Cytotoxicity of Different Composite Resins on Human Gingival Fibroblast Cell Lines
Abstract
1. Introduction
2. Materials and Methods
2.1. Cell Culture
2.2. Sample Preparation
2.3. Preparation of the Extract
2.4. Cytotoxicity Test
2.5. Statistical Analysis
3. Results
4. Discussion
5. Conclusions
Author Contributions
Funding
Institutional Review Board Statement
Informed Consent Statement
Data Availability Statement
Acknowledgments
Conflicts of Interest
References
- Fleming, G.J.; Hall, D.P.; Shortall, A.C.; Burke, F.J. Cuspal movement and microleakage in premolar teeth restored with posterior filling materials of varying reported volumetric shrinkage values. J. Dent. 2005, 33, 139–146. [Google Scholar] [CrossRef]
- Lutz, F.; Krejci, I. Amalgam substitutes: A critical analysis. J. Esthet. Dent. 2000, 12, 146–159. [Google Scholar] [CrossRef][Green Version]
- Ferracane, J.L. Elution of leachable components from composites. J. Oral. Rehabil. 1994, 21, 441–452. [Google Scholar] [CrossRef] [PubMed]
- Goldberg, M. In vitro and in vivo studies on the toxicity of dental resin components: A review. Clin. Oral Investig. 2008, 12, 1–8. [Google Scholar] [CrossRef] [PubMed]
- Geurtsen, W.; Lehmann, F.; Spahl, W.; Leyhausen, G. Cytotoxicity of 35 dental resin composite monomers/additives in permanent 3T3 and three human primary fibroblast cultures. J. Biomed. Mater. Res. 1998, 41, 474–480. [Google Scholar] [CrossRef]
- Mahmoud, S.H.; El-Embaby, A.E.; AbdAllah, A.M. Clinical performance of ormocer, nanofilled, and nanoceramic resin composites in class I and class II restorations: A three-year evaluation. Oper. Dent. 2014, 39, 32–42. [Google Scholar] [CrossRef] [PubMed]
- Monsarrat, P.; Garnier, S.; Vergnes, J.N.; Nasr, K.; Grosgogeat, B.; Joniot, S. Survival of directly placed ormocer-based restorative materials: A systematic review and meta-analysis of clinical trials. Dent. Mater. 2017, 33, e212–e220. [Google Scholar] [CrossRef] [PubMed]
- Gregor, L.; Dorien, L.; Bortolotto, T.; Feilzer, A.J.; Krejci, I. Marginal integrity of low-shrinking versus methacrylate-based composite: Effect of different one-step self-etch adhesives. Odontology 2016, 1, 55–59. [Google Scholar] [CrossRef] [PubMed]
- Moszner, N.; Gianasmidis, A.; Klapdohr, S.; Fischer, U.K.; Rheinberger, V. Sol-gel materials 2. Light-curing dental composites based on ormocers of cross-linking alkoxysilane methacrylates and further nano-components. Dent. Mater. 2008, 24, 851–856. [Google Scholar] [CrossRef]
- Al-Hiyasat, A.S.; Darmani, H.; Milhem, M.M. Cytotoxicity evaluation of dental resin composites and their flowable derivatives. Clin. Oral Investig. 2005, 9, 21–25. [Google Scholar] [CrossRef] [PubMed]
- Susila, A.V.; Balasubramanian, V. Correlation of elution and sensitivity of cell lines to dental composites. Dent. Mater. 2016, 32, e63–e72. [Google Scholar] [CrossRef]
- Cao, T.; Saw, T.Y.; Heng, B.C.; Liu, H.; Yap, A.U.; Ng, M.L. Comparison of different test models for the assessment of cytotoxicity of composite resins. J. Appl. Toxicol. 2005, 25, 101–108. [Google Scholar] [CrossRef]
- Saw, T.Y.; Cao, T.; Yap, A.U.; Lee Ng, M.M. Tooth slice organ culture and established cell line culture models for cytotoxicity assessment of dental materials. Toxicol. Vitr. 2005, 19, 145–154. [Google Scholar] [CrossRef]
- Van Dijken, J.W.; Sjöström, S.; Wing, K. Development of gingivitis around different types of composite resin. J. Clin. Periodontol. 1987, 14, 257–260. [Google Scholar] [CrossRef]
- Paolantonio, M.; D’ercole, S.; Perinetti, G.; Tripodi, D.; Catamo, G.; Serra, E.; Bruè, C.; Piccolomini, R. Clinical and microbiological effects of different restorative materials on the periodontal tissues adjacent to subgingival class V restorations: 1-year results. J. Clin. Periodontol. 2004, 31, 200–207. [Google Scholar] [CrossRef] [PubMed]
- Santos, V.R.; Lucchesi, J.A.; Cortelli, S.C.; Amaral, C.M.; Feres, M.; Duarte, P.M. Effects of glass ionomer and microfilled composite subgingival restorations on periodontal tissue and subgingival biofilm: A 6-month evaluation. J. Periodontol. 2007, 78, 1522–1528. [Google Scholar] [CrossRef] [PubMed]
- Franz, A.; Konig, F.; Skolka, A.; Sperr, W.; Bauer, P.; Lucas, T.; Watts, D.C.; Schedle, A. Cytotoxicity of resin composites as a function of interface area. Dent. Mater. 2007, 23, 1438–1446. [Google Scholar] [CrossRef] [PubMed]
- De Melo, W.M.; Maximiano, W.M.A.; Antunes, A.A.; Beloti, M.M.; Rosa, A.L.; de Oliveira, P.T. Cytotoxicity testing of methyl and ethyl 2-cyanoacrylate using direct contact assay on osteoblast cell cultures. J. Oral Maxillofac. Surg. 2013, 71, 35–41. [Google Scholar] [CrossRef] [PubMed]
- Li, W.; Zhou, J.; Xu, Y. Study of the in vitro cytotoxicity testing of medical devices. Biomed. Rep. 2015, 3, 617–620. [Google Scholar] [CrossRef]
- Yang, Y.; Reichl, F.-X.; Shi, J.; He, X.; Hickel, R.; Högg, C. Cytotoxicity and DNA double-strand breaks in human gingival fibroblasts exposed to eluates of dental composites. Dent. Mater. 2018, 34, 201–208. [Google Scholar] [CrossRef] [PubMed]
- Anand, V.S.; Balasubramanian, V. Effect of resin chemistry on depth of cure and cytotoxicity of dental resin composites. Mater. Sci. Eng. B. 2014, 181, 33–38. [Google Scholar] [CrossRef]
- Khurshid, Z.; Zafar, M.; Qasim, S.; Shahab, S.; Naseem, M.; AbuReqaiba, A. Advances in nanotechnology for restorative dentistry. Materials 2015, 16, 717–731. [Google Scholar] [CrossRef]
- Manojlovic, D.; Radisic, M.; Vasiljevic, T.; Zivkovic, S.; Lausevic, M.; Miletic, V. Monomer elution from nanohybrid and ormocer-based composites cured with different light sources. Dent. Mater. 2011, 27, 371–378. [Google Scholar] [CrossRef] [PubMed]
- Amato, P.A.; Martins, R.P.; dos Santos Cruz, C.A.; Capella, M.V.; Martins, L.P. Time reduction of light curing: Influence on conversion degree and microhardness of orthodontic composites. Am. J. Orthod. Dentofac. Orthop. 2014, 146, 40–46. [Google Scholar] [CrossRef] [PubMed]
- Caughman, W.F.; Caughman, G.B.; Shiflett, R.A.; Rueggeberg, F.; Schuster, G.S. Correlation of cytotoxicity, filler loading and curing time of dental composites. Biomaterials 1991, 12, 737–740. [Google Scholar] [CrossRef]
- Randolph, L.D.; Palin, W.M.; Leloup, G.; Leprince, J.G. Filler characteristics of modern dental resin composites and their influence on physico-mechanical properties. Dent. Mater. 2016, 32, 1586–1599. [Google Scholar] [CrossRef] [PubMed]
- Putzeys, E.; De Nys, S.; Cokic, S.M.; Duca, R.C.; Vanoirbeek, J.; Godderis, L.; Van Meerbeek, B.; Van Landuyt, K.L. Long-term elution of monomers from resin-based dental composites. Dent. Mater. 2019, 35, 477–485. [Google Scholar] [CrossRef] [PubMed]



| Material | Manufacturer | Code | Composition | Filler Content | Lot Number |
|---|---|---|---|---|---|
| Omnichroma | Tokuyama Dental Corporation Tokyo, Japan | OC | Matrix: UDMA/TEGDMA monomers Filler: spherical SiO2-ZrO2 | 79% (w/w) | 003M2 |
| Omnichroma Blocker | Tokuyama Dental Corporation Tokyo, Japan | OCB | Matrix: Bis-GMA, triethylene glycol dimethacrylate Filler: spherical SiO2-ZrO2 | 82% (w/w) | 002 |
| Admira Fusion x-tra | Voco, Cuxhaven, Germany | AFX | Matrix: ORMOCER® Filler: glass ceramics, silica nanoparticles, pigments | 84% (w/w) | 1750435 |
| Enamel Plus HRi Bio Function Enamel | Micerium S.p.A., Avegno, Italy | EPE | Matrix: urethane dimethacrylate, tricyclodecane dimethanol dimethacrylate, no comonomers and no Bis-GMA Filler: glass filler, high dispersion silicon dioxide, fluorine | 74% (w/w) | 2018006379 |
| Enamel Plus HRi | Micerium S.p.A., Avegno, Italy | EP | Matrix: diurethan dimethacrylate, BisGMA, 1,4-butandioldimethacrylate Filler: surface-treated nano zirconium oxide particles, glass | 77% (w/w) | 2017008768 |
| G-ænial (Anterior) | GC Corporation, Tokyo, Japan | GA | Matrix: UDMA, dimethacrylate co-monomers, no bis-GMa Filler: silica, strontium, lanthanoid fluoride | 76% (w/w) | 190530A |
| G-ænial Flo X | GC Corporation, Tokyo, Japan | GFX | Matrix: UDMA, Bis-MPEPP), TEGDMA Filler: silicon dioxide, strontium glass | 71% (w/w) | 190521A |
| Enamel Plus HRi Bio Function Bio Dentine | Micerium S.p.A., Avegno, Italy | EPD | Matrix: urethane dimethacrylate, tricyclodecane dimethanol dimethacrylate, no comonomers and no Bis-GMA Filler: glass filler, high dispersion silicon dioxide, fluorine | 74 % (w/w) | 2018006379 |
| Material | 48 h | 72 h | |||
|---|---|---|---|---|---|
| Median (Max–Min) | Mean (SD) | Median (Max–Min) | Mean (SD) | p | |
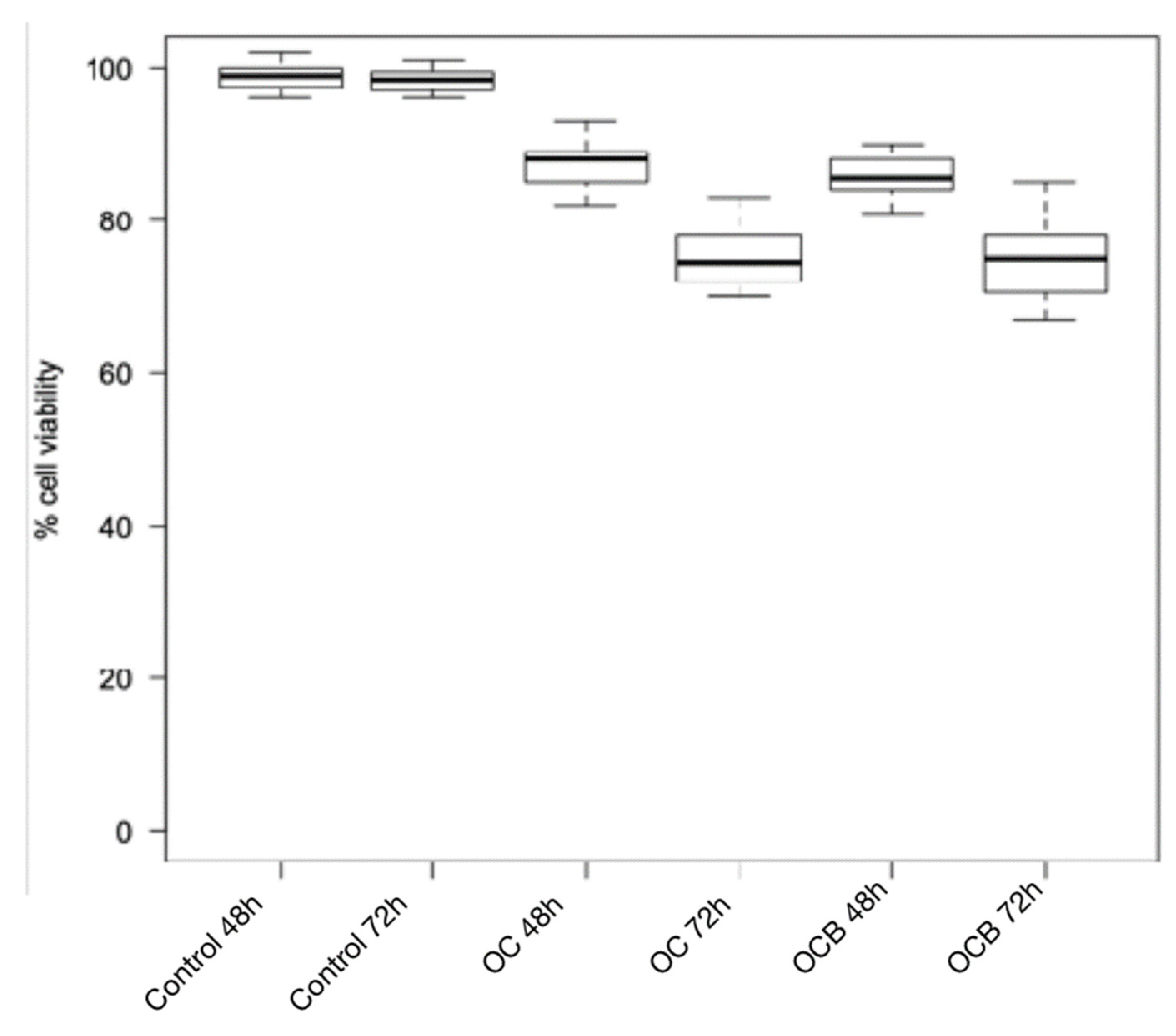
| Control | 99 (102–96) | 98.8 (1.61) | 98.5 (101–96) | 98.4 (1.50) | 0.448 |
| Omnichroma | 88 (93–82) | 87.6 (3.14) | 74.5 (83–70) | 75.35 (3.67) | 0.000 |
| Omnichroma Blocker | 85.5 (90–81) | 85.8 (2.80) | 75 (85–67) | 74.65 (4.66) | 0.000 |
| Admira Fusion x-tra | 84.5 (89–79) | 84.3 (3.19) | 61.5 (69–56) | 61.85 (4.22) | 0.000 |
| Enamel Plus HRi Bio Function Enamel | 86 (91–81) | 86.2 (2.71) | 62.5 (68–53) | 61.5 (4.5) | 0.000 |
| Enamel Plus HRi | 28 (31–18) | 27,1 (3.6) | 27.5 (38–21) | 28.55 (4.85) | 0.794 |
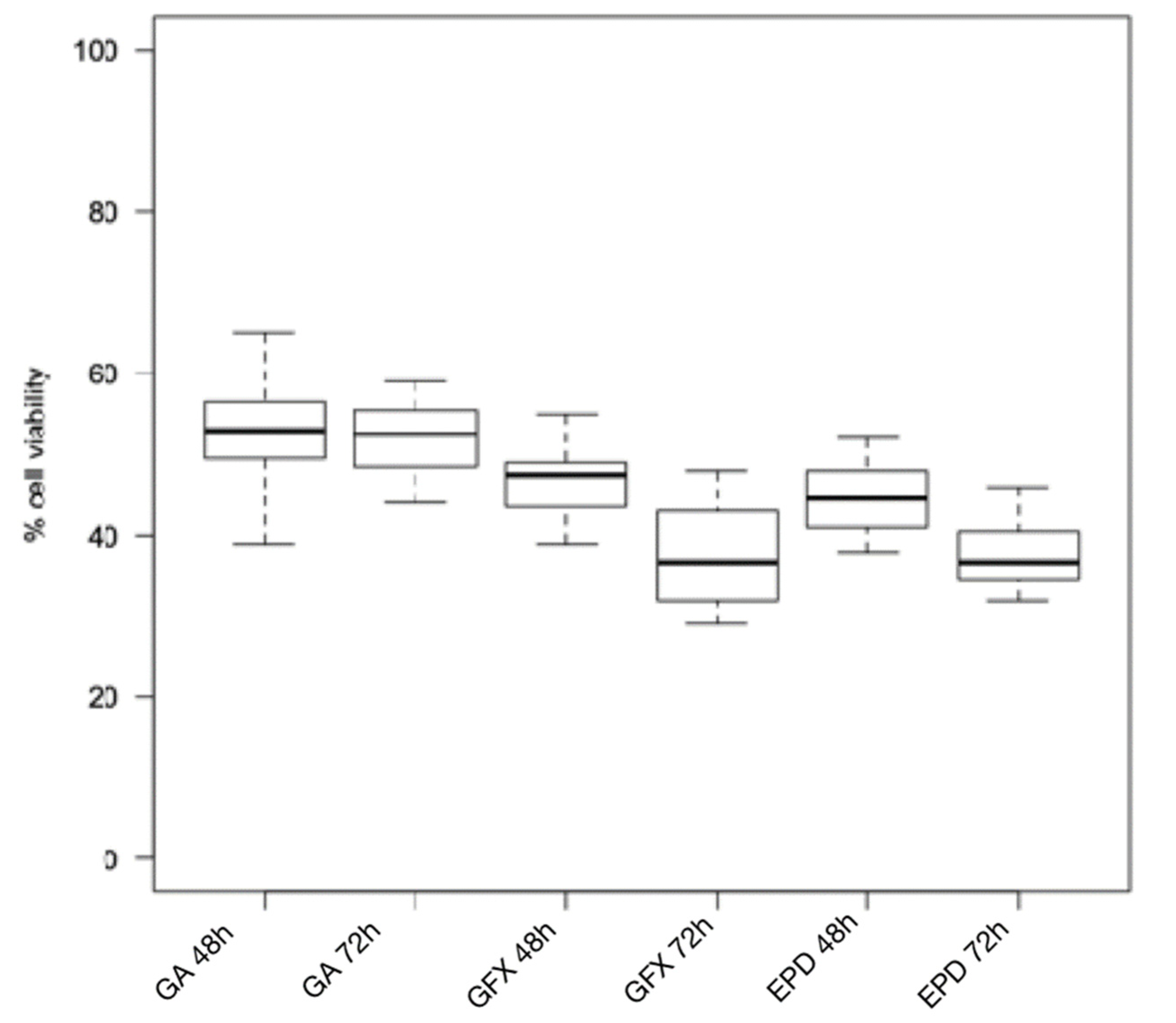
| G-aenial (Anterior) | 53 (65–39) | 53.05 (5.52) | 52.5 (59–44) | 51.75 (4.63) | 0.400 |
| G-aenial Flo X | 47.5 (55–39) | 46.9 (4.14) | 36.5 (48–29) | 37.15 (5.19) | 0.000 |
| Enamel Plus HRi Bio Function Bio Dentine | 44.5(52–38) | 44.35 (4.2) | 36.5 (46–32) | 37.55 (4.1) | 0.000 |
Publisher’s Note: MDPI stays neutral with regard to jurisdictional claims in published maps and institutional affiliations. |
© 2021 by the authors. Licensee MDPI, Basel, Switzerland. This article is an open access article distributed under the terms and conditions of the Creative Commons Attribution (CC BY) license (https://creativecommons.org/licenses/by/4.0/).
Share and Cite
Beltrami, R.; Colombo, M.; Rizzo, K.; Di Cristofaro, A.; Poggio, C.; Pietrocola, G. Cytotoxicity of Different Composite Resins on Human Gingival Fibroblast Cell Lines. Biomimetics 2021, 6, 26. https://doi.org/10.3390/biomimetics6020026
Beltrami R, Colombo M, Rizzo K, Di Cristofaro A, Poggio C, Pietrocola G. Cytotoxicity of Different Composite Resins on Human Gingival Fibroblast Cell Lines. Biomimetics. 2021; 6(2):26. https://doi.org/10.3390/biomimetics6020026
Chicago/Turabian StyleBeltrami, Riccardo, Marco Colombo, Keren Rizzo, Alessio Di Cristofaro, Claudio Poggio, and Giampiero Pietrocola. 2021. "Cytotoxicity of Different Composite Resins on Human Gingival Fibroblast Cell Lines" Biomimetics 6, no. 2: 26. https://doi.org/10.3390/biomimetics6020026
APA StyleBeltrami, R., Colombo, M., Rizzo, K., Di Cristofaro, A., Poggio, C., & Pietrocola, G. (2021). Cytotoxicity of Different Composite Resins on Human Gingival Fibroblast Cell Lines. Biomimetics, 6(2), 26. https://doi.org/10.3390/biomimetics6020026

