Design of Adaptive LQR Control Based on Improved Grey Wolf Optimization for Prosthetic Hand
Abstract
1. Introduction
- First, a comprehensive, control-oriented mathematical model of the prosthetic finger is proposed. This model utilizes Denavit–Hartenberg (D-H) parameters for kinematic analysis and the Euler–Lagrange formulation for dynamics, providing the essential foundation for controller design and simulation.
- Second, the IGWO algorithm is employed to systematically optimize the LQR controller’s Q and R weighting matrices. This approach addresses the critical challenge of manual tuning, ensuring an optimal trade-off between tracking precision and energy consumption, which is reflected in the controller’s ability to minimize the Integral Absolute Error (IAE).
- Finally, the proposed IGWO-LQR controller is comprehensively benchmarked against both a conventional PID controller and a PID-PSO (Particle Swarm Optimization) controller to validate its superiority in performance, speed, and robustness across diverse input signals.
2. Multi-Fingered Robot Hand (MFRH)
2.1. Kinematic Model
2.1.1. Forward Kinematics
2.1.2. Inverse Kinematics
2.2. Dynamic Model
2.2.1. Kinetic Energy (K)
2.2.2. Potential Energy (P)
2.3. Actuator Selection and Modeling
Torque and Speed Derivation
- : the angular position of the joint.
- : the angular velocity of the joint.
- : the armature current of the motor.
- The control input is the voltage applied to the motor, , and the system output is the angular position, .
3. Controller Design
3.1. Controller Design: Linear Quadratic Regulator (LQR)
3.1.1. LQR Control Formulation
3.1.2. LQR Gain Calculation
3.2. Controller Optimization: Improved Grey Wolf Optimization
3.2.1. IGWO Algorithm Formulation
Canonical GWO Search Strategy
Dimension Learning-Based Hunting (DLH) Strategy
3.2.2. Objective Function and Problem Formulation
IGWO Pseudo-Code
| Algorithm 1 IGWO for Optimal LQR Weighting Matrices |
|
3.2.3. Optimization Implementation and Results
- Lower Bounds: ;
- Upper Bounds: .
4. Simulation Results
4.1. Response of System Under Step Input
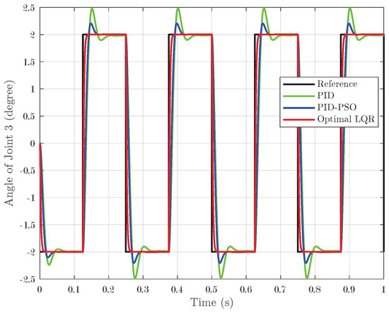
4.2. Response of System Under Square-Wave Input
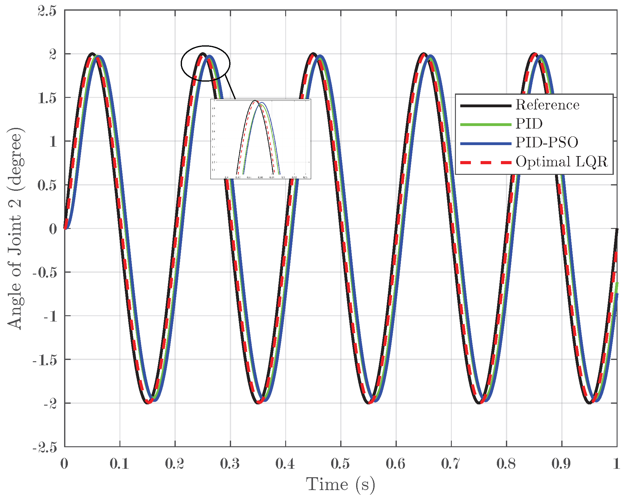
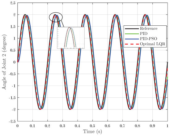
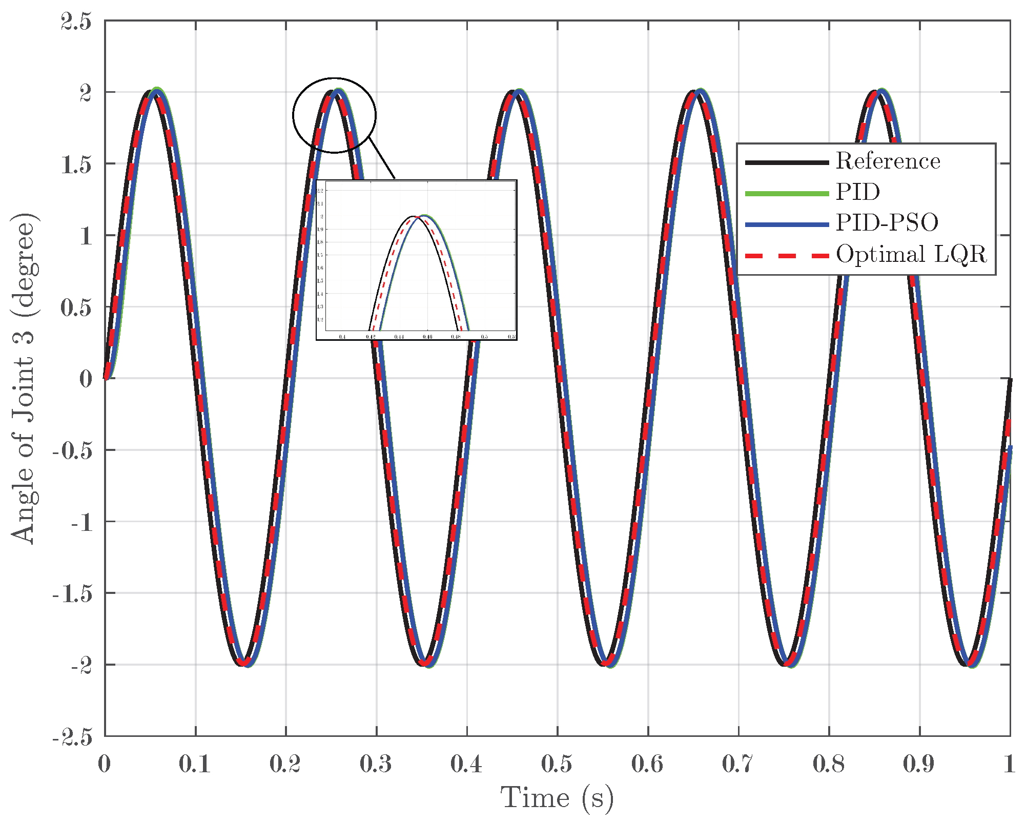
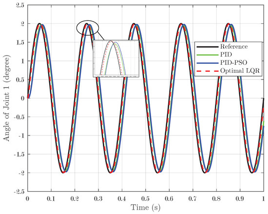
4.3. Response of System Under Sine Input
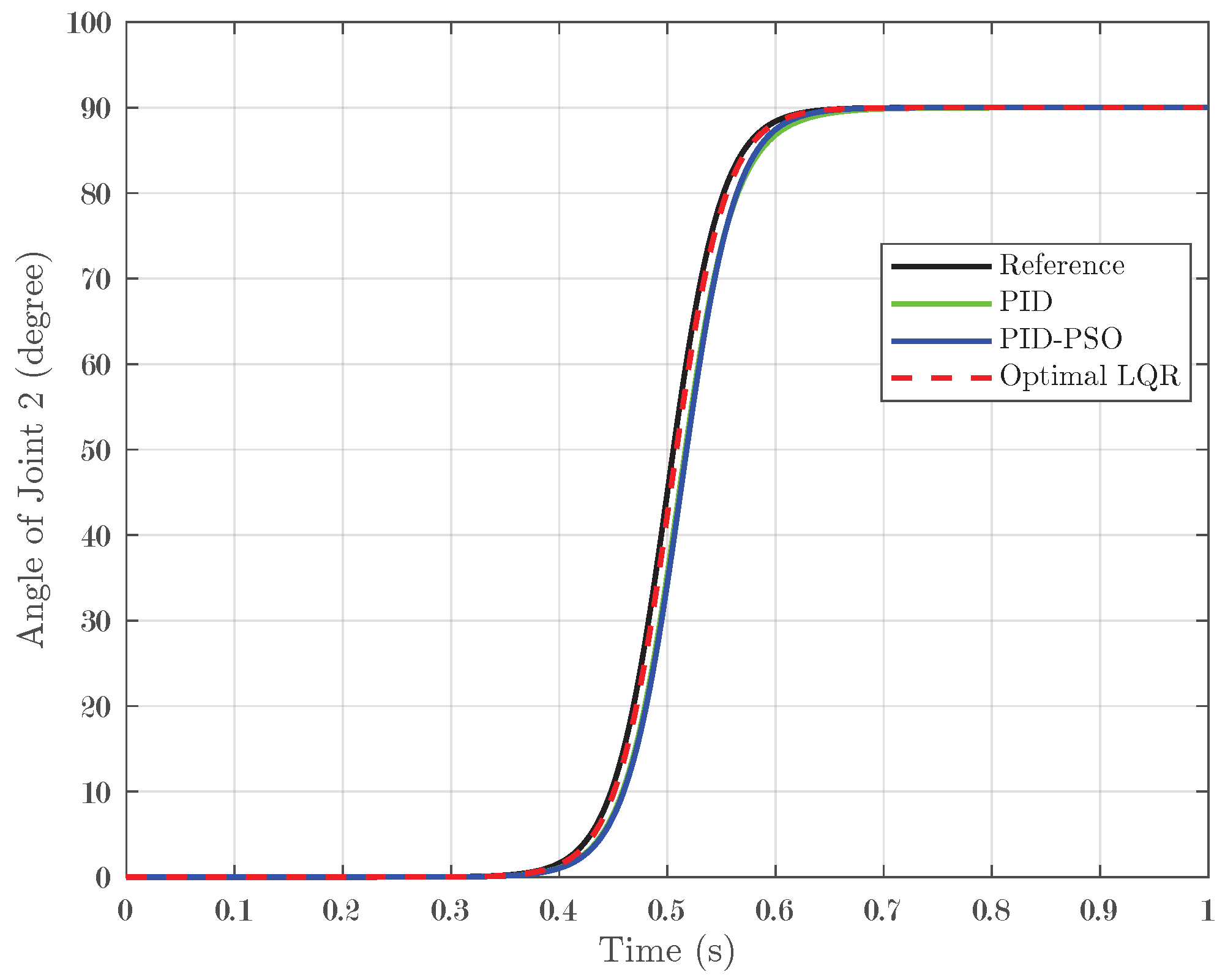
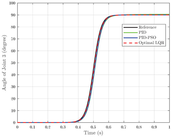
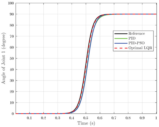
4.4. Response of System Under Sigmoid Input
5. Results Discussion
6. Conclusions
Author Contributions
Funding
Data Availability Statement
Acknowledgments
Conflicts of Interest
Appendix A
| Parameter | Joints 1 and 2 (EC-max 22) | Joint 3 (EC 16) |
|---|---|---|
| Nominal Voltage (V) | 24 V | 24 V |
| No-load Speed (rpm) | 10,500 | 15,500 |
| No-load Current (mA) | 19 | 11 |
| Stall Torque (mNm) | 70 | 28 |
| Max Continuous Torque (mNm) | 24 | 9 |
| Torque Constant, (mNm/A) | 8.2 | 3.2 |
| Terminal Resistance () | 2.85 | 8.15 |
| Terminal Inductance (mH) | 0.072 | 0.11 |
| Rotor Inertia (g·cm2) | 6.27 | 1.33 |
| Weight (g) | 66 | 39 |
| Diameter (mm) | 22 | 16 |
| Length (mm) | 45 | 40 |
| Parameter | Joint 1 Gearhead | Joint 2 Gearhead | Joint 3 Gearhead |
|---|---|---|---|
| Model | GP 22 C | GP 22 C | GP 16 A |
| Reduction Ratio (N) | 64:1 | 56:1 | 43:1 |
| Max Continuous Torque (Nm) | 1.2 | 1.2 | 0.3 |
| Efficiency () | 70% | 70% | 70% |
| Weight (g) | 42 | 42 | 25 |
| Diameter (mm) | 22 | 22 | 16 |
| Length (mm) | 31.2 | 31.2 | 28.1 |
References
- WHO. Assistive Technology. Available online: https://www.who.int/news-room/fact-sheets/detail/assistive-technology (accessed on 5 June 2025).
- Binder, M.D.; Hirokawa, N.; Windhorst, U. (Eds.) Encyclopedia of Neuroscience; Springer: Berlin/Heidelberg, Germany, 2009. [Google Scholar]
- Pons, J.L. Wearable Robots: Biomechatronic Exoskeletons; John Wiley & Sons: Hoboken, NJ, USA, 2008. [Google Scholar]
- Siciliano, B.; Khatib, O.; Kröger, T. (Eds.) Springer Handbook of Robotics; Springer: Berlin/Heidelberg, Germany, 2008. [Google Scholar]
- Merrill, D.R.; Lockhart, J.; Troyk, P.R.; Weir, R.F.; Hankin, D.L. Development of an implantable myoelectric sensor for advanced prosthesis control. Artif. Organs 2011, 35, 249–252. [Google Scholar] [CrossRef] [PubMed]
- Scheme, E.; Englehart, K. Electromyogram pattern recognition for control of powered upper-limb prostheses: State of the art and challenges for clinical use. J. Rehabil. Res. Dev. 2011, 48, 641–659. [Google Scholar] [CrossRef] [PubMed]
- Zhang, N.; Zhou, P.; Yang, X.; Shen, F.; Ren, J.; Hou, T.; Zhu, X. Biomimetic rigid-soft finger design for highly dexterous and adaptive robotic hands. Sci. Adv. 2025, 11, eadu2018. [Google Scholar] [CrossRef] [PubMed]
- Birglen, L.; Schlicht, T. A statistical review of industrial robotic grippers. Robot. Comput.-Integr. Manuf. 2018, 49, 88–97. [Google Scholar] [CrossRef]
- Howe, R.D.; Cutkosky, M.R. Tactile sensing and control of robotic manipulation. Int. J. Rob. Res. 1996, 15, 235–253. [Google Scholar] [CrossRef]
- Carrozza, M.C.; Cappiello, G.; Micera, S.; Edin, B.B.; Beccai, L.; Cipriani, C. Design of a cybernetic hand for perception and action. Biol. Cybern. 2006, 95, 629–644. [Google Scholar] [CrossRef] [PubMed]
- Padhan, S.; Mohapatra, A.; Ramasamy, S.K.; Agrawal, S.; Ramasamy, S. Artificial intelligence (AI) and robotics in elderly healthcare: Enabling independence and quality of life. Cureus 2023, 15, e43210. [Google Scholar] [CrossRef] [PubMed]
- Dollar, A.M.; Howe, R.D. The highly adaptive SDM hand: Design and performance evaluation. Int. J. Rob. Res. 2010, 29, 585–597. [Google Scholar] [CrossRef]
- Pratt, G.A. Legged robots at MIT: What’s new since Raibert? IEEE Robot. Autom. Mag. 2000, 7, 15–19. [Google Scholar] [CrossRef]
- Yoo, D.J. Three-dimensional surface reconstruction of human bone using a B-spline based interpolation approach. Comput.-Aided Des. 2011, 43, 934–947. [Google Scholar] [CrossRef]
- Bicchi, A.; Kumar, V. Robotic grasping and contact: A review. In Proceedings of the IEEE International Conference on Robotics and Automation (ICRA 2000), San Francisco, CA, USA, 24–28 April 2000; pp. 348–353. [Google Scholar]
- Bicchi, A. Hands for dexterous manipulation and robust grasping: A difficult road toward simplicity. IEEE Trans. Robot. Autom. 2000, 16, 652–662. [Google Scholar] [CrossRef]
- Tinós, R.; Terra, M.H.; Ishihara, J.Y. Motion and force control of cooperative robotic manipulators with passive joints. IEEE Trans. Control Syst. Technol. 2006, 14, 725–734. [Google Scholar] [CrossRef]
- Parasuraman, S. Kinematics and control system design of manipulators for humanoid robot. In Proceedings of the World Congress on Science, Engineering and Technology, Bangkok, Thailand, 17–19 December 2008; pp. 7–13. [Google Scholar]
- Cheraghpour, F.; Moosavian, S.A.A.; Nahvi, A. Robotic grasp planning by multiple aspects grasp index for object manipulation tasks. In Proceedings of the 18th Iranian Conference on Electrical Engineering, Isfahan, Iran, 11–13 May 2010; pp. 635–640. [Google Scholar]
- Kim, B.-H. Analysis of coordinated motions of humanoid robot fingers using interphalangeal joint coordination. Int. J. Adv. Robot. Syst. 2014, 11, 69. [Google Scholar] [CrossRef]
- Feix, T.; Romero, J.; Schmiedmayer, H.-B.; Dollar, A.M.; Kragic, D. The grasp taxonomy of human grasp types. IEEE Trans. Hum.-Mach. Syst. 2016, 46, 66–77. [Google Scholar] [CrossRef]
- Barbagli, F.; Frisoli, A.; Salisbury, K.; Bergamasco, M. Simulating human fingers: A soft finger proxy model and algorithm. In Proceedings of the 12th International Symposium on Haptic Interfaces for Virtual Environment and Teleoperator Systems (HAPTICS’04), Chicago, IL, USA, 27–28 March 2004; pp. 9–17. [Google Scholar]
- Miyata, N.; Kouchi, M.; Mochimaru, M. Generation and Validation of 3D Links for Representative Hand Models; SAE Technical Paper 2007-01-2512; SAE International: Warrendale, PA, USA, 2007. [Google Scholar] [CrossRef]
- Ekvall, S.; Kragic, D. Interactive grasp learning based on human demonstration. In Proceedings of the IEEE International Conference on Robotics and Automation (ICRA’04), New Orleans, LA, USA, 26 April–1 May 2004; pp. 3519–3524. [Google Scholar]
- Amft, O.; Junker, H.; Lukowicz, P.; Tröster, G.; Schuster, C. Sensing muscle activities with body-worn sensors. In Proceedings of the International Workshop on Wearable and Implantable Body Sensor Networks (BSN’06), Cambridge, MA, USA, 3–5 April 2006. [Google Scholar]
- Troncossi, M.; Borghi, C.; Chiossi, M.; Davalli, A.; Parenti-Castelli, V. Development of a prosthesis shoulder mechanism for upper limb amputees: Application of an original design methodology to optimize functionality and wearability. Med. Biol. Eng. Comput. 2009, 47, 523–531. [Google Scholar] [CrossRef] [PubMed]
- Johannes, M.S.; Bigelow, J.D.; Burck, J.M.; Harshbarger, S.D.; Kozlowski, M.V.; Van Doren, T. An overview of the developmental process for the modular prosthetic limb. Johns Hopkins APL Tech. Dig. 2011, 30, 207–216. [Google Scholar]
- Ali, A.M.M.; Jamil, M.M.A. Biomechatronics design of a novel artificial arm. In Proceedings of the 6th Biomedical Engineering International Conference (BMEiCON), Krabi, Thailand, 23–25 October 2013; pp. 1–5. [Google Scholar]
- Tarmizi, W.F.B.W.; Elamvazuthi, I.; Begam, M. Kinematic and dynamic modeling of a multi-fingered robot hand. Int. J. Basic Appl. Sci. 2009, 9, 89–96. [Google Scholar]
- Nadimi-Shahraki, M.H.; Taghian, S.; Mirjalili, S. An improved grey wolf optimizer for solving engineering problems. Expert Syst. Appl. 2021, 166, 113917. [Google Scholar] [CrossRef]
















| i | ||||
|---|---|---|---|---|
| 1 | 0 | 0 | 0 | |
| 2 | 0 | 0 | ||
| 3 | 0 | 0 | ||
| 4 | 0 | 0 | 0 |
| Input Type (Joint) | PID IAE | PID-PSO IAE | Optimal LQR IAE |
|---|---|---|---|
| Step (Joint 1) | 0.00469 | 0.00452 | 0.00124 |
| Square Wave (Joint 1) | 0.00692 | 0.00678 | 0.00150 |
| Sine (Joint 1) | 0.00700 | 0.00830 | 0.00198 |
| Sigmoid (Joint 1) | 0.01852 | 0.01894 | 0.00447 |
| Step (Joint 3) | 0.00470 | 0.00311 | 0.00133 |
| Square Wave (Joint 3) | 0.00628 | 0.00459 | 0.00149 |
| Sine (Joint 3) | 0.00566 | 0.00522 | 0.00196 |
| Sigmoid (Joint 3) | 0.01561 | 0.01153 | 0.00444 |
Disclaimer/Publisher’s Note: The statements, opinions and data contained in all publications are solely those of the individual author(s) and contributor(s) and not of MDPI and/or the editor(s). MDPI and/or the editor(s) disclaim responsibility for any injury to people or property resulting from any ideas, methods, instructions or products referred to in the content. |
© 2025 by the authors. Licensee MDPI, Basel, Switzerland. This article is an open access article distributed under the terms and conditions of the Creative Commons Attribution (CC BY) license (https://creativecommons.org/licenses/by/4.0/).
Share and Cite
Ahmed, K.; Aly, A.A.; Elhabib, M.O. Design of Adaptive LQR Control Based on Improved Grey Wolf Optimization for Prosthetic Hand. Biomimetics 2025, 10, 423. https://doi.org/10.3390/biomimetics10070423
Ahmed K, Aly AA, Elhabib MO. Design of Adaptive LQR Control Based on Improved Grey Wolf Optimization for Prosthetic Hand. Biomimetics. 2025; 10(7):423. https://doi.org/10.3390/biomimetics10070423
Chicago/Turabian StyleAhmed, Khaled, Ayman A. Aly, and Mohamed O. Elhabib. 2025. "Design of Adaptive LQR Control Based on Improved Grey Wolf Optimization for Prosthetic Hand" Biomimetics 10, no. 7: 423. https://doi.org/10.3390/biomimetics10070423
APA StyleAhmed, K., Aly, A. A., & Elhabib, M. O. (2025). Design of Adaptive LQR Control Based on Improved Grey Wolf Optimization for Prosthetic Hand. Biomimetics, 10(7), 423. https://doi.org/10.3390/biomimetics10070423

