An Automated Method for Quality Control in MRI Systems: Methods and Considerations
Abstract
:1. Introduction
2. Materials and Methods
2.1. Brief Phantom Description
2.2. Data Acquisition
2.3. Theoretical Background and Programming Methodology
2.3.1. Percent Signal Ghosting (PSG)
2.3.2. Percentage Image Uniformity (PIU)
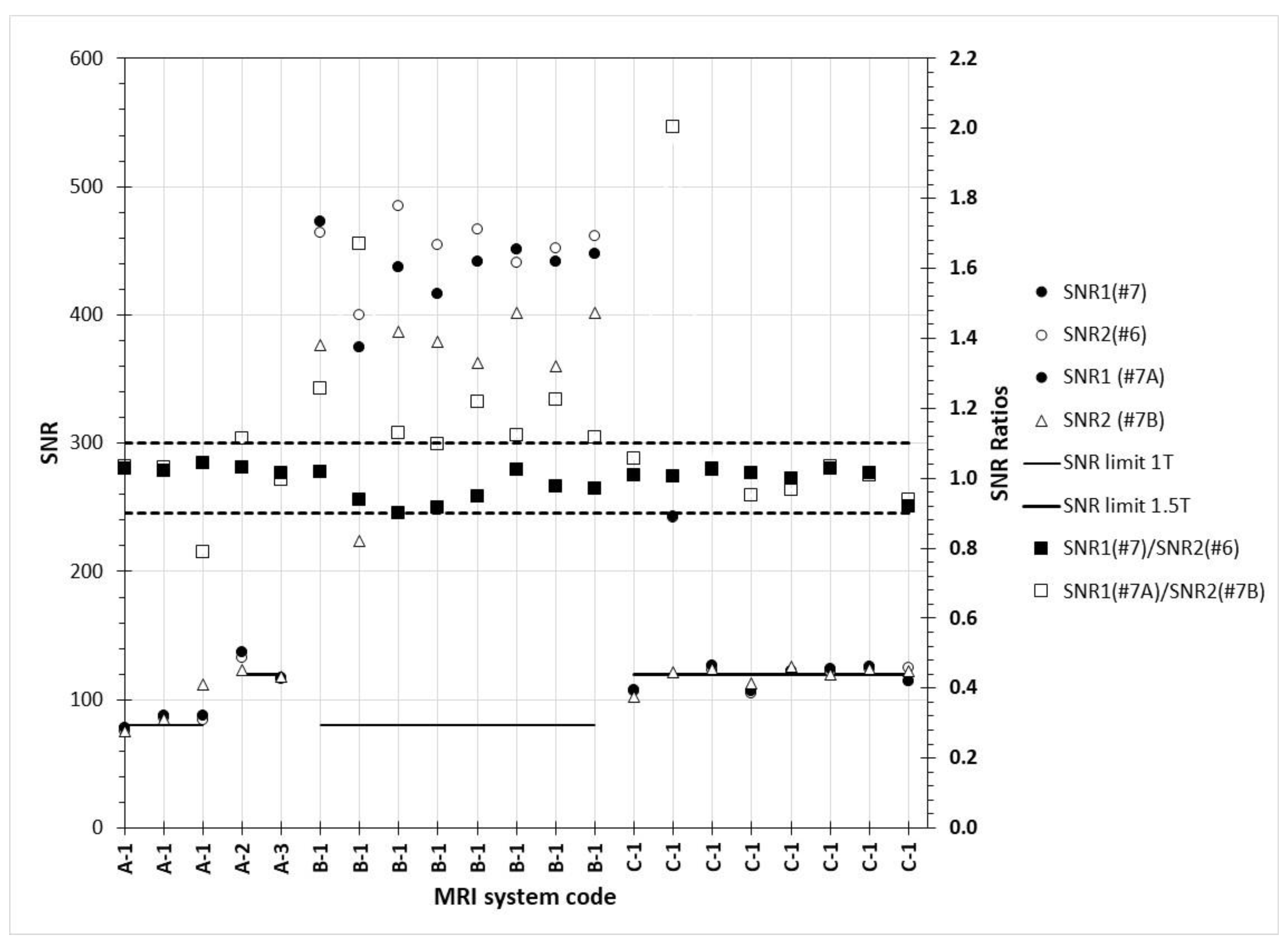
2.3.3. Signal to Noise Ratio (SNR)
- A.
- SNR is calculated by Equation (5), applied to a single image (slice #7), using as numerator the mean intensity values of the main circular ROI () and as denominator the average of the standard deviations of the left and right rectangular ROI , shown in Figure 2 as proposed in the Greek protocol [17]. Therefore, Equation (5) becomes:
- B.
- According to the Greek MRI protocol [17], the SNR as calculated by Equation (5) can be equally applied to both #7 and #6 homogeneous slices of the phantom acquired during the same sequence. Therefore, two SNR values (SNR1 and SNR2) are determined (for slices #7 and #6, respectively) using Equation (5). To pass the test, the value of each SNR should be greater than or equal to 80×T, where T is the intensity of the magnetic field in Tesla and the ratio of the two SNRs must be within 0.9 and 1.1, that is:
- C.
- The SNR is calculated by Equation (6), where is the average value of the main circular ROIs (UFOV) of slices #7 (), #6 ( or the average of the two , and σD is the standard deviation of the signal intensity of the UFOV of the image produced when subtracting one image from another [2]. In other words, the SNR can be calculated in any of the following ways:
- D.
- Another variation of the above SNR definitions can be derived, using the subtraction of slice #7 between two identical sequence scans acquired within 5 min or less (already referred to as series A and B, respectively). The concept of two image subtraction is described in the NEMA document [20] and can be applied to images from different acquisitions, provided that 5 min or less have elapsed between the two. Following this concept, Equations (11)–(13) can be used, with the only difference being that the subscripts 1 and 2 are used to describe the signal and noise in slice #7 of the first (series A) and the second acquisition (series B), respectively.
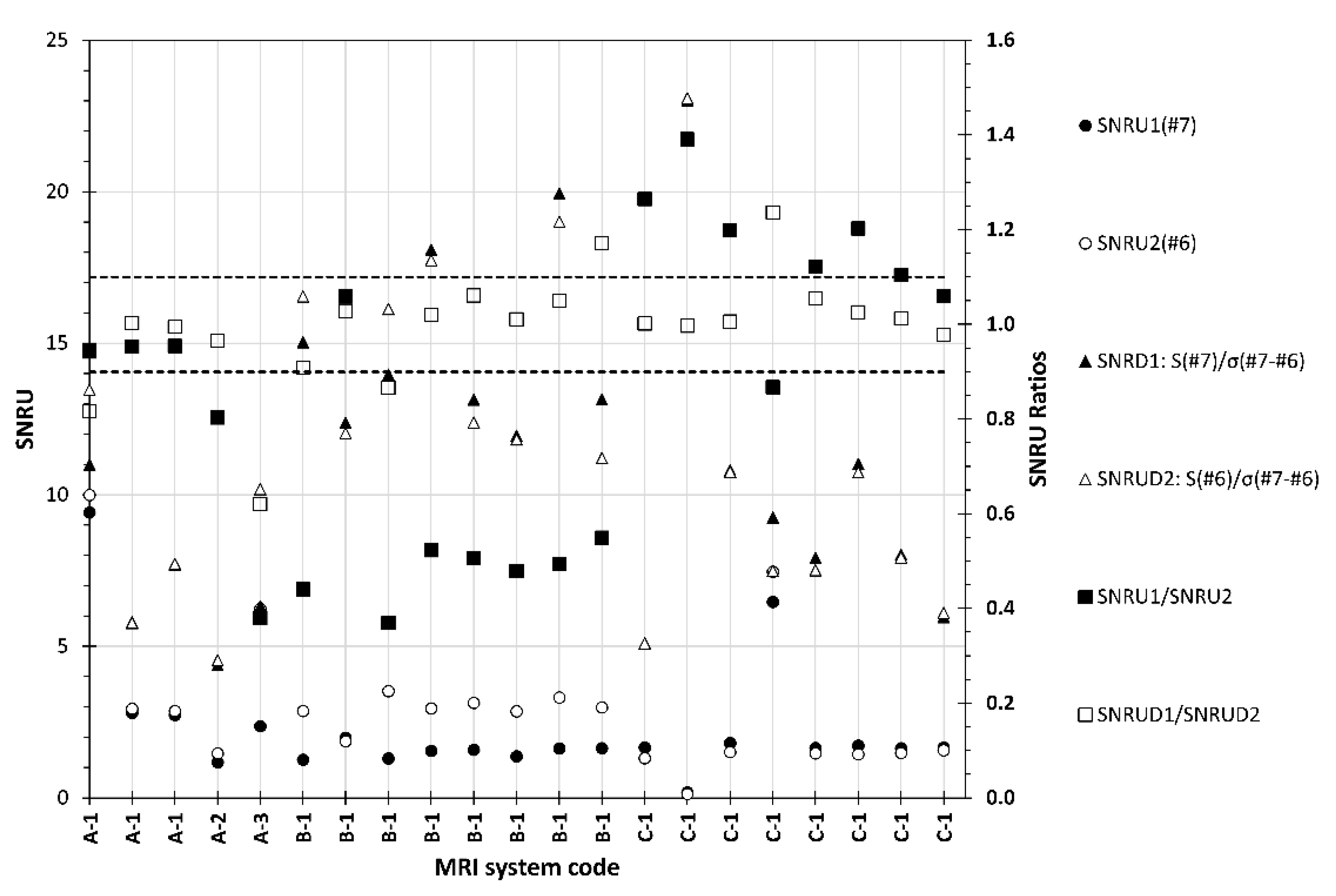
2.3.4. Signal to Noise Ratio Uniformity (SNRU)
3. Results
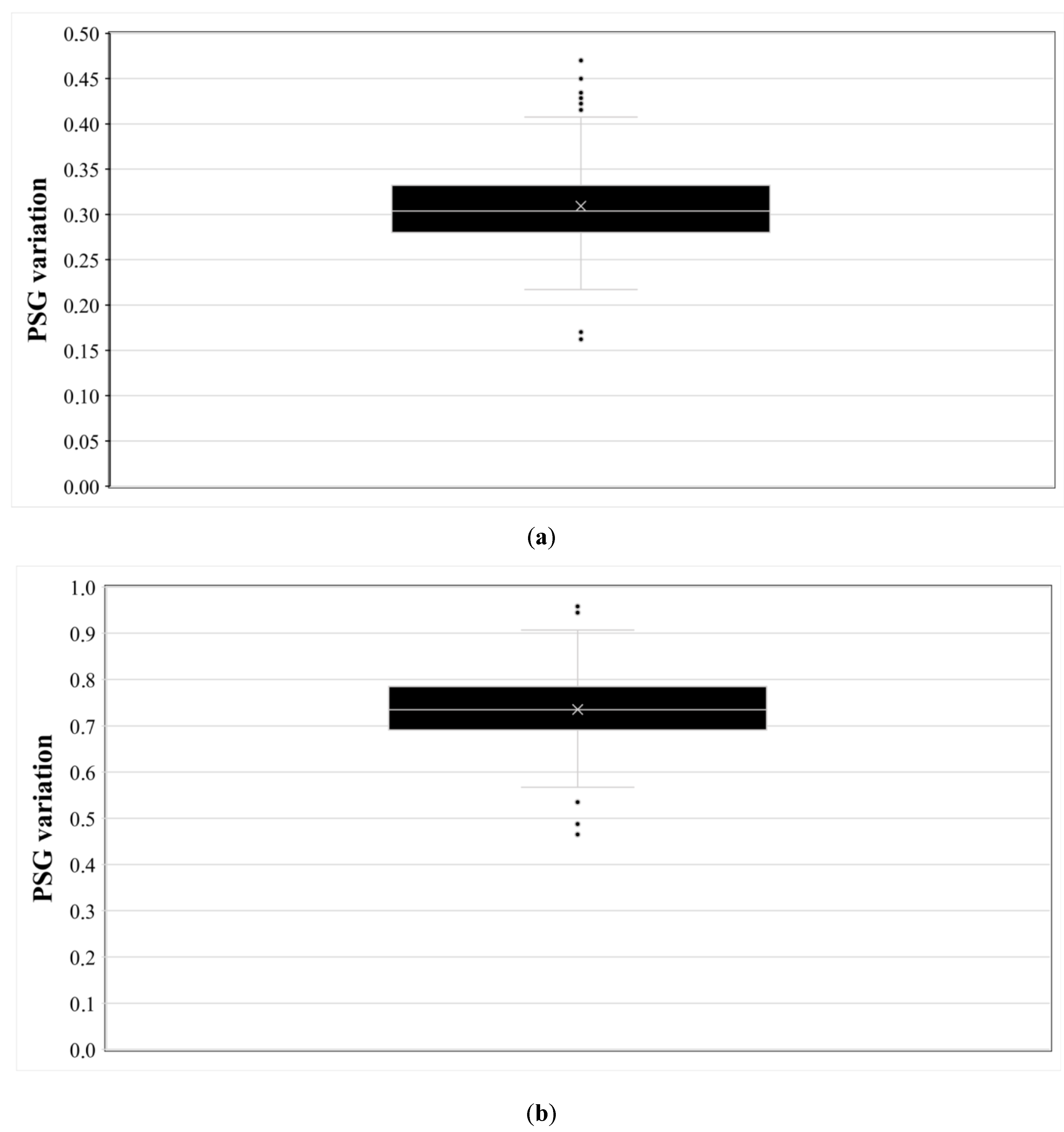
3.1. Percent Signal Ghosting (PSG)
3.2. Percentage Image Uniformity (PIU)
3.3. Signal to Noise Ratio (SNR)
4. Discussion
5. Conclusions
Author Contributions
Funding
Conflicts of Interest
Appendix A
Automatic Detection of Circular Phantom: Determination of the Center and Radius of the Phantom Fitting Circle

| QC Test Parameter | 1 or 2 Images | 1 or 2 Sequences | ACR Image Slice No. | Subsection No. and Basic Equation | Variants Used (S Denotes Average Signal and σ the Standard Deviation) | Figure No |
|---|---|---|---|---|---|---|
| SNR | 1 | 1 | #7 | Subsection C1, (5) | (7), , , | 9 |
| 2 | 1 | #7 & #6 | Section 2.3.3 par. C, (6) | (11) Subscript 1 refers to i.e., S(#7) and σD refers to the subtraction image i.e., σ(#7-#6) | 10 | |
| 1 | #7 & #6 | (12) Subscript 2 refers to #6 i.e., S(#7). σD refers to the subtraction image (#7-#6) i.e., σ (#7-#6) | - | |||
| 1 | #7 & #6 | (13) Subscript 1 refers to #7, and subscript 2 refers to #7 and σD refers to the subtraction image (#7-#6) i.e., σ(#7-#6) | - | |||
| 2 | #7A & #7B | Section 2.3.3 par. D, (6) | (11) Subscript 1 refers to #7, i.e., S(#7A) and σD refers to the subtraction image σ(#7A-#7B). The is used to denote that two different series A & Β are used | 11 | ||
| SNR ratio (SNR1/SNR2) | 1 | 1 (2) | #7 & #6 or 7A & 7B | Section 2.3.3 par. B, (5) | (8), (9), (10) Subscript 1 refers to slice #7 (or #7A) and subscript 2 refers to slice #6 (or #7B) | 10 |
| 1 | 2 | #7 & #6 | Section 2.3.3 par. C, (6) | (11), (12), (13) Subscript 1 refers to #7, subscript 2 refers to image #6, and σD refers to the subtraction image (#7–#6). | 11 | |
| 2 | 2 | #7A & #7B | Section 2.3.3 par. D, (6) | (11), (12), (13) Subscript 1 refers to #7A, subscript 2 refers to image #7B and σD refers to the subtraction image (#7A–#7B). The is used to denote that two different series A & Β are used. | 11 | |
| SNRU | 1 | 1 | #7 | (15) where and are the standard deviation and the mean value of the 5 ROIs’ SNR values | (14) | 12 |
| SNRUD | 2 | 1 | #7 & #6 | (16), (17), Subscript 1 refers to image #7, subscript 2 refers to image #6 | ||
| SNRU ratio | 2 | 1 | #7 & #6 | SNRU1/SNRU2 | SNRU(#7)/SNRU(#6) with SNRU values calculated using Equation (14) | |
| SNRUD ratio | 2 | 1 | #7 & #6 | SNRUD1/SNRUD2 | SNRUD(#7)/SNRUD(#6) with SNRUD values calculated using Equation (16,17) |
References
- McRobbie, D.; Moore, E.A.; Graves, M.J.; Prince, M.R. MRI from Picture to Proton.; Cambridge University Press: Cambridge, UK, 2017. [Google Scholar]
- ACR. Site Scanning Instructions for Use of the MR Phantom for the ACR™ MRI Accreditation Program. MRI Accreditation Program–Site Scanning Instructions; American College of Radiology: Reston, VA, USA, 2002. [Google Scholar]
- ACR. Phantom Test Guidance for the ACR MRI Accreditation Program; American College of Radiology: Reston, VA, USA, 2005. [Google Scholar]
- Price, R.; Allison, J.; Clarke, G.; Dennis, M.; Hendrick, R.E.; Keener, C.; Masten, J.; Nessaiver, M.; Och, J.; Reeve, D. Magnetic Resonance Imaging Quality Control Manual; American College of Radiology: Reston, VA, USA, 2015. [Google Scholar]
- AAPM. Acceptance Testing and Quality Assurance Procedures for Magnetic Resonance Imaging Facilities; AAPM REPORT NO. 100 Report of MR Subcommittee Task Group I; American Association of Physicists in Medicine: College Park, MD, USA, 2010. [Google Scholar]
- Covell, M.M.; Hearshen, D.O.; Carson, P.L.; Chenevert, T.P.; Shreve, P.; Aisen, A.M.; Bookstein, F.L.; Murphy, B.W.; Martel, W. Automated analysis of multiple performance characteristics in magnetic resonance imaging systems. Med. Phys. 1986, 13, 815–823. [Google Scholar]
- Barker, G.J.; Tofts, P.S. Semiautomated quality assurance for quantitative magnetic resonance imaging. Magn. Reson. Imaging 1992, 10, 585–595. [Google Scholar]
- Hyde, R.J.; Ellis, J.H.; Gardner, E.A.; Zhang, Y.; Carson, P.L. MRI scanner variability studies using a semi-automated analysis system. Magn. Reson. Imaging 1994, 12, 1089–1097. [Google Scholar]
- Bourel, P.; Gibon, D.; Coste, E.; Daanen, V.; Rousseau, J. Automatic quality assessment protocol for MRI equipment. Med. Phys. 1999, 26, 2693–2700. [Google Scholar]
- Simmons, A.; Moore, E.; Williams, S.C. Quality control for functional magnetic resonance imaging using automated data analysis and Shewhart charting. Magn. Reson. Med. 1999, 41, 1274–1278. [Google Scholar]
- Stöcker, T.; Schneider, F.; Klein, M.; Habel, U.; Kellermann, T.; Zilles, K.; Shah, N.J. Automated quality assurance routines for fMRI data applied to a multicenter study. Hum. Brain Mapp. 2005, 25, 237–246. [Google Scholar]
- Ihalainen, T.; Sipilä, O.; Savolainen, S. MRI quality control: Six imagers studied using eleven unified image quality parameters. Eur. Radiol. 2004, 14, 1859–1865. [Google Scholar]
- Gardner, E.A.; Ellis, J.H.; Hyde, R.J.; Aisen, A.M.; Quint, D.J.; Carson, P.L. Detection of degradation of magnetic resonance (MR) images: Comparison of an automated MR image-quality analysis system with trained human observers. Acad. Radiol. 1995, 2, 277–281. [Google Scholar]
- Fitzpatrick, A.O. Automated Quality Assurance for Magnetic Resonance Imaging with Extensions to Diffusion Tensor Imaging. Master’s Theses, Virginia Tech, Blacksburg, VA, USA, 2005. [Google Scholar]
- Davids, M.; Zöllner, F.G.; Ruttorf, M.; Nees, F.; Flor, H.; Schumann, G.; Schad, L.R.; IMAGEN Consortium. Fully-automated quality assurance in multi-center studies using MRI phantom measurements. Magn. Reson. Imaging 2014, 32, 771–780. [Google Scholar]
- Sun, J.; Barnes, M.; Dowling, J.; Menk, F.; Stanwell, P.; Greer, P.B. An open source automatic quality assurance (OSAQA) tool for the ACR MRI phantom. Australas. Phys. Eng. Sci. Med. 2015, 38, 39–46. [Google Scholar]
- EEAE. Πρωτόκολλο ελέγχων ακτινοπροστασίας, ασφάλειας και ποιότητας συστημάτων απεικόνισης μαγνητικού συντονισμού. ΕΕΑΕ. 2013. Available online: https://eeae.gr/files/protokolla/protokollo_MRI.pdf (accessed on 1 June 2020).
- National Electrical Manufacturers Association. Determination of Image Uniformity in Diagnostic Magnetic Resonance Images; NEMA Standards Publication MS 3-2008: Rosslyn, VA, USA, 2008. [Google Scholar]
- National Electrical Manufacturers Association. Determination of Signal-to-Noise Ratio (SNR) in Diagnostic Magnetic Resonance Imaging; NEMA Standards Publication MS 1-2008: Rosslyn, VA, USA, 2008. [Google Scholar]
- Lerski, R.A.; De Certaines, J.D., II. Performance assessment and quality control in MRI by Eurospin test objects and protocols. Magn. Reson. Imaging 1993, 11, 817–833. [Google Scholar]
- Fu, L.; Fonov, V.; Pike, B.; Evans, A.C.; Collins, D.L. Automated analysis of multi site MRI phantom data for the NIHPD project. In Medical Image Computing and Computer-Assisted Intervention–MICCAI 2006; MICCAI 2006; Lecture Notes in Computer Science; Larsen, R., Nielsen, M., Sporring, J., Eds.; Springer: Berlin/Heidelberg, Germany, 2006; Volume 4191. [Google Scholar]
- Firbank, M.J.; Coulthard, A.; Harrison, R.M.; Williams, E.D. A comparison of two methods for measuring the signal to noise ratio on MR images. Phys. Med. Biol. 1999, 44, N261–N264. [Google Scholar]
- Koller, C.J.; Eatough, J.P.; Mountford, P.J.; Frain, G. A survey of MRI quality assurance programmes. Br. J. Radiol. 2006, 79, 592–596. [Google Scholar]
- Ihalainen, T.M.; Lönnroth, N.T.; Peltonen, J.I.; Uusi-Simola, J.K.; Timonen, M.H.; Kuusela, L.J.; Savolainen, S.E.; Sipilä, O.E. MRI quality assurance using the ACR phantom in a multi-unit imaging center. Acta Oncol. 2011, 50, 966–972. [Google Scholar]













| QC Test | Series | Slice No | Limits |
|---|---|---|---|
| 1. Geometric accuracy | T1 | Localizer, #1, #5 | ≤± 2 mm |
| 2. High-contrast spatial resolution | T1 | #1 | ≤ 1 mm |
| 3. Slice thickness accuracy | T1, T2 | #1 | 5 mm ± 0.7 mm |
| 4. Slice position accuracy | T1, T2 | #1 & #11 | ≤±5 mm (≤±4 mm) |
| 5. Image intensity uniformity | T1, T2 | #7 | ≥87.5% (<3T), ≥82% (3T) |
| 6. Percent-signal ghosting | T1 | #7 | ≤0.025 |
| 7. Low-contrast object detectability | T1, T2 | #8-#11 | ≥9 (<3T), ≥37 (3T) |
Publisher’s Note: MDPI stays neutral with regard to jurisdictional claims in published maps and institutional affiliations. |
© 2020 by the authors. Licensee MDPI, Basel, Switzerland. This article is an open access article distributed under the terms and conditions of the Creative Commons Attribution (CC BY) license (http://creativecommons.org/licenses/by/4.0/).
Share and Cite
Epistatou, A.C.; Tsalafoutas, I.A.; Delibasis, K.K. An Automated Method for Quality Control in MRI Systems: Methods and Considerations. J. Imaging 2020, 6, 111. https://doi.org/10.3390/jimaging6100111
Epistatou AC, Tsalafoutas IA, Delibasis KK. An Automated Method for Quality Control in MRI Systems: Methods and Considerations. Journal of Imaging. 2020; 6(10):111. https://doi.org/10.3390/jimaging6100111
Chicago/Turabian StyleEpistatou, Angeliki C., Ioannis A. Tsalafoutas, and Konstantinos K. Delibasis. 2020. "An Automated Method for Quality Control in MRI Systems: Methods and Considerations" Journal of Imaging 6, no. 10: 111. https://doi.org/10.3390/jimaging6100111
APA StyleEpistatou, A. C., Tsalafoutas, I. A., & Delibasis, K. K. (2020). An Automated Method for Quality Control in MRI Systems: Methods and Considerations. Journal of Imaging, 6(10), 111. https://doi.org/10.3390/jimaging6100111

