Topology-Dependent Antifreeze Properties of Biomimetic Linear and Star-Shaped Peptoids
Abstract
1. Introduction
2. Materials and Methods
2.1. Materials
2.2. Protection of the Hydroxyl Group in Isopropanolamine
2.3. Synthesis of Peptoids
2.4. Ice Recrystallization Experiment
2.5. Nanoliter Osmometry Experiment
2.6. Cytotoxicity Test
3. Results and Discussion
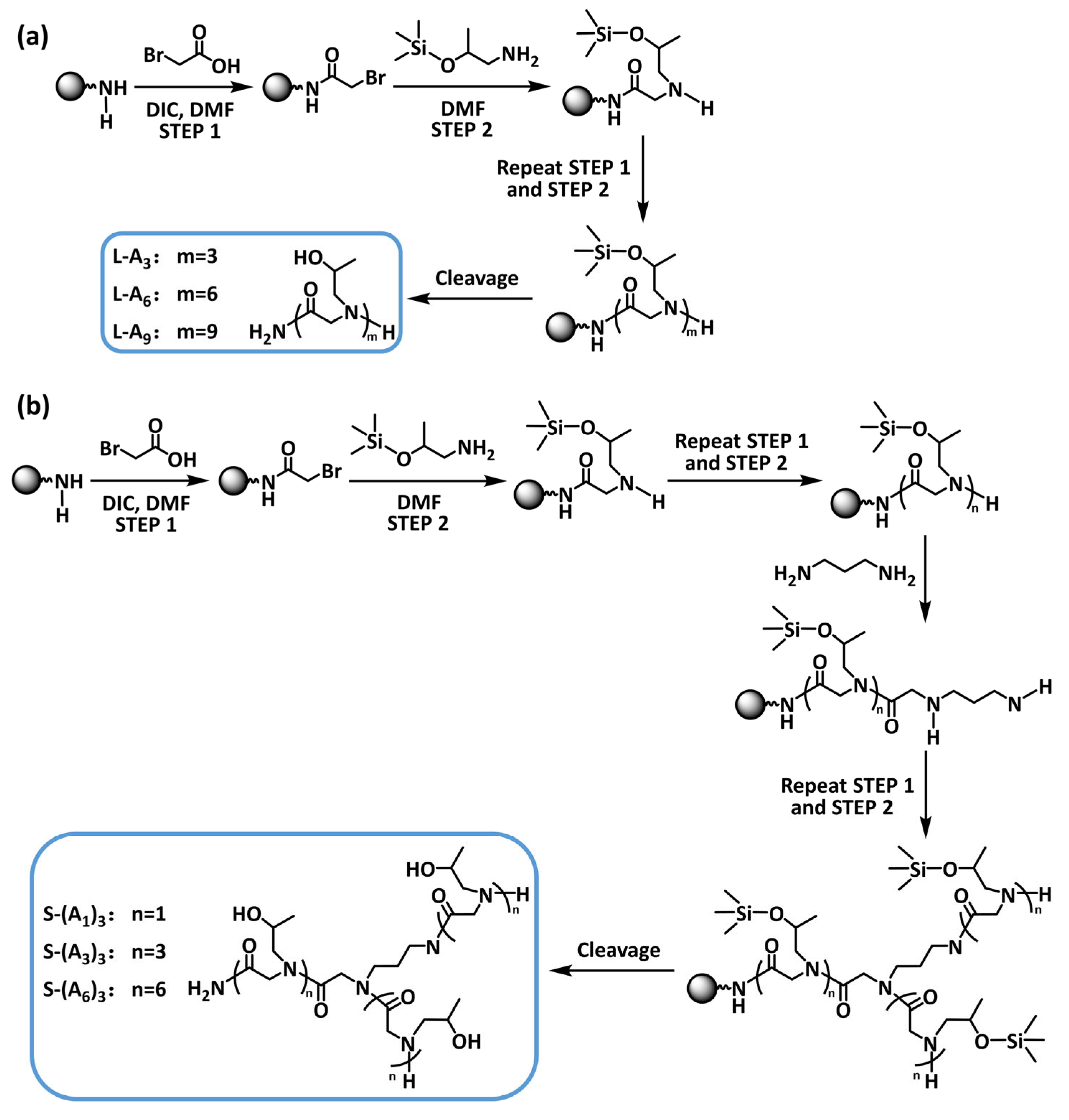
3.1. Design and Synthesis of Linear and Star-Shaped Peptoids (L-Am and S-(An)3)
3.2. Ice Recrystallization Inhibition of Peptoids
3.3. Ice Growth Inhibition of Peptoids
3.4. The Cytotoxicity of Peptoids
4. Conclusions
Supplementary Materials
Author Contributions
Funding
Institutional Review Board Statement
Informed Consent Statement
Data Availability Statement
Conflicts of Interest
References
- Pegg, D.E. The relevance of ice crystal formation for the cryopreservation of tissues and organs. Cryobiology 2020, 93, 3–11. [Google Scholar] [CrossRef] [PubMed]
- Pan, J.; Zeng, Q.; Peng, K.; Zhou, Y.; Shu, Z. Review of Rewarming Method for Cryopreservation. Biopreserv. Biobank. 2024, 22, 304–311. [Google Scholar] [CrossRef] [PubMed]
- Hu, Y.; Liu, X.; Liu, F.; Xie, J.; Zhu, Q.; Tan, S. Trehalose in Biomedical Cryopreservation-Properties, Mechanisms, Delivery Methods, Applications, Benefits, and Problems. Acs Biomater. Sci. Eng. 2023, 9, 1190–1204. [Google Scholar] [CrossRef]
- Gao, R.; Wang, W.; Wang, Z.; Fan, Y.; Zhang, L.; Sun, J.; Hong, M.; Pan, M.; Wu, J.; Mei, Q.; et al. Hibernating/Awakening Nanomotors Promote Highly Efficient Cryopreservation by Limiting Ice Crystals. Adv. Healthc. Mater. 2024, 13, e2401833. [Google Scholar] [CrossRef]
- Yu, J.; Zhang, J.; Han, W.; Liu, B.; Guo, W.; Li, L.; Li, N.; Wang, Z.; Zhao, J. Enhanced cryopreservation performance of PVA grafted monolayer graphite oxide with synergistic antifreezing effect and rapid rewarming. Compos. Sci. Technol. 2024, 247, 110404. [Google Scholar] [CrossRef]
- Brockbank, K.G.M.; Campbell, L.H.; Greene, E.D.; Brockbank, M.C.G.; Duman, J.G. Lessons from nature for preservation of mammalian cells, tissues, and organs. In Vitro Cell. Dev. Biol.-Anim. 2011, 47, 210–217. [Google Scholar] [CrossRef]
- Xiang, H.; Yang, X.; Ke, L.; Hu, Y. The properties, biotechnologies, and applications of antifreeze proteins. Int. J. Biol. Macromol. 2020, 153, 661–675. [Google Scholar] [CrossRef]
- Zhang, J.; Tao, X.; Han, B. Function, evolution, and application of antifreeze proteins in Antarctic fish. J. Fish. Sci. China 2020, 27, 355–361. [Google Scholar]
- Maity, B.; Tian, J.; Furuta, T.; Abe, S.; Ueno, T. Atomic-Level Insights into a Unique Semi-Clathrate Hydrate Formed in a Confined Environment of Porous Protein Crystal. Cryst. Growth Des. 2023, 23, 7448–7458. [Google Scholar] [CrossRef]
- Diao, Y.; Hao, T.; Liu, X.; Yang, H. Advances in single ice crystal shaping materials: From nature to synthesis and applications in cryopreservation. Acta Biomater. 2024, 174, 49–68. [Google Scholar] [CrossRef]
- Whaley, D.; Damyar, K.; Witek, R.P.; Mendoza, A.; Alexander, M.; Lakey, J.R.T. Cryopreservation: An Overview of Principles and Cell-Specific Considerations. Cell Transplant. 2021, 30, 0963689721999617. [Google Scholar] [CrossRef] [PubMed]
- Chang, T.; Zhao, G. Ice Inhibition for Cryopreservation: Materials, Strategies, and Challenges. Adv. Sci. 2021, 8, 2002425. [Google Scholar] [CrossRef]
- Best, B.P. Cryoprotectant Toxicity: Facts, Issues, and Questions. Rejuvenation Res. 2015, 18, 422–436. [Google Scholar] [CrossRef] [PubMed]
- Fowler, S.A.; Blackwell, H.E. Structure-function relationships in peptoids: Recent advances toward deciphering the structural requirements for biological function. Org. Biomol. Chem. 2009, 7, 1508–1524. [Google Scholar] [CrossRef]
- Kalita, D.; Sahariah, B.; Mookerjee, S.P.; Sarma, B.K. Strategies to Control the Cis-Trans Isomerization of Peptoid Amide Bonds. Chem.-Asian J. 2022, 17, e202200149. [Google Scholar] [CrossRef]
- Dohm, M.T.; Kapoor, R.; Barron, A.E. Peptoids: Bio-Inspired Polymers as Potential Pharmaceuticals. Curr. Pharm. Des. 2011, 17, 2732–2747. [Google Scholar] [CrossRef]
- Lau, K.H.A. Peptoids for biomaterials science. Biomater. Sci. 2014, 2, 627–633. [Google Scholar] [CrossRef] [PubMed]
- Culf, A.S. Peptoids as tools and sensors. Biopolymers 2019, 110, e23285. [Google Scholar] [CrossRef]
- Liu, J.; Cai, B.; Cui, L.; Chen, C.-L. Peptoid-based hierarchically-structured biomimetic nanomaterials: Synthesis, characterization and applications. Sci. China-Mater. 2020, 63, 1099–1112. [Google Scholar] [CrossRef]
- Zhao, M. Hierarchical assemblies of polypeptoids for rational design of advanced functional nanomaterials. Biopolymers 2021, 112, e23469. [Google Scholar] [CrossRef]
- Okuno, Y.; Iwasaki, Y. Well-Defined Anisotropic Self-Assembly from Peptoids and Their Biomedical Applications. Chemmedchem 2023, 18, e202300217. [Google Scholar] [CrossRef] [PubMed]
- Lombardi, L.; Li, J.; Williams, D.R. Peptide-Based Biomaterials for Combatting Infections and Improving Drug Delivery. Pharmaceutics 2024, 16, 1468. [Google Scholar] [CrossRef] [PubMed]
- Huang, M.L.; Ehre, D.; Jiang, Q.; Hu, C.; Kirshenbaum, K.; Ward, M.D. Biomimetic peptoid oligomers as dual-action antifreeze agents. Proc. Natl. Acad. Sci. USA. 2012, 109, 19922–19927. [Google Scholar] [CrossRef] [PubMed]
- Zhang, M.; Qiu, Z.; Yang, K.; Zhou, W.; Liu, W.; Lu, J.; Guo, L. Design, synthesis and antifreeze properties of biomimetic peptoid oligomers. Chem. Commun. 2023, 59, 7028–7031. [Google Scholar] [CrossRef]
- Yang, K.; Liu, D.; Feng, L.; Xu, L.; Jiang, Y.; Shen, X.; Ali, A.; Lu, J.; Guo, L. Preparation of Peptoid Antifreeze Agents and Their Structure-Property Relationship. Polymers 2024, 16, 990. [Google Scholar] [CrossRef]
- Peschko, K.; Schade, A.; Vollrath, S.B.L.; Schwarz, U.; Luy, B.; Muhle-Goll, C.; Weis, P.; Braese, S. Dendrimer-Type Peptoid-Decorated Hexaphenylxylenes and Tetraphenylmethanes: Synthesis and Structure in Solution and in the Gas Phase. Chem.-A Eur. J. 2014, 20, 16273–16278. [Google Scholar] [CrossRef]
- Jin, H.; Jian, T.; Ding, Y.-H.; Chen, Y.; Mu, P.; Wang, L.; Chen, C.-L. Solid-phase synthesis of three-armed star-shaped peptoids and their hierarchical self-assembly. Biopolymers 2019, 110, e23258. [Google Scholar] [CrossRef]
- Hudait, A.; Qiu, Y.; Odendahl, N.; Molinero, V. Hydrogen-Bonding and Hydrophobic Groups Contribute Equally to the Binding of Hyperactive Antifreeze and Ice-Nucleating Proteins to Ice. J. Am. Chem. Soc. 2019, 141, 7887–7898. [Google Scholar] [CrossRef]
- Zhang, N.; Du, Y.-T.; Yao, P.-Q.; Huang, H.-Y.; Zhang, L.-R.; Zhang, F.-S.; Liu, J.-J. Synergistic Effect of Hyperactive Antifreeze Protein on Inhibition of Gas-Hydrate Growth by Hydrophobic and Hydrophilic Groups. J. Phys. Chem. B 2023, 127, 10469–10477. [Google Scholar] [CrossRef]
- Zhou, F.; Kostantin, E.; Yang, D.-Q.; Sacher, E. Cytotoxicity and Antibacterial Efficacy of AgCu and AgFe NanoAlloys: A Comparative Study. Antibiotics 2022, 11, 1737. [Google Scholar] [CrossRef]






Disclaimer/Publisher’s Note: The statements, opinions and data contained in all publications are solely those of the individual author(s) and contributor(s) and not of MDPI and/or the editor(s). MDPI and/or the editor(s) disclaim responsibility for any injury to people or property resulting from any ideas, methods, instructions or products referred to in the content. |
© 2025 by the authors. Licensee MDPI, Basel, Switzerland. This article is an open access article distributed under the terms and conditions of the Creative Commons Attribution (CC BY) license (https://creativecommons.org/licenses/by/4.0/).
Share and Cite
Feng, L.; Xu, L.; Wen, J.; Zhao, M.; Ali, A.; Ahmad, N.; Lu, J.; Guo, L. Topology-Dependent Antifreeze Properties of Biomimetic Linear and Star-Shaped Peptoids. Biomimetics 2025, 10, 368. https://doi.org/10.3390/biomimetics10060368
Feng L, Xu L, Wen J, Zhao M, Ali A, Ahmad N, Lu J, Guo L. Topology-Dependent Antifreeze Properties of Biomimetic Linear and Star-Shaped Peptoids. Biomimetics. 2025; 10(6):368. https://doi.org/10.3390/biomimetics10060368
Chicago/Turabian StyleFeng, Lei, Liugen Xu, Junhao Wen, Minghai Zhao, Amjad Ali, Naushad Ahmad, Jianwei Lu, and Li Guo. 2025. "Topology-Dependent Antifreeze Properties of Biomimetic Linear and Star-Shaped Peptoids" Biomimetics 10, no. 6: 368. https://doi.org/10.3390/biomimetics10060368
APA StyleFeng, L., Xu, L., Wen, J., Zhao, M., Ali, A., Ahmad, N., Lu, J., & Guo, L. (2025). Topology-Dependent Antifreeze Properties of Biomimetic Linear and Star-Shaped Peptoids. Biomimetics, 10(6), 368. https://doi.org/10.3390/biomimetics10060368

