FusionTCN-Attention: A Causality-Preserving Temporal Model for Unilateral IMU-Based Gait Prediction and Cooperative Exoskeleton Control
Abstract
1. Introduction
- Biomimetic Architecture:This study introduces FusionTCN−Attention, a causality-preserving model that integrates a dilated TCN backbone with a lightweight temporal-attention module. This design mimics the neural coupling of short-term reflex and long-term rhythm to predict continuous contralateral trajectories using only unilateral IMU inputs.
- Feasibility Validation:The algorithmic feasibility of using six kinematic channels (angle, velocity, acceleration) from the healthy limb to forecast contralateral motion is validated, establishing a necessary engineering benchmark for future hemiparetic applications.
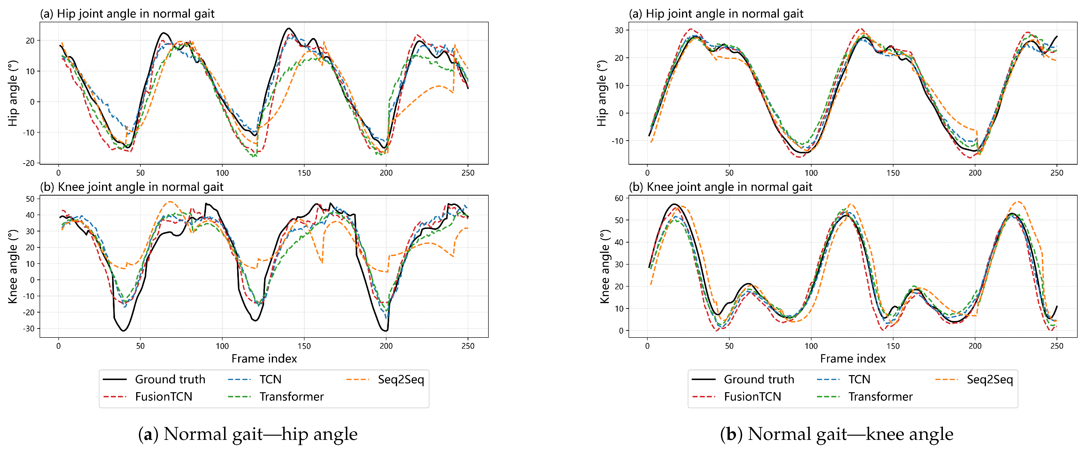
- Comprehensive Evaluation: Experiments demonstrate that the proposed model outperforms conventional sequence models, achieving hip/knee RMSE of and an average phase lag of 14.56 ms. Hardware-in-the-loop tests further confirm its timing stability for real-time exoskeleton control.
2. Related Work
2.1. Gait Event Detection and Continuous Prediction
2.2. Human–Robot Interaction and Sensing Modalities
2.3. Temporal Modeling Architectures
3. Materials and Methods
3.1. Problem Definition
3.1.1. Causality and Deterministic Latency
3.1.2. Control-Oriented Objectives
3.2. Data Acquisition and Preprocessing
3.2.1. Acquisition Protocol
3.2.2. Preprocessing Pipeline
3.2.3. Feature Construction and Windowing
3.3. Proposed Model: FusionTCN–Attention
- Causal dilated encoder.
- Multi-head temporal attention design and phase-capturing behavior.
- Dual-head decoding with biomechanical differentiation.
- Control-oriented composite objective.
3.4. Training and Implementation Details
| Configuration Item | Value |
|---|---|
| Sampling rate | Hz (downsampled from 200 Hz) |
| Input/horizon/stride | , , |
| Encoder (USE) | , , dilation , width 96 |
| Attention fusion | , embed dim (head dim 32), multi-head attention + SE gating |
| Loss weights | , , , |
| Optimizer | AdamW (weight decay , ) |
| Schedule/stopping | fixed learning rate, early stopping (patience 40 epochs) |
| Batch size & epochs | batch 192, maximum 300 epochs |
| Training Hardware/software | PyTorch 2.5, CUDA 12.1, NVIDIA RTX 4070 Ti (Training Only) |
3.5. System Integration and Closed-Loop Real-Time Validation

4. Results
4.1. Evaluation Protocol and Metrics
4.2. Quantitative Benchmark Comparison
4.3. Ablation and Design Sensitivity
4.4. Temporal Error Profiles and Phase Consistency
4.5. Real-Time Validation
5. Discussion
5.1. Clinical Translation and Hardware Integration
5.2. Biomimetic Extensions and Environmental Adaptation
6. Conclusions
Author Contributions
Funding
Institutional Review Board Statement
Informed Consent Statement
Data Availability Statement
Conflicts of Interest
Abbreviations
| IMU | Inertial Measurement Unit |
| TCN | Temporal Convolutional Network |
| RMSE | Root Mean Square Error |
| Seq2Seq | Sequence-to-Sequence |
| LSTM | Long Short-Term Memory |
| HS | Heel-Strike |
| TO | Toe-Off |
| SE | Squeeze-and-Excitation |
| SEMG | Surface Electromyography |
| FOC | Field-Oriented Control |
References
- Feigin, V.L.; Stark, B.A.; Johnson, C.O.; Roth, G.A.; Bisignano, C.; Abady, G.G.; Abbasifard, M.; Abbasi-Kangevari, M.; Abd-Allah, F.; Abedi, V.; et al. Global, regional, and national burden of stroke and its risk factors, 1990–2019: A systematic analysis for the Global Burden of Disease Study 2019. Lancet Neurol. 2021, 20, 795–820. [Google Scholar] [CrossRef]
- Gittler, M.; Davis, A.M. Guidelines for adult stroke rehabilitation and recovery. JAMA 2018, 319, 820–821. [Google Scholar] [CrossRef] [PubMed]
- Olney, S.J.; Richards, C. Hemiparetic gait following stroke. Part I: Characteristics. Gait Posture 1996, 4, 136–148. [Google Scholar] [CrossRef]
- Webster, J.B.; Darter, B.J. Principles of normal and pathologic gait. In Atlas of Orthoses and Assistive Devices; Elsevier: Philadelphia, PA, USA, 2019; pp. 49–62. [Google Scholar]
- Dollar, A.M.; Herr, H. Lower extremity exoskeletons and active orthoses: Challenges and state-of-the-art. IEEE Trans. Robot. 2008, 24, 144–158. [Google Scholar] [CrossRef]
- Louie, D.R.; Eng, J.J. Powered robotic exoskeletons in post-stroke rehabilitation of gait: A scoping review. J. Neuroeng. Rehabil. 2016, 13, 53. [Google Scholar] [CrossRef] [PubMed]
- Young, A.J.; Ferris, D.P. State of the art and future directions for lower limb robotic exoskeletons. IEEE Trans. Neural Syst. Rehabil. Eng. 2016, 25, 171–182. [Google Scholar] [CrossRef]
- Warutkar, V.; Dadgal, R.; Mangulkar, U.R. Use of robotics in gait rehabilitation following stroke: A review. Cureus 2022, 14, e31075. [Google Scholar] [CrossRef]
- Lajeunesse, V.; Vincent, C.; Routhier, F.; Careau, E.; Michaud, F. Exoskeletons’ design and usefulness evidence according to a systematic review of lower limb exoskeletons used for functional mobility by people with spinal cord injury. Disabil. Rehabil. Assist. Technol. 2016, 11, 535–547. [Google Scholar] [CrossRef]
- Esquenazi, A.; Talaty, M.; Packel, A.; Saulino, M. The ReWalk powered exoskeleton to restore ambulatory function to individuals with thoracic-level motor-complete spinal cord injury. Am. J. Phys. Med. Rehabil. 2012, 91, 911–921. [Google Scholar] [CrossRef]
- Baek, E.; Song, S.K.; Oh, S.; Mohammed, S.; Jeon, D.; Kong, K. A motion phase-based hybrid assistive controller for lower limb exoskeletons. In Proceedings of the 2014 IEEE 13th International Workshop on Advanced Motion Control (AMC), Yokohama, Japan, 14–16 March 2014; IEEE: New York, NY, USA, 2014; pp. 197–202. [Google Scholar]
- Best, T.K.; Embry, K.R.; Rouse, E.J.; Gregg, R.D. Phase-variable control of a powered knee-ankle prosthesis over continuously varying speeds and inclines. In Proceedings of the 2021 IEEE/RSJ International Conference on Intelligent Robots and Systems (IROS), Prague, Czech Republic, 27 September–1 October 2021; IEEE: New York, NY, USA 2021; pp. 6182–6189. [Google Scholar]
- Yang, W.; Xu, L.; Yu, L.; Chen, Y.; Yan, Z.; Yang, C. Hybrid oscillator-based no-delay hip exoskeleton control for free walking assistance. Ind. Robot. Int. J. Robot. Res. Appl. 2021, 48, 906–914. [Google Scholar] [CrossRef]
- MacKay-Lyons, M. Central pattern generation of locomotion: A review of the evidence. Phys. Ther. 2002, 82, 69–83. [Google Scholar] [CrossRef]
- Huo, C.; Shao, G.; Chen, T.; Li, W.; Wang, J.; Xie, H.; Wang, Y.; Li, Z.; Zheng, P.; Li, L.; et al. Effectiveness of unilateral lower-limb exoskeleton robot on balance and gait recovery and neuroplasticity in patients with subacute stroke: A randomized controlled trial. J. Neuroeng. Rehabil. 2024, 21, 213. [Google Scholar] [CrossRef]
- De Miguel-Fernández, J.; Salazar-Del Rio, M.; Rey-Prieto, M.; Bayón, C.; Guirao-Cano, L.; Font-Llagunes, J.M.; Lobo-Prat, J. Inertial sensors for gait monitoring and design of adaptive controllers for exoskeletons after stroke: A feasibility study. Front. Bioeng. Biotechnol. 2023, 11, 1208561. [Google Scholar] [CrossRef]
- Vaswani, A.; Shazeer, N.; Parmar, N.; Uszkoreit, J.; Jones, L.; Gomez, A.N.; Kaiser, Ł.; Polosukhin, I. Attention is all you need. Adv. Neural Inf. Process. Syst. 2017, 30, 5998–6008. [Google Scholar]
- Błażkiewicz, M.; Lann Vel Lace, K.; Hadamus, A. Gait Symmetry Analysis Based on Dynamic Time Warping. Symmetry 2021, 13, 836. [Google Scholar] [CrossRef]
- Zeni, J., Jr.; Richards, J.; Higginson, J. Two simple methods for determining gait events during treadmill and overground walking using kinematic data. Gait Posture 2008, 27, 710–714. [Google Scholar] [CrossRef] [PubMed]
- Ghoussayni, S.; Stevens, C.; Durham, S.; Ewins, D. Assessment and validation of a simple automated method for the detection of gait events and intervals. Gait Posture 2004, 20, 266–272. [Google Scholar] [CrossRef] [PubMed]
- Prasanth, H.; Caban, M.; Keller, U.; Courtine, G.; Ijspeert, A.; Vallery, H.; Von Zitzewitz, J. Wearable sensor-based real-time gait detection: A systematic review. Sensors 2021, 21, 2727. [Google Scholar] [CrossRef] [PubMed]
- Ashraf, H.; Schwartz, C.; Waris, A.; Brüls, O.; Boutaayamou, M. Temporal Convolutional Network for Gait Event Detection. In Proceedings of the 2024 46th Annual International Conference of the IEEE Engineering in Medicine and Biology Society (EMBC), Orlando, FL, USA, 15–19 July 2024; IEEE: New York, NY, USA, 2024; pp. 1–4. [Google Scholar]
- Asogwa, C.O.; Nagano, H.; Wang, K.; Begg, R. Using deep learning to predict minimum foot–ground clearance event from toe-off kinematics. Sensors 2022, 22, 6960. [Google Scholar] [CrossRef]
- Li, T.; Wang, L.; Yi, J.; Li, Q.; Liu, T. Reconstructing walking dynamics from two shank-mounted inertial measurement units. IEEE/ASME Trans. Mechatronics 2021, 26, 3040–3050. [Google Scholar] [CrossRef]
- Seel, T.; Raisch, J.; Schauer, T. IMU-based joint angle measurement for gait analysis. Sensors 2014, 14, 6891–6909. [Google Scholar] [CrossRef]
- Favre, J.; Jolles, B.M.; Aissaoui, R.; Aminian, K. Ambulatory measurement of 3D knee joint angle. J. Biomech. 2008, 41, 1029–1035. [Google Scholar] [CrossRef]
- Su, H.; Schmirander, Y.; Li, Z.; Zhou, X.; Ferrigno, G.; De Momi, E. Bilateral teleoperation control of a redundant manipulator with an rcm kinematic constraint. In Proceedings of the 2020 IEEE International Conference on Robotics and Automation (ICRA), Paris, France, 31 May–31 August 2020; IEEE: New York, NY, USA, 2020; pp. 4477–4482. [Google Scholar]
- Zhou, X.; Qi, W.; Ovur, S.E.; Zhang, L.; Hu, Y.; Su, H.; Ferrigno, G.; De Momi, E. A novel muscle-computer interface for hand gesture recognition using depth vision. J. Ambient. Intell. Humaniz. Comput. 2020, 11, 5569–5580. [Google Scholar] [CrossRef]
- Kumar, M.; Singh, N.; Kumar, R.; Goel, S.; Kumar, K. Gait recognition based on vision systems: A systematic survey. J. Vis. Commun. Image Represent. 2021, 75, 103052. [Google Scholar] [CrossRef]
- Wang, X.; Ao, D.; Li, L. Robust myoelectric pattern recognition methods for reducing users’ calibration burden: Challenges and future. Front. Bioeng. Biotechnol. 2024, 12, 1329209. [Google Scholar] [CrossRef]
- Sprager, S.; Juric, M.B. Inertial sensor-based gait recognition: A review. Sensors 2015, 15, 22089–22127. [Google Scholar] [CrossRef]
- Hur, B.; Baek, S.; Kang, I.; Kim, D. Learning based lower limb joint kinematic estimation using open source IMU data. Sci. Rep. 2025, 15, 5287. [Google Scholar] [CrossRef] [PubMed]
- Heo, Y.; Choi, H.J.; Lee, J.W.; Cho, H.S.; Kim, G.S. Motion-based control strategy of knee actuated exoskeletal gait orthosis for hemiplegic patients: A feasibility study. Appl. Sci. 2023, 14, 301. [Google Scholar] [CrossRef]
- Martinez, J.; Black, M.J.; Romero, J. On human motion prediction using recurrent neural networks. In Proceedings of the IEEE Conference on Computer Vision and Pattern Recognition, Honolulu, HI, USA, 21–26 July 2017; pp. 2891–2900. [Google Scholar]
- Kim, M.; Hargrove, L.J. A gait phase prediction model trained on benchmark datasets for evaluating a controller for prosthetic legs. Front. Neurorobot. 2023, 16, 1064313. [Google Scholar] [CrossRef] [PubMed]
- Bai, S.; Kolter, J.Z.; Koltun, V. An empirical evaluation of generic convolutional and recurrent networks for sequence modeling. arXiv 2018, arXiv:1803.01271. [Google Scholar] [CrossRef]
- Lea, C.; Flynn, M.D.; Vidal, R.; Reiter, A.; Hager, G.D. Temporal convolutional networks for action segmentation and detection. In Proceedings of the IEEE Conference on Computer Vision and Pattern Recognition, Honolulu, HI, USA, 21–26 July 2017; pp. 156–165. [Google Scholar]









| Model | Hip RMSE (°) | Knee RMSE (°) | AbsLag (ms) | PeakErr (°) | Params (M) | ||
|---|---|---|---|---|---|---|---|
| FusionTCN (ours) | 5.71 | 7.43 | 0.905 | 0.912 | 14.56 | 1.99 | 0.366 |
| Seq2Seq | 9.50 | 10.06 | 0.848 | 0.854 | 32.26 | 6.92 | 0.052 |
| PlainTCN | 7.38 | 7.29 | 0.890 | 0.915 | 12.45 | 3.88 | 0.622 |
| Transformer | 6.56 | 7.25 | 0.883 | 0.911 | 12.43 | 4.27 | 0.558 |
| Variant | Hip RMSE (°) | Knee RMSE (°) | AbsLag (ms) | PeakAmpErr (°) | Params (M) | ||
|---|---|---|---|---|---|---|---|
| A0 Full Model | 5.71 | 7.43 | 0.905 | 0.912 | 14.56 | 1.99 | 0.366 |
| A1 No Attention | 6.40 | 8.85 | 0.908 | 0.870 | 16.55 | 2.82 | 0.326 |
| A2 No Fusion (knee-only head) | 14.92 | 7.81 | — | 0.896 | 22.67 | 3.08 | 0.366 |
| A3 No Residual (approx.) | 6.89 | 8.20 | 0.904 | 0.889 | 17.58 | 4.53 | 0.366 |
| A4 Non-causal TCN | 5.29 | 7.94 | 0.917 | 0.900 | 14.88 | 1.37 | 0.366 |
| Variant | Hip RMSE (°) | Knee RMSE (°) | AbsLag (ms) | PeakAmpErr (°) | Params (M) | ||
|---|---|---|---|---|---|---|---|
| B1 MSE-only | 6.17 | 8.09 | 0.911 | 0.891 | 14.65 | 2.65 | 0.366 |
| B2 No KneeAux | 6.37 | 7.47 | 0.911 | 0.912 | 11.48 | 0.92 | 0.366 |
| B3 No Velocity | 5.78 | 7.93 | 0.915 | 0.899 | 11.74 | 1.67 | 0.366 |
| B4 No Peak | 6.51 | 7.82 | 0.895 | 0.897 | 16.72 | 4.95 | 0.366 |
Disclaimer/Publisher’s Note: The statements, opinions and data contained in all publications are solely those of the individual author(s) and contributor(s) and not of MDPI and/or the editor(s). MDPI and/or the editor(s) disclaim responsibility for any injury to people or property resulting from any ideas, methods, instructions or products referred to in the content. |
© 2026 by the authors. Licensee MDPI, Basel, Switzerland. This article is an open access article distributed under the terms and conditions of the Creative Commons Attribution (CC BY) license.
Share and Cite
Yang, S.; Yu, K.; Zhang, L.; Pan, M.; Pan, H.; Chen, L.; Guo, X. FusionTCN-Attention: A Causality-Preserving Temporal Model for Unilateral IMU-Based Gait Prediction and Cooperative Exoskeleton Control. Biomimetics 2026, 11, 26. https://doi.org/10.3390/biomimetics11010026
Yang S, Yu K, Zhang L, Pan M, Pan H, Chen L, Guo X. FusionTCN-Attention: A Causality-Preserving Temporal Model for Unilateral IMU-Based Gait Prediction and Cooperative Exoskeleton Control. Biomimetics. 2026; 11(1):26. https://doi.org/10.3390/biomimetics11010026
Chicago/Turabian StyleYang, Sichuang, Kang Yu, Lei Zhang, Minling Pan, Haihong Pan, Lin Chen, and Xuxia Guo. 2026. "FusionTCN-Attention: A Causality-Preserving Temporal Model for Unilateral IMU-Based Gait Prediction and Cooperative Exoskeleton Control" Biomimetics 11, no. 1: 26. https://doi.org/10.3390/biomimetics11010026
APA StyleYang, S., Yu, K., Zhang, L., Pan, M., Pan, H., Chen, L., & Guo, X. (2026). FusionTCN-Attention: A Causality-Preserving Temporal Model for Unilateral IMU-Based Gait Prediction and Cooperative Exoskeleton Control. Biomimetics, 11(1), 26. https://doi.org/10.3390/biomimetics11010026

