Biofunctional Testing of a Degradable Implant Made by Mg-Nd and Mg-Zn Alloys Used for Bone Defects
Abstract
1. Introduction
2. Materials and Methods
2.1. Implant Manufacturing Process
2.2. Material Properties Evaluation
2.2.1. Mechanical Properties
2.2.2. Immersion Test in Simulated Body Fluid
2.2.3. Surface Properties
2.3. In Vitro Biocompatibility Analysis
2.3.1. Cell Culture and Cytotoxicity Assessment
2.3.2. Apoptosis and Necrosis Analysis
2.3.3. Statistical Analysis
3. Results and Discussion
3.1. Implant Design Outcomes
3.2. Material and Implant Properties
3.2.1. Mechanical Characterization
3.2.2. Biodegradation Evaluation After Immersion in Simulated Body Fluid
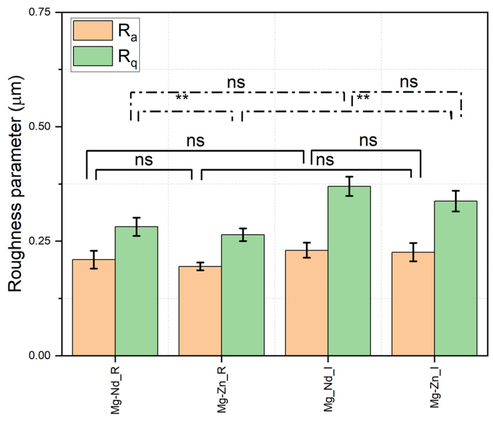
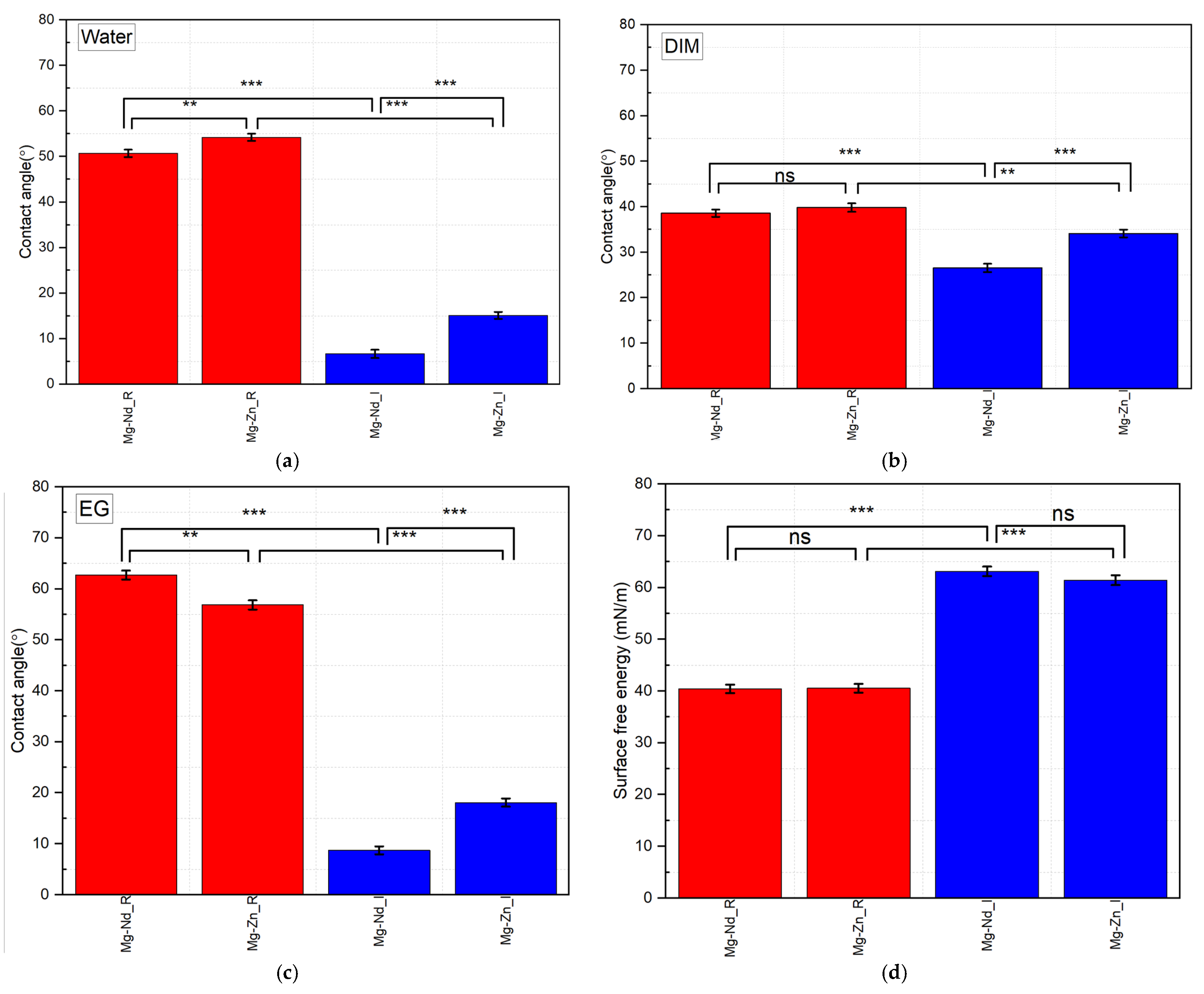
3.2.3. Surface Characterization
3.3. Cytotoxicity Evaluation After Cell Culture Tests
4. Conclusions
Author Contributions
Funding
Institutional Review Board Statement
Informed Consent Statement
Data Availability Statement
Conflicts of Interest
References
- Rahmati, M.; Mills, D.K.; Urbanska, A.M.; Saeb, M.R.; Venugopal, J.R.; Ramakrishna, S.; Mozafari, M. Electrospinning for Tissue Engineering Applications. Prog. Mater. Sci. 2021, 117, 100721. [Google Scholar] [CrossRef]
- Bița, T.; Corneschi, I.; Ungureanu, E.; Bița, A.-I.; Ignat, N.-D.; Dura, H.; Cârstoc, I.D. Influence of Heat Treatment on Microstructure and Corrosion Behavior of Biodegradable Mg-Ca Alloy. U.P.B. Sci. Bull. Ser. B 2023, 85, 247–260. [Google Scholar]
- Pascu, A.; Oleksik, V.; Pirvu, B.; Fratila, A.; Ionas, M.; Boitor, C. Modern Methods of Study and Research in Mechanical Engineering Applied to Medicine. In Proceedings of the Balkan Region Conference on Engineering and Business Education & 2nd International Conference on Engineering and Business Education, Sibiu, Romania, 15 October 2009. [Google Scholar]
- Sharma, P.; Kumar, P.; Sharma, R.; Bhatt, V.D.; Dhot, P. Tissue Engineering; Current Status & Futuristic Scope. J. Med. Life 2019, 12, 225–229. [Google Scholar] [CrossRef]
- Asadian, M.; Chan, K.V.; Norouzi, M.; Grande, S.; Cools, P.; Morent, R.; De Geyter, N. Fabrication and Plasma Modification of Nanofibrous Tissue Engineering Scaffolds. Nanomaterials 2020, 10, 119. [Google Scholar] [CrossRef] [PubMed]
- Giannoudis, P.V.; Dinopoulos, H.; Tsiridis, E. Bone Substitutes: An Update. Injury 2005, 36, S20–S27. [Google Scholar] [CrossRef] [PubMed]
- Palmer, S.H.; Gibbons, C.L.M.H.; Athanasou, N.A. The Pathology of Bone Allograft. J. Bone Jt. Surg. Br. Vol. 1999, 81-B, 333–335. [Google Scholar] [CrossRef]
- Stratton, S.; Shelke, N.B.; Hoshino, K.; Rudraiah, S.; Kumbar, S.G. Bioactive Polymeric Scaffolds for Tissue Engineering. Bioact. Mater. 2016, 1, 93–108. [Google Scholar] [CrossRef]
- Raut, H.K.; Das, R.; Liu, Z.; Liu, X.; Ramakrishna, S. Biocompatibility of Biomaterials for Tissue Regeneration or Replacement. Biotechnol. J. 2020, 15, 2000160. [Google Scholar] [CrossRef]
- Hollister, S.J.; Maddox, R.D.; Taboas, J.M. Optimal Design and Fabrication of Scaffolds to Mimic Tissue Properties and Satisfy Biological Constraints. Biomaterials 2002, 23, 4095–4103. [Google Scholar] [CrossRef]
- Liu, Y.; Nelson, T.; Chakroff, J.; Cromeens, B.; Johnson, J.; Lannutti, J.; Besner, G.E. Comparison of Polyglycolic Acid, Polycaprolactone, and Collagen as Scaffolds for the Production of Tissue Engineered Intestine. J. Biomed. Mater. Res. 2019, 107, 750–760. [Google Scholar] [CrossRef]
- Jazayeri, H.E.; Rodriguez-Romero, M.; Razavi, M.; Tahriri, M.; Ganjawalla, K.; Rasoulianboroujeni, M.; Malekoshoaraie, M.H.; Khoshroo, K.; Tayebi, L. The Cross-Disciplinary Emergence of 3D Printed Bioceramic Scaffolds in Orthopedic Bioengineering. Ceram. Int. 2018, 44, 1–9. [Google Scholar] [CrossRef]
- Lee, S.S.; Du, X.; Kim, I.; Ferguson, S.J. Scaffolds for Bone-Tissue Engineering. Matter 2022, 5, 2722–2759. [Google Scholar] [CrossRef]
- Abbasian, M.; Massoumi, B.; Mohammad-Rezaei, R.; Samadian, H.; Jaymand, M. Scaffolding Polymeric Biomaterials: Are Naturally Occurring Biological Macromolecules More Appropriate for Tissue Engineering? Int. J. Biol. Macromol. 2019, 134, 673–694. [Google Scholar] [CrossRef] [PubMed]
- Jin, L.; Li, P.; Wang, Y.-C.; Feng, L.; Xu, R.; Yang, D.-B.; Yao, X.-H. Studies of Superb Microvascular Imaging and Contrast-Enhanced Ultrasonography in the Evaluation of Vascularization in Early Bone Regeneration. J. Ultrasound Med. 2019, 38, 2963–2971. [Google Scholar] [CrossRef]
- Novosel, E.C.; Kleinhans, C.; Kluger, P.J. Vascularization Is the Key Challenge in Tissue Engineering. Adv. Drug Deliv. Rev. 2011, 63, 300–311. [Google Scholar] [CrossRef]
- Qiu, L.; Zhu, Z.; Peng, F.; Zhang, C.; Xie, J.; Zhou, R.; Zhang, Y.; Li, M. Li-Doped Ti Surface for the Improvement of Osteointegration. ACS Omega 2022, 7, 12030–12038. [Google Scholar] [CrossRef] [PubMed]
- Guglielmotti, M.B.; Olmedo, D.G.; Cabrini, R.L. Research on Implants and Osseointegration. Periodontology 2000 2019, 79, 178–189. [Google Scholar] [CrossRef]
- Antoniac, I.; Manescu (Paltanea), V.; Paltanea, G.; Antoniac, A.; Fosca, M.; Laptoiu, D.; Rau, J.V. Advancements in Biomaterials and Bioactive Solutions for Lumbar Spine Fusion Cages: Current Trends and Future Perspectives. Bioact. Mater. 2025, 53, 656–703. [Google Scholar] [CrossRef] [PubMed]
- Xue, N.; Ding, X.; Huang, R.; Jiang, R.; Huang, H.; Pan, X.; Min, W.; Chen, J.; Duan, J.-A.; Liu, P.; et al. Bone Tissue Engineering in the Treatment of Bone Defects. Pharmaceuticals 2022, 15, 879. [Google Scholar] [CrossRef]
- Filip, N.; Radu, I.; Veliceasa, B.; Filip, C.; Pertea, M.; Clim, A.; Pinzariu, A.C.; Drochioi, I.C.; Hilitanu, R.L.; Serban, I.L. Biomaterials in Orthopedic Devices: Current Issues and Future Perspectives. Coatings 2022, 12, 1544. [Google Scholar] [CrossRef]
- Nasrabadi, H.N.; Robu, A.; Ciocoiu, R.; Dumitrescu, R.; Necsulescu, D.A.; Fratila, A.M. Evaluation of Surface Properties in 316L Stainless Steel Orthopedic Implants. U.P.B. Sci. Bull. Ser. B 2025, 87, 187–200. [Google Scholar]
- Kharissova, O.V.; Méndez, Y.P.; Kharisov, B.I.; Nikolaev, A.L.; Dorozhkin, S.V.; Mena, D.N.; García, B.O. Biomineralization of Calcium Phosphates in Nature. Nano-Struct. Nano-Objects 2025, 41, 101425. [Google Scholar] [CrossRef]
- Varlik, E.; Viviant, L.; Kurtuldu, F.; Nawaz, Q.; Chen, S.; Kraxner, J.; Galusek, D.; Michálek, M.; Boccaccini, A.R. Bioactive Glass (BG) Particle Shape Affects the Mechanical and Biological Properties of PLA/BG Scaffolds for Bone Regeneration. Mater. Lett. 2026, 403, 139383. [Google Scholar] [CrossRef]
- Moll, M.N.; Nawaz, Q.; Kunisch, E.; Ahrens, T.; Walker, T.; Renkawitz, T.; Boccaccini, A.R.; Westhauser, F. Mesoporous Bioactive Glass Nanoparticles Exhibit Intrinsic Angiogenic Potential in the Chorioallantoic Membrane Assay, without the Addition of Exogenous Cells. Altern. Lab. Anim. 2025, 53, 261–270. [Google Scholar] [CrossRef]
- Yu, H.; Liu, H.; Shen, Y.; Ao, Q. Synthetic Biodegradable Polymer Materials in the Repair of Tumor-Associated Bone Defects. Front. Bioeng. Biotechnol. 2023, 11, 1096525. [Google Scholar] [CrossRef] [PubMed]
- Farjaminejad, S.; Farjaminejad, R.; Hasani, M.; Garcia-Godoy, F.; Abdouss, M.; Marya, A.; Harsoputranto, A.; Jamilian, A. Advances and Challenges in Polymer-Based Scaffolds for Bone Tissue Engineering: A Path Towards Personalized Regenerative Medicine. Polymers 2024, 16, 3303. [Google Scholar] [CrossRef] [PubMed]
- Papuc, A.; Bran, S.; Moldovan, M.; Lucaciu, O.; Armencea, G.; Baciut, G.; Dinu, C.; Onișor, F.; Kretschmer, W.; Baciut, M. How Is Bone Regeneration Influenced by Polymer Membranes? Insight into the Histological and Radiological Point of View in the Literature. Membranes 2024, 14, 193. [Google Scholar] [CrossRef] [PubMed]
- Antoniac, I.; Manescu (Paltanea), V.; Paltanea, G.; Antoniac, A.; Nemoianu, I.V.; Petrescu, M.I.; Dura, H.; Bodog, A.D. Additive Manufactured Magnesium-Based Scaffolds for Tissue Engineering. Materials 2022, 15, 8693. [Google Scholar] [CrossRef]
- Antoniac, I.; Miculescu, M.; Mănescu (Păltânea), V.; Stere, A.; Quan, P.H.; Păltânea, G.; Robu, A.; Earar, K. Magnesium-Based Alloys Used in Orthopedic Surgery. Materials 2022, 15, 1148. [Google Scholar] [CrossRef]
- Antoniac, I.; Manescu (Paltanea), V.; Antoniac, A.; Paltanea, G. Magnesium-Based Alloys with Adapted Interfaces for Bone Implants and Tissue Engineering. Regen. Biomater. 2023, 10, rbad095. [Google Scholar] [CrossRef]
- Manescu (Paltanea), V.; Antoniac, I.; Antoniac, A.; Laptoiu, D.; Paltanea, G.; Ciocoiu, R.; Nemoianu, I.V.; Gruionu, L.G.; Dura, H. Bone Regeneration Induced by Patient-Adapted Mg Alloy-Based Scaffolds for Bone Defects: Present and Future Perspectives. Biomimetics 2023, 8, 618. [Google Scholar] [CrossRef]
- Dragomir (Nicolescu), L.; Antoniac, I.; Manescu; Paltanea), V.; Antoniac, A.; Miculescu, M.; Trante, O.; Streza, A.; Cotruț, C.M.; Forna, D.A. Microstructure and Corrosion Behaviour of Mg-Ca and Mg-Zn-Ag Alloys for Biodegradable Hard Tissue Implants. Crystals 2023, 13, 1213. [Google Scholar] [CrossRef]
- Kim, Y.-K.; Lee, K.-B.; Kim, S.-Y.; Bode, K.; Jang, Y.-S.; Kwon, T.-Y.; Jeon, M.H.; Lee, M.-H. Gas Formation and Biological Effects of Biodegradable Magnesium in a Preclinical and Clinical Observation. Sci. Technol. Adv. Mater. 2018, 19, 324–335. [Google Scholar] [CrossRef] [PubMed]
- Manescu (Paltanea), V.; Antoniac, A.; Moraru, M.C.; Antoniac, I.; Cotrut, C.M.; Gradinaru, S.; Dreanca, A.I.; Sevastre, B.; Pop, R.; Tabaran, F.A.; et al. Suitability of Mg-Nd and Mg-Zn Alloys to Obtain Biodegradable Structures for Bone Defects. JFB 2025, 16, 423. [Google Scholar] [CrossRef] [PubMed]
- ISO 10993-1:2025; Biological Evaluation of Medical Devices—Part 1: Requirements and General Principles for the Evaluation of Biological Safety Within a Risk Management Process. ISO: Geneva, Switzerland, 2025.
- Ranakoti, L.; Gangil, B.; Bhandari, P.; Singh, T.; Sharma, S.; Singh, J.; Singh, S. Promising Role of Polylactic Acid as an Ingenious Biomaterial in Scaffolds, Drug Delivery, Tissue Engineering, and Medical Implants: Research Developments, and Prospective Applications. Molecules 2023, 28, 485. [Google Scholar] [CrossRef]
- Maintz, M.; Tourbier, C.; de Wild, M.; Cattin, P.C.; Beyer, M.; Seiler, D.; Honigmann, P.; Sharma, N.; Thieringer, F.M. Patient-Specific Implants Made of 3D Printed Bioresorbable Polymers at the Point-of-Care: Material, Technology, and Scope of Surgical Application. 3D Print. Med. 2024, 10, 13. [Google Scholar] [CrossRef]
- da Silva, D.; Kaduri, M.; Poley, M.; Adir, O.; Krinsky, N.; Shainsky-Roitman, J.; Schroeder, A. Biocompatibility, Biodegradation and Excretion of Polylactic Acid (PLA) in Medical Implants and Theranostic Systems. Chem. Eng. J. 2018, 340, 9–14. [Google Scholar] [CrossRef]
- Drynda, A.; Hassel, T.; Hoehn, R.; Perz, A.; Bach, F.-W.; Peuster, M. Development and Biocompatibility of a Novel Corrodible Fluoride-Coated Magnesium-Calcium Alloy with Improved Degradation Kinetics and Adequate Mechanical Properties for Cardiovascular Applications. J. Biomed. Mater. Res. A 2010, 93, 763–775. [Google Scholar] [CrossRef]
- Thomann, M.; Krause, C.; Angrisani, N.; Bormann, D.; Hassel, T.; Windhagen, H.; Meyer-Lindenberg, A. Influence of a Magnesium-Fluoride Coating of Magnesium-Based Implants (MgCa0.8) on Degradation in a Rabbit Model. J. Biomed. Mater. Res. A 2010, 93, 1609–1619. [Google Scholar] [CrossRef] [PubMed]
- Yao, W.; Tan, Y.; Lu, Q.; Yi, H.; Cheng, C.; Wu, L.; Saji, V.S.; Pan, F. Recent Advances in Protective Coatings and Surface Modifications for Corrosion Protection of Mg Alloys. J. Mater. Res. Technol. 2024, 31, 3238–3254. [Google Scholar] [CrossRef]
- ASTM E9-09; Standard Test Methods of Compression Testing of Metallic Materials at Room Temperature. ASTM International: West Conshohocken, PA, USA, 2025.
- Kokubo, T.; Kushitani, H.; Sakka, S.; Kitsugi, T.; Yamamuro, T. Solutions Able to Reproduce in Vivo Surface-Structure Changes in Bioactive Glass-Ceramic A-W3. J. Biomed. Mater. Res. 1990, 24, 721–734. [Google Scholar] [CrossRef]
- Zadpoor, A.A. Relationship between in vitro Apatite-Forming Ability Measured Using Simulated Body Fluid and in vivo Bioactivity of Biomaterials. Mater. Sci. Eng. C 2014, 35, 134–143. [Google Scholar] [CrossRef] [PubMed]
- Pietrzyńska, M.; Voelkel, A. Stability of Simulated Body Fluids Such as Blood Plasma, Artificial Urine and Artificial Saliva. Microchem. J. 2017, 134, 197–201. [Google Scholar] [CrossRef]
- Kokubo, T.; Takadama, H. How Useful Is SBF in Predicting in Vivo Bone Bioactivity? Biomaterials 2006, 27, 2907–2915. [Google Scholar] [CrossRef]
- Standard Guide for Laboratory Immersion Corrosion Testing of Metals. Available online: https://store.astm.org/g0031-21r25.html (accessed on 8 February 2026).
- ASTM G1-03(2017)e1; Standard Practice for Preparing, Cleaning, and Evaluating Corrosion Test Specimens. ASTM International: West Conshohocken, PA, USA, 2025.
- Zainal Abidin, N.I.; Atrens, A.D.; Martin, D.; Atrens, A. Corrosion of High Purity Mg, Mg2Zn0.2Mn, ZE41 and AZ91 in Hank’s Solution at 37 °C. Corros. Sci. 2011, 53, 3542–3556. [Google Scholar] [CrossRef]
- Cheng, M.; Wahafu, T.; Jiang, G.; Liu, W.; Qiao, Y.; Peng, X.; Cheng, T.; Zhang, X.; He, G.; Liu, X. A Novel Open-Porous Magnesium Scaffold with Controllable Microstructures and Properties for Bone Regeneration. Sci. Rep. 2016, 6, 24134. [Google Scholar] [CrossRef]
- Zhang, Z.; Gupte, M.J.; Ma, P.X. Biomaterials and Stem Cells for Tissue Engineering. Expert. Opin. Biol. Ther. 2013, 13, 527–540. [Google Scholar] [CrossRef] [PubMed]
- Zhang, B.; Hou, Y.; Wang, X.; Wang, Y.; Geng, L. Mechanical Properties, Degradation Performance and Cytotoxicity of Mg–Zn–Ca Biomedical Alloys with Different Compositions. Mater. Sci. Eng. C 2011, 31, 1667–1673. [Google Scholar] [CrossRef]
- Vojtěch, D.; Kubásek, J.; Čapek, J. Comparative Mechanical and Corrosion Studies on Magnesium, Zinc and Iron Alloys as Biodegradable Metals. Mater. Tehnol. 2015, 49, 877–882. [Google Scholar] [CrossRef]
- Annamalai, M.; Gopinadhan, K.; Han, S.A.; Saha, S.; Park, H.J.; Cho, E.B.; Kumar, B.; Patra, A.; Kim, S.-W.; Venkatesan, T. Surface Energy and Wettability of van Der Waals Structures. Nanoscale 2016, 8, 5764–5770. [Google Scholar] [CrossRef]
- Keesom, W.H. The Second Viral Coefficient for Rigid Spherical Molecules, Whose Mutual Attraction Is Equivalent to That of a Quadruplet Placed at Their Centre. In Proceedings of the Royal Netherlands Academy of Arts and Sciences (KNAW) Proceedings; Amsterdam, The Netherlands, 1915; Volume 18 I, pp. 636–646. [Google Scholar]
- London, F. The General Theory of Molecular Forces. Trans. Faraday Soc. 1937, 33, 8b-26. [Google Scholar] [CrossRef]
- Geometrical Product Specifications (GPS)—Surface Texture: Profile. Available online: https://www.iso.org/standard/72196.html (accessed on 15 November 2025).
- Tomuleasa, C.I.; Foris, V.; Soriţău, O.; Páll, E.; Fischer-Fodor, E.; Lung-Illes, V.; Brie, I.; Virág, P.; Perde-Schrepler, M.; Postescu, I.D.; et al. Effects of 60Co Gamma-Rays on Human Osteoprogenitor Cells. Rom. J. Morphol. Embryol. 2009, 50, 349–355. [Google Scholar] [PubMed]
- Zhen, Z.; Liu, X.; Huang, T.; Xi, T.; Zheng, Y. Hemolysis and Cytotoxicity Mechanisms of Biodegradable Magnesium and Its Alloys. Mater. Sci. Eng. C 2015, 46, 202–206. [Google Scholar] [CrossRef]
- Kim, K.-J.; Choi, S.; Sang Cho, Y.; Yang, S.-J.; Cho, Y.-S.; Kim, K.K. Magnesium Ions Enhance Infiltration of Osteoblasts in Scaffolds via Increasing Cell Motility. J. Mater. Sci. Mater. Med. 2017, 28, 96. [Google Scholar] [CrossRef]
- Mahmoud, A.; Ezgi, Ö.; Merve, A.; Özhan, G. In Vitro Toxicological Assessment of Magnesium Oxide Nanoparticle Exposure in Several Mammalian Cell Types. Int. J. Toxicol. 2016, 35, 429–437. [Google Scholar] [CrossRef]
- Di Virgilio, A.L.; Reigosa, M.; de Mele, M.F.L. Biocompatibility of Magnesium Particles Evaluated by in Vitro Cytotoxicity and Genotoxicity Assays. J. Biomed. Mater. Res. B Appl. Biomater. 2011, 99, 111–119. [Google Scholar] [CrossRef]
- Biological Evaluation of Medical Devices—Part 5: Tests for In Vitro Cytotoxicity. ISO: Geneva, Switzerland, 2009; Available online: https://www.iso.org/standard/36406.html (accessed on 7 February 2026).
- Manescu Paltanea, V.; Paltanea, G.; Antoniac, A.; Gruionu, L.G.; Robu, A.; Vasilescu, M.; Laptoiu, S.A.; Bita, A.I.; Popa, G.M.; Cocosila, A.L.; et al. Mechanical and Computational Fluid Dynamic Models for Magnesium-Based Implants. Materials 2024, 17, 830. [Google Scholar] [CrossRef]
- VDI/VDE 2630 Blatt 2.1; Computed Tomography in Dimensional Measurement—Determination of the Resolution of CT Systems. VDI: Berlin, Germany, 2015.
- VDI/VDE 2630 Blatt 1.3; Computed Tomography in Dimensional Measurement—Guideline for the Application of Coordinate Measuring Systems with CT Sensors. VDI: Berlin, Germany, 2011.
- ASTM E1441-19; Standard Guide for Computed Tomography (CT) Imaging. ASTM International: West Conshohocken, PA, USA, 2019.
- Drábiková, J.; Fintová, S.; Tkacz, J.; Doležal, P.; Wasserbauer, J. Unconventional Fluoride Conversion Coating Preparation and Characterization. ACMM 2017, 64, 613–619. [Google Scholar] [CrossRef]
- Drynda, A.; Seibt, J.; Hassel, T.; Bach, F.W.; Peuster, M. Biocompatibility of Fluoride-Coated Magnesium-Calcium Alloys with Optimized Degradation Kinetics in a Subcutaneous Mouse Model. J. Biomed. Mater. Res. 2013, 101A, 33–43. [Google Scholar] [CrossRef]
- da Conceicao, T.F.; Scharnagl, N.; Blawert, C.; Dietzel, W.; Kainer, K.U. Surface Modification of Magnesium Alloy AZ31 by Hydrofluoric Acid Treatment and Its Effect on the Corrosion Behaviour. Thin Solid. Film. 2010, 518, 5209–5218. [Google Scholar] [CrossRef]
- Yan, T.; Tan, L.; Zhang, B.; Yang, K. Fluoride Conversion Coating on Biodegradable AZ31B Magnesium Alloy. J. Mater. Sci. Technol. 2014, 30, 666–674. [Google Scholar] [CrossRef]
- Zhai, C.; Dai, C.Y.; Lv, X.; Shi, B.; Li, Y.R.; Yang, Y.; Fan, D.; Lee, E.-S.; Sun, Y.; Jiang, H.B. Fluoride Coatings on Magnesium Alloy Implants. Bioinorg. Chem. Appl. 2022, 2022, 7636482. [Google Scholar] [CrossRef]
- Da Conceição, T.F.; Scharnagl, N. Fluoride Conversion Coatings for Magnesium and Its Alloys for the Biological Environment. In Surface Modification of Magnesium and Its Alloys for Biomedical Applications; Elsevier: Amsterdam, The Netherlands, 2015; pp. 3–21. ISBN 978-1-78242-078-1. [Google Scholar]
- Lou, J.; Sun, Y.; Chen, Y.; Zan, R.; Peng, H.; Yang, S.; Kang, X.; Peng, Z.; Wang, W.; Zhang, X. Effects of MgF2 Coating on the Biodegradation and Biological Properties of Magnesium. Surf. Coat. Technol. 2021, 422, 127552. [Google Scholar] [CrossRef]
- Yazdimamaghani, M.; Razavi, M.; Vashaee, D.; Moharamzadeh, K.; Boccaccini, A.R.; Tayebi, L. Porous Magnesium-Based Scaffolds for Tissue Engineering. Mater. Sci. Eng. C 2017, 71, 1253–1266. [Google Scholar] [CrossRef] [PubMed]
- Schmidt, M.; Waselau, A.-C.; Feichtner, F.; Julmi, S.; Klose, C.; Maier, H.J.; Wriggers, P.; Meyer-Lindenberg, A. In Vivo Investigation of Open-Pored Magnesium Scaffolds LAE442 with Different Coatings in an Open Wedge Defect. J. Appl. Biomater. Funct. Mater. 2022, 20, 22808000221142679. [Google Scholar] [CrossRef]
- Seetharaman, S.; Sankaranarayanan, D.; Gupta, M. Magnesium-Based Temporary Implants: Potential, Current Status, Applications, and Challenges. J. Funct. Biomater. 2023, 14, 324. [Google Scholar] [CrossRef]
- Rynkus, B.; Scano, A.; Puxeddu, S.; Angius, F.; Ennas, G.; Szewczenko, J. Biodegradable Magnesium Alloys for Short-Term Orthopedic Implants: Properties, Surface Modification and Biological Response. J. Mater. Res. Technol. 2026, 40, 488–503. [Google Scholar] [CrossRef]
- Joshi, P.; Rao, R.N.; Golla, C.B.; Özcan, M.; Prasad, P.S. Comprehensive Review of Mg-Based Alloys: Mechanical, Chemical and Biological Properties for Prosthetic and Orthopedic Applications. J. Mater. Res. Technol. 2025, 35, 2487–2502. [Google Scholar] [CrossRef]
- Liu, K.; Zhang, J.; Su, G.; Tang, D.; Rokhlin, L.L.; Elkin, F.M.; Meng, J. Influence of Zn Content on the Microstructure and Mechanical Properties of Extruded Mg–5Y–4Gd–0.4Zr Alloy. J. Alloys Compd. 2009, 481, 811–818. [Google Scholar] [CrossRef]
- Prakash, G.; Singh, N.K.; Kumar, D.; Chandel, P. Compression and Flexure Behaviours of Magnesium Alloy AZ41 at Different Strain Rates. U.P.B. Sci. Bull. Ser. D 2020, 82, 211–222. [Google Scholar]
- Rho, J.Y.; Ashman, R.B.; Turner, C.H. Young’s Modulus of Trabecular and Cortical Bone Material: Ultrasonic and Microtensile Measurements. J. Biomech. 1993, 26, 111–119. [Google Scholar] [CrossRef]
- Kurniawan, K.A.; Wicaksono, S.T.; Rasyida, A.; Purniawan, A. Improvement of Compressive Strength of Mg-Fe-Ca Alloy by Heat Treatment as Biodegradable Implant. In Proceedings of the AIP Conference Proceedings; AIP Publishing: Surakarta, Indonesia, 2019. [Google Scholar]
- Teslia, S.; Kovalenko, M.; Teslia, M.; Vterkovskiy, M.; Solodkyi, I.; Loboda, P.; Soloviova, T. The Activation of Magnesium Sintering by Zinc Addition. Alloys 2024, 3, 178–189. [Google Scholar] [CrossRef]
- Su, Y.; Lin, J.; Su, Y.; Zai, W.; Li, G.; Wen, C. Investigation on Composition, Mechanical Properties, and Corrosion Resistance of Mg-0.5Ca-X(Sr, Zr, Sn) Biological Alloy. Scanning 2018, 2018, 6519310. [Google Scholar] [CrossRef]
- Yilmaz, B.; Pazarceviren, A.E.; Tezcaner, A.; Evis, Z. Historical Development of Simulated Body Fluids Used in Biomedical Applications: A Review. Microchem. J. 2020, 155, 104713. [Google Scholar] [CrossRef]
- Imani, A.; Rahimi, E.; Lekka, M.; Andreatta, F.; Magnan, M.; Gonzalez-Garcia, Y.; Mol, A.; Raman, R.K.S.; Fedrizzi, L.; Asselin, E. Albumin Protein Impact on Early-Stage In Vitro Biodegradation of Magnesium Alloy (WE43). ACS Appl. Mater. Interfaces 2024, 16, 1659–1674. [Google Scholar] [CrossRef]
- Dong, W.; Matsukawa, Y.; Long, Y.; Hayashi, Y.; Nakamura, J.; Suzuki, K.; Ohtsuki, C. Revised Method for Preparation of Simulated Body Fluid for Assessment of the Apatite-Forming Ability of Bioactive Materials: Proposal of Mixing Two Stock Solutions. RSC Adv. 2024, 14, 38660–38667. [Google Scholar] [CrossRef]
- Pathak, D.K.; Pandey, P.M. Evaluation of in Vitro Corrosion Behavior of Zinc–Hydroxyapatite and Zinc–Hydroxyapatite–Iron as Biodegradable Composites. J. Biomed. Mater. Res. Part B Appl. Biomater. 2021, 109, 436–450. [Google Scholar] [CrossRef] [PubMed]
- Győri, E.; Fábián, I.; Lázár, I. Effect of the Chemical Composition of Simulated Body Fluids on Aerogel-Based Bioactive Composites. J. Compos. Sci. 2017, 1, 15. [Google Scholar] [CrossRef]
- Voicu, M.-E.; Golgovici, F. A Biointerface Growth at Immersion of a Biodegradable Magnesium Alloy in Simulated Body Fluid. U.P.B. Sci. Bull. Ser. B 2020, 82, 57–68. [Google Scholar]
- Bakhsheshi-Rad, H.R.; Idris, M.H.; Kadir, M.R.A.; Daroonparvar, M. Effect of Fluoride Treatment on Corrosion Behavior of Mg–Ca Binary Alloy for Implant Application. Trans. Nonferrous Met. Soc. China 2013, 23, 699–710. [Google Scholar] [CrossRef]
- Rezaei-Baravati, A.; Kasiri-Asgarani, M.; Bakhsheshi-Rad, H.R.; Omidi, M.; Karamian, E. Effect of Fluoride Coating on the Degradation of Mg-Based Alloy Containing Calcium for Biomedical Applications. J. Adv. Mater. Process. 2022, 10, 67–76. [Google Scholar]
- Ishizaki, T.; Saito, N.; Takai, O. Correlation of Cell Adhesive Behaviors on Superhydrophobic, Superhydrophilic, and Micropatterned Superhydrophobic/Superhydrophilic Surfaces to Their Surface Chemistry. Langmuir 2010, 26, 8147–8154. [Google Scholar] [CrossRef] [PubMed]
- Silva, G.A.F.; Faot, F.; da Silva, W.J.; Del Bel Cury, A.A. Does Implant Surface Hydrophilicity Influence the Maintenance of Surface Integrity after Insertion into Low-Density Artificial Bone? Dent. Mater. 2021, 37, e69–e84. [Google Scholar] [CrossRef]
- Gianfreda, F.; Raffone, C.; Antonacci, D.; Mussano, F.; Genova, T.; Chinigò, G.; Canullo, L.; Bollero, P. Early Biological Response of an Ultra-Hydrophilic Implant Surface Activated by Salts and Dry Technology: An In-Vitro Study. Appl. Sci. 2021, 11, 6120. [Google Scholar] [CrossRef]
- Wu, S.; Jang, Y.-S.; Lee, M.-H. Enhancement of Bone Regeneration on Calcium-Phosphate-Coated Magnesium Mesh: Using the Rat Calvarial Model. Front. Bioeng. Biotechnol. 2021, 9, 652334. [Google Scholar] [CrossRef]
- Aronov, D.; Rosen, R.; Ron, E.Z.; Rosenman, G. Tunable Hydroxyapatite Wettability: Effect on Adhesion of Biological Molecules. Process Biochem. 2006, 41, 2367–2372. [Google Scholar] [CrossRef]
- Bita, T.; Antoniac, A.; Ciuca, I.; Miculescu, M.; Cotrut, C.M.; Paltanea, G.; Dura, H.; Corneschi, I.; Antoniac, I.; Carstoc, I.D.; et al. Effect of Fluoride Coatings on the Corrosion Behavior of Mg–Zn–Ca–Mn Alloys for Medical Application. Materials 2023, 16, 4508. [Google Scholar] [CrossRef]
- Quan, P.H.; Antoniac, I.; Miculescu, F.; Antoniac, A.; Manescu (Paltanea), V.; Robu, A.; Bița, A.-I.; Miculescu, M.; Saceleanu, A.; Bodog, A.D.; et al. Fluoride Treatment and In Vitro Corrosion Behavior of Mg-Nd-Y-Zn-Zr Alloys Type. Materials 2022, 15, 566. [Google Scholar] [CrossRef] [PubMed]
- Ashong, A.N.; Lee, Y.S.; Park, K.S.; Lee, M.; Kim, J.H. Effect of HF Treatment on the Bonding Strength of Laser-Bonded Mg Alloy/Carbon Fiber-Reinforced Plastic Joint: XPS and NEXAFS Study. Appl. Surf. Sci. 2021, 556, 149782. [Google Scholar] [CrossRef]
- Xu, W.; Sato, K.; Koga, Y.; Sasaki, M.; Niidome, T. Corrosion Resistance of HF-Treated Mg Alloy Stent Following Balloon Expansion and Its Improvement through Biodegradable Polymer Coating. J. Coat. Technol. Res. 2020, 17, 1023–1032. [Google Scholar] [CrossRef]
- Zhao, Y.; Jamesh, M.I.; Li, W.K.; Wu, G.; Wang, C.; Zheng, Y.; Yeung, K.W.K.; Chu, P.K. Enhanced Antimicrobial Properties, Cytocompatibility, and Corrosion Resistance of Plasma-Modified Biodegradable Magnesium Alloys. Acta Biomater. 2014, 10, 544–556. [Google Scholar] [CrossRef]
- Höh, N.V.D.; Bormann, D.; Lucas, A.; Denkena, B.; Hackenbroich, C.; Meyer-Lindenberg, A. Influence of Different Surface Machining Treatments of Magnesium-Based Resorbable Implants on the Degradation Behavior in Rabbits. Adv. Eng. Mater. 2009, 11, B47–B54. [Google Scholar] [CrossRef]
- Shetty, O.; Parekh, R.B.; Tabassum, R. Surface Modifications for Endosseous Dental Implants. Int. J. Oral. Implantol. Clin. Res. 2012, 3, 116–121. [Google Scholar] [CrossRef]
- Lacefield, W.R. Materials Characteristics of Uncoated/Ceramic-Coated Implant Materials. Adv. Dent. Res. 1999, 13, 21–26. [Google Scholar] [CrossRef] [PubMed]
- Lorenz, C.; Brunner, J.G.; Kollmannsberger, P.; Jaafar, L.; Fabry, B.; Virtanen, S. Effect of Surface Pre-Treatments on Biocompatibility of Magnesium. Acta Biomater. 2009, 5, 2783–2789. [Google Scholar] [CrossRef]
- Walter, R.; Kannan, M.B.; He, Y.; Sandham, A. Effect of Surface Roughness on the in Vitro Degradation Behaviour of a Biodegradable Magnesium-Based Alloy. Appl. Surf. Sci. 2013, 279, 343–348. [Google Scholar] [CrossRef]
- Laycock, N.J.; Krouse, D.P.; Hendy, S.C.; Williams, D.E. Computer Simulation of Pitting Corrosion of Stainless Steels. Interface Mag. 2014, 23, 65–71. [Google Scholar] [CrossRef]
- Packham, D.E. Surface Energy, Surface Topography and Adhesion. Int. J. Adhes. Adhes. 2003, 23, 437–448. [Google Scholar] [CrossRef]
- Baldan, A. Adhesion Phenomena in Bonded Joints. Int. J. Adhes. Adhes. 2012, 38, 95–116. [Google Scholar] [CrossRef]
- Anselme, K.; Ponche, A.; Bigerelle, M. Relative Influence of Surface Topography and Surface Chemistry on Cell Response to Bone Implant Materials. Part 2: Biological Aspects. Proc. Inst. Mech. Eng. H 2010, 224, 1487–1507. [Google Scholar] [CrossRef]
- Ponche, A.; Bigerelle, M.; Anselme, K. Relative Influence of Surface Topography and Surface Chemistry on Cell Response to Bone Implant Materials. Part 1: Physico-Chemical Effects. Proc. Inst. Mech. Eng. H 2010, 224, 1471–1486. [Google Scholar] [CrossRef] [PubMed]
- Deligianni, D.D.; Katsala, N.D.; Koutsoukos, P.G.; Missirlis, Y.F. Effect of Surface Roughness of Hydroxyapatite on Human Bone Marrow Cell Adhesion, Proliferation, Differentiation and Detachment Strength. Biomaterials 2000, 22, 87–96. [Google Scholar] [CrossRef]
- Merson, E.D.; Poluyanov, V.A.; Myagkikh, P.N.; Bunev, A.S.; Merson, D.L.; Vinogradov, A. Improving Corrosion and Stress Corrosion Cracking Performance of Machined Biodegradable Alloy ZX20 by HF-Treatment. Metals 2023, 13, 1660. [Google Scholar] [CrossRef]
- Witte, F.; Kaese, V.; Haferkamp, H.; Switzer, E.; Meyer-Lindenberg, A.; Wirth, C.J.; Windhagen, H. In Vivo Corrosion of Four Magnesium Alloys and the Associated Bone Response. Biomaterials 2005, 26, 3557–3563. [Google Scholar] [CrossRef] [PubMed]
- Witte, F. The History of Biodegradable Magnesium Implants: A Review☆. Acta Biomater. 2010, 6, 1680–1692. [Google Scholar] [CrossRef]
- Liu, Y.; Zheng, Y.; Chen, X.; Yang, J.; Pan, H.; Chen, D.; Wang, L.; Zhang, J.; Zhu, D.; Wu, S.; et al. Fundamental Theory of Biodegradable Metals—Definition, Criteria, and Design. Adv. Funct. Mater. 2019, 29, 1805402. [Google Scholar] [CrossRef]
- Zhu, W.; Wang, W.; Yang, X.; Ran, C.; Zhang, T.; Huang, S.; Yang, J.; Wang, F.; Wang, H.; Wan, P.; et al. Research Progress on Osteoclast Regulation by Biodegradable Magnesium and Its Mechanism. Regen. Biomater. 2025, 12, rbaf026. [Google Scholar] [CrossRef]
- Long, S.; Wang, W.; Chen, Y.; Wang, Z.; Duan, H.; Yuan, P.; Xu, Y.; Li, D.; Zhang, W.; Wang, W.; et al. E7 Peptide and Magnesium Oxide-Functionalized Coaxial Fibre Membranes Enhance the Recruitment of Bone Marrow Mesenchymal Stem Cells and Promote Bone Regeneration. BMC Biotechnol. 2025, 25, 80. [Google Scholar] [CrossRef]
- Khalili, M.A.; Tamjid, E. Controlled Biodegradation of Magnesium Alloy in Physiological Environment by Metal Organic Framework Nanocomposite Coatings. Sci. Rep. 2021, 11, 8645. [Google Scholar] [CrossRef]
- De Luca, A.; Ruggiero, R.; Cordaro, A.; Marrelli, B.; Raimondi, L.; Costa, V.; Bellavia, D.; Aiello, E.; Pavarini, M.; Piccininni, A.; et al. Towards Accurate Biocompatibility: Rethinking Cytotoxicity Evaluation for Biodegradable Magnesium Alloys in Biomedical Applications. J. Funct. Biomater. 2024, 15, 382. [Google Scholar] [CrossRef] [PubMed]











| Alloy | Composition (wt %) | |||||
|---|---|---|---|---|---|---|
| Zn | Y | Nd | Ca | Mn | Mg | |
| Mg-Nd | 0.4 | 0.3 | 2.6 | - | - | Bal. |
| Mg-Zn | 1.4 | - | - | 0.3 | 0.6 | Bal. |
| Mg-Based Alloy | Implant ID | Reference ID |
|---|---|---|
| Mg-Nd | Mg-Nd_I | Mg-Nd_R |
| Mg-Zn | Mg-Zn_I | Mg-Zn_R |
| Parameter | Value |
|---|---|
| Filament volume | 5.08 cm3 |
| Filament weight | 6.30 g |
| Printing estimated time | 5 h 21 min 12 s |
| Filament diameter | 1.75 mm |
| Printing bed temperature | 60 °C |
| Extruder diameter | 0.2 mm |
| Printing speed | 0.2 mm/s |
| Fill density | 5% |
| Fill pattern | Gyroid |
Disclaimer/Publisher’s Note: The statements, opinions and data contained in all publications are solely those of the individual author(s) and contributor(s) and not of MDPI and/or the editor(s). MDPI and/or the editor(s) disclaim responsibility for any injury to people or property resulting from any ideas, methods, instructions or products referred to in the content. |
© 2026 by the authors. Licensee MDPI, Basel, Switzerland. This article is an open access article distributed under the terms and conditions of the Creative Commons Attribution (CC BY) license.
Share and Cite
Manescu, V.; Antoniac, A.; Paltanea, G.; Antoniac, I.; Páll, E.; Moraru, M.C.; Dreanca, A.I.; Sevastre, B.; Stefanoiu, R.; Ciocoiu, R.; et al. Biofunctional Testing of a Degradable Implant Made by Mg-Nd and Mg-Zn Alloys Used for Bone Defects. Biomimetics 2026, 11, 169. https://doi.org/10.3390/biomimetics11030169
Manescu V, Antoniac A, Paltanea G, Antoniac I, Páll E, Moraru MC, Dreanca AI, Sevastre B, Stefanoiu R, Ciocoiu R, et al. Biofunctional Testing of a Degradable Implant Made by Mg-Nd and Mg-Zn Alloys Used for Bone Defects. Biomimetics. 2026; 11(3):169. https://doi.org/10.3390/biomimetics11030169
Chicago/Turabian StyleManescu (Paltanea), Veronica, Aurora Antoniac, Gheorghe Paltanea, Iulian Antoniac, Emöke Páll, Maria Cristina Moraru, Alexandra Iulia Dreanca, Bogdan Sevastre, Radu Stefanoiu, Robert Ciocoiu, and et al. 2026. "Biofunctional Testing of a Degradable Implant Made by Mg-Nd and Mg-Zn Alloys Used for Bone Defects" Biomimetics 11, no. 3: 169. https://doi.org/10.3390/biomimetics11030169
APA StyleManescu, V., Antoniac, A., Paltanea, G., Antoniac, I., Páll, E., Moraru, M. C., Dreanca, A. I., Sevastre, B., Stefanoiu, R., Ciocoiu, R., Gradinaru, S., Rau, J. V., & Manole, M. (2026). Biofunctional Testing of a Degradable Implant Made by Mg-Nd and Mg-Zn Alloys Used for Bone Defects. Biomimetics, 11(3), 169. https://doi.org/10.3390/biomimetics11030169

