Computational Study of Stiffness-Tuning Strategies in Anguilliform Fish
Abstract
1. Introduction
2. Dynamic model of Anguilliform Fish
2.1. Series-Parallel Structure of Fish Body
2.2. Force Analyses
2.3. Muscle Activation Model
2.4. Solution of Fish Dynamic Model
3. Computational Results of Fish Undulatory Motions
3.1. The Variables of Fish Model
3.2. Swimming Performance of Anguilliform Fish
3.3. Complex Modal Characteristics of Body Motions
4. Swimming Performance of Anguilliform Fish
4.1. Fish Body with Fixed Body Stiffness
- (1)
- For fixed body stiffness, the forward speed is increased with the tail-beat frequency and then decreased from the maximum value slowly. The maximum speeds are varied with the actuation amplitude and the tail-beat frequency. For the cases in Figure 10a, Young’s modulus of the fish body is 0.006 MPa, when the actuation coefficients are 0.03 and 0.18, the maximum swimming speeds are 0.5 BL/s and 1.2 BL/s, and the corresponding tail-beat frequency is 1 Hz and 2.5 Hz, respectively. As a whole, for different fixed body stiffness, the maximum speeds are increased with the amplitudes of muscle activation.
- (2)
- For different fixed body stiffness in Figure 10, the maximum forward speed is also increased with Young’s modulus of the fish body. For example, when the amplitude of muscle activation D is 0.03, the maximum speeds are 0.5 BL/s in Figure 10a (E = 0.006 MPa, f = 1 Hz) and 1.3 BL/s in Figure 10b (E = 0.06 MPa, f = 3 Hz), respectively. It is notable that when Young’s modulus of the fish body is small, the amplitude of muscle actuation has a more significant influence on the swimming speed. The influence would be weak, with the increase of the muscle actuations and body stiffness, in particular, when f ≥ 3 Hz, E ≥ 0.06 MPa.
- (3)
- As to the muscle actuation amplitude, it has a complex relationship to the swimming speed, which depends on Young’s modulus of the fish body and the tail-beat frequency. In Figure 10a, when the tail-beat frequency is smaller than 1.5 Hz, the influence of muscle actuations on the swimming speed is weak, while the influence is strengthened with the increase of tail-beat frequency. By comparison, the influence of the amplitude of muscle actuations on the swimming speed in Figure 10c is strong when the tail-beat frequency is smaller than 3 Hz, while it becomes weak with the increase of tail-beat frequency. Another interesting finding in Figure 10c is that if the tail-beat frequency f ≥ 3 Hz, the swimming speed is increased with the amplitude of muscle actuations, but if f < 3 Hz, the swimming speed is decreased with the amplitude of muscle actuations. This phenomenon is also appeared in Figure 10a,b,d, although the critical frequency varies.
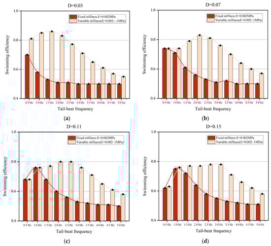
4.2. Fish Body with Variable Body Stiffness
4.2.1. Influences on the Swimming Performance
4.2.2. Influences on the Midline Motions
5. Discussions
5.1. The Properties of Various Body Stiffness
5.2. The Effects of Hydrodynamic Forces
6. Conclusions
- (1)
- The maximum swimming speed and efficiency of anguilliform fish can be obtained by matching the body stiffness, the tail-beat frequency, and the muscle actuations appropriately. In general, when the body stiffness of a fish body is fixed, the swimming speed is increased to the maximum value and then decreased with tail-beat frequency. The maximum speed is increased with the amplitudes of muscle actuation and Young’s modulus of the fish body. The changing patterns of swimming efficiency are similar to that of swimming speed.
- (2)
- For the stiffness-turning strategies, anguilliform fish tend to vary their body stiffness to improve the swimming speed and efficiency at high tail-beat frequency. However, the influences of variable stiffness on swimming speed and efficiency are weakened when continuing the increase of tail-beat frequency. As to the swimming efficiency, it is also effective to vary their body stiffness when anguilliform fish are activated by the small amplitude of muscle actuations.
- (3)
- The midline motions produced by the dynamic model are similar to those of anguilliform fish observed from nature, but the range of the traveling index is lower than the biological range. It is partly because of the large oscillations of fish heads, and we also find the inclusion of hydrodynamic force is useful to reduce the head oscillations.
Author Contributions
Funding
Data Availability Statement
Conflicts of Interest
Appendix A
| Symbol | Meaning | |
| Parameters of physical fish model | Full length of fish body | |
| Tail-beat (or actuation ) frequency | ||
| Young’s modulus of fish body | ||
| Density of fish body | ||
| Viscosity coefficient of fish body | ||
| Swimming efficiency | ||
| Forward speed | ||
| Wave speed | ||
| Actuation wavelength | ||
| Amplitude coefficient of muscle actuation | ||
| Half-thickness of fish body | ||
| Half-width of fish body | ||
| Distance along the axis of fish body | ||
| Parameters of Taylor’s resistance model | Hydrodynamic force | |
| Normal component of hydrodynamic force | ||
| Tangential component of hydrodynamic force | ||
| Normal direction | ||
| Tangential direction | ||
| Normal velocity along the surface of fish body | ||
| Tangential velocity along the surface of fish body | ||
| Fluid density | ||
| Fluid viscosity | ||
| Parameters of dynamic fish model with planar serial-parallel structure | Length of serial-parallel unit | |
| Segments number of fish body | ||
| Mass of the th serial–parallel unit | ||
| Acceleration of the th serial–parallel unit | ||
| Hydrodynamic force applied on the th serial–parallel unit | ||
| Density of fluid flow | ||
| Viscosity coefficient of fluid flow | ||
| Inner force transmitted from the adjacent structure unit | ||
| The arm of force . | ||
| Inertia moment of the th serial–parallel unit | ||
| Bending moment of the th serial–parallel unit | ||
| Actuation force on the right side | ||
| Actuation force on the left side | ||
| Actuation force on the right side of th planar serial-parallel unit | ||
| Actuation force on the left side of th planar serial-parallel unit | ||
| Total force on the right side | ||
| Total force on the left side | ||
| Moment arm to the joint on the right side | ||
| Moment arm to the joint on the left side | ||
| Relative extension on the right side | ||
| Relative extension on the left side | ||
| Relative angle between the neighboring links | ||
| Rotation angle of th serial–parallel unit | ||
| Spring constant of the tissue’s viscoelasticity | ||
| Damping coefficient of the tissue’s viscoelasticity | ||
| Stiffness of muscle fibers | ||
| Damping of muscle fibers | ||
| Muscle activation on the right side | ||
| Muscle activation on the left side | ||
| Parameters of calcium kinetics model | ||
| Parameters of COD method | Midline motions of fish body | |
| Different positions along fish body | ||
| Different time instants in one tail-beat period | ||
| Tail-beat period | ||
| Traveling index | ||
| Eigenvalues of matrix | ||
| Eigenvectors of matrix | ||
| H( ) | Hilbert transform | |
| cond( ) | Operating symbol of condition number | |
| First mode of the eigenvectors | ||
| Real part of | ||
| Imaginary part of . |
References
- Tytell, E.D.; Hsu, C.Y.; Williams, T.L.; Cohen, A.H.; Fauci, L.J. Interactions between internal forces, body stiffness, and fluid environment in a neuromechanical model of lamprey swimming. Proc. Natl. Acad. Sci. USA 2010, 107, 19832–19837. [Google Scholar] [CrossRef] [PubMed]
- Quinn, D.; Lauder, G. Tunable stiffness in fish robotics: Mechanisms and advantages. Bioinspir. Biomim. 2021, 17, 011002. [Google Scholar] [CrossRef] [PubMed]
- Long, J.H.; Nipper, K.S. The importance of body stiffness in undulatory propulsion. Am. Zool. 1996, 36, 678–694. [Google Scholar] [CrossRef]
- Fish, F.E.; Lauder, G.V. Control surfaces of aquatic vertebrates: Active and passive design and function. J. Exp. Biol. 2017, 220, 4351–4363. [Google Scholar] [CrossRef] [PubMed]
- Quinn, D.B.; Lauder, G.V.; Smits Lucas, K.N.; Johnson, N.; Tirrell, G.; Colin, S.P.; Gemmell, B.J.; Dabiri, J.O.; Costello, J.H. Bending rules for animal propulsion. Nat. Commun. 2014, 5, 3293. [Google Scholar]
- Wu, T.Y.-T. Hydromechanics of swimming propulsion. Part 1. Swimming of a two-dimensional flexible plate at variable forward speeds in an inviscid fluid. J. Fluid Mech. 1971, 46, 337–355. [Google Scholar] [CrossRef]
- Hua, R.-N.; Zhu, L.; Lu, X.-Y. Locomotion of a flapping flexible plate. Phys. Fluids. 2013, 25, 121901. [Google Scholar] [CrossRef]
- Quinn, D.B.; Lauder, G.V.; Smits, A.J. Scaling the propulsive performance of heaving flexible panels. J. Fluid Mech. 2014, 738, 250–267. [Google Scholar] [CrossRef]
- Liu, H.; Taylor, B.; Curet, O.M. Fin ray stiffness and fin morphology control ribbon-fin-based propulsion. Soft Robot. 2017, 4, 103–116. [Google Scholar] [CrossRef]
- Tytell, E.D.; Leftwich, M.C.; Hsu, C.Y.; Griffith, B.E.; Cohen, A.H.; Smits, A.J.; Hamlet, C.; Fauci, L.J. Role of body stiffness in undulatory swimming: Insights from robotic and computational models. Phys. Rev. Fluids. 2016, 1, 073202. [Google Scholar] [CrossRef]
- Tytell, E.D.; Hsu, C.Y.; Fauci, L.J. The role of mechanical resonance in the neural control of swimming in fishes. Zoology 2014, 117, 48–56. [Google Scholar] [CrossRef] [PubMed]
- McHenry, M.J.; Pell, C.A.; Long, J.H. Mechanical control of swimming speed: Stiffness and axial wave form in undulating fish models. J. Exp. Biol. 1995, 198, 293–305. [Google Scholar] [CrossRef] [PubMed]
- Wolf, Z.; Jusufi, A.; Vogt, D.M.; Lauder, G.V. Fish-like aquatic propulsion studied using a pneumatically-actuated soft-robotic model. Bioinspir. Biomim. 2020, 15, 46008. [Google Scholar] [CrossRef]
- White, C.H.; Lauder, G.V.; Bart-Smith, H. Tunabot Flex: A tuna-inspired robot with body flexibility improves high-performance swimming. Bioinspir. Biomim. 2021, 16, 26019. [Google Scholar] [CrossRef]
- Pabst, D.A. Springs in swimming animals. Am. Zool. 1996, 36, 723–735. [Google Scholar] [CrossRef]
- Leftwich, M.C.; Tytell, E.D.; Cohen, A.H.; Smits, A.J. Wake structures behind a swimming robotic lamprey with a passively flexible tail. J. Exp. Biol. 2012, 215, 416–425. [Google Scholar] [CrossRef] [PubMed]
- Floryan, D.; Rowley, C.W. Clarifying the relationship between efficiency and resonance for flexible inertial swimmers. J. Fluid Mech. 2018, 853, 271–300. [Google Scholar] [CrossRef]
- Jusufi, A.; Vogt, D.M.; Wood, R.J.; Lauder, G.V. Undulatory swimming performance and body stiffness modulation in a soft robotic fish-inspired physical model. Soft Robot. 2017, 4, 202–210. [Google Scholar] [CrossRef]
- Shoele, K.; Zhu, Q. Leading edge strengthening and the propulsion performance of flexible ray fins. J. Fluid Mech. 2012, 693, 402. [Google Scholar] [CrossRef]
- Eldredge, J.D.; Jones, A.R. Leading-edge vortices: Mechanics and modeling. Annu. Rev. Fluid Mech. 2019, 51, 75–104. [Google Scholar] [CrossRef]
- Low, K.H.; Chong, C.W.; Zhou, C. Performance study of a fish robot propelled by a flexible caudal fin. In Proceedings of the 2010 IEEE International Conference on Robotics and Automation, Anchorage, AK, USA, 3–7 May 2010; pp. 90–95. [Google Scholar]
- Williams, T.L.; Bowtell, G.; Curtin, N.A. Predicting force generation by lamprey muscle during applied sinusoidal movement using a simple dynamic model. J. Exp. Biol. 1998, 201, 869–875. [Google Scholar] [CrossRef] [PubMed]
- McMillen, T.; Holmes, P. An elastic rod model for anguilliform swimming. J. Math. Biol. 2006, 53, 843–886. [Google Scholar] [CrossRef] [PubMed]
- McMillen, T.; Williams, T.; Holmes, P.; Daniel, T. Nonlinear muscles, passive viscoelasticity and body taper conspire to create neuromechanical phase lags in anguilliform swimmers. PLoS Comput. Biol. 2008, 4, e1000157. [Google Scholar] [CrossRef] [PubMed]
- Porter, M.E.; Ewoldt, R.H.; Long, J.H. Automatic control: The vertebral column of dogfish sharks behaves as a continuously variable transmission with smoothly shifting functions. J. Exp. Biol. 2016, 219, 2908–2919. [Google Scholar] [CrossRef] [PubMed]
- Kern, S.; Koumoutsakos, P. Simulations of optimized anguilliform swimming. J. Exp. Biol. 2006, 209, 4841. [Google Scholar] [CrossRef]
- Taylor, G. Analysis of the swimming of long and narrow animals. Proc. R. Soc. Lond. A 1952, 214, 158–183. [Google Scholar]
- Hill, A. The abrupt transition from rest to activity in muscle. Philos. Trans. R. Soc. Lond. B 1949, 136, 399–420. [Google Scholar]
- Long, J.H., Jr. Muscles, elastic energy, and the dynamics of body stiffness in swimming eels. Am. Zool. 1998, 38, 771–792. [Google Scholar] [CrossRef]
- Long, J.H., Jr.; Koob-Emunds, M.; Sinwell, B.; Koob, T.J. The notochord of hagfish Myxine glutinosa: Visco-elastic properties and mechanical functions during steady swimming. J. Exp. Biol. 2002, 205, 3819–3831. [Google Scholar] [CrossRef]
- Lighthill, M.J. Large-amplitude elongated-body theory of fish locomotion. P. Roy. Soc. B-Biol. Sci. 1971, 179, 125–138. [Google Scholar]
- Bowtell, G.; Williams, T. Anguilliform body dynamics: Modelling the interaction between muscle activation and body curvature. Philos. Trans. R. Soc. Lond. B 1991, 334, 385–390. [Google Scholar] [CrossRef] [PubMed]
- Cui, Z.; Yang, Z.X.; Shen, L.; Jiang, H. Complex modal analysis of the movements of swimming fish propelled by body and/or caudal fin. Wave Motion. 2018, 78, 83–97. [Google Scholar] [CrossRef]
- Ramananarivo, S.; Godoy-Diana, R.; Thiria, B. Propagating waves in bounded elastic media: Transition from standing waves to anguilliform kinematics. Euro. Phys. Lett. 2014, 105, 54003. [Google Scholar] [CrossRef]





















| Parameters | Symbols | Values |
|---|---|---|
| Length of fish body | 20 cm | |
| Body segment number | 40 | |
| Water density | 1.0 × 103 kg/m3 | |
| Viscosity coefficients of water | 1.0 mPa·s | |
| Density of fish body | 1.0 × 103 kg/m3 | |
| Young’s modulus of fish body | 0.1 MPa | |
| Viscosity coefficient of fish body | 3 kPa·s | |
| Actuation frequency | 1 Hz |
Disclaimer/Publisher’s Note: The statements, opinions and data contained in all publications are solely those of the individual author(s) and contributor(s) and not of MDPI and/or the editor(s). MDPI and/or the editor(s) disclaim responsibility for any injury to people or property resulting from any ideas, methods, instructions or products referred to in the content. |
© 2023 by the authors. Licensee MDPI, Basel, Switzerland. This article is an open access article distributed under the terms and conditions of the Creative Commons Attribution (CC BY) license (https://creativecommons.org/licenses/by/4.0/).
Share and Cite
Cui, Z.; Zhang, X. Computational Study of Stiffness-Tuning Strategies in Anguilliform Fish. Biomimetics 2023, 8, 263. https://doi.org/10.3390/biomimetics8020263
Cui Z, Zhang X. Computational Study of Stiffness-Tuning Strategies in Anguilliform Fish. Biomimetics. 2023; 8(2):263. https://doi.org/10.3390/biomimetics8020263
Chicago/Turabian StyleCui, Zuo, and Xuyao Zhang. 2023. "Computational Study of Stiffness-Tuning Strategies in Anguilliform Fish" Biomimetics 8, no. 2: 263. https://doi.org/10.3390/biomimetics8020263
APA StyleCui, Z., & Zhang, X. (2023). Computational Study of Stiffness-Tuning Strategies in Anguilliform Fish. Biomimetics, 8(2), 263. https://doi.org/10.3390/biomimetics8020263

