Parameter Optimization of Biodegradable Composite PLA–Wood with New-Generation Infill Pattern
Abstract
1. Introduction
2. Materials and Methods
2.1. Materials
2.2. Parameter Selection
2.3. Manufacturing Process
2.4. Testing Process
3. Results and Discussion
3.1. Test Results
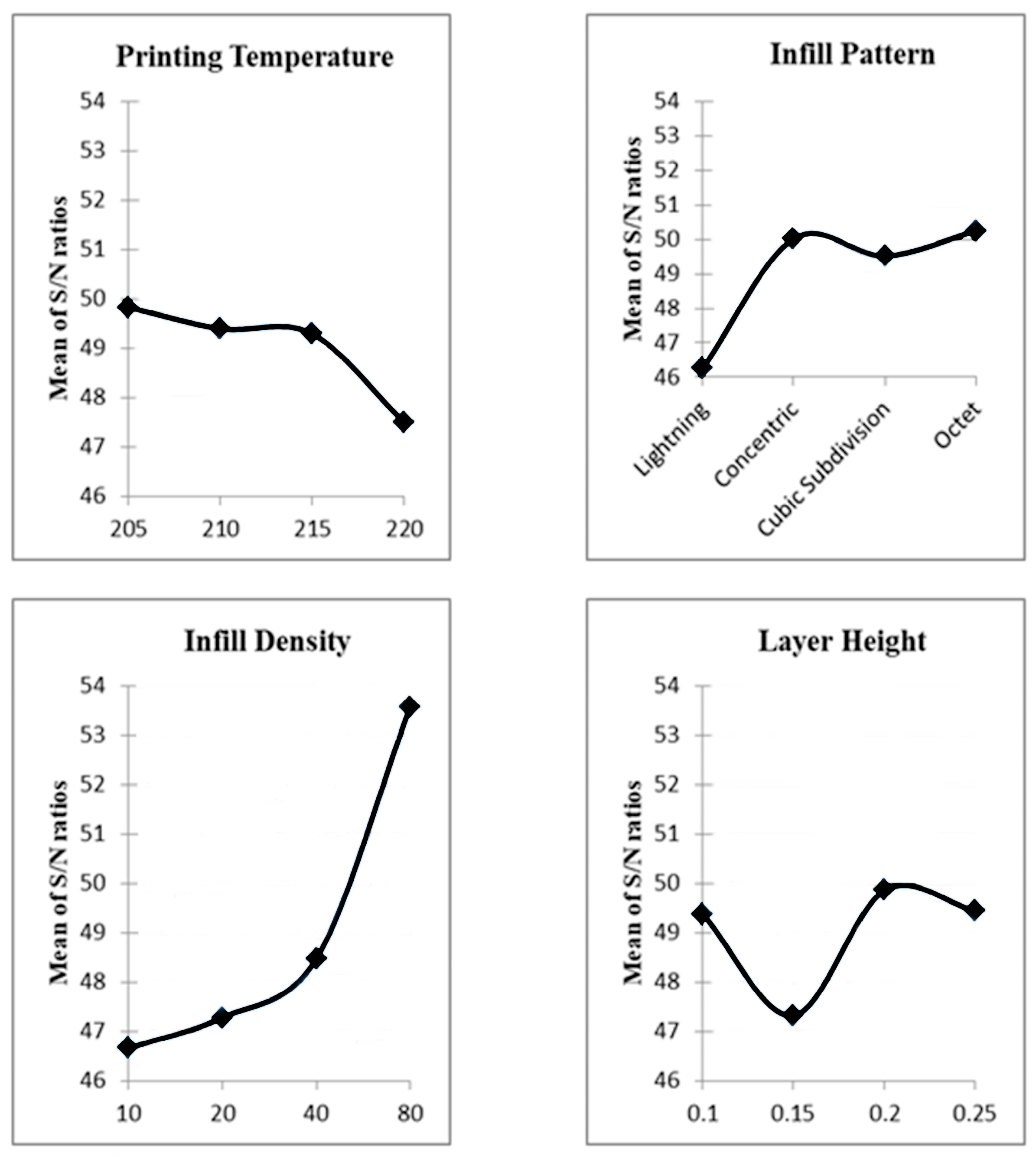
3.2. Taguchi Results and Discussions
3.3. ANOVA Results and Discussions
4. Conclusions
- •
- As a result of ANOVA, it was determined that infill density can affect the compression test results by 60%. High strength cannot be achieved with low infill density.
- •
- In addition, the lightning infill pattern is not an appropriate infill pattern for maximum compressive force, because the infill pattern is designed only to support the upper section. In other words, its focus on providing resistance to the upper layer rather than the structure’s total load capacity results in a decrease in maximum compression force, indicating that this infill pattern cannot be used for overall structural strength.
Author Contributions
Funding
Institutional Review Board Statement
Informed Consent Statement
Data Availability Statement
Acknowledgments
Conflicts of Interest
Abbreviations
| SLM | Selective Laser Melting |
| PBF | Powder Bed Fusion |
| SLA | Stereolithography |
| DED | Direct Energy Deposition |
| MEX | Material Extrusion |
| CONT | Contribution |
| DF | Degree of freedom |
| Adj SS | Adjusted sum of squares |
| Adj MS | Adjusted mean squares |
| SNR | Signal-to-noise ratio |
| ABS | Acrylonitrile Butadiene Styrene |
| PLA | Polylactic Acid |
| TPU | Thermoplastic Polyurethane |
| PET-G | Polyethylene Terephthalate Glycol |
| ANOVA | Analysis of Variance |
| CV | Coefficient of variation |
References
- Turan, M.K.; Sabirli, M.Ü.; Bakirci, A.; Kartal, E.; Karpat, F. A Comprehensive Study on the Effects of Printing Parameters on the Mechanical Properties of PLA. Rapid Prototyp. J. 2025, 31, 174–183. [Google Scholar] [CrossRef]
- Fiegl, T.; Franke, M.; Körner, C. Impact of Build Envelope on the Properties of Additive Manufactured Parts from AlSi10Mg. Opt. Laser Technol. 2019, 111, 51–57. [Google Scholar] [CrossRef]
- Zhao, N.; Parthasarathy, M.; Patil, S.; Coates, D.; Myers, K.; Zhu, H.; Li, W. Direct Additive Manufacturing of Metal Parts for Automotive Applications. J. Manuf. Syst. 2023, 68, 368–375. [Google Scholar] [CrossRef]
- Alami, A.H.; Olabi, A.G.; Alashkar, A.; Alasad, S.; Aljaghoub, H.; Rezk, H.; Abdelkareem, M.A. Additive Manufacturing in the Aerospace and Automotive Industries: Recent Trends and Role in Achieving Sustainable Development Goals. Ain Shams Eng. J. 2023, 14, 102516. [Google Scholar] [CrossRef]
- Salmi, M. Additive Manufacturing Processes in Medical Applications. Materials 2021, 14, 191. [Google Scholar] [CrossRef] [PubMed]
- Culmone, C.; Smit, G.; Breedveld, P. Additive Manufacturing of Medical Instruments: A State-of-the-Art Review. Addit. Manuf. 2019, 27, 461–473. [Google Scholar] [CrossRef]
- Sitotaw, D.B.; Ahrendt, D.; Kyosev, Y.; Kabish, A.K. Additive Manufacturing and Textiles—State-of-the-Art. Appl. Sci. 2020, 10, 5033. [Google Scholar] [CrossRef]
- Murugan, R.S.; Vinodh, S. Prioritization and Deployment of Design for Additive Manufacturing Strategies to an Automotive Component. Rapid Prototyp. J. 2023, 10, 2193–2215. [Google Scholar] [CrossRef]
- Mahesh, E.U.; Narayana, Y.V.; Sridhar, B. Investigations of Influence of Infill Pattern on Tensile Strength of 3D-Printed Poly Lactic Acid and Polyethylene Terephthalate Glycol Material Using Design of Experiments. Mater. Today Proc. 2023; in press. [Google Scholar] [CrossRef]
- Estakhrianhaghighi, E.; Mirabolghasemi, A.; Zhang, Y.; Lessard, L.; Akbarzadeh, A. 3D-Printed Wood-Fiber Reinforced Architected Cellular Composites. Adv. Eng. Mater. 2020, 22, 103800. [Google Scholar] [CrossRef]
- Tunçel, O.; Tüfekci, K.; Kahya, Ç. Multi-Objective Optimization of 3D Printing Process Parameters Using Gray-Based Taguchi for Composite PLA Parts. Polym. Compos. 2024, 45, 12870–12884. [Google Scholar] [CrossRef]
- Zhou, L.; Miller, J.; Vezza, J.; Mayster, M.; Raffay, M.; Justice, Q.; Al Tamimi, Z.; Hansotte, G.; Sunkara, L.D.; Bernat, J. Additive Manufacturing: A Comprehensive Review. Sensors 2024, 24, 2668. [Google Scholar] [CrossRef]
- Kamer, M.S.; Dogan, O. Effects of Infill Pattern and Compression Axis on the Compressive Strength of the 3D-Printed Cubic Samples. Mater. Mater. Test. 2024, 66, 1241–1250. [Google Scholar] [CrossRef]
- Tunçel, O.; Kahya, Ç.; Tüfekci, K. Optimization of Flexural Performance of PETG Samples Produced by Fused Filament Fabrication with Response Surface Method. Polymers 2024, 16, 2020. [Google Scholar] [CrossRef]
- Chaidas, D.; Kechagias, J.D. An Investigation of PLA/W Parts Quality Fabricated by FFF. Mater. Manuf. Process. 2022, 37, 582–590. [Google Scholar] [CrossRef]
- Pathinettampadian, G.; Vellaisamy, M.; Kumar, T.K.M.; Browne, M.A.; Subramaniyan, M.K. Some Studies on Functional Behavior of Novel Multi-Layered Material for Integrated Structural Application. J. Ind. Eng. Chem. 2024, 131, 545–557. [Google Scholar] [CrossRef]
- Siddiqui, V.U.; Yusuf, J.; Sapuan, S.M.; Hasan, M.Z.; Muawwidzah, M.; Bistari, M.; Mohammadsalih, Z.G. Mechanical Properties and Flammability Analysis of Wood Fiber Filled Polylactic Acid (PLA) Composites Using Additive Manufacturing Mechanical Properties and Flammability Analysis of Wood Fiber Manufacturing. J. Nat. Fibers 2024, 21, 2409868. [Google Scholar] [CrossRef]
- Kianifar, M.; Azadi, M.; Heidari, F. Evaluation of Stress-Controlled High-Cycle Fatigue Characteristics in PLA-Wood Fused Deposition Modeling 3D-Printed Parts under Bending Loads. PLoS ONE 2024, 19, e0300569. [Google Scholar] [CrossRef]
- Kisin, B.; Turan, M.K.; Karpat, F. Multi-Objective Optimization of Biodegradable and Recyclable Composite PLA/PHA Parts. Polymers 2025, 17, 2147. [Google Scholar] [CrossRef] [PubMed]
- Bakirci, A.; Turan, M.K.; Karpat, F. Comprehensive Analysis of Heat Treatment Effects on PLA-Wood Biocomposites. Rapid Prototyp. J. 2025, 31, 1893–1904. [Google Scholar] [CrossRef]
- Yermurat, B.; Seçgin, Ö.; Taşdemir, V. Multi-Material Additive Manufacturing: Investigation of the Combined Use of ABS and PLA in the Same Structure. Mater. Mater. Test. 2023, 65, 1119–1126. [Google Scholar] [CrossRef]
- Roj, R.; Nürnberg, J.; Theiß, R.; Dültgen, P. Comparison of FDM-Printed and Compression Molded Tensile Samples. Mater. Mater. Test. 2020, 62, 985–992. [Google Scholar] [CrossRef]
- Kechagias, J.D.; Zaoutsos, S.P.; Chaidas, D.; Vidakis, N. Multi-Parameter Optimization of PLA/Coconut Wood Compound for Fused Filament Fabrication Using Robust Design. Int. J. Adv. Manuf. Technol. 2022, 119, 4317–4328. [Google Scholar] [CrossRef]
- Ulkir, O.; Akgun, G.; Karadag, A. Mechanical Behavior Prediction of 3D-Printed PLA/Wood Composites Using Artificial Neural Network and Fuzzy Logic. Polym. Adv. Technol. 2025, 36, 1–16. [Google Scholar] [CrossRef]
- Samykano, M.; Kumaresan, R.; Rajamony, R.K.; Noor, M.M.; Kadirgama, K.; Ramasamy, D.; Harun, W.S.W.; Pandey, A.K.; Badadhe, A.M.; Namasivayam, S. FDM Printed PLA/Coconut Wood Composite: Compression Characteristics and Parametric Optimization. J. Adv. Res. Micro Nano Engieering 2024, 28, 30–46. [Google Scholar] [CrossRef]
- Dave, H.K.; Rajpurohit, S.R.; Patadiya, N.H.; Dave, S.J.; Sharma, K.S.; Thambad, S.S.; Srinivasn, V.P.; Sheth, K.V. Compressive Strength of PLA Based Scaffolds: Effect of Layer Height, Infill Density and Print Speed. Int. J. Mod. Manuf. Technol. 2019, 11, 21–27. [Google Scholar]
- Tunçel, O.; Bayraklilar, M.S. The Application Of The Taguchi Method For Optimizing The Compression Strength Of Pla Samples Produced Using Fdm. Kahramanmaraş Sütçü İmam Üniversitesi Mühendislik Bilim. Derg. 2024, 27, 133–140. [Google Scholar] [CrossRef]
- Aydin, M. Compression Behavior of the Wood-Inspired Cellular Structure of Acrylonitrile Butadiene Styrene. Mater. Mater. Test. 2024, 66, 66–74. [Google Scholar] [CrossRef]
- Dong, Y.; He, J.; Wang, D.; Luo, D.; Zeng, Y.; Feng, H.; You, X.; Shen, L. Advanced Modular Honeycombs with Biomimetic Density Gradients for Superior Energy Dissipation. Biomimetics 2025, 10, 221. [Google Scholar] [CrossRef]
- He, M.; Hu, W. A study on composite honeycomb sandwich panel structure. Mater. Des. 2008, 29, 709–713. [Google Scholar] [CrossRef]
- Li, Y.; Luo, R.; Zhai, W.; Shi, S.; Gao, Y.; Liu, Y.; Zou, Q.; Zhang, C.Z.; Han, Q. A high impact resistant coupling bionic asymmetric sandwich panel inspired by red-eared turtle shell and coelacanth fish. Compos. Commun. 2025, 54, 102281. [Google Scholar] [CrossRef]
- Kumar, A.P.; Giridharan, K.; Sahu, S.K.; Ashok, K.G.; Sathiyamurthy, S. Experimental investigation of biomimetic 3D-printed hierarchical hexagonal tubes for enhanced energy absorption. Macromol. Res. 2025, 33, 1555–1569. [Google Scholar] [CrossRef]
- Qiu, T.; Guan, C.; Liang, L. Optimization of tensile mechanical properties and fracture toughening mechanism of 3D printed biomimetic nacre-like structures. Compos. Sci. Technol. 2025, 270, 111304. [Google Scholar] [CrossRef]
- Thomas, T.; Tiwari, G. Crushing behavior of honeycomb structure: A review. Int. J. Crashworthiness 2019, 24, 555–579. [Google Scholar] [CrossRef]
- Vaghasia, B.M.; Rachchh, N.V.; Mehta, A.; Paramasivam, P.; Ayanie, A.G. Biomimetic nacre-inspired composites reinforced with glass fibers for enhanced strength. Bioinspired Biomim. Nanobiomaterials 2025, 14, 177–193. [Google Scholar] [CrossRef]
- Yu, M.; Wang, Z.; Jiang, X.; Wang, D.; Song, L.; Zhao, S.; Liu, J.; Sun, D. In-plane compression properties and parameters optimization of a lightweight and high-strength bamboo honeycomb sandwich material. Compos. Sci. Technol. 2025, 261, 111018. [Google Scholar] [CrossRef]
- Momeni, V.; Shahroodi, Z.; Gonzalez-Gutierrez, J.; Duretek, I.; Schuschnigg, S.; Grießer, T.; Kukla, C.; Holzer, C. Exploring the Miscibility Challenges of bio-based PLA/PBAT Backbones in Aluminium Feedstock for Metal Material Extrusion (MMEX). Results Eng. 2025, 27, 106650. [Google Scholar] [CrossRef]
- Momeni, V.; Shahroodi, Z.; Hufnagl, M.; Gonzalez-Gutierrez, J.; Duretek, I.; Schuschnigg, S.; Kukla, C.; Holzer, C. Selecting the suitable thermoplastic elastomer as the main component in the feedstock for metal material extrusion of aluminium. Results Eng. 2024, 23, 102692. [Google Scholar] [CrossRef]
- Canbolat, A.S.; Bademlioglu, A.H.; Saka, K.; Kaynakli, O. Investigation of Parameters Affecting the Optimum Thermal Insulation Thickness for Buildings in Hot and Cold Climates. Therm. Sci. 2020, 24, 2891–2903. [Google Scholar] [CrossRef]
- Yuce, C. Multi-Objective Optimisation for Indentation Rate, Nugget Diameter and Tensile Load in Resistance Spot Welding Using Taguchi-Based Grey Relational Analysis. Int. J. Mater. Prod. Technol. 2021, 63, 321–338. [Google Scholar] [CrossRef]
- Tutar, M.; Aydin, H.; Yuce, C.; Yavuz, N.; Bayram, A. The Optimisation of Process Parameters for Friction Stir Spot-Welded AA3003-H12 Aluminium Alloy Using a Taguchi Orthogonal Array. Mater. Des. 2014, 63, 789–797. [Google Scholar] [CrossRef]











| Experiment Set Number | Printing Temperature (°C) | Infill Pattern | Infill Density (%) | Layer Height (mm) |
|---|---|---|---|---|
| 1 | 205 | Lightning | 10 | 0.1 |
| 2 | 205 | Concentric | 20 | 0.15 |
| 3 | 205 | Cubic-Subdivision | 40 | 0.2 |
| 4 | 205 | Octet | 80 | 0.25 |
| 5 | 210 | Lightning | 20 | 0.2 |
| 6 | 210 | Concentric | 10 | 0.25 |
| 7 | 210 | Cubic-Subdivision | 80 | 0.1 |
| 8 | 210 | Octet | 40 | 0.15 |
| 9 | 215 | Lightning | 40 | 0.25 |
| 10 | 215 | Concentric | 80 | 0.2 |
| 11 | 215 | Cubic-Subdivision | 10 | 0.15 |
| 12 | 215 | Octet | 20 | 0.1 |
| 13 | 220 | Lightning | 80 | 0.15 |
| 14 | 220 | Concentric | 40 | 0.1 |
| 15 | 220 | Cubic-Subdivision | 20 | 0.25 |
| 16 | 220 | Octet | 10 | 0.2 |
| Fan Speed Ratio (%) | Printing Speed (mm/s) | Heated-Bed Temperature (°C) | Nozzle Diameter (mm) | Sample Diameter (mm) | Sample Length (mm) |
|---|---|---|---|---|---|
| 100 | 60 | 60 | 0.4 | 12. 7 | 25.4 |
| Experiment Set Number | Printing Temperature (°C) | Infill Pattern | Infill Density (%) | Layer Height (mm) | Average Test Results (N) | CV (%) |
|---|---|---|---|---|---|---|
| 1 | 205 | Lightning | 10 | 0.1 | 2052.3 | 1.15 |
| 2 | 205 | Concentric | 20 | 0.15 | 2205.7 | 0.49 |
| 3 | 205 | Cubic-Subdivision | 40 | 0.2 | 2875 | 3.70 |
| 4 | 205 | Octet | 80 | 0.25 | 7123.4 | 0.26 |
| 5 | 210 | Lightning | 20 | 0.2 | 2172.4 | 1.48 |
| 6 | 210 | Concentric | 10 | 0.25 | 2239 | 1.27 |
| 7 | 210 | Cubic-Subdivision | 80 | 0.1 | 5191.6 | 1.82 |
| 8 | 210 | Octet | 40 | 0.15 | 3007.8 | 2.28 |
| 9 | 215 | Lightning | 40 | 0.25 | 1965.6 | 1.33 |
| 10 | 215 | Concentric | 80 | 0.2 | 6977.3 | 0.84 |
| 11 | 215 | Cubic-Subdivision | 10 | 0.15 | 2174.5 | 0.74 |
| 12 | 215 | Octet | 20 | 0.1 | 2425.2 | 2.05 |
| 13 | 220 | Lightning | 80 | 0.15 | 2025 | 2.67 |
| 14 | 220 | Concentric | 40 | 0.1 | 2924.8 | 3.19 |
| 15 | 220 | Cubic-Subdivision | 20 | 0.25 | 2475.1 | 1.93 |
| 16 | 220 | Octet | 10 | 0.2 | 2162.4 | 0.37 |
| Factors | Printing Temperature | Infill Pattern | Infill Density | Layer Height |
|---|---|---|---|---|
| Level 1 | 49.84 | 46.25 | 46.67 | 49.39 |
| Level 2 | 49.40 | 50.02 | 47.29 | 47.33 |
| Level 3 | 49.30 | 49.52 | 48.48 | 49.87 |
| Level 4 | 47.51 | 50.25 | 53.59 | 49.45 |
| Delta | 2.33 | 4.01 | 6.92 | 2.54 |
| Rank | 4 | 2 | 1 | 3 |
| Source | DF (Degree of Freedom) | Adj SS (Adjusted Sum of Squares) | Adj MS (Adjusted Mean Squares) | F-Value | p-Value | Cont. Ratio % |
|---|---|---|---|---|---|---|
| Printing Temperature | 3 | 31,670 | 10,557 | 0.74 | 0.596 | 7.17 |
| Infill Pattern | 3 | 66,849 | 22,283 | 1.55 | 0.363 | 15.12 |
| Infill Density | 3 | 265,244 | 88,415 | 6.16 | 0.085 | 60.01 |
| Layer Height | 3 | 35,208 | 11,736 | 0.82 | 0.564 | 7.97 |
| Error | 3 | 43,027 | 14,342 | 9.73 | ||
| Total | 15 | 441,997 | 100 |
Disclaimer/Publisher’s Note: The statements, opinions and data contained in all publications are solely those of the individual author(s) and contributor(s) and not of MDPI and/or the editor(s). MDPI and/or the editor(s) disclaim responsibility for any injury to people or property resulting from any ideas, methods, instructions or products referred to in the content. |
© 2026 by the authors. Licensee MDPI, Basel, Switzerland. This article is an open access article distributed under the terms and conditions of the Creative Commons Attribution (CC BY) license.
Share and Cite
Turan, M.K.; Bakirci, A.; Turkkan, Y.A.; Karpat, F. Parameter Optimization of Biodegradable Composite PLA–Wood with New-Generation Infill Pattern. Biomimetics 2026, 11, 106. https://doi.org/10.3390/biomimetics11020106
Turan MK, Bakirci A, Turkkan YA, Karpat F. Parameter Optimization of Biodegradable Composite PLA–Wood with New-Generation Infill Pattern. Biomimetics. 2026; 11(2):106. https://doi.org/10.3390/biomimetics11020106
Chicago/Turabian StyleTuran, Mehmet Kivanc, Altug Bakirci, Yusuf Alptekin Turkkan, and Fatih Karpat. 2026. "Parameter Optimization of Biodegradable Composite PLA–Wood with New-Generation Infill Pattern" Biomimetics 11, no. 2: 106. https://doi.org/10.3390/biomimetics11020106
APA StyleTuran, M. K., Bakirci, A., Turkkan, Y. A., & Karpat, F. (2026). Parameter Optimization of Biodegradable Composite PLA–Wood with New-Generation Infill Pattern. Biomimetics, 11(2), 106. https://doi.org/10.3390/biomimetics11020106

