09 | 3.61E+04 | 3.97E+09 | 2.22E+03 | 1.62E+09 | 9.41E+06 | 1.15E+05 | 5.64E+06 | 6.69E+07 | 1.87E+08 | 1.04E+04 | 8.13E+06 |
| Best | 1.53E+03 | 1.75E+09 | 2.23E+04 | 3.10E+09 | 2.10E+03 | 5.56E+08 | 8.67E+05 | 4.77E+04 | 4.02E+04 | 3.92E+07 | 1.82E+04 | 2.71E+03 | 2.76E+06 | |
| Worst | 1.53E+03 | 3.24E+09 | 6.64E+04 | 4.70E+09 | 2.36E+03 | 3.52E+09 | 1.76E+07 | 1.72E+05 | 1.49E+07 | 8.71E+07 | 7.27E+08 | 2.03E+04 | 1.77E+07 | |
| Std | 3.19E+00 | 7.62E+08 | 2.23E+04 | 7.73E+08 | 1.53E+02 | 1.50E+09 | 7.99E+06 | 6.00E+04 | 7.04E+06 | 2.18E+07 | 3.92E+08 | 8.51E+03 | 7.17E+06 | |
| Median | 1.53E+03 | 2.45E+09 | 2.79E+04 | 4.04E+09 | 2.22E+03 | 1.20E+09 | 9.60E+06 | 1.21E+05 | 3.83E+06 | 7.07E+07 | 1.13E+07 | 9.24E+03 | 6.06E+06 | |
| Rank | 1 | 12 | 4 | 13 | 2 | 11 | 8 | 5 | 6 | 9 | 10 | 3 | 7 | |
| C17-F16 | Mean | 2.06E+03 | 6.07E+03 | 4.24E+03 | 7.30E+03 | 2.72E+03 | 4.51E+03 | 5.32E+03 | 3.26E+03 | 3.26E+03 | 4.42E+03 | 3.86E+03 | 3.28E+03 | 3.82E+03 |
| Best | 1.73E+03 | 5.27E+03 | 3.91E+03 | 5.50E+03 | 2.57E+03 | 3.96E+03 | 4.37E+03 | 3.04E+03 | 2.89E+03 | 4.03E+03 | 3.54E+03 | 2.89E+03 | 3.22E+03 | |
| Worst | 2.24E+03 | 7.73E+03 | 4.64E+03 | 1.09E+04 | 2.98E+03 | 4.80E+03 | 5.95E+03 | 3.50E+03 | 3.82E+03 | 4.69E+03 | 4.25E+03 | 3.71E+03 | 4.33E+03 | |
| Std | 2.53E+02 | 1.25E+03 | 3.74E+02 | 2.68E+03 | 2.10E+02 | 4.14E+02 | 7.55E+02 | 2.06E+02 | 4.93E+02 | 3.05E+02 | 3.76E+02 | 4.47E+02 | 5.23E+02 | |
| Median | 2.14E+03 | 5.63E+03 | 4.20E+03 | 6.42E+03 | 2.66E+03 | 4.64E+03 | 5.47E+03 | 3.25E+03 | 3.17E+03 | 4.47E+03 | 3.82E+03 | 3.26E+03 | 3.86E+03 | |
| Rank | 1 | 12 | 8 | 13 | 2 | 10 | 11 | 4 | 3 | 9 | 7 | 5 | 6 | |
| C17-F17 | Mean | 2.02E+03 | 7.33E+03 | 3.48E+03 | 1.06E+04 | 2.53E+03 | 3.86E+03 | 4.41E+03 | 3.02E+03 | 2.92E+03 | 4.04E+03 | 3.73E+03 | 3.28E+03 | 3.50E+03 |
| Best | 1.90E+03 | 5.60E+03 | 3.05E+03 | 7.75E+03 | 2.46E+03 | 3.11E+03 | 3.95E+03 | 2.49E+03 | 2.78E+03 | 3.43E+03 | 3.29E+03 | 3.07E+03 | 3.28E+03 | |
| Worst | 2.14E+03 | 8.97E+03 | 3.99E+03 | 1.37E+04 | 2.59E+03 | 4.30E+03 | 4.62E+03 | 3.48E+03 | 3.18E+03 | 4.41E+03 | 4.02E+03 | 3.60E+03 | 3.74E+03 | |
| Std | 1.46E+02 | 1.51E+03 | 4.82E+02 | 2.68E+03 | 5.97E+01 | 5.64E+02 | 3.40E+02 | 4.47E+02 | 1.97E+02 | 4.70E+02 | 3.45E+02 | 2.75E+02 | 2.33E+02 | |
| Median | 2.02E+03 | 7.38E+03 | 3.44E+03 | 1.04E+04 | 2.54E+03 | 4.01E+03 | 4.52E+03 | 3.05E+03 | 2.86E+03 | 4.16E+03 | 3.80E+03 | 3.23E+03 | 3.50E+03 | |
| Rank | 1 | 12 | 6 | 13 | 2 | 9 | 11 | 4 | 3 | 10 | 8 | 5 | 7 | |
| C17-F18 | Mean | 1.83E+03 | 7.19E+07 | 2.29E+06 | 1.07E+08 | 2.50E+04 | 3.33E+07 | 4.29E+07 | 2.51E+06 | 5.43E+06 | 7.78E+06 | 7.98E+06 | 7.82E+05 | 8.99E+06 |
| Best | 1.82E+03 | 5.75E+07 | 2.97E+05 | 4.79E+07 | 3.65E+03 | 2.99E+06 | 1.16E+07 | 1.48E+06 | 1.04E+06 | 5.35E+06 | 3.77E+06 | 3.34E+05 | 3.22E+06 | |
| Worst | 1.84E+03 | 8.47E+07 | 4.19E+06 | 1.48E+08 | 3.73E+04 | 9.51E+07 | 7.76E+07 | 3.90E+06 | 1.08E+07 | 1.08E+07 | 1.49E+07 | 1.28E+06 | 2.16E+07 | |
| Std | 8.86E+00 | 1.28E+07 | 2.15E+06 | 5.35E+07 | 1.60E+04 | 4.60E+07 | 3.55E+07 | 1.26E+06 | 5.57E+06 | 2.52E+06 | 5.53E+06 | 4.74E+05 | 9.24E+06 | |
| Median | 1.83E+03 | 7.26E+07 | 2.33E+06 | 1.15E+08 | 2.95E+04 | 1.75E+07 | 4.11E+07 | 2.32E+06 | 4.93E+06 | 7.48E+06 | 6.62E+06 | 7.57E+05 | 5.56E+06 | |
| Rank | 1 | 12 | 4 | 13 | 2 | 10 | 11 | 5 | 6 | 7 | 8 | 3 | 9 | |
| C17-F19 | Mean | 1.93E+03 | 2.59E+09 | 2.47E+05 | 3.64E+09 | 2.07E+03 | 2.54E+09 | 6.49E+06 | 4.86E+06 | 1.10E+06 | 4.81E+07 | 4.29E+05 | 3.74E+05 | 9.41E+05 |
| Best | 1.92E+03 | 1.23E+09 | 8.66E+04 | 2.46E+09 | 2.02E+03 | 9.28E+06 | 9.77E+05 | 3.70E+06 | 5.40E+05 | 4.09E+07 | 2.47E+05 | 2.85E+03 | 7.36E+05 | |
| Worst | 1.93E+03 | 4.32E+09 | 5.09E+05 | 4.51E+09 | 2.10E+03 | 7.41E+09 | 1.53E+07 | 6.03E+06 | 1.70E+06 | 6.11E+07 | 9.40E+05 | 9.33E+05 | 1.28E+06 | |
| Std | 8.61E-01 | 1.41E+09 | 1.99E+05 | 9.92E+08 | 4.32E+01 | 3.61E+09 | 6.70E+06 | 1.04E+06 | 5.26E+05 | 9.81E+06 | 3.71E+05 | 4.83E+05 | 2.77E+05 | |
| Median | 1.93E+03 | 2.40E+09 | 1.96E+05 | 3.81E+09 | 2.09E+03 | 1.36E+09 | 4.85E+06 | 4.86E+06 | 1.09E+06 | 4.53E+07 | 2.65E+05 | 2.79E+05 | 8.77E+05 | |
| Rank | 1 | 12 | 3 | 13 | 2 | 11 | 9 | 8 | 7 | 10 | 5 | 4 | 6 | |
| C17-F20 | Mean | 2.16E+03 | 3.74E+03 | 3.21E+03 | 4.00E+03 | 2.63E+03 | 3.37E+03 | 3.67E+03 | 3.22E+03 | 2.60E+03 | 3.69E+03 | 3.95E+03 | 3.23E+03 | 3.12E+03 |
| Best | 2.10E+03 | 3.42E+03 | 2.65E+03 | 3.73E+03 | 2.36E+03 | 2.94E+03 | 3.38E+03 | 3.00E+03 | 2.41E+03 | 3.57E+03 | 3.68E+03 | 2.84E+03 | 3.05E+03 | |
| Worst | 2.32E+03 | 3.91E+03 | 3.72E+03 | 4.17E+03 | 2.90E+03 | 3.58E+03 | 4.23E+03 | 3.67E+03 | 2.80E+03 | 3.86E+03 | 4.21E+03 | 3.40E+03 | 3.24E+03 | |
| Std | 1.19E+02 | 2.45E+02 | 4.98E+02 | 2.05E+02 | 2.48E+02 | 3.20E+02 | 4.18E+02 | 3.34E+02 | 2.25E+02 | 1.33E+02 | 2.37E+02 | 2.85E+02 | 9.08E+01 | |
| Median | 2.11E+03 | 3.82E+03 | 3.24E+03 | 4.05E+03 | 2.64E+03 | 3.48E+03 | 3.54E+03 | 3.11E+03 | 2.60E+03 | 3.67E+03 | 3.95E+03 | 3.34E+03 | 3.09E+03 | |
| Rank | 1 | 11 | 5 | 13 | 3 | 8 | 9 | 6 | 2 | 10 | 12 | 7 | 4 | |
| C17-F21 | Mean | 2.31E+03 | 2.96E+03 | 2.73E+03 | 3.00E+03 | 2.44E+03 | 2.93E+03 | 2.92E+03 | 2.56E+03 | 2.51E+03 | 2.80E+03 | 2.82E+03 | 2.64E+03 | 2.73E+03 |
| Best | 2.31E+03 | 2.93E+03 | 2.62E+03 | 2.90E+03 | 2.42E+03 | 2.83E+03 | 2.81E+03 | 2.53E+03 | 2.46E+03 | 2.77E+03 | 2.75E+03 | 2.57E+03 | 2.71E+03 | |
| Worst | 2.33E+03 | 2.99E+03 | 2.91E+03 | 3.08E+03 | 2.47E+03 | 3.09E+03 | 3.01E+03 | 2.60E+03 | 2.55E+03 | 2.84E+03 | 2.85E+03 | 2.74E+03 | 2.75E+03 | |
| Std | 1.08E+01 | 3.72E+01 | 1.39E+02 | 9.48E+01 | 2.35E+01 | 1.23E+02 | 9.36E+01 | 3.92E+01 | 4.30E+01 | 3.31E+01 | 5.19E+01 | 8.23E+01 | 2.19E+01 | |
| Median | 2.31E+03 | 2.96E+03 | 2.70E+03 | 3.01E+03 | 2.44E+03 | 2.90E+03 | 2.93E+03 | 2.56E+03 | 2.52E+03 | 2.79E+03 | 2.83E+03 | 2.63E+03 | 2.73E+03 | |
| Rank | 1 | 12 | 7 | 13 | 2 | 11 | 10 | 4 | 3 | 8 | 9 | 5 | 6 | |
| C17-F22 | Mean | 3.10E+03 | 1.44E+04 | 1.08E+04 | 1.56E+04 | 5.25E+03 | 1.32E+04 | 1.32E+04 | 8.71E+03 | 8.59E+03 | 1.51E+04 | 1.10E+04 | 9.44E+03 | 8.56E+03 |
| Best | 2.30E+03 | 1.41E+04 | 8.50E+03 | 1.54E+04 | 2.32E+03 | 1.28E+04 | 1.25E+04 | 6.91E+03 | 7.56E+03 | 1.46E+04 | 1.07E+04 | 8.63E+03 | 3.95E+03 | |
| Worst | 5.48E+03 | 1.46E+04 | 1.24E+04 | 1.59E+04 | 8.24E+03 | 1.38E+04 | 1.35E+04 | 9.92E+03 | 9.10E+03 | 1.56E+04 | 1.15E+04 | 9.90E+03 | 1.30E+04 | |
| Std | 1.73E+03 | 2.52E+02 | 2.00E+03 | 2.96E+02 | 3.47E+03 | 4.65E+02 | 4.62E+02 | 1.40E+03 | 7.69E+02 | 5.32E+02 | 3.54E+02 | 6.47E+02 | 5.49E+03 | |
| Median | 2.30E+03 | 1.45E+04 | 1.11E+04 | 1.56E+04 | 5.21E+03 | 1.32E+04 | 1.33E+04 | 9.01E+03 | 8.86E+03 | 1.51E+04 | 1.10E+04 | 9.61E+03 | 8.62E+03 | |
| Rank | 1 | 11 | 7 | 13 | 2 | 10 | 9 | 5 | 4 | 12 | 8 | 6 | 3 | |
| C17-F23 | Mean | 2.74E+03 | 3.78E+03 | 3.27E+03 | 3.85E+03 | 2.88E+03 | 3.70E+03 | 3.70E+03 | 2.98E+03 | 3.01E+03 | 3.26E+03 | 4.67E+03 | 3.35E+03 | 3.34E+03 |
| Best | 2.73E+03 | 3.70E+03 | 3.19E+03 | 3.80E+03 | 2.87E+03 | 3.50E+03 | 3.53E+03 | 2.94E+03 | 2.93E+03 | 3.17E+03 | 4.49E+03 | 3.29E+03 | 3.21E+03 | |
| Worst | 2.75E+03 | 3.87E+03 | 3.35E+03 | 3.89E+03 | 2.90E+03 | 4.03E+03 | 3.80E+03 | 3.05E+03 | 3.14E+03 | 3.33E+03 | 4.84E+03 | 3.41E+03 | 3.47E+03 | |
| Std | 1.09E+01 | 8.13E+01 | 8.26E+01 | 3.88E+01 | 1.50E+01 | 2.74E+02 | 1.33E+02 | 5.70E+01 | 1.01E+02 | 6.83E+01 | 1.57E+02 | 6.98E+01 | 1.16E+02 | |
| Median | 2.75E+03 | 3.77E+03 | 3.27E+03 | 3.85E+03 | 2.88E+03 | 3.64E+03 | 3.74E+03 | 2.96E+03 | 2.98E+03 | 3.27E+03 | 4.68E+03 | 3.36E+03 | 3.33E+03 | |
| Rank | 1 | 11 | 6 | 12 | 2 | 9 | 10 | 3 | 4 | 5 | 13 | 8 | 7 | |
| C17-F24 | Mean | 2.92E+03 | 4.16E+03 | 3.49E+03 | 4.43E+03 | 3.06E+03 | 3.96E+03 | 3.80E+03 | 3.13E+03 | 3.19E+03 | 3.43E+03 | 4.33E+03 | 3.44E+03 | 3.64E+03 |
| Best | 2.91E+03 | 3.92E+03 | 3.38E+03 | 3.96E+03 | 3.03E+03 | 3.87E+03 | 3.69E+03 | 3.09E+03 | 3.09E+03 | 3.35E+03 | 4.29E+03 | 3.29E+03 | 3.60E+03 | |
| Worst | 2.92E+03 | 4.71E+03 | 3.67E+03 | 5.58E+03 | 3.10E+03 | 4.10E+03 | 3.85E+03 | 3.16E+03 | 3.31E+03 | 3.49E+03 | 4.38E+03 | 3.59E+03 | 3.73E+03 | |
| Std | 7.43E+00 | 4.03E+02 | 1.35E+02 | 8.43E+02 | 3.19E+01 | 1.14E+02 | 7.99E+01 | 3.35E+01 | 1.00E+02 | 6.69E+01 | 4.30E+01 | 1.48E+02 | 6.94E+01 | |
| Median | 2.92E+03 | 4.01E+03 | 3.45E+03 | 4.09E+03 | 3.06E+03 | 3.94E+03 | 3.82E+03 | 3.13E+03 | 3.17E+03 | 3.44E+03 | 4.32E+03 | 3.44E+03 | 3.61E+03 | |
| Rank | 1 | 11 | 7 | 13 | 2 | 10 | 9 | 3 | 4 | 5 | 12 | 6 | 8 | |
| C17-F25 | Mean | 2.98E+03 | 8.37E+03 | 3.17E+03 | 1.16E+04 | 3.06E+03 | 5.88E+03 | 4.11E+03 | 3.05E+03 | 3.99E+03 | 4.32E+03 | 4.22E+03 | 3.12E+03 | 4.00E+03 |
| Best | 2.98E+03 | 6.92E+03 | 3.14E+03 | 9.32E+03 | 3.04E+03 | 4.81E+03 | 3.71E+03 | 3.02E+03 | 3.80E+03 | 3.85E+03 | 3.89E+03 | 3.07E+03 | 3.90E+03 | |
| Worst | 2.99E+03 | 9.30E+03 | 3.21E+03 | 1.30E+04 | 3.08E+03 | 6.91E+03 | 4.40E+03 | 3.07E+03 | 4.19E+03 | 4.89E+03 | 4.86E+03 | 3.16E+03 | 4.12E+03 | |
| Std | 6.30E+00 | 1.15E+03 | 3.36E+01 | 1.86E+03 | 1.69E+01 | 9.85E+02 | 3.19E+02 | 2.56E+01 | 2.18E+02 | 5.69E+02 | 4.96E+02 | 5.01E+01 | 9.93E+01 | |
| Median | 2.98E+03 | 8.64E+03 | 3.16E+03 | 1.20E+04 | 3.07E+03 | 5.91E+03 | 4.15E+03 | 3.06E+03 | 3.99E+03 | 4.27E+03 | 4.07E+03 | 3.11E+03 | 4.00E+03 | |
| Rank | 1 | 12 | 5 | 13 | 3 | 11 | 8 | 2 | 6 | 10 | 9 | 4 | 7 | |
| C17-F26 | Mean | 3.78E+03 | 1.37E+04 | 1.07E+04 | 1.46E+04 | 3.35E+03 | 1.23E+04 | 1.34E+04 | 5.71E+03 | 6.41E+03 | 9.49E+03 | 1.12E+04 | 7.96E+03 | 8.79E+03 |
| Best | 3.75E+03 | 1.35E+04 | 1.02E+04 | 1.40E+04 | 3.15E+03 | 1.02E+04 | 1.25E+04 | 5.24E+03 | 6.03E+03 | 8.72E+03 | 1.09E+04 | 7.40E+03 | 6.99E+03 | |
| Worst | 3.79E+03 | 1.39E+04 | 1.12E+04 | 1.56E+04 | 3.62E+03 | 1.35E+04 | 1.51E+04 | 5.97E+03 | 6.76E+03 | 1.02E+04 | 1.16E+04 | 8.50E+03 | 1.11E+04 | |
| Std | 2.12E+01 | 2.07E+02 | 4.39E+02 | 7.14E+02 | 2.34E+02 | 1.54E+03 | 1.23E+03 | 3.59E+02 | 4.15E+02 | 6.87E+02 | 3.29E+02 | 5.35E+02 | 2.14E+03 | |
| Median | 3.78E+03 | 1.37E+04 | 1.07E+04 | 1.45E+04 | 3.30E+03 | 1.27E+04 | 1.30E+04 | 5.82E+03 | 6.42E+03 | 9.52E+03 | 1.12E+04 | 7.96E+03 | 8.52E+03 | |
| Rank | 2 | 12 | 8 | 13 | 1 | 10 | 11 | 3 | 4 | 7 | 9 | 5 | 6 | |
| C17-F27 | Mean | 3.25E+03 | 4.74E+03 | 3.83E+03 | 4.92E+03 | 3.38E+03 | 4.65E+03 | 4.41E+03 | 3.36E+03 | 3.63E+03 | 3.81E+03 | 7.90E+03 | 3.63E+03 | 4.40E+03 |
| Best | 3.23E+03 | 4.43E+03 | 3.78E+03 | 4.56E+03 | 3.27E+03 | 3.97E+03 | 3.86E+03 | 3.32E+03 | 3.58E+03 | 3.62E+03 | 7.66E+03 | 3.38E+03 | 4.29E+03 | |
| Worst | 3.31E+03 | 4.95E+03 | 3.89E+03 | 5.18E+03 | 3.47E+03 | 5.13E+03 | 4.97E+03 | 3.43E+03 | 3.67E+03 | 3.97E+03 | 8.25E+03 | 3.87E+03 | 4.54E+03 | |
| Std | 4.54E+01 | 2.48E+02 | 5.37E+01 | 3.23E+02 | 8.98E+01 | 5.52E+02 | 5.67E+02 | 5.14E+01 | 5.21E+01 | 1.70E+02 | 3.11E+02 | 2.42E+02 | 1.14E+02 | |
| Median | 3.23E+03 | 4.79E+03 | 3.82E+03 | 4.97E+03 | 3.38E+03 | 4.76E+03 | 4.41E+03 | 3.34E+03 | 3.62E+03 | 3.82E+03 | 7.85E+03 | 3.64E+03 | 4.38E+03 | |
| Rank | 1 | 11 | 7 | 12 | 3 | 10 | 9 | 2 | 4 | 6 | 13 | 5 | 8 | |
| C17-F28 | Mean | 3.26E+03 | 8.51E+03 | 3.58E+03 | 1.09E+04 | 3.35E+03 | 7.10E+03 | 4.76E+03 | 3.28E+03 | 4.36E+03 | 5.17E+03 | 4.99E+03 | 3.85E+03 | 4.97E+03 |
| Best | 3.26E+03 | 7.69E+03 | 3.50E+03 | 9.63E+03 | 3.31E+03 | 5.77E+03 | 4.17E+03 | 3.26E+03 | 4.10E+03 | 4.57E+03 | 4.93E+03 | 3.54E+03 | 4.73E+03 | |
| Worst | 3.26E+03 | 1.06E+04 | 3.67E+03 | 1.41E+04 | 3.39E+03 | 8.46E+03 | 4.98E+03 | 3.30E+03 | 4.69E+03 | 5.70E+03 | 5.11E+03 | 4.34E+03 | 5.15E+03 | |
| Std | 0.00E+00 | 1.52E+03 | 8.91E+01 | 2.38E+03 | 4.21E+01 | 1.48E+03 | 4.26E+02 | 2.10E+01 | 2.99E+02 | 5.03E+02 | 8.60E+01 | 3.78E+02 | 2.24E+02 | |
| Median | 3.26E+03 | 7.89E+03 | 3.58E+03 | 9.85E+03 | 3.34E+03 | 7.08E+03 | 4.94E+03 | 3.29E+03 | 4.32E+03 | 5.21E+03 | 4.96E+03 | 3.75E+03 | 5.00E+03 | |
| Rank | 1 | 12 | 4 | 13 | 3 | 11 | 7 | 2 | 6 | 10 | 9 | 5 | 8 | |
| C17-F29 | Mean | 3.26E+03 | 1.32E+04 | 5.42E+03 | 1.89E+04 | 4.06E+03 | 6.76E+03 | 8.82E+03 | 4.78E+03 | 4.81E+03 | 6.41E+03 | 7.99E+03 | 4.78E+03 | 6.04E+03 |
| Best | 3.25E+03 | 8.76E+03 | 5.28E+03 | 1.00E+04 | 3.72E+03 | 6.33E+03 | 5.98E+03 | 4.35E+03 | 4.62E+03 | 5.54E+03 | 6.60E+03 | 4.56E+03 | 5.74E+03 | |
| Worst | 3.28E+03 | 1.81E+04 | 5.55E+03 | 2.98E+04 | 4.30E+03 | 7.27E+03 | 1.15E+04 | 5.36E+03 | 5.10E+03 | 7.36E+03 | 1.04E+04 | 4.86E+03 | 6.62E+03 | |
| Std | 1.90E+01 | 4.68E+03 | 1.22E+02 | 9.56E+03 | 2.85E+02 | 4.23E+02 | 2.48E+03 | 4.59E+02 | 2.43E+02 | 9.41E+02 | 1.88E+03 | 1.61E+02 | 4.49E+02 | |
| Median | 3.26E+03 | 1.30E+04 | 5.42E+03 | 1.78E+04 | 4.12E+03 | 6.72E+03 | 8.89E+03 | 4.70E+03 | 4.77E+03 | 6.37E+03 | 7.46E+03 | 4.85E+03 | 5.90E+03 | |
| Rank | 1 | 12 | 6 | 13 | 2 | 9 | 11 | 3 | 5 | 8 | 10 | 4 | 7 | |
| C17-F30 | Mean | 6.24E+05 | 3.11E+09 | 2.08E+07 | 5.22E+09 | 1.61E+06 | 1.58E+09 | 1.51E+08 | 6.70E+07 | 1.32E+08 | 2.85E+08 | 1.75E+08 | 4.60E+06 | 5.56E+07 |
| Best | 5.82E+05 | 2.40E+09 | 1.27E+07 | 3.20E+09 | 1.22E+06 | 1.93E+08 | 1.02E+08 | 6.06E+07 | 6.41E+07 | 1.99E+08 | 1.34E+08 | 3.22E+06 | 4.48E+07 | |
| Worst | 6.56E+05 | 4.22E+09 | 2.85E+07 | 8.19E+09 | 2.60E+06 | 3.20E+09 | 2.08E+08 | 7.71E+07 | 1.97E+08 | 3.61E+08 | 2.30E+08 | 6.39E+06 | 7.80E+07 | |
| Std | 3.56E+04 | 8.65E+08 | 8.44E+06 | 2.34E+09 | 7.24E+05 | 1.68E+09 | 5.79E+07 | 7.80E+06 | 7.28E+07 | 7.41E+07 | 4.36E+07 | 1.70E+06 | 1.67E+07 | |
| Median | 6.28E+05 | 2.91E+09 | 2.10E+07 | 4.74E+09 | 1.30E+06 | 1.46E+09 | 1.47E+08 | 6.52E+07 | 1.35E+08 | 2.91E+08 | 1.69E+08 | 4.40E+06 | 4.97E+07 | |
| Rank | 1 | 12 | 4 | 13 | 2 | 11 | 8 | 6 | 7 | 10 | 9 | 3 | 5 | |
| Sum rank | 30 | 335 | 166 | 367 | 63 | 294 | 269 | 112 | 144 | 248 | 254 | 150 | 207 | |
| Mean rank | 1.03E+00 | 1.16E+01 | 5.72E+00 | 1.27E+01 | 2.17E+00 | 1.01E+01 | 9.28E+00 | 3.86E+00 | 4.97E+00 | 8.55E+00 | 8.76E+00 | 5.17E+00 | 7.14E+00 | |
| Total rank | 1 | 12 | 6 | 13 | 2 | 11 | 10 | 3 | 4 | 8 | 9 | 5 | 7 | |
| LOA | WSO | AVOA | RSA | MPA | TSA | WOA | MVO | GWO | TLBO | GSA | PSO | GA | ||
|---|---|---|---|---|---|---|---|---|---|---|---|---|---|---|
| C17-F1 | Mean | 1.00E+02 | 1.58E+11 | 3.63E+09 | 2.21E+11 | 4.93E+08 | 1.20E+11 | 5.95E+10 | 6.24E+07 | 5.42E+10 | 8.65E+10 | 1.29E+11 | 1.90E+10 | 5.32E+10 |
| Best | 1.00E+02 | 1.55E+11 | 1.77E+09 | 2.17E+11 | 3.73E+08 | 1.05E+11 | 5.62E+10 | 5.20E+07 | 4.70E+10 | 8.24E+10 | 1.19E+11 | 1.28E+10 | 5.04E+10 | |
| Worst | 1.00E+02 | 1.62E+11 | 5.22E+09 | 2.23E+11 | 6.23E+08 | 1.34E+11 | 6.66E+10 | 7.31E+07 | 6.13E+10 | 9.53E+10 | 1.38E+11 | 2.59E+10 | 6.02E+10 | |
| Std | 1.26E-14 | 3.53E+09 | 1.55E+09 | 2.77E+09 | 1.31E+08 | 1.28E+10 | 5.21E+09 | 1.12E+07 | 7.42E+09 | 6.52E+09 | 8.97E+09 | 7.81E+09 | 5.06E+09 | |
| Median | 1.00E+02 | 1.58E+11 | 3.77E+09 | 2.22E+11 | 4.88E+08 | 1.20E+11 | 5.76E+10 | 6.23E+07 | 5.43E+10 | 8.42E+10 | 1.30E+11 | 1.87E+10 | 5.12E+10 | |
| Rank | 1 | 12 | 4 | 13 | 3 | 10 | 8 | 2 | 7 | 9 | 11 | 5 | 6 | |
| C17-F3 | Mean | 3.00E+02 | 4.06E+05 | 3.10E+05 | 3.06E+05 | 1.50E+05 | 3.45E+05 | 7.48E+05 | 4.42E+05 | 3.49E+05 | 2.81E+05 | 3.26E+05 | 5.13E+05 | 5.47E+05 |
| Best | 3.00E+02 | 3.70E+05 | 3.02E+05 | 2.95E+05 | 1.15E+05 | 2.76E+05 | 6.55E+05 | 3.67E+05 | 3.20E+05 | 2.63E+05 | 3.01E+05 | 3.89E+05 | 5.25E+05 | |
| Worst | 3.00E+02 | 4.25E+05 | 3.17E+05 | 3.12E+05 | 1.81E+05 | 3.94E+05 | 8.67E+05 | 5.29E+05 | 3.82E+05 | 2.97E+05 | 3.56E+05 | 7.20E+05 | 5.65E+05 | |
| Std | 0.00E+00 | 2.78E+04 | 6.52E+03 | 8.76E+03 | 3.15E+04 | 5.41E+04 | 9.93E+04 | 8.97E+04 | 3.66E+04 | 1.50E+04 | 2.48E+04 | 1.67E+05 | 1.93E+04 | |
| Median | 3.00E+02 | 4.15E+05 | 3.10E+05 | 3.08E+05 | 1.52E+05 | 3.55E+05 | 7.36E+05 | 4.36E+05 | 3.47E+05 | 2.81E+05 | 3.22E+05 | 4.72E+05 | 5.50E+05 | |
| Rank | 1 | 9 | 5 | 4 | 2 | 7 | 13 | 10 | 8 | 3 | 6 | 11 | 12 | |
| C17-F4 | Mean | 6.02E+02 | 4.23E+04 | 1.50E+03 | 7.12E+04 | 9.97E+02 | 1.52E+04 | 1.04E+04 | 7.52E+02 | 4.27E+03 | 1.02E+04 | 3.24E+04 | 2.38E+03 | 8.76E+03 |
| Best | 5.92E+02 | 3.89E+04 | 1.27E+03 | 6.46E+04 | 8.90E+02 | 9.96E+03 | 8.87E+03 | 7.00E+02 | 3.28E+03 | 9.73E+03 | 2.57E+04 | 1.45E+03 | 8.28E+03 | |
| Worst | 6.12E+02 | 4.63E+04 | 1.65E+03 | 7.94E+04 | 1.11E+03 | 2.02E+04 | 1.14E+04 | 8.09E+02 | 6.40E+03 | 1.10E+04 | 3.66E+04 | 2.99E+03 | 9.30E+03 | |
| Std | 1.27E+01 | 3.48E+03 | 1.91E+02 | 6.67E+03 | 1.15E+02 | 4.61E+03 | 1.18E+03 | 4.97E+01 | 1.56E+03 | 6.77E+02 | 5.72E+03 | 7.22E+02 | 5.19E+02 | |
| Median | 6.02E+02 | 4.19E+04 | 1.55E+03 | 7.05E+04 | 9.95E+02 | 1.53E+04 | 1.07E+04 | 7.50E+02 | 3.69E+03 | 1.00E+04 | 3.35E+04 | 2.53E+03 | 8.72E+03 | |
| Rank | 1 | 12 | 4 | 13 | 3 | 10 | 9 | 2 | 6 | 8 | 11 | 5 | 7 | |
| C17-F5 | Mean | 5.13E+02 | 1.88E+03 | 1.25E+03 | 1.85E+03 | 1.16E+03 | 2.02E+03 | 1.74E+03 | 1.17E+03 | 1.13E+03 | 1.77E+03 | 1.27E+03 | 1.34E+03 | 1.50E+03 |
| Best | 5.11E+02 | 1.86E+03 | 1.24E+03 | 1.82E+03 | 1.05E+03 | 2.00E+03 | 1.65E+03 | 1.07E+03 | 1.07E+03 | 1.74E+03 | 1.24E+03 | 1.25E+03 | 1.36E+03 | |
| Worst | 5.15E+02 | 1.89E+03 | 1.26E+03 | 1.88E+03 | 1.24E+03 | 2.05E+03 | 1.88E+03 | 1.24E+03 | 1.17E+03 | 1.80E+03 | 1.30E+03 | 1.50E+03 | 1.58E+03 | |
| Std | 1.98E+00 | 1.35E+01 | 9.10E+00 | 3.60E+01 | 1.05E+02 | 2.55E+01 | 1.10E+02 | 8.22E+01 | 4.68E+01 | 2.36E+01 | 3.48E+01 | 1.30E+02 | 1.07E+02 | |
| Median | 5.13E+02 | 1.88E+03 | 1.25E+03 | 1.85E+03 | 1.18E+03 | 2.02E+03 | 1.71E+03 | 1.19E+03 | 1.13E+03 | 1.77E+03 | 1.27E+03 | 1.31E+03 | 1.53E+03 | |
| Rank | 1 | 12 | 5 | 11 | 3 | 13 | 9 | 4 | 2 | 10 | 6 | 7 | 8 | |
| C17-F6 | Mean | 6.00E+02 | 6.98E+02 | 6.57E+02 | 6.97E+02 | 6.34E+02 | 7.02E+02 | 6.96E+02 | 6.69E+02 | 6.37E+02 | 6.75E+02 | 6.59E+02 | 6.57E+02 | 6.58E+02 |
| Best | 6.00E+02 | 6.96E+02 | 6.53E+02 | 6.92E+02 | 6.31E+02 | 6.91E+02 | 6.87E+02 | 6.63E+02 | 6.32E+02 | 6.67E+02 | 6.57E+02 | 6.50E+02 | 6.51E+02 | |
| Worst | 6.00E+02 | 7.01E+02 | 6.61E+02 | 6.99E+02 | 6.40E+02 | 7.10E+02 | 7.12E+02 | 6.75E+02 | 6.43E+02 | 6.80E+02 | 6.63E+02 | 6.62E+02 | 6.63E+02 | |
| Std | 0.00E+00 | 2.38E+00 | 3.45E+00 | 3.50E+00 | 4.91E+00 | 1.01E+01 | 1.22E+01 | 5.64E+00 | 4.95E+00 | 6.80E+00 | 3.03E+00 | 6.27E+00 | 6.55E+00 | |
| Median | 6.00E+02 | 6.98E+02 | 6.57E+02 | 6.98E+02 | 6.33E+02 | 7.04E+02 | 6.92E+02 | 6.69E+02 | 6.36E+02 | 6.77E+02 | 6.58E+02 | 6.57E+02 | 6.59E+02 | |
| Rank | 1 | 12 | 5 | 11 | 2 | 13 | 10 | 8 | 3 | 9 | 7 | 4 | 6 | |
| C17-F7 | Mean | 8.11E+02 | 3.39E+03 | 2.90E+03 | 3.50E+03 | 1.76E+03 | 3.23E+03 | 3.37E+03 | 1.91E+03 | 1.92E+03 | 2.92E+03 | 2.94E+03 | 2.34E+03 | 2.43E+03 |
| Best | 8.10E+02 | 3.31E+03 | 2.75E+03 | 3.41E+03 | 1.70E+03 | 3.06E+03 | 3.25E+03 | 1.76E+03 | 1.75E+03 | 2.78E+03 | 2.82E+03 | 2.10E+03 | 2.34E+03 | |
| Worst | 8.13E+02 | 3.49E+03 | 3.03E+03 | 3.57E+03 | 1.83E+03 | 3.39E+03 | 3.53E+03 | 2.02E+03 | 2.05E+03 | 3.03E+03 | 3.14E+03 | 2.45E+03 | 2.64E+03 | |
| Std | 1.59E+00 | 7.87E+01 | 1.48E+02 | 7.32E+01 | 6.10E+01 | 1.59E+02 | 1.38E+02 | 1.20E+02 | 1.39E+02 | 1.10E+02 | 1.53E+02 | 1.85E+02 | 1.50E+02 | |
| Median | 8.11E+02 | 3.39E+03 | 2.91E+03 | 3.51E+03 | 1.75E+03 | 3.24E+03 | 3.34E+03 | 1.93E+03 | 1.95E+03 | 2.93E+03 | 2.90E+03 | 2.41E+03 | 2.38E+03 | |
| Rank | 1 | 12 | 7 | 13 | 2 | 10 | 11 | 3 | 4 | 8 | 9 | 5 | 6 | |
| C17-F8 | Mean | 8.12E+02 | 2.29E+03 | 1.66E+03 | 2.34E+03 | 1.38E+03 | 2.27E+03 | 2.20E+03 | 1.40E+03 | 1.46E+03 | 2.14E+03 | 1.74E+03 | 1.63E+03 | 1.93E+03 |
| Best | 8.09E+02 | 2.24E+03 | 1.61E+03 | 2.32E+03 | 1.22E+03 | 2.21E+03 | 2.01E+03 | 1.26E+03 | 1.36E+03 | 2.08E+03 | 1.67E+03 | 1.59E+03 | 1.89E+03 | |
| Worst | 8.17E+02 | 2.35E+03 | 1.69E+03 | 2.36E+03 | 1.48E+03 | 2.35E+03 | 2.34E+03 | 1.57E+03 | 1.59E+03 | 2.19E+03 | 1.86E+03 | 1.72E+03 | 1.98E+03 | |
| Std | 3.70E+00 | 4.80E+01 | 3.89E+01 | 1.75E+01 | 1.23E+02 | 7.57E+01 | 1.83E+02 | 1.39E+02 | 1.12E+02 | 5.14E+01 | 9.59E+01 | 6.43E+01 | 4.44E+01 | |
| Median | 8.12E+02 | 2.29E+03 | 1.68E+03 | 2.35E+03 | 1.41E+03 | 2.26E+03 | 2.22E+03 | 1.39E+03 | 1.44E+03 | 2.14E+03 | 1.72E+03 | 1.61E+03 | 1.93E+03 | |
| Rank | 1 | 12 | 6 | 13 | 2 | 11 | 10 | 3 | 4 | 9 | 7 | 5 | 8 | |
| C17-F9 | Mean | 9.00E+02 | 8.26E+04 | 2.43E+04 | 7.08E+04 | 2.06E+04 | 1.10E+05 | 7.04E+04 | 5.43E+04 | 3.30E+04 | 6.82E+04 | 2.16E+04 | 3.01E+04 | 4.22E+04 |
| Best | 9.00E+02 | 7.37E+04 | 2.02E+04 | 6.85E+04 | 1.92E+04 | 9.05E+04 | 5.47E+04 | 4.58E+04 | 2.04E+04 | 6.53E+04 | 2.01E+04 | 2.55E+04 | 3.82E+04 | |
| Worst | 9.00E+02 | 9.54E+04 | 2.74E+04 | 7.27E+04 | 2.12E+04 | 1.38E+05 | 8.87E+04 | 6.17E+04 | 4.48E+04 | 6.98E+04 | 2.28E+04 | 3.36E+04 | 4.75E+04 | |
| Std | 1.01E-13 | 1.02E+04 | 3.23E+03 | 2.04E+03 | 1.04E+03 | 2.16E+04 | 1.84E+04 | 7.15E+03 | 1.30E+04 | 2.19E+03 | 1.21E+03 | 3.91E+03 | 4.25E+03 | |
| Median | 9.00E+02 | 8.06E+04 | 2.48E+04 | 7.10E+04 | 2.10E+04 | 1.07E+05 | 6.90E+04 | 5.48E+04 | 3.33E+04 | 6.89E+04 | 2.18E+04 | 3.08E+04 | 4.15E+04 | |
| Rank | 1 | 12 | 4 | 11 | 2 | 13 | 10 | 8 | 6 | 9 | 3 | 5 | 7 | |
| C17-F10 | Mean | 1.10E+04 | 2.88E+04 | 1.56E+04 | 3.00E+04 | 1.36E+04 | 2.80E+04 | 2.70E+04 | 1.65E+04 | 1.49E+04 | 3.01E+04 | 1.67E+04 | 1.66E+04 | 2.49E+04 |
| Best | 9.63E+03 | 2.86E+04 | 1.32E+04 | 2.92E+04 | 1.30E+04 | 2.73E+04 | 2.62E+04 | 1.59E+04 | 1.38E+04 | 2.88E+04 | 1.51E+04 | 1.49E+04 | 2.44E+04 | |
| Worst | 1.19E+04 | 2.91E+04 | 1.77E+04 | 3.05E+04 | 1.45E+04 | 2.89E+04 | 2.83E+04 | 1.71E+04 | 1.54E+04 | 3.11E+04 | 1.77E+04 | 1.77E+04 | 2.55E+04 | |
| Std | 1.05E+03 | 2.81E+02 | 2.17E+03 | 6.46E+02 | 6.78E+02 | 7.51E+02 | 1.04E+03 | 5.37E+02 | 8.17E+02 | 1.01E+03 | 1.31E+03 | 1.29E+03 | 4.78E+02 | |
| Median | 1.13E+04 | 2.88E+04 | 1.57E+04 | 3.02E+04 | 1.36E+04 | 2.79E+04 | 2.67E+04 | 1.65E+04 | 1.51E+04 | 3.02E+04 | 1.71E+04 | 1.68E+04 | 2.49E+04 | |
| Rank | 1 | 11 | 4 | 12 | 2 | 10 | 9 | 5 | 3 | 13 | 7 | 6 | 8 | |
| C17-F11 | Mean | 1.16E+03 | 1.53E+05 | 5.97E+04 | 1.92E+05 | 4.54E+03 | 6.09E+04 | 1.94E+05 | 4.35E+03 | 8.11E+04 | 6.68E+04 | 1.61E+05 | 4.85E+04 | 1.30E+05 |
| Best | 1.14E+03 | 1.19E+05 | 5.36E+04 | 1.47E+05 | 3.59E+03 | 2.78E+04 | 1.13E+05 | 3.79E+03 | 6.74E+04 | 5.64E+04 | 1.34E+05 | 2.21E+04 | 9.89E+04 | |
| Worst | 1.22E+03 | 1.78E+05 | 7.13E+04 | 2.74E+05 | 5.41E+03 | 8.70E+04 | 3.13E+05 | 4.61E+03 | 9.14E+04 | 8.52E+04 | 1.87E+05 | 9.90E+04 | 1.79E+05 | |
| Std | 4.25E+01 | 2.77E+04 | 8.90E+03 | 6.21E+04 | 8.54E+02 | 2.67E+04 | 1.01E+05 | 4.07E+02 | 1.12E+04 | 1.37E+04 | 2.41E+04 | 3.74E+04 | 3.80E+04 | |
| Median | 1.14E+03 | 1.58E+05 | 5.69E+04 | 1.74E+05 | 4.57E+03 | 6.43E+04 | 1.75E+05 | 4.50E+03 | 8.29E+04 | 6.29E+04 | 1.61E+05 | 3.64E+04 | 1.20E+05 | |
| Rank | 1 | 10 | 5 | 12 | 3 | 6 | 13 | 2 | 8 | 7 | 11 | 4 | 9 | |
| C17-F12 | Mean | 5.97E+03 | 9.81E+10 | 6.12E+08 | 1.60E+11 | 2.42E+08 | 5.29E+10 | 1.23E+10 | 3.09E+08 | 1.06E+10 | 2.04E+10 | 6.22E+10 | 9.39E+09 | 1.15E+10 |
| Best | 5.38E+03 | 6.97E+10 | 3.25E+08 | 1.19E+11 | 1.35E+08 | 2.71E+10 | 9.95E+09 | 1.96E+08 | 7.37E+09 | 1.60E+10 | 5.39E+10 | 1.22E+09 | 1.05E+10 | |
| Worst | 6.57E+03 | 1.09E+11 | 9.78E+08 | 1.86E+11 | 2.91E+08 | 8.77E+10 | 1.40E+10 | 4.86E+08 | 1.27E+10 | 2.81E+10 | 7.31E+10 | 1.79E+10 | 1.36E+10 | |
| Std | 5.38E+02 | 2.07E+10 | 3.06E+08 | 3.30E+10 | 7.84E+07 | 2.75E+10 | 1.86E+09 | 1.39E+08 | 2.48E+09 | 6.01E+09 | 8.70E+09 | 8.24E+09 | 1.54E+09 | |
| Median | 5.97E+03 | 1.07E+11 | 5.73E+08 | 1.67E+11 | 2.72E+08 | 4.83E+10 | 1.26E+10 | 2.77E+08 | 1.13E+10 | 1.87E+10 | 6.08E+10 | 9.24E+09 | 1.10E+10 | |
| Rank | 1 | 12 | 4 | 13 | 2 | 10 | 8 | 3 | 6 | 9 | 11 | 5 | 7 | |
| C17-F13 | Mean | 1.41E+03 | 2.59E+10 | 9.15E+04 | 3.97E+10 | 9.03E+04 | 1.99E+10 | 4.87E+08 | 3.30E+05 | 8.82E+08 | 2.62E+09 | 8.13E+09 | 1.64E+09 | 1.63E+08 |
| Best | 1.37E+03 | 2.26E+10 | 6.47E+04 | 3.07E+10 | 3.87E+04 | 1.41E+10 | 3.46E+08 | 2.91E+05 | 7.60E+07 | 1.81E+09 | 5.00E+09 | 1.81E+08 | 1.27E+08 | |
| Worst | 1.44E+03 | 2.87E+10 | 1.25E+05 | 4.50E+10 | 2.24E+05 | 2.38E+10 | 6.58E+08 | 3.84E+05 | 2.33E+09 | 3.17E+09 | 1.04E+10 | 2.97E+09 | 1.96E+08 | |
| Std | 3.78E+01 | 3.51E+09 | 2.77E+04 | 7.19E+09 | 9.76E+04 | 4.46E+09 | 1.75E+08 | 4.47E+04 | 1.13E+09 | 6.74E+08 | 2.48E+09 | 1.49E+09 | 3.85E+07 | |
| Median | 1.41E+03 | 2.62E+10 | 8.83E+04 | 4.16E+10 | 4.91E+04 | 2.08E+10 | 4.71E+08 | 3.22E+05 | 5.60E+08 | 2.75E+09 | 8.54E+09 | 1.71E+09 | 1.64E+08 | |
| Rank | 1 | 12 | 3 | 13 | 2 | 11 | 6 | 4 | 7 | 9 | 10 | 8 | 5 | |
| C17-F14 | Mean | 1.47E+03 | 4.23E+07 | 6.22E+06 | 7.43E+07 | 8.48E+04 | 8.29E+06 | 1.36E+07 | 2.83E+06 | 8.97E+06 | 1.30E+07 | 1.07E+07 | 7.60E+05 | 9.79E+06 |
| Best | 1.46E+03 | 3.66E+07 | 3.77E+06 | 6.77E+07 | 2.43E+04 | 3.77E+06 | 7.81E+06 | 8.54E+05 | 5.67E+06 | 9.66E+06 | 8.26E+06 | 3.61E+05 | 5.48E+06 | |
| Worst | 1.47E+03 | 4.84E+07 | 1.03E+07 | 8.13E+07 | 1.80E+05 | 1.62E+07 | 1.85E+07 | 3.89E+06 | 1.34E+07 | 1.66E+07 | 1.61E+07 | 1.58E+06 | 1.44E+07 | |
| Std | 6.58E+00 | 5.64E+06 | 3.14E+06 | 7.09E+06 | 7.59E+04 | 5.95E+06 | 4.80E+06 | 1.47E+06 | 3.71E+06 | 3.93E+06 | 3.93E+06 | 6.03E+05 | 4.05E+06 | |
| Median | 1.47E+03 | 4.22E+07 | 5.39E+06 | 7.40E+07 | 6.74E+04 | 6.61E+06 | 1.40E+07 | 3.28E+06 | 8.38E+06 | 1.28E+07 | 9.27E+06 | 5.50E+05 | 9.63E+06 | |
| Rank | 1 | 12 | 5 | 13 | 2 | 6 | 11 | 4 | 7 | 10 | 9 | 3 | 8 | |
| C17-F15 | Mean | 1.61E+03 | 1.44E+10 | 7.87E+04 | 2.19E+10 | 5.23E+04 | 1.12E+10 | 6.54E+07 | 1.18E+05 | 4.68E+08 | 1.11E+09 | 1.16E+09 | 3.11E+08 | 1.18E+07 |
| Best | 1.55E+03 | 1.33E+10 | 6.44E+04 | 1.57E+10 | 1.52E+04 | 2.33E+08 | 3.64E+07 | 8.08E+04 | 3.07E+07 | 3.71E+08 | 4.64E+08 | 5.74E+04 | 7.63E+06 | |
| Worst | 1.65E+03 | 1.61E+10 | 9.88E+04 | 2.73E+10 | 7.94E+04 | 2.11E+10 | 1.26E+08 | 1.74E+05 | 1.40E+09 | 2.37E+09 | 1.48E+09 | 1.23E+09 | 2.02E+07 | |
| Std | 4.80E+01 | 1.35E+09 | 1.79E+04 | 6.30E+09 | 2.95E+04 | 9.84E+09 | 4.43E+07 | 4.45E+04 | 6.90E+08 | 9.55E+08 | 5.12E+08 | 6.65E+08 | 6.19E+06 | |
| Median | 1.62E+03 | 1.40E+10 | 7.59E+04 | 2.24E+10 | 5.73E+04 | 1.18E+10 | 4.97E+07 | 1.09E+05 | 2.19E+08 | 8.50E+08 | 1.34E+09 | 8.05E+06 | 9.77E+06 | |
| Rank | 1 | 12 | 3 | 13 | 2 | 11 | 6 | 4 | 8 | 9 | 10 | 7 | 5 | |
| C17-F16 | Mean | 2.71E+03 | 1.79E+04 | 6.84E+03 | 2.13E+04 | 5.34E+03 | 1.38E+04 | 1.53E+04 | 6.34E+03 | 5.88E+03 | 1.09E+04 | 1.05E+04 | 6.24E+03 | 1.00E+04 |
| Best | 2.17E+03 | 1.66E+04 | 5.75E+03 | 1.68E+04 | 5.25E+03 | 1.14E+04 | 1.25E+04 | 5.63E+03 | 5.32E+03 | 1.04E+04 | 9.11E+03 | 5.99E+03 | 9.06E+03 | |
| Worst | 3.40E+03 | 1.84E+04 | 7.53E+03 | 2.38E+04 | 5.47E+03 | 1.65E+04 | 1.70E+04 | 6.81E+03 | 6.51E+03 | 1.19E+04 | 1.21E+04 | 6.44E+03 | 1.08E+04 | |
| Std | 5.55E+02 | 8.89E+02 | 8.41E+02 | 3.47E+03 | 1.07E+02 | 2.29E+03 | 2.17E+03 | 5.68E+02 | 6.74E+02 | 7.72E+02 | 1.47E+03 | 2.03E+02 | 8.46E+02 | |
| Median | 2.64E+03 | 1.82E+04 | 7.04E+03 | 2.23E+04 | 5.32E+03 | 1.36E+04 | 1.59E+04 | 6.46E+03 | 5.84E+03 | 1.07E+04 | 1.04E+04 | 6.26E+03 | 1.01E+04 | |
| Rank | 1 | 12 | 6 | 13 | 2 | 10 | 11 | 5 | 3 | 9 | 8 | 4 | 7 | |
| C17-F17 | Mean | 2.72E+03 | 3.94E+06 | 5.63E+03 | 7.75E+06 | 4.52E+03 | 2.04E+05 | 1.61E+04 | 4.82E+03 | 5.32E+03 | 8.34E+03 | 4.35E+04 | 5.87E+03 | 6.86E+03 |
| Best | 2.28E+03 | 1.15E+06 | 5.42E+03 | 2.10E+06 | 4.29E+03 | 9.70E+03 | 9.93E+03 | 4.39E+03 | 4.31E+03 | 8.21E+03 | 2.86E+04 | 5.62E+03 | 6.70E+03 | |
| Worst | 3.43E+03 | 8.96E+06 | 6.07E+03 | 1.78E+07 | 4.72E+03 | 5.43E+05 | 2.71E+04 | 5.14E+03 | 6.86E+03 | 8.51E+03 | 7.06E+04 | 6.09E+03 | 7.02E+03 | |
| Std | 5.60E+02 | 4.00E+06 | 3.31E+02 | 8.05E+06 | 2.31E+02 | 2.53E+05 | 8.42E+03 | 4.10E+02 | 1.23E+03 | 1.58E+02 | 2.02E+04 | 2.19E+02 | 1.46E+02 | |
| Median | 2.58E+03 | 2.82E+06 | 5.52E+03 | 5.53E+06 | 4.53E+03 | 1.33E+05 | 1.36E+04 | 4.87E+03 | 5.05E+03 | 8.32E+03 | 3.74E+04 | 5.88E+03 | 6.86E+03 | |
| Rank | 1 | 12 | 5 | 13 | 2 | 11 | 9 | 3 | 4 | 8 | 10 | 6 | 7 | |
| C17-F18 | Mean | 1.90E+03 | 5.45E+07 | 2.63E+06 | 9.62E+07 | 2.17E+05 | 1.39E+07 | 1.12E+07 | 4.58E+06 | 1.02E+07 | 1.51E+07 | 1.10E+07 | 6.01E+06 | 5.64E+06 |
| Best | 1.88E+03 | 2.47E+07 | 1.31E+06 | 3.73E+07 | 1.51E+05 | 5.21E+06 | 8.33E+06 | 3.39E+06 | 3.22E+06 | 1.11E+07 | 5.06E+06 | 3.71E+06 | 4.52E+06 | |
| Worst | 1.92E+03 | 9.86E+07 | 4.16E+06 | 1.76E+08 | 3.91E+05 | 2.84E+07 | 1.33E+07 | 7.70E+06 | 1.65E+07 | 2.14E+07 | 2.44E+07 | 8.66E+06 | 8.16E+06 | |
| Std | 2.11E+01 | 3.43E+07 | 1.40E+06 | 6.35E+07 | 1.26E+05 | 1.14E+07 | 2.45E+06 | 2.27E+06 | 5.96E+06 | 4.78E+06 | 9.92E+06 | 2.50E+06 | 1.86E+06 | |
| Median | 1.91E+03 | 4.74E+07 | 2.53E+06 | 8.58E+07 | 1.63E+05 | 1.10E+07 | 1.16E+07 | 3.62E+06 | 1.06E+07 | 1.40E+07 | 7.22E+06 | 5.83E+06 | 4.93E+06 | |
| Rank | 1 | 12 | 3 | 13 | 2 | 10 | 9 | 4 | 7 | 11 | 8 | 6 | 5 | |
| C17-F19 | Mean | 1.97E+03 | 1.19E+10 | 2.69E+06 | 2.09E+10 | 2.62E+05 | 4.72E+09 | 1.25E+08 | 1.55E+07 | 3.37E+08 | 6.25E+08 | 1.48E+09 | 2.52E+08 | 1.20E+07 |
| Best | 1.97E+03 | 1.05E+10 | 1.03E+06 | 1.53E+10 | 5.51E+04 | 2.09E+09 | 4.97E+07 | 9.07E+06 | 2.67E+06 | 2.71E+08 | 2.66E+08 | 4.19E+07 | 6.10E+06 | |
| Worst | 1.98E+03 | 1.40E+10 | 4.95E+06 | 2.60E+10 | 4.43E+05 | 9.37E+09 | 2.11E+08 | 2.47E+07 | 1.01E+09 | 1.44E+09 | 2.79E+09 | 5.45E+08 | 2.16E+07 | |
| Std | 4.94E+00 | 1.72E+09 | 1.80E+06 | 4.83E+09 | 1.75E+05 | 3.50E+09 | 8.13E+07 | 8.40E+06 | 5.13E+08 | 5.96E+08 | 1.37E+09 | 2.65E+08 | 7.49E+06 | |
| Median | 1.97E+03 | 1.15E+10 | 2.39E+06 | 2.11E+10 | 2.74E+05 | 3.70E+09 | 1.20E+08 | 1.42E+07 | 1.66E+08 | 3.96E+08 | 1.43E+09 | 2.10E+08 | 1.00E+07 | |
| Rank | 1 | 12 | 3 | 13 | 2 | 11 | 6 | 5 | 8 | 9 | 10 | 7 | 4 | |
| C17-F20 | Mean | 3.19E+03 | 7.03E+03 | 5.99E+03 | 7.27E+03 | 4.42E+03 | 6.79E+03 | 6.80E+03 | 5.65E+03 | 5.90E+03 | 7.00E+03 | 6.13E+03 | 5.24E+03 | 6.08E+03 |
| Best | 2.81E+03 | 6.84E+03 | 5.66E+03 | 7.16E+03 | 4.35E+03 | 6.19E+03 | 6.40E+03 | 5.36E+03 | 4.73E+03 | 6.22E+03 | 5.71E+03 | 4.54E+03 | 5.50E+03 | |
| Worst | 3.66E+03 | 7.22E+03 | 6.25E+03 | 7.36E+03 | 4.47E+03 | 7.53E+03 | 7.17E+03 | 6.15E+03 | 6.77E+03 | 7.32E+03 | 6.37E+03 | 6.07E+03 | 6.53E+03 | |
| Std | 4.78E+02 | 1.74E+02 | 3.09E+02 | 9.01E+01 | 5.49E+01 | 6.30E+02 | 3.68E+02 | 3.76E+02 | 1.10E+03 | 5.64E+02 | 3.19E+02 | 7.14E+02 | 5.37E+02 | |
| Median | 3.15E+03 | 7.04E+03 | 6.03E+03 | 7.28E+03 | 4.42E+03 | 6.72E+03 | 6.83E+03 | 5.55E+03 | 6.05E+03 | 7.22E+03 | 6.22E+03 | 5.18E+03 | 6.15E+03 | |
| Rank | 1 | 12 | 6 | 13 | 2 | 9 | 10 | 4 | 5 | 11 | 8 | 3 | 7 | |
| C17-F21 | Mean | 2.34E+03 | 4.16E+03 | 3.58E+03 | 4.27E+03 | 2.80E+03 | 4.00E+03 | 4.10E+03 | 3.18E+03 | 2.93E+03 | 3.62E+03 | 4.56E+03 | 3.50E+03 | 3.35E+03 |
| Best | 2.34E+03 | 4.11E+03 | 3.38E+03 | 4.20E+03 | 2.76E+03 | 3.87E+03 | 3.82E+03 | 3.11E+03 | 2.86E+03 | 3.46E+03 | 4.03E+03 | 3.32E+03 | 3.31E+03 | |
| Worst | 2.35E+03 | 4.22E+03 | 3.71E+03 | 4.33E+03 | 2.83E+03 | 4.09E+03 | 4.32E+03 | 3.30E+03 | 2.98E+03 | 3.79E+03 | 4.98E+03 | 3.83E+03 | 3.39E+03 | |
| Std | 3.66E+00 | 5.75E+01 | 1.54E+02 | 5.95E+01 | 3.45E+01 | 1.22E+02 | 2.44E+02 | 9.18E+01 | 5.94E+01 | 1.50E+02 | 4.27E+02 | 2.52E+02 | 3.79E+01 | |
| Median | 2.34E+03 | 4.15E+03 | 3.61E+03 | 4.28E+03 | 2.80E+03 | 4.02E+03 | 4.13E+03 | 3.15E+03 | 2.95E+03 | 3.61E+03 | 4.61E+03 | 3.42E+03 | 3.34E+03 | |
| Rank | 1 | 11 | 7 | 12 | 2 | 9 | 10 | 4 | 3 | 8 | 13 | 6 | 5 | |
| C17-F22 | Mean | 1.17E+04 | 3.04E+04 | 1.97E+04 | 3.20E+04 | 1.82E+04 | 2.95E+04 | 2.80E+04 | 1.69E+04 | 2.26E+04 | 3.19E+04 | 2.05E+04 | 2.13E+04 | 2.77E+04 |
| Best | 1.11E+04 | 2.96E+04 | 1.84E+04 | 3.17E+04 | 1.70E+04 | 2.84E+04 | 2.65E+04 | 1.60E+04 | 1.81E+04 | 3.09E+04 | 1.99E+04 | 1.99E+04 | 2.67E+04 | |
| Worst | 1.26E+04 | 3.09E+04 | 2.14E+04 | 3.26E+04 | 1.98E+04 | 3.06E+04 | 2.91E+04 | 1.76E+04 | 3.31E+04 | 3.24E+04 | 2.09E+04 | 2.28E+04 | 2.84E+04 | |
| Std | 7.10E+02 | 6.29E+02 | 1.49E+03 | 4.70E+02 | 1.29E+03 | 9.79E+02 | 1.26E+03 | 8.66E+02 | 7.72E+03 | 7.06E+02 | 5.13E+02 | 1.29E+03 | 9.16E+02 | |
| Median | 1.16E+04 | 3.06E+04 | 1.95E+04 | 3.19E+04 | 1.81E+04 | 2.95E+04 | 2.81E+04 | 1.71E+04 | 1.96E+04 | 3.21E+04 | 2.07E+04 | 2.12E+04 | 2.78E+04 | |
| Rank | 1 | 11 | 4 | 13 | 3 | 10 | 9 | 2 | 7 | 12 | 5 | 6 | 8 | |
| C17-F23 | Mean | 2.88E+03 | 5.19E+03 | 4.04E+03 | 5.19E+03 | 3.27E+03 | 5.30E+03 | 5.01E+03 | 3.45E+03 | 3.58E+03 | 4.13E+03 | 7.60E+03 | 4.75E+03 | 4.18E+03 |
| Best | 2.87E+03 | 4.95E+03 | 3.96E+03 | 4.94E+03 | 3.26E+03 | 4.58E+03 | 4.88E+03 | 3.36E+03 | 3.54E+03 | 4.08E+03 | 7.03E+03 | 4.26E+03 | 4.12E+03 | |
| Worst | 2.88E+03 | 5.47E+03 | 4.12E+03 | 5.39E+03 | 3.30E+03 | 6.28E+03 | 5.15E+03 | 3.56E+03 | 3.62E+03 | 4.21E+03 | 8.00E+03 | 5.01E+03 | 4.24E+03 | |
| Std | 5.67E+00 | 2.53E+02 | 8.09E+01 | 2.05E+02 | 2.19E+01 | 8.27E+02 | 1.42E+02 | 9.21E+01 | 3.71E+01 | 5.79E+01 | 4.75E+02 | 3.71E+02 | 7.40E+01 | |
| Median | 2.88E+03 | 5.17E+03 | 4.04E+03 | 5.22E+03 | 3.26E+03 | 5.18E+03 | 5.01E+03 | 3.44E+03 | 3.57E+03 | 4.12E+03 | 7.68E+03 | 4.87E+03 | 4.18E+03 | |
| Rank | 1 | 10 | 5 | 11 | 2 | 12 | 9 | 3 | 4 | 6 | 13 | 8 | 7 | |
| C17-F24 | Mean | 3.33E+03 | 8.25E+03 | 5.26E+03 | 1.01E+04 | 3.70E+03 | 6.49E+03 | 6.22E+03 | 3.93E+03 | 4.24E+03 | 4.68E+03 | 1.04E+04 | 5.82E+03 | 5.27E+03 |
| Best | 3.30E+03 | 6.47E+03 | 5.06E+03 | 6.83E+03 | 3.65E+03 | 6.03E+03 | 5.82E+03 | 3.87E+03 | 4.02E+03 | 4.45E+03 | 9.80E+03 | 5.46E+03 | 5.18E+03 | |
| Worst | 3.36E+03 | 9.47E+03 | 5.44E+03 | 1.23E+04 | 3.76E+03 | 6.80E+03 | 6.83E+03 | 4.04E+03 | 4.45E+03 | 4.90E+03 | 1.21E+04 | 6.28E+03 | 5.43E+03 | |
| Std | 3.22E+01 | 1.56E+03 | 1.84E+02 | 2.89E+03 | 5.64E+01 | 3.60E+02 | 4.80E+02 | 8.80E+01 | 2.42E+02 | 1.97E+02 | 1.19E+03 | 3.94E+02 | 1.22E+02 | |
| Median | 3.33E+03 | 8.54E+03 | 5.28E+03 | 1.07E+04 | 3.69E+03 | 6.57E+03 | 6.11E+03 | 3.92E+03 | 4.25E+03 | 4.68E+03 | 9.91E+03 | 5.77E+03 | 5.23E+03 | |
| Rank | 1 | 11 | 6 | 12 | 2 | 10 | 9 | 3 | 4 | 5 | 13 | 8 | 7 | |
| C17-F25 | Mean | 3.19E+03 | 1.46E+04 | 4.09E+03 | 2.04E+04 | 3.66E+03 | 1.01E+04 | 7.09E+03 | 3.40E+03 | 6.26E+03 | 8.60E+03 | 1.06E+04 | 4.09E+03 | 7.64E+03 |
| Best | 3.14E+03 | 1.39E+04 | 3.73E+03 | 1.89E+04 | 3.49E+03 | 9.46E+03 | 6.49E+03 | 3.33E+03 | 6.11E+03 | 7.43E+03 | 9.80E+03 | 3.83E+03 | 6.96E+03 | |
| Worst | 3.26E+03 | 1.63E+04 | 4.43E+03 | 2.36E+04 | 3.78E+03 | 1.05E+04 | 7.45E+03 | 3.46E+03 | 6.64E+03 | 1.02E+04 | 1.21E+04 | 4.50E+03 | 8.33E+03 | |
| Std | 6.52E+01 | 1.23E+03 | 3.13E+02 | 2.44E+03 | 1.32E+02 | 5.06E+02 | 4.70E+02 | 5.90E+01 | 2.79E+02 | 1.36E+03 | 1.09E+03 | 3.45E+02 | 7.74E+02 | |
| Median | 3.17E+03 | 1.41E+04 | 4.10E+03 | 1.95E+04 | 3.68E+03 | 1.02E+04 | 7.20E+03 | 3.40E+03 | 6.14E+03 | 8.41E+03 | 1.03E+04 | 4.02E+03 | 7.63E+03 | |
| Rank | 1 | 12 | 4 | 13 | 3 | 10 | 7 | 2 | 6 | 9 | 11 | 5 | 8 | |
| C17-F26 | Mean | 5.76E+03 | 3.77E+04 | 2.36E+04 | 4.33E+04 | 1.13E+04 | 3.18E+04 | 3.24E+04 | 1.15E+04 | 1.63E+04 | 2.29E+04 | 3.23E+04 | 1.99E+04 | 2.21E+04 |
| Best | 5.65E+03 | 3.72E+04 | 2.09E+04 | 4.09E+04 | 1.06E+04 | 3.06E+04 | 2.91E+04 | 1.02E+04 | 1.45E+04 | 1.88E+04 | 3.10E+04 | 1.79E+04 | 2.05E+04 | |
| Worst | 5.84E+03 | 3.82E+04 | 2.64E+04 | 4.48E+04 | 1.20E+04 | 3.26E+04 | 3.52E+04 | 1.38E+04 | 1.78E+04 | 2.81E+04 | 3.41E+04 | 2.18E+04 | 2.31E+04 | |
| Std | 9.13E+01 | 4.56E+02 | 2.55E+03 | 2.05E+03 | 7.54E+02 | 9.11E+02 | 3.30E+03 | 1.70E+03 | 1.52E+03 | 4.22E+03 | 1.40E+03 | 1.81E+03 | 1.21E+03 | |
| Median | 5.77E+03 | 3.77E+04 | 2.36E+04 | 4.38E+04 | 1.13E+04 | 3.21E+04 | 3.27E+04 | 1.10E+04 | 1.64E+04 | 2.23E+04 | 3.21E+04 | 2.00E+04 | 2.23E+04 | |
| Rank | 1 | 12 | 8 | 13 | 2 | 9 | 11 | 3 | 4 | 7 | 10 | 5 | 6 | |
| C17-F27 | Mean | 3.31E+03 | 9.02E+03 | 4.12E+03 | 1.18E+04 | 3.52E+03 | 6.44E+03 | 5.87E+03 | 3.61E+03 | 4.04E+03 | 4.28E+03 | 1.35E+04 | 4.04E+03 | 5.38E+03 |
| Best | 3.28E+03 | 7.62E+03 | 3.96E+03 | 8.89E+03 | 3.49E+03 | 6.15E+03 | 5.20E+03 | 3.57E+03 | 3.88E+03 | 4.01E+03 | 1.32E+04 | 3.84E+03 | 5.13E+03 | |
| Worst | 3.34E+03 | 1.04E+04 | 4.39E+03 | 1.49E+04 | 3.56E+03 | 6.80E+03 | 6.62E+03 | 3.70E+03 | 4.17E+03 | 4.72E+03 | 1.38E+04 | 4.23E+03 | 5.75E+03 | |
| Std | 3.09E+01 | 1.67E+03 | 2.06E+02 | 3.51E+03 | 3.07E+01 | 3.03E+02 | 8.31E+02 | 6.76E+01 | 1.56E+02 | 3.40E+02 | 2.90E+02 | 2.33E+02 | 2.91E+02 | |
| Median | 3.31E+03 | 9.02E+03 | 4.07E+03 | 1.18E+04 | 3.53E+03 | 6.40E+03 | 5.83E+03 | 3.58E+03 | 4.06E+03 | 4.19E+03 | 1.35E+04 | 4.04E+03 | 5.31E+03 | |
| Rank | 1 | 11 | 6 | 12 | 2 | 10 | 9 | 3 | 5 | 7 | 13 | 4 | 8 | |
| C17-F28 | Mean | 3.32E+03 | 2.00E+04 | 4.64E+03 | 2.70E+04 | 3.75E+03 | 1.51E+04 | 1.00E+04 | 3.45E+03 | 8.97E+03 | 1.08E+04 | 1.80E+04 | 7.43E+03 | 1.11E+04 |
| Best | 3.32E+03 | 1.86E+04 | 4.35E+03 | 2.42E+04 | 3.63E+03 | 1.19E+04 | 8.58E+03 | 3.37E+03 | 7.62E+03 | 8.45E+03 | 1.56E+04 | 5.08E+03 | 1.01E+04 | |
| Worst | 3.33E+03 | 2.26E+04 | 4.85E+03 | 3.05E+04 | 3.83E+03 | 1.75E+04 | 1.10E+04 | 3.53E+03 | 1.09E+04 | 1.28E+04 | 1.99E+04 | 1.14E+04 | 1.22E+04 | |
| Std | 4.77E+00 | 1.93E+03 | 2.31E+02 | 2.87E+03 | 9.29E+01 | 2.95E+03 | 1.10E+03 | 7.10E+01 | 1.51E+03 | 2.22E+03 | 1.96E+03 | 3.13E+03 | 1.20E+03 | |
| Median | 3.32E+03 | 1.94E+04 | 4.68E+03 | 2.66E+04 | 3.77E+03 | 1.55E+04 | 1.03E+04 | 3.45E+03 | 8.68E+03 | 1.09E+04 | 1.83E+04 | 6.61E+03 | 1.10E+04 | |
| Rank | 1 | 12 | 4 | 13 | 3 | 10 | 7 | 2 | 6 | 8 | 11 | 5 | 9 | |
| C17-F29 | Mean | 4.45E+03 | 1.74E+05 | 9.35E+03 | 3.31E+05 | 6.75E+03 | 1.77E+04 | 1.59E+04 | 8.46E+03 | 8.10E+03 | 1.20E+04 | 2.39E+04 | 8.42E+03 | 1.14E+04 |
| Best | 4.17E+03 | 9.93E+04 | 8.13E+03 | 1.78E+05 | 5.96E+03 | 1.36E+04 | 1.33E+04 | 7.58E+03 | 7.92E+03 | 1.12E+04 | 1.97E+04 | 7.79E+03 | 1.12E+04 | |
| Worst | 4.83E+03 | 2.38E+05 | 1.01E+04 | 4.60E+05 | 7.49E+03 | 2.24E+04 | 1.82E+04 | 9.07E+03 | 8.39E+03 | 1.26E+04 | 3.12E+04 | 9.27E+03 | 1.19E+04 | |
| Std | 3.07E+02 | 6.41E+04 | 9.19E+02 | 1.31E+05 | 6.82E+02 | 3.97E+03 | 2.63E+03 | 7.04E+02 | 2.26E+02 | 6.49E+02 | 5.83E+03 | 7.60E+02 | 3.29E+02 | |
| Median | 4.40E+03 | 1.80E+05 | 9.60E+03 | 3.44E+05 | 6.78E+03 | 1.74E+04 | 1.61E+04 | 8.59E+03 | 8.04E+03 | 1.21E+04 | 2.22E+04 | 8.31E+03 | 1.13E+04 | |
| Rank | 1 | 12 | 6 | 13 | 2 | 10 | 9 | 5 | 3 | 8 | 11 | 4 | 7 | |
| C17-F30 | Mean | 5.41E+03 | 2.19E+10 | 2.62E+07 | 3.57E+10 | 4.44E+06 | 1.27E+10 | 1.42E+09 | 9.73E+07 | 1.74E+09 | 3.58E+09 | 6.95E+09 | 5.72E+08 | 6.29E+08 |
| Best | 5.34E+03 | 1.92E+10 | 1.49E+07 | 3.33E+10 | 1.98E+06 | 7.71E+09 | 1.16E+09 | 5.99E+07 | 7.13E+08 | 1.35E+09 | 4.96E+09 | 1.39E+08 | 5.25E+08 | |
| Worst | 5.56E+03 | 2.38E+10 | 4.61E+07 | 3.86E+10 | 7.25E+06 | 1.57E+10 | 1.92E+09 | 1.20E+08 | 2.27E+09 | 6.64E+09 | 8.41E+09 | 1.77E+09 | 6.75E+08 | |
| Std | 1.10E+02 | 2.10E+09 | 1.52E+07 | 2.45E+09 | 2.65E+06 | 3.80E+09 | 3.73E+08 | 2.90E+07 | 7.62E+08 | 2.89E+09 | 1.59E+09 | 8.72E+08 | 7.63E+07 | |
| Median | 5.37E+03 | 2.23E+10 | 2.19E+07 | 3.54E+10 | 4.27E+06 | 1.36E+10 | 1.30E+09 | 1.05E+08 | 1.98E+09 | 3.17E+09 | 7.21E+09 | 1.88E+08 | 6.59E+08 | |
| Rank | 1 | 12 | 3 | 13 | 2 | 11 | 7 | 4 | 8 | 9 | 10 | 5 | 6 | |
| Sum rank | 29 | 336 | 140 | 355 | 65 | 293 | 265 | 114 | 156 | 249 | 272 | 162 | 203 | |
| Mean rank | 1.00E+00 | 1.16E+01 | 4.83E+00 | 1.22E+01 | 2.24E+00 | 1.01E+01 | 9.14E+00 | 3.93E+00 | 5.38E+00 | 8.59E+00 | 9.38E+00 | 5.59E+00 | 7.00E+00 | |
| Total rank | 1 | 12 | 4 | 13 | 2 | 11 | 9 | 3 | 5 | 8 | 10 | 6 | 7 | |
| Compared Algorithm | Objective Function Type | |||
|---|---|---|---|---|
| CEC 2017 | ||||
| D = 10 | D = 30 | D = 50 | D = 100 | |
| LOA vs. WSO | 1.73E-21 | 1.73E-21 | 1.73E-21 | 1.73E-21 |
| LOA vs. AVOA | 3.32E-19 | 2.66E-21 | 1.73E-21 | 1.73E-21 |
| LOA vs. RSA | 1.73E-21 | 1.73E-21 | 1.73E-21 | 1.73E-21 |
| LOA vs. MPA | 1.76E-18 | 1.37E-16 | 5.83E-18 | 1.73E-21 |
| LOA vs. TSA | 8.36E-21 | 1.73E-21 | 1.73E-21 | 1.73E-21 |
| LOA vs. WOA | 8.36E-21 | 1.73E-21 | 1.73E-21 | 1.73E-21 |
| LOA vs. MVO | 7.95E-19 | 1.87E-21 | 1.73E-21 | 1.73E-21 |
| LOA vs. GWO | 4.60E-21 | 1.73E-21 | 1.73E-21 | 1.73E-21 |
| LOA vs. TLBO | 3.25E-21 | 1.73E-21 | 1.73E-21 | 1.73E-21 |
| LOA vs. GSA | 1.41E-18 | 1.78E-21 | 1.73E-21 | 1.73E-21 |
| LOA vs. PSO | 1.36E-19 | 2.07E-21 | 1.73E-21 | 1.73E-21 |
| LOA vs. GA | 2.38E-19 | 1.73E-21 | 1.73E-21 | 1.73E-21 |
| LOA | WSO | AVOA | RSA | MPA | TSA | WOA | MVO | GWO | TLBO | GSA | PSO | GA | ||
|---|---|---|---|---|---|---|---|---|---|---|---|---|---|---|
| C11-F1 | Mean | 5.92E+00 | 1.77E+01 | 1.30E+01 | 2.20E+01 | 7.57E+00 | 1.85E+01 | 1.33E+01 | 1.40E+01 | 1.09E+01 | 1.85E+01 | 2.17E+01 | 1.80E+01 | 2.34E+01 |
| Best | 2.00E-10 | 1.54E+01 | 8.87E+00 | 2.02E+01 | 3.72E-01 | 1.76E+01 | 8.24E+00 | 1.17E+01 | 1.12E+00 | 1.71E+01 | 1.96E+01 | 1.05E+01 | 2.23E+01 | |
| Worst | 1.23E+01 | 2.06E+01 | 1.69E+01 | 2.45E+01 | 1.27E+01 | 1.99E+01 | 1.74E+01 | 1.61E+01 | 1.74E+01 | 2.00E+01 | 2.33E+01 | 2.43E+01 | 2.56E+01 | |
| Std | 7.20E+00 | 2.70E+00 | 4.69E+00 | 2.24E+00 | 5.95E+00 | 1.09E+00 | 4.44E+00 | 2.33E+00 | 7.31E+00 | 1.25E+00 | 1.61E+00 | 6.72E+00 | 1.56E+00 | |
| Median | 5.69E+00 | 1.75E+01 | 1.31E+01 | 2.17E+01 | 8.62E+00 | 1.82E+01 | 1.38E+01 | 1.42E+01 | 1.25E+01 | 1.85E+01 | 2.20E+01 | 1.86E+01 | 2.29E+01 | |
| Rank | 1 | 7 | 4 | 12 | 2 | 9 | 5 | 6 | 3 | 10 | 11 | 8 | 13 | |
| C11-F2 | Mean | −2.63E+01 | −1.45E+01 | −2.11E+01 | −1.17E+01 | −2.51E+01 | −1.14E+01 | −1.87E+01 | −8.93E+00 | −2.27E+01 | −1.10E+01 | −1.56E+01 | −2.27E+01 | −1.30E+01 |
| Best | −2.71E+01 | −1.58E+01 | −2.16E+01 | −1.21E+01 | −2.57E+01 | −1.51E+01 | −2.21E+01 | −1.09E+01 | −2.47E+01 | −1.22E+01 | −2.07E+01 | −2.41E+01 | −1.53E+01 | |
| Worst | −2.54E+01 | −1.33E+01 | −2.04E+01 | −1.12E+01 | −2.38E+01 | −9.23E+00 | −1.47E+01 | −7.41E+00 | −1.91E+01 | −9.95E+00 | −1.16E+01 | −2.04E+01 | −1.14E+01 | |
| Std | 7.39E-01 | 1.34E+00 | 5.79E-01 | 5.04E-01 | 9.52E-01 | 2.91E+00 | 3.97E+00 | 1.62E+00 | 2.62E+00 | 9.84E-01 | 4.33E+00 | 1.69E+00 | 1.96E+00 | |
| Median | −2.64E+01 | −1.44E+01 | −2.12E+01 | −1.17E+01 | −2.54E+01 | −1.06E+01 | −1.90E+01 | −8.68E+00 | −2.34E+01 | −1.09E+01 | −1.51E+01 | −2.32E+01 | −1.27E+01 | |
| Rank | 1 | 8 | 5 | 10 | 2 | 11 | 6 | 13 | 4 | 12 | 7 | 3 | 9 | |
| C11-F4 | Mean | 1.15E-05 | 1.15E-05 | 1.15E-05 | 1.15E-05 | 1.15E-05 | 1.15E-05 | 1.15E-05 | 1.15E-05 | 1.15E-05 | 1.15E-05 | 1.15E-05 | 1.15E-05 | 1.15E-05 |
| Best | 1.15E-05 | 1.15E-05 | 1.15E-05 | 1.15E-05 | 1.15E-05 | 1.15E-05 | 1.15E-05 | 1.15E-05 | 1.15E-05 | 1.15E-05 | 1.15E-05 | 1.15E-05 | 1.15E-05 | |
| Worst | 1.15E-05 | 1.15E-05 | 1.15E-05 | 1.15E-05 | 1.15E-05 | 1.15E-05 | 1.15E-05 | 1.15E-05 | 1.15E-05 | 1.15E-05 | 1.15E-05 | 1.15E-05 | 1.15E-05 | |
| Std | 2.00E-19 | 2.18E-11 | 2.49E-09 | 4.89E-11 | 1.22E-15 | 2.34E-14 | 5.97E-19 | 9.76E-13 | 3.65E-15 | 7.68E-14 | 1.96E-19 | 6.05E-20 | 2.70E-18 | |
| Median | 1.15E-05 | 1.15E-05 | 1.15E-05 | 1.15E-05 | 1.15E-05 | 1.15E-05 | 1.15E-05 | 1.15E-05 | 1.15E-05 | 1.15E-05 | 1.15E-05 | 1.15E-05 | 1.15E-05 | |
| Rank | 1 | 11 | 13 | 12 | 6 | 8 | 4 | 10 | 7 | 9 | 3 | 2 | 5 | |
| C11-F4 | Mean | 0.00E+00 | 0.00E+00 | 0.00E+00 | 0.00E+00 | 0.00E+00 | 0.00E+00 | 0.00E+00 | 0.00E+00 | 0.00E+00 | 0.00E+00 | 0.00E+00 | 0.00E+00 | 0.00E+00 |
| Best | 0.00E+00 | 0.00E+00 | 0.00E+00 | 0.00E+00 | 0.00E+00 | 0.00E+00 | 0.00E+00 | 0.00E+00 | 0.00E+00 | 0.00E+00 | 0.00E+00 | 0.00E+00 | 0.00E+00 | |
| Worst | 0.00E+00 | 0.00E+00 | 0.00E+00 | 0.00E+00 | 0.00E+00 | 0.00E+00 | 0.00E+00 | 0.00E+00 | 0.00E+00 | 0.00E+00 | 0.00E+00 | 0.00E+00 | 0.00E+00 | |
| Std | 0.00E+00 | 0.00E+00 | 0.00E+00 | 0.00E+00 | 0.00E+00 | 0.00E+00 | 0.00E+00 | 0.00E+00 | 0.00E+00 | 0.00E+00 | 0.00E+00 | 0.00E+00 | 0.00E+00 | |
| Median | 0.00E+00 | 0.00E+00 | 0.00E+00 | 0.00E+00 | 0.00E+00 | 0.00E+00 | 0.00E+00 | 0.00E+00 | 0.00E+00 | 0.00E+00 | 0.00E+00 | 0.00E+00 | 0.00E+00 | |
| Rank | 1 | 1 | 1 | 1 | 1 | 1 | 1 | 1 | 1 | 1 | 1 | 1 | 1 | |
| C11-F5 | Mean | −3.41E+01 | −2.50E+01 | −2.82E+01 | −2.02E+01 | −3.33E+01 | −2.72E+01 | −2.77E+01 | −2.71E+01 | −3.16E+01 | −1.11E+01 | −2.75E+01 | −8.97E+00 | −9.82E+00 |
| Best | −3.47E+01 | −2.61E+01 | −2.93E+01 | −2.23E+01 | −3.39E+01 | −3.16E+01 | −2.79E+01 | −3.18E+01 | −3.42E+01 | −1.32E+01 | −3.16E+01 | −1.25E+01 | −1.12E+01 | |
| Worst | −3.34E+01 | −2.40E+01 | −2.78E+01 | −1.79E+01 | −3.20E+01 | −2.20E+01 | −2.73E+01 | −2.47E+01 | −2.77E+01 | −9.51E+00 | −2.43E+01 | −7.28E+00 | −8.18E+00 | |
| Std | 5.90E-01 | 9.31E-01 | 7.64E-01 | 2.48E+00 | 9.20E-01 | 4.15E+00 | 2.88E-01 | 3.48E+00 | 2.93E+00 | 1.65E+00 | 3.33E+00 | 2.58E+00 | 1.42E+00 | |
| Median | −3.42E+01 | −2.48E+01 | −2.79E+01 | −2.03E+01 | −3.36E+01 | −2.77E+01 | −2.79E+01 | −2.60E+01 | −3.23E+01 | −1.09E+01 | −2.70E+01 | −8.06E+00 | −9.93E+00 | |
| Rank | 1 | 9 | 4 | 10 | 2 | 7 | 5 | 8 | 3 | 11 | 6 | 13 | 12 | |
| C11-F6 | Mean | −2.41E+01 | −1.42E+01 | −1.91E+01 | −1.32E+01 | −2.26E+01 | −7.80E+00 | −2.00E+01 | −9.74E+00 | −1.97E+01 | −2.63E+00 | −2.19E+01 | −3.48E+00 | −4.38E+00 |
| Best | −2.74E+01 | −1.47E+01 | −2.06E+01 | −1.38E+01 | −2.58E+01 | −1.66E+01 | −2.30E+01 | −1.75E+01 | −2.25E+01 | −2.99E+00 | −2.66E+01 | −6.41E+00 | −9.51E+00 | |
| Worst | −2.30E+01 | −1.39E+01 | −1.73E+01 | −1.22E+01 | −2.14E+01 | −4.56E+00 | −1.31E+01 | −2.51E+00 | −1.81E+01 | −2.51E+00 | −1.80E+01 | −2.51E+00 | −2.51E+00 | |
| Std | 2.32E+00 | 3.90E-01 | 1.55E+00 | 8.01E-01 | 2.23E+00 | 6.21E+00 | 4.93E+00 | 8.52E+00 | 2.22E+00 | 2.54E-01 | 3.90E+00 | 2.05E+00 | 3.60E+00 | |
| Median | −2.30E+01 | −1.40E+01 | −1.93E+01 | −1.34E+01 | −2.17E+01 | −5.00E+00 | −2.20E+01 | −9.47E+00 | −1.91E+01 | −2.51E+00 | −2.16E+01 | −2.51E+00 | −2.75E+00 | |
| Rank | 1 | 7 | 6 | 8 | 2 | 10 | 4 | 9 | 5 | 13 | 3 | 12 | 11 | |
| C11-F7 | Mean | 8.61E-01 | 1.59E+00 | 1.28E+00 | 1.90E+00 | 9.28E-01 | 1.29E+00 | 1.73E+00 | 8.81E-01 | 1.06E+00 | 1.70E+00 | 1.08E+00 | 1.12E+00 | 1.72E+00 |
| Best | 5.82E-01 | 1.53E+00 | 1.14E+00 | 1.66E+00 | 7.54E-01 | 1.12E+00 | 1.61E+00 | 8.21E-01 | 8.19E-01 | 1.52E+00 | 8.78E-01 | 8.35E-01 | 1.33E+00 | |
| Worst | 1.03E+00 | 1.70E+00 | 1.42E+00 | 2.08E+00 | 1.01E+00 | 1.65E+00 | 1.90E+00 | 9.53E-01 | 1.28E+00 | 1.84E+00 | 1.27E+00 | 1.36E+00 | 1.93E+00 | |
| Std | 2.12E-01 | 8.30E-02 | 1.62E-01 | 1.83E-01 | 1.25E-01 | 2.56E-01 | 1.29E-01 | 6.69E-02 | 2.01E-01 | 1.50E-01 | 1.86E-01 | 2.80E-01 | 2.82E-01 | |
| Median | 9.18E-01 | 1.57E+00 | 1.27E+00 | 1.92E+00 | 9.74E-01 | 1.20E+00 | 1.70E+00 | 8.74E-01 | 1.08E+00 | 1.72E+00 | 1.08E+00 | 1.14E+00 | 1.82E+00 | |
| Rank | 1 | 9 | 7 | 13 | 3 | 8 | 12 | 2 | 4 | 10 | 5 | 6 | 11 | |
| C11-F8 | Mean | 2.20E+02 | 2.84E+02 | 2.40E+02 | 3.24E+02 | 2.22E+02 | 2.57E+02 | 2.65E+02 | 2.24E+02 | 2.27E+02 | 2.24E+02 | 2.46E+02 | 4.65E+02 | 2.22E+02 |
| Best | 2.20E+02 | 2.58E+02 | 2.24E+02 | 2.83E+02 | 2.20E+02 | 2.20E+02 | 2.45E+02 | 2.20E+02 | 2.20E+02 | 2.20E+02 | 2.20E+02 | 2.48E+02 | 2.20E+02 | |
| Worst | 2.20E+02 | 3.18E+02 | 2.57E+02 | 3.68E+02 | 2.25E+02 | 3.52E+02 | 3.11E+02 | 2.36E+02 | 2.34E+02 | 2.36E+02 | 2.92E+02 | 5.64E+02 | 2.30E+02 | |
| Std | 0.00E+00 | 2.77E+01 | 1.50E+01 | 3.63E+01 | 2.92E+00 | 6.74E+01 | 3.20E+01 | 8.43E+00 | 8.76E+00 | 8.43E+00 | 3.60E+01 | 1.58E+02 | 5.15E+00 | |
| Median | 2.20E+02 | 2.80E+02 | 2.40E+02 | 3.22E+02 | 2.22E+02 | 2.27E+02 | 2.53E+02 | 2.20E+02 | 2.27E+02 | 2.20E+02 | 2.36E+02 | 5.25E+02 | 2.20E+02 | |
| Rank | 1 | 10 | 6 | 11 | 2 | 8 | 9 | 4 | 5 | 4 | 7 | 12 | 3 | |
| C11-F9 | Mean | 8.79E+03 | 5.49E+05 | 3.73E+05 | 1.05E+06 | 2.00E+04 | 6.53E+04 | 3.69E+05 | 1.31E+05 | 4.25E+04 | 4.02E+05 | 8.11E+05 | 1.07E+06 | 1.91E+06 |
| Best | 5.46E+03 | 3.67E+05 | 3.29E+05 | 6.83E+05 | 1.10E+04 | 4.69E+04 | 2.04E+05 | 7.45E+04 | 1.83E+04 | 3.33E+05 | 6.94E+05 | 8.55E+05 | 1.83E+06 | |
| Worst | 1.40E+04 | 6.30E+05 | 4.01E+05 | 1.23E+06 | 2.83E+04 | 8.29E+04 | 6.25E+05 | 1.99E+05 | 7.41E+04 | 5.16E+05 | 8.73E+05 | 1.31E+06 | 2.02E+06 | |
| Std | 3.89E+03 | 1.31E+05 | 3.30E+04 | 2.59E+05 | 8.11E+03 | 1.61E+04 | 2.02E+05 | 5.40E+04 | 2.48E+04 | 8.49E+04 | 8.36E+04 | 2.53E+05 | 9.91E+04 | |
| Median | 7.83E+03 | 5.99E+05 | 3.80E+05 | 1.14E+06 | 2.04E+04 | 6.58E+04 | 3.23E+05 | 1.26E+05 | 3.88E+04 | 3.80E+05 | 8.38E+05 | 1.05E+06 | 1.90E+06 | |
| Rank | 1 | 9 | 7 | 11 | 2 | 4 | 6 | 5 | 3 | 8 | 10 | 12 | 13 | |
| C11-F10 | Mean | −2.15E+01 | −1.41E+01 | −1.70E+01 | −1.24E+01 | −1.91E+01 | −1.45E+01 | −1.30E+01 | −1.48E+01 | −1.42E+01 | −1.15E+01 | −1.33E+01 | −1.16E+01 | −1.13E+01 |
| Best | −2.18E+01 | −1.53E+01 | −1.72E+01 | −1.28E+01 | −1.95E+01 | −1.89E+01 | −1.37E+01 | −2.12E+01 | −1.47E+01 | −1.16E+01 | −1.38E+01 | −1.16E+01 | −1.13E+01 | |
| Worst | −2.08E+01 | −1.35E+01 | −1.66E+01 | −1.22E+01 | −1.87E+01 | −1.22E+01 | −1.25E+01 | −1.16E+01 | −1.31E+01 | −1.14E+01 | −1.25E+01 | −1.15E+01 | −1.12E+01 | |
| Std | 4.99E-01 | 8.54E-01 | 2.81E-01 | 2.99E-01 | 4.20E-01 | 3.18E+00 | 4.91E-01 | 4.54E+00 | 8.09E-01 | 9.21E-02 | 6.57E-01 | 4.73E-02 | 6.46E-02 | |
| Median | −2.17E+01 | −1.38E+01 | −1.71E+01 | −1.24E+01 | −1.91E+01 | −1.35E+01 | −1.29E+01 | −1.32E+01 | −1.46E+01 | −1.15E+01 | −1.34E+01 | −1.16E+01 | −1.13E+01 | |
| Rank | 1 | 7 | 3 | 10 | 2 | 5 | 9 | 4 | 6 | 12 | 8 | 11 | 13 | |
| C11-F11 | Mean | 5.72E+05 | 5.71E+06 | 9.84E+05 | 8.72E+06 | 1.64E+06 | 5.85E+06 | 1.20E+06 | 1.30E+06 | 3.78E+06 | 5.13E+06 | 1.40E+06 | 5.14E+06 | 6.03E+06 |
| Best | 2.61E+05 | 5.45E+06 | 7.64E+05 | 8.42E+06 | 1.53E+06 | 4.87E+06 | 1.09E+06 | 6.14E+05 | 3.59E+06 | 5.10E+06 | 1.25E+06 | 5.12E+06 | 5.98E+06 | |
| Worst | 8.29E+05 | 6.08E+06 | 1.17E+06 | 8.91E+06 | 1.78E+06 | 7.08E+06 | 1.37E+06 | 2.69E+06 | 4.12E+06 | 5.16E+06 | 1.57E+06 | 5.17E+06 | 6.10E+06 | |
| Std | 2.61E+05 | 3.09E+05 | 1.84E+05 | 2.19E+05 | 1.28E+05 | 9.57E+05 | 1.23E+05 | 9.93E+05 | 2.50E+05 | 2.85E+04 | 1.39E+05 | 2.58E+04 | 5.31E+04 | |
| Median | 5.99E+05 | 5.67E+06 | 1.00E+06 | 8.77E+06 | 1.63E+06 | 5.73E+06 | 1.18E+06 | 9.37E+05 | 3.70E+06 | 5.13E+06 | 1.38E+06 | 5.14E+06 | 6.02E+06 | |
| Rank | 1 | 10 | 2 | 13 | 6 | 11 | 3 | 4 | 7 | 8 | 5 | 9 | 12 | |
| C11-F12 | Mean | 1.20E+06 | 8.27E+06 | 3.34E+06 | 1.30E+07 | 1.27E+06 | 4.96E+06 | 5.74E+06 | 1.33E+06 | 1.42E+06 | 1.41E+07 | 5.71E+06 | 2.29E+06 | 1.43E+07 |
| Best | 1.16E+06 | 7.93E+06 | 3.24E+06 | 1.21E+07 | 1.20E+06 | 4.70E+06 | 5.33E+06 | 1.18E+06 | 1.26E+06 | 1.33E+07 | 5.43E+06 | 2.13E+06 | 1.41E+07 | |
| Worst | 1.25E+06 | 8.57E+06 | 3.41E+06 | 1.38E+07 | 1.35E+06 | 5.10E+06 | 5.94E+06 | 1.47E+06 | 1.56E+06 | 1.47E+07 | 5.92E+06 | 2.50E+06 | 1.44E+07 | |
| Std | 4.72E+04 | 2.81E+05 | 7.77E+04 | 7.51E+05 | 7.08E+04 | 1.97E+05 | 2.98E+05 | 1.24E+05 | 1.30E+05 | 6.47E+05 | 2.21E+05 | 1.61E+05 | 1.10E+05 | |
| Median | 1.20E+06 | 8.29E+06 | 3.36E+06 | 1.31E+07 | 1.27E+06 | 5.03E+06 | 5.84E+06 | 1.33E+06 | 1.43E+06 | 1.42E+07 | 5.75E+06 | 2.28E+06 | 1.43E+07 | |
| Rank | 1 | 10 | 6 | 11 | 2 | 7 | 9 | 3 | 4 | 12 | 8 | 5 | 13 | |
| C11-F13 | Mean | 1.54E+04 | 1.59E+04 | 1.54E+04 | 1.63E+04 | 1.55E+04 | 1.55E+04 | 1.55E+04 | 1.55E+04 | 1.55E+04 | 1.59E+04 | 1.26E+05 | 1.55E+04 | 2.98E+04 |
| Best | 1.54E+04 | 1.57E+04 | 1.54E+04 | 1.59E+04 | 1.55E+04 | 1.55E+04 | 1.55E+04 | 1.55E+04 | 1.55E+04 | 1.56E+04 | 9.15E+04 | 1.55E+04 | 1.55E+04 | |
| Worst | 1.54E+04 | 1.63E+04 | 1.54E+04 | 1.73E+04 | 1.55E+04 | 1.55E+04 | 1.56E+04 | 1.55E+04 | 1.55E+04 | 1.65E+04 | 1.74E+05 | 1.55E+04 | 7.23E+04 | |
| Std | 9.09E-03 | 3.13E+02 | 9.16E-01 | 7.18E+02 | 2.89E+00 | 1.15E+01 | 4.93E+01 | 2.82E+01 | 8.66E+00 | 4.07E+02 | 3.90E+04 | 2.54E+01 | 2.98E+04 | |
| Median | 1.54E+04 | 1.57E+04 | 1.54E+04 | 1.60E+04 | 1.55E+04 | 1.55E+04 | 1.55E+04 | 1.55E+04 | 1.55E+04 | 1.58E+04 | 1.20E+05 | 1.55E+04 | 1.56E+04 | |
| Rank | 1 | 9 | 2 | 11 | 3 | 4 | 8 | 7 | 6 | 10 | 13 | 5 | 12 | |
| C11-F14 | Mean | 1.83E+04 | 1.11E+05 | 1.85E+04 | 2.26E+05 | 1.86E+04 | 1.95E+04 | 1.92E+04 | 1.94E+04 | 1.92E+04 | 3.06E+05 | 1.91E+04 | 1.91E+04 | 1.91E+04 |
| Best | 1.82E+04 | 8.45E+04 | 1.84E+04 | 1.66E+05 | 1.85E+04 | 1.93E+04 | 1.91E+04 | 1.93E+04 | 1.91E+04 | 3.01E+04 | 1.88E+04 | 1.90E+04 | 1.88E+04 | |
| Worst | 1.84E+04 | 1.55E+05 | 1.86E+04 | 3.25E+05 | 1.87E+04 | 2.00E+04 | 1.93E+04 | 1.95E+04 | 1.94E+04 | 5.90E+05 | 1.93E+04 | 1.93E+04 | 1.94E+04 | |
| Std | 7.16E+01 | 3.32E+04 | 1.05E+02 | 7.48E+04 | 7.22E+01 | 3.81E+02 | 1.31E+02 | 7.99E+01 | 1.51E+02 | 2.83E+05 | 2.23E+02 | 1.32E+02 | 2.46E+02 | |
| Median | 1.83E+04 | 1.02E+05 | 1.85E+04 | 2.06E+05 | 1.86E+04 | 1.94E+04 | 1.92E+04 | 1.94E+04 | 1.92E+04 | 3.02E+05 | 1.91E+04 | 1.91E+04 | 1.91E+04 | |
| Rank | 1 | 11 | 2 | 12 | 3 | 10 | 7 | 9 | 8 | 13 | 4 | 6 | 5 | |
| C11-F15 | Mean | 3.29E+04 | 8.94E+05 | 1.07E+05 | 1.89E+06 | 3.29E+04 | 5.42E+04 | 2.16E+05 | 3.31E+04 | 3.31E+04 | 1.52E+07 | 2.96E+05 | 3.33E+04 | 7.81E+06 |
| Best | 3.28E+04 | 3.69E+05 | 4.30E+04 | 7.89E+05 | 3.29E+04 | 3.30E+04 | 3.30E+04 | 3.30E+04 | 3.30E+04 | 3.18E+06 | 2.62E+05 | 3.33E+04 | 3.56E+06 | |
| Worst | 3.30E+04 | 2.25E+06 | 1.78E+05 | 4.92E+06 | 3.30E+04 | 1.17E+05 | 3.09E+05 | 3.32E+04 | 3.31E+04 | 2.26E+07 | 3.19E+05 | 3.33E+04 | 1.34E+07 | |
| Std | 7.69E+01 | 9.52E+05 | 7.62E+04 | 2.13E+06 | 6.43E+01 | 4.43E+04 | 1.31E+05 | 6.62E+01 | 4.92E+01 | 9.30E+06 | 2.79E+04 | 9.30E+00 | 4.74E+06 | |
| Median | 3.29E+04 | 4.80E+05 | 1.03E+05 | 9.16E+05 | 3.30E+04 | 3.32E+04 | 2.61E+05 | 3.31E+04 | 3.31E+04 | 1.75E+07 | 3.01E+05 | 3.33E+04 | 7.15E+06 | |
| Rank | 1 | 10 | 7 | 11 | 2 | 6 | 8 | 4 | 3 | 13 | 9 | 5 | 12 | |
| C11-F16 | Mean | 1.34E+05 | 9.33E+05 | 1.35E+05 | 1.92E+06 | 1.38E+05 | 1.45E+05 | 1.42E+05 | 1.42E+05 | 1.46E+05 | 8.75E+07 | 1.84E+07 | 7.83E+07 | 7.52E+07 |
| Best | 1.31E+05 | 2.87E+05 | 1.34E+05 | 4.68E+05 | 1.36E+05 | 1.42E+05 | 1.36E+05 | 1.33E+05 | 1.43E+05 | 8.53E+07 | 9.36E+06 | 6.48E+07 | 6.08E+07 | |
| Worst | 1.36E+05 | 2.20E+06 | 1.36E+05 | 4.77E+06 | 1.41E+05 | 1.47E+05 | 1.47E+05 | 1.50E+05 | 1.51E+05 | 9.00E+07 | 3.33E+07 | 9.36E+07 | 9.62E+07 | |
| Std | 2.39E+03 | 9.05E+05 | 1.08E+03 | 2.03E+06 | 2.70E+03 | 2.37E+03 | 4.83E+03 | 7.52E+03 | 3.89E+03 | 2.09E+06 | 1.09E+07 | 1.31E+07 | 1.58E+07 | |
| Median | 1.33E+05 | 6.22E+05 | 1.36E+05 | 1.22E+06 | 1.37E+05 | 1.45E+05 | 1.42E+05 | 1.42E+05 | 1.44E+05 | 8.74E+07 | 1.55E+07 | 7.75E+07 | 7.19E+07 | |
| Rank | 1 | 8 | 2 | 9 | 3 | 6 | 5 | 4 | 7 | 13 | 10 | 12 | 11 | |
| C11-F17 | Mean | 1.93E+06 | 8.82E+09 | 2.28E+09 | 1.53E+10 | 2.29E+06 | 1.26E+09 | 9.54E+09 | 3.09E+06 | 3.00E+06 | 2.20E+10 | 1.10E+10 | 2.05E+10 | 2.15E+10 |
| Best | 1.92E+06 | 7.52E+09 | 2.07E+09 | 1.10E+10 | 1.96E+06 | 1.04E+09 | 6.81E+09 | 2.29E+06 | 2.04E+06 | 2.11E+10 | 9.71E+09 | 1.81E+10 | 2.01E+10 | |
| Worst | 1.94E+06 | 9.78E+09 | 2.49E+09 | 1.87E+10 | 2.89E+06 | 1.44E+09 | 1.27E+10 | 3.71E+06 | 4.83E+06 | 2.29E+10 | 1.17E+10 | 2.37E+10 | 2.43E+10 | |
| Std | 1.20E+04 | 1.05E+09 | 1.96E+08 | 3.47E+09 | 4.41E+05 | 2.17E+08 | 2.60E+09 | 6.90E+05 | 1.33E+06 | 7.79E+08 | 9.46E+08 | 2.66E+09 | 2.00E+09 | |
| Median | 1.92E+06 | 9.00E+09 | 2.28E+09 | 1.57E+10 | 2.15E+06 | 1.28E+09 | 9.34E+09 | 3.18E+06 | 2.57E+06 | 2.19E+10 | 1.14E+10 | 2.01E+10 | 2.08E+10 | |
| Rank | 1 | 7 | 6 | 10 | 2 | 5 | 8 | 4 | 3 | 13 | 9 | 11 | 12 | |
| C11-F18 | Mean | 9.42E+05 | 5.41E+07 | 6.47E+06 | 1.17E+08 | 9.71E+05 | 2.03E+06 | 9.45E+06 | 9.87E+05 | 1.03E+06 | 3.05E+07 | 1.10E+07 | 1.33E+08 | 1.13E+08 |
| Best | 9.38E+05 | 3.72E+07 | 3.90E+06 | 8.05E+07 | 9.50E+05 | 1.78E+06 | 4.07E+06 | 9.64E+05 | 9.67E+05 | 2.42E+07 | 8.19E+06 | 1.12E+08 | 1.09E+08 | |
| Worst | 9.45E+05 | 6.16E+07 | 1.11E+07 | 1.33E+08 | 1.03E+06 | 2.37E+06 | 1.66E+07 | 9.98E+05 | 1.20E+06 | 3.30E+07 | 1.38E+07 | 1.47E+08 | 1.17E+08 | |
| Std | 2.77E+03 | 1.20E+07 | 3.52E+06 | 2.59E+07 | 4.03E+04 | 2.99E+05 | 5.55E+06 | 1.69E+04 | 1.17E+05 | 4.45E+06 | 2.65E+06 | 1.69E+07 | 3.56E+06 | |
| Median | 9.43E+05 | 5.89E+07 | 5.45E+06 | 1.26E+08 | 9.53E+05 | 1.99E+06 | 8.57E+06 | 9.94E+05 | 9.78E+05 | 3.25E+07 | 1.09E+07 | 1.36E+08 | 1.13E+08 | |
| Rank | 1 | 10 | 6 | 12 | 2 | 5 | 7 | 3 | 4 | 9 | 8 | 13 | 11 | |
| C11-F19 | Mean | 1.03E+06 | 5.33E+07 | 6.57E+06 | 1.14E+08 | 1.14E+06 | 2.44E+06 | 1.01E+07 | 1.47E+06 | 1.36E+06 | 3.51E+07 | 6.19E+06 | 1.70E+08 | 1.13E+08 |
| Best | 9.68E+05 | 4.55E+07 | 6.00E+06 | 9.86E+07 | 1.07E+06 | 2.20E+06 | 2.04E+06 | 1.13E+06 | 1.23E+06 | 2.46E+07 | 2.37E+06 | 1.54E+08 | 1.10E+08 | |
| Worst | 1.17E+06 | 6.78E+07 | 7.95E+06 | 1.44E+08 | 1.29E+06 | 2.88E+06 | 1.82E+07 | 1.94E+06 | 1.54E+06 | 4.37E+07 | 8.12E+06 | 1.97E+08 | 1.16E+08 | |
| Std | 9.97E+04 | 1.06E+07 | 9.77E+05 | 2.20E+07 | 1.09E+05 | 3.14E+05 | 8.01E+06 | 3.60E+05 | 1.37E+05 | 8.73E+06 | 2.74E+06 | 1.93E+07 | 2.67E+06 | |
| Median | 9.83E+05 | 5.00E+07 | 6.16E+06 | 1.07E+08 | 1.09E+06 | 2.34E+06 | 1.00E+07 | 1.40E+06 | 1.33E+06 | 3.60E+07 | 7.13E+06 | 1.65E+08 | 1.13E+08 | |
| Rank | 1 | 10 | 7 | 12 | 2 | 5 | 8 | 4 | 3 | 9 | 6 | 13 | 11 | |
| C11-F20 | Mean | 9.41E+05 | 5.67E+07 | 5.82E+06 | 1.23E+08 | 9.60E+05 | 1.81E+06 | 7.18E+06 | 9.72E+05 | 9.98E+05 | 3.41E+07 | 1.41E+07 | 1.57E+08 | 1.13E+08 |
| Best | 9.36E+05 | 4.99E+07 | 5.13E+06 | 1.08E+08 | 9.57E+05 | 1.63E+06 | 6.77E+06 | 9.63E+05 | 9.77E+05 | 3.33E+07 | 9.35E+06 | 1.43E+08 | 1.08E+08 | |
| Worst | 9.47E+05 | 6.71E+07 | 6.55E+06 | 1.47E+08 | 9.62E+05 | 2.11E+06 | 7.74E+06 | 9.83E+05 | 1.01E+06 | 3.49E+07 | 2.18E+07 | 1.70E+08 | 1.18E+08 | |
| Std | 5.01E+03 | 7.72E+06 | 6.20E+05 | 1.73E+07 | 2.30E+03 | 2.41E+05 | 4.35E+05 | 9.61E+03 | 1.66E+04 | 6.79E+05 | 5.70E+06 | 1.58E+07 | 4.28E+06 | |
| Median | 9.41E+05 | 5.49E+07 | 5.79E+06 | 1.19E+08 | 9.61E+05 | 1.75E+06 | 7.11E+06 | 9.72E+05 | 1.00E+06 | 3.40E+07 | 1.26E+07 | 1.57E+08 | 1.14E+08 | |
| Rank | 1 | 10 | 6 | 12 | 2 | 5 | 7 | 3 | 4 | 9 | 8 | 13 | 11 | |
| C11-F21 | Mean | 1.27E+01 | 4.97E+01 | 2.15E+01 | 7.55E+01 | 1.59E+01 | 2.96E+01 | 3.84E+01 | 2.73E+01 | 2.22E+01 | 9.94E+01 | 4.03E+01 | 1.04E+02 | 1.01E+02 |
| Best | 9.97E+00 | 4.10E+01 | 2.01E+01 | 5.63E+01 | 1.37E+01 | 2.62E+01 | 3.52E+01 | 2.43E+01 | 2.04E+01 | 4.78E+01 | 3.55E+01 | 9.02E+01 | 5.81E+01 | |
| Worst | 1.50E+01 | 5.90E+01 | 2.33E+01 | 9.47E+01 | 1.82E+01 | 3.11E+01 | 4.24E+01 | 3.03E+01 | 2.46E+01 | 1.46E+02 | 4.32E+01 | 1.16E+02 | 1.24E+02 | |
| Std | 2.41E+00 | 8.18E+00 | 1.44E+00 | 1.78E+01 | 2.18E+00 | 2.37E+00 | 3.35E+00 | 3.58E+00 | 1.93E+00 | 4.24E+01 | 3.60E+00 | 1.34E+01 | 3.20E+01 | |
| Median | 1.30E+01 | 4.94E+01 | 2.13E+01 | 7.55E+01 | 1.58E+01 | 3.05E+01 | 3.80E+01 | 2.73E+01 | 2.20E+01 | 1.02E+02 | 4.12E+01 | 1.06E+02 | 1.12E+02 | |
| Rank | 1 | 9 | 3 | 10 | 2 | 6 | 7 | 5 | 4 | 11 | 8 | 13 | 12 | |
| C11-F22 | Mean | 1.61E+01 | 4.64E+01 | 2.73E+01 | 6.28E+01 | 1.90E+01 | 3.19E+01 | 4.59E+01 | 3.21E+01 | 2.49E+01 | 1.01E+02 | 4.62E+01 | 1.05E+02 | 9.14E+01 |
| Best | 1.15E+01 | 4.03E+01 | 2.20E+01 | 4.56E+01 | 1.61E+01 | 2.78E+01 | 3.96E+01 | 2.46E+01 | 2.39E+01 | 6.56E+01 | 3.87E+01 | 8.82E+01 | 9.04E+01 | |
| Worst | 1.96E+01 | 5.19E+01 | 3.25E+01 | 7.23E+01 | 2.12E+01 | 3.45E+01 | 5.06E+01 | 3.71E+01 | 2.56E+01 | 1.20E+02 | 5.50E+01 | 1.16E+02 | 9.31E+01 | |
| Std | 4.20E+00 | 5.20E+00 | 5.23E+00 | 1.24E+01 | 2.57E+00 | 3.00E+00 | 5.24E+00 | 5.84E+00 | 8.40E-01 | 2.57E+01 | 7.05E+00 | 1.33E+01 | 1.20E+00 | |
| Median | 1.67E+01 | 4.66E+01 | 2.73E+01 | 6.66E+01 | 1.94E+01 | 3.26E+01 | 4.67E+01 | 3.32E+01 | 2.50E+01 | 1.10E+02 | 4.56E+01 | 1.08E+02 | 9.11E+01 | |
| Rank | 1 | 9 | 4 | 10 | 2 | 5 | 7 | 6 | 3 | 12 | 8 | 13 | 11 | |
| Sum rank | 22 | 191 | 109 | 231 | 55 | 146 | 145 | 118 | 97 | 222 | 157 | 198 | 224 | |
| Mean rank | 1.00E+00 | 8.68E+00 | 4.95E+00 | 1.05E+01 | 2.50E+00 | 6.64E+00 | 6.59E+00 | 5.36E+00 | 4.41E+00 | 1.01E+01 | 7.14E+00 | 9.00E+00 | 1.02E+01 | |
| Total rank | 1 | 2 | 12 | 4 | 13 | 3 | 11 | 9 | 6 | 7 | 10 | 5 | 8 | |
| Wilcoxon: p-value | 3.85E-12 | 6.82E-15 | 1.37E-15 | 1.54E-03 | 4.30E-15 | 4.62E-15 | 1.41E-11 | 1.69E-12 | 2.94E-15 | 7.07E-15 | 1.37E-15 | 2.01E-15 | ||
| Algorithm | Optimum Variables | Optimum Cost | |||
|---|---|---|---|---|---|
| Ts | Th | R | L | ||
| LOA | 0.7780271 | 0.3845792 | 40.312284 | 200 | 5882.9013 |
| WSO | 0.7780271 | 0.3845792 | 40.312284 | 200 | 5882.9013 |
| AVOA | 0.7780312 | 0.3845812 | 40.312495 | 199.99706 | 5882.9083 |
| RSA | 1.235533 | 0.6652352 | 62.515681 | 33.265801 | 7942.1971 |
| MPA | 0.7780271 | 0.3845792 | 40.312284 | 200 | 5882.9013 |
| TSA | 0.7796425 | 0.3859395 | 40.39373 | 200 | 5911.9472 |
| WOA | 0.9244877 | 0.4575332 | 46.805861 | 127.41082 | 6308.5588 |
| MVO | 0.8399069 | 0.4194976 | 43.500091 | 160.39975 | 6015.6018 |
| GWO | 0.778502 | 0.3859326 | 40.321438 | 199.96097 | 5890.9207 |
| TLBO | 1.6384603 | 0.4907006 | 48.413435 | 117.32657 | 11285.858 |
| GSA | 1.1642139 | 1.2327499 | 44.479077 | 189.89246 | 12577.279 |
| PSO | 1.6250756 | 0.6463035 | 65.357519 | 35.189096 | 10398.551 |
| GA | 1.4674754 | 0.8220162 | 59.996638 | 61.718062 | 11409.75 |
| Algorithm | Mean | Best | Worst | Std | Median | Rank |
|---|---|---|---|---|---|---|
| LOA | 5884.8955 | 5882.9013 | 5885.8955 | 1.87E-12 | 5883.8955 | 1 |
| WSO | 5892.0349 | 5882.9013 | 5973.0173 | 24.377865 | 5882.9017 | 3 |
| AVOA | 6252.2485 | 5882.9083 | 7159.3658 | 386.59588 | 6063.7079 | 5 |
| RSA | 13043.76 | 7942.1971 | 21362.677 | 3430.9106 | 11939.739 | 9 |
| MPA | 5882.9013 | 5882.9013 | 5882.9013 | 4.04E-06 | 5882.9013 | 2 |
| TSA | 6308.8549 | 5911.9472 | 7051.9078 | 365.53019 | 6168.9479 | 6 |
| WOA | 8204.2156 | 6308.5588 | 13478.021 | 1845.3213 | 7744.4986 | 8 |
| MVO | 6579.8221 | 6015.6018 | 7163.8481 | 351.44321 | 6639.1657 | 7 |
| GWO | 6024.9473 | 5890.9207 | 6747.5707 | 262.64571 | 5900.0698 | 4 |
| TLBO | 30448.932 | 11285.858 | 65600.284 | 15136.124 | 26830.649 | 12 |
| GSA | 22077.832 | 12577.279 | 34653.395 | 7363.816 | 21185.622 | 10 |
| PSO | 32000.589 | 10398.551 | 55068.219 | 14170.253 | 35315.967 | 13 |
| GA | 27326.87 | 11409.75 | 49383.377 | 11881.012 | 24170.859 | 11 |
| Algorithm | Optimum Variables | Optimum Cost | ||||||
|---|---|---|---|---|---|---|---|---|
| b | M | p | l1 | l2 | d1 | d2 | ||
| LOA | 3.5 | 0.7 | 17 | 7.3 | 7.8 | 3.3502147 | 5.2866832 | 2996.3482 |
| WSO | 3.5000004 | 0.7 | 17 | 7.3000096 | 7.8000004 | 3.3502148 | 5.2866833 | 2996.3483 |
| AVOA | 3.5 | 0.7 | 17 | 7.3000007 | 7.8 | 3.3502147 | 5.2866832 | 2996.3482 |
| RSA | 3.5890909 | 0.7 | 17 | 8.1909092 | 8.2454546 | 3.3554815 | 5.4767291 | 3176.6022 |
| MPA | 3.5 | 0.7 | 17 | 7.3 | 7.8 | 3.3502147 | 5.2866832 | 2996.3482 |
| TSA | 3.5124675 | 0.7 | 17 | 7.3 | 8.2454546 | 3.3505297 | 5.2900982 | 3013.2903 |
| WOA | 3.5845497 | 0.7 | 17 | 7.3 | 8.0023373 | 3.3612308 | 5.2867533 | 3036.8503 |
| MVO | 3.5021766 | 0.7 | 17 | 7.3 | 8.0600548 | 3.3689471 | 5.2868752 | 3007.8372 |
| GWO | 3.5006198 | 0.7 | 17 | 7.3049714 | 7.8 | 3.3634887 | 5.2887389 | 3001.3413 |
| TLBO | 3.5542231 | 0.7038638 | 26.012217 | 8.0746042 | 8.1336704 | 3.6529699 | 5.3375981 | 5194.3129 |
| GSA | 3.5221446 | 0.7026613 | 17.356813 | 7.8031437 | 7.886617 | 3.4068193 | 5.3826203 | 3163.9329 |
| PSO | 3.5079104 | 0.7000696 | 18.05906 | 7.3957302 | 7.8657581 | 3.58726 | 5.3421086 | 3292.3111 |
| GA | 3.5754084 | 0.7053795 | 17.786641 | 7.7277995 | 7.8539789 | 3.6898264 | 5.3443414 | 3.34E+03 |
| Algorithm | Mean | Best | Worst | Std | Median | Rank |
|---|---|---|---|---|---|---|
| LOA | 2996.3482 | 2996.3482 | 2996.3482 | 9.33E-13 | 2996.3482 | 1 |
| WSO | 2996.6222 | 2996.3483 | 2998.7174 | 0.5653183 | 2996.3638 | 3 |
| AVOA | 3000.7054 | 2996.3482 | 3010.5833 | 3.8354885 | 3000.6092 | 4 |
| RSA | 3267.418 | 3176.6022 | 3323.7798 | 55.595014 | 3281.7991 | 9 |
| MPA | 2996.3482 | 2996.3482 | 2996.3482 | 3.08E-06 | 2996.3482 | 2 |
| TSA | 3030.9376 | 3013.2903 | 3044.21 | 9.8011089 | 3032.6658 | 7 |
| WOA | 3144.9205 | 3036.8503 | 3430.127 | 102.74833 | 3112.6957 | 8 |
| MVO | 3028.7049 | 3007.8372 | 3067.7126 | 12.814709 | 3029.1301 | 6 |
| GWO | 3004.3452 | 3001.3413 | 3010.1109 | 2.4235536 | 3003.8446 | 5 |
| TLBO | 6.723E+13 | 5194.3129 | 4.866E+14 | 1.119E+14 | 2.633E+13 | 12 |
| GSA | 3439.3435 | 3163.9329 | 4039.6332 | 253.44874 | 3314.0241 | 10 |
| PSO | 9.922E+13 | 3292.3111 | 5.026E+14 | 1.198E+14 | 7.097E+13 | 13 |
| GA | 4.777E+13 | 3335.1496 | 3.084E+14 | 7.525E+13 | 1.914E+13 | 11 |
| Algorithm | Optimum Variables | Optimum Cost | |||
|---|---|---|---|---|---|
| h | l | t | b | ||
| LOA | 0.2057296 | 3.4704887 | 9.0366239 | 0.2057296 | 1.7246798 |
| WSO | 0.2057299 | 3.4704894 | 9.0366202 | 0.2057319 | 1.7248523 |
| AVOA | 0.2049905 | 3.486517 | 9.0365208 | 0.2057343 | 1.7258836 |
| RSA | 0.1969993 | 3.5325121 | 9.8949045 | 0.2173906 | 1.9669902 |
| MPA | 0.2057296 | 3.4704887 | 9.0366239 | 0.2057296 | 1.7248523 |
| TSA | 0.2042474 | 3.4945379 | 9.0632589 | 0.206142 | 1.7335408 |
| WOA | 0.2134582 | 3.3344888 | 8.9759393 | 0.2204819 | 1.8180608 |
| MVO | 0.2059842 | 3.4650021 | 9.0444134 | 0.2060446 | 1.728246 |
| GWO | 0.2055967 | 3.4735386 | 9.0362531 | 0.2057964 | 1.7255009 |
| TLBO | 0.3115492 | 4.3894035 | 6.8734148 | 0.4176705 | 2.9796461 |
| GSA | 0.2908557 | 2.7470518 | 7.4758714 | 0.3044843 | 2.0722963 |
| PSO | 0.3668896 | 3.4262313 | 7.4019025 | 0.5614787 | 3.9449745 |
| GA | 0.2236798 | 6.7978876 | 7.806539 | 0.3010265 | 2.7258444 |
| Algorithm | Mean | Best | Worst | Std | Median | Rank |
|---|---|---|---|---|---|---|
| LOA | 1.7246798 | 1.7246798 | 1.7246798 | 2.28E-16 | 1.7246798 | 1 |
| WSO | 1.7248526 | 1.7248523 | 1.7248577 | 1.208E-06 | 1.7248523 | 3 |
| AVOA | 1.75998 | 1.7258836 | 1.8386827 | 0.0352307 | 1.7465598 | 7 |
| RSA | 2.166118 | 1.9669902 | 2.5019493 | 0.1392497 | 2.1419303 | 8 |
| MPA | 1.7248523 | 1.7248523 | 1.7248523 | 3.24E-09 | 1.7248523 | 2 |
| TSA | 1.7425281 | 1.7335408 | 1.7514086 | 0.0054155 | 1.7426211 | 6 |
| WOA | 2.290829 | 1.8180608 | 3.9673497 | 0.6199333 | 2.0735215 | 9 |
| MVO | 1.740667 | 1.728246 | 1.7733447 | 0.0132901 | 1.736735 | 5 |
| GWO | 1.7271711 | 1.7255009 | 1.7310777 | 0.0013165 | 1.7269342 | 4 |
| TLBO | 3.213E+13 | 2.9796461 | 3.101E+14 | 7.837E+13 | 5.556825 | 12 |
| GSA | 2.4193009 | 2.0722963 | 2.7174014 | 0.1850149 | 2.4478414 | 10 |
| PSO | 4.431E+13 | 3.9449745 | 2.682E+14 | 8.463E+13 | 6.5600701 | 13 |
| GA | 1.088E+13 | 2.7258444 | 1.177E+14 | 3.339E+13 | 5.5245557 | 11 |
| Algorithm | Optimum Variables | Optimum Cost | ||
|---|---|---|---|---|
| d | D | P | ||
| LOA | 0.0516891 | 0.3567177 | 11.288966 | 0.0126019 |
| WSO | 0.0516871 | 0.3566717 | 11.291665 | 0.0126652 |
| AVOA | 0.0512086 | 0.345282 | 11.996535 | 0.01267 |
| RSA | 0.0501843 | 0.3156108 | 14.59516 | 0.0131412 |
| MPA | 0.0516907 | 0.3567569 | 11.28667 | 0.0126652 |
| TSA | 0.0510126 | 0.3406634 | 12.31184 | 0.0126814 |
| WOA | 0.051184 | 0.3447029 | 12.034448 | 0.0126705 |
| MVO | 0.0501843 | 0.3212096 | 13.796911 | 0.0127469 |
| GWO | 0.0519471 | 0.3629418 | 10.937856 | 0.0126705 |
| TLBO | 0.0671857 | 0.8735239 | 3.0133407 | 0.0173143 |
| GSA | 0.0549942 | 0.4382505 | 7.9387706 | 0.0130596 |
| PSO | 0.0671061 | 0.8705176 | 3.0133407 | 0.0172159 |
| GA | 0.067637 | 0.881056 | 3.0133407 | 0.0176948 |
| Algorithm | Mean | Best | Worst | Std | Median | Rank |
|---|---|---|---|---|---|---|
| LOA | 0.0126019 | 0.0126019 | 0.0126019 | 6.88E-18 | 0.0126019 | 1 |
| WSO | 0.0126759 | 0.0126652 | 0.0128186 | 3.417E-05 | 0.0126656 | 3 |
| AVOA | 0.0133112 | 0.01267 | 0.0140833 | 0.0005314 | 0.0132462 | 8 |
| RSA | 0.0132192 | 0.0131412 | 0.0133564 | 6.614E-05 | 0.0131991 | 6 |
| MPA | 0.0126652 | 0.0126652 | 0.0126652 | 2.72E-09 | 0.0126652 | 2 |
| TSA | 0.0129486 | 0.0126814 | 0.013486 | 0.0002303 | 0.0128784 | 5 |
| WOA | 0.013244 | 0.0126705 | 0.0144134 | 0.000576 | 0.0130551 | 7 |
| MVO | 0.0162965 | 0.0127469 | 0.0176669 | 0.0015702 | 0.0171696 | 9 |
| GWO | 0.0127203 | 0.0126705 | 0.0129331 | 5.272E-05 | 0.0127179 | 4 |
| TLBO | 0.017821 | 0.0173143 | 0.0183997 | 0.0003413 | 0.0177789 | 10 |
| GSA | 0.019108 | 0.0130596 | 0.0311597 | 0.0040605 | 0.0187018 | 11 |
| PSO | 1.994E+13 | 0.0172159 | 3.539E+14 | 7.918E+13 | 0.0172159 | 13 |
| GA | 1.558E+12 | 0.0176948 | 1.611E+13 | 4.652E+12 | 0.0249529 | 12 |
Disclaimer/Publisher’s Note: The statements, opinions and data contained in all publications are solely those of the individual author(s) and contributor(s) and not of MDPI and/or the editor(s). MDPI and/or the editor(s) disclaim responsibility for any injury to people or property resulting from any ideas, methods, instructions or products referred to in the content. |
© 2023 by the authors. Licensee MDPI, Basel, Switzerland. This article is an open access article distributed under the terms and conditions of the Creative Commons Attribution (CC BY) license (https://creativecommons.org/licenses/by/4.0/).
Share and Cite
Dehghani, M.; Bektemyssova, G.; Montazeri, Z.; Shaikemelev, G.; Malik, O.P.; Dhiman, G. Lyrebird Optimization Algorithm: A New Bio-Inspired Metaheuristic Algorithm for Solving Optimization Problems. Biomimetics 2023, 8, 507. https://doi.org/10.3390/biomimetics8060507
Dehghani M, Bektemyssova G, Montazeri Z, Shaikemelev G, Malik OP, Dhiman G. Lyrebird Optimization Algorithm: A New Bio-Inspired Metaheuristic Algorithm for Solving Optimization Problems. Biomimetics. 2023; 8(6):507. https://doi.org/10.3390/biomimetics8060507
Chicago/Turabian StyleDehghani, Mohammad, Gulnara Bektemyssova, Zeinab Montazeri, Galymzhan Shaikemelev, Om Parkash Malik, and Gaurav Dhiman. 2023. "Lyrebird Optimization Algorithm: A New Bio-Inspired Metaheuristic Algorithm for Solving Optimization Problems" Biomimetics 8, no. 6: 507. https://doi.org/10.3390/biomimetics8060507
APA StyleDehghani, M., Bektemyssova, G., Montazeri, Z., Shaikemelev, G., Malik, O. P., & Dhiman, G. (2023). Lyrebird Optimization Algorithm: A New Bio-Inspired Metaheuristic Algorithm for Solving Optimization Problems. Biomimetics, 8(6), 507. https://doi.org/10.3390/biomimetics8060507

