Lung Nodule Malignancy Classification Integrating Deep and Radiomic Features in a Three-Way Attention-Based Fusion Module
Abstract
1. Introduction
- The main contribution of this article is to indicate the superiority of combining HC and DL Radiomic features compared to stand-alone HC/DL models in improving the performance and robustness of diagnosing the type of lung nodule. This objective has been achieved by using a 3-way attention-based fusion module for the first time, to the best of our knowledge, integrating three independent feature sets to classify nodule’s invasiveness.
- Each of the constituent feature extraction paths of the proposed I-VISTA framework concentrates on a specific domain to capture local and global evidence of invasive nodules. More specifically, the I-VISTA takes the inherent three-dimensional characteristics of non-thin CT sequences. It accomplishes this by simultaneously incorporating the temporal (between-slice) and spatial (within-slice) variances of CT slices with quantitative features of nodules in an attention-based fusion center.
- The fusion module is constructed based on a Criss-Cross Attention (CCA) framework that combines three feature sets effectively providing complementary information about each nodule considering its spatial, temporal, and visual attributes extracted from non-thin lung CT scans of 114 pathologically approved nodules. The spatial and temporal characteristics of each nodule were extracted with Transformer-based models and fed to the CCA module, along with nodule HC Radiomic features. The CCA module can well-learn the global contextual information among three sets of features and pay attention to strong discriminative features to distinguish the type of nodule. The proposed integration approach allows for the I-VISTA model to capture the interactions and dependencies between three feature sets, resulting in a higher level of performance than either set can achieve alone.
2. Materials and Methods
2.1. Data Description
2.2. Pre-Processing
2.2.1. Small-Scale: 3 Dimensional Nodule Segmentation
2.2.2. Large-Scale: Lung Segmentation
2.3. Deep-Learning Radiomic Features
2.3.1. Learning Spatial Variations: (Supervised) SWin-Transformer
2.3.2. Learning Temporal Variations: (Unsupervised) CAE-Transformer
2.4. 3D Radiomic Features
2.5. Fusion Module: Features Integration via Criss-Cross Attention (CCA)
3. Results
- Accuracy measures the proportion of correctly classified samples:
- Sensitivity measures the proportion of actual positives correctly identified:
- Specificity measures the proportion of actual negatives correctly identified:
- Precision measures the proportion of predicted positives that are correct:
- F1 Score measures the harmonic mean of Precision and Recall:
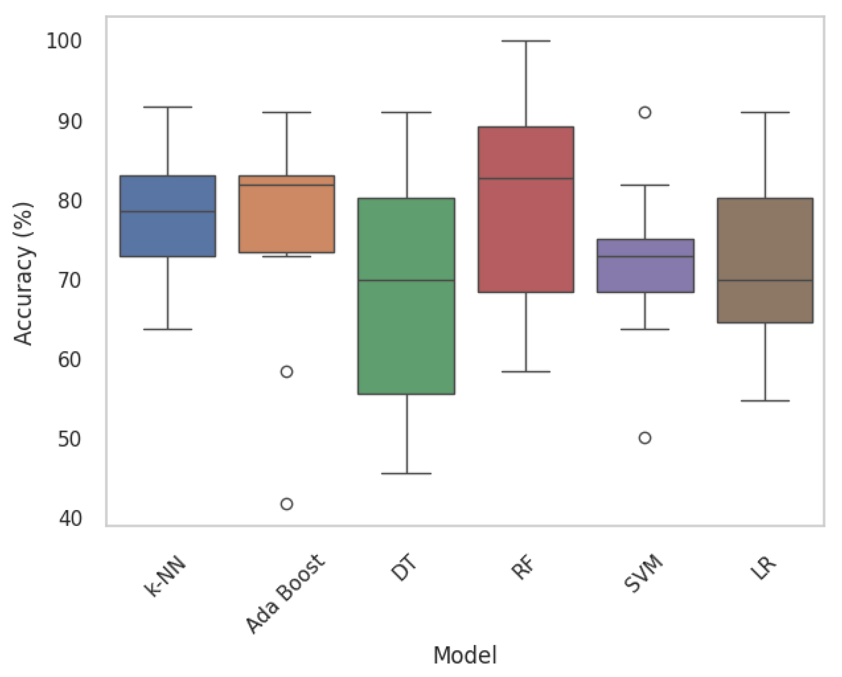
3.1. HC and DL Radiomic-Based Models
3.2. I-VISTA Hybrid Model
4. Discussion
5. Conclusions
Author Contributions
Funding
Institutional Review Board Statement
Informed Consent Statement
Data Availability Statement
Conflicts of Interest
Abbreviations
| AAH | Atypical Adenomatous Hyperplasia |
| AIS | Adenocarcinoma in Situ |
| AI | Artificial Intelligence |
| AUC | Area Under the ROC Curve |
| CAD | Computer-Aided Detection |
| CAE | Convolutional Auto-Encoder |
| CI | Confidence Interval |
| CCA | Criss-Cross Attention |
| CNN | Convolutional Neural Network |
| CT | Computed Tomography |
| DL | Deep Learning |
| DT | Decision Tree |
| FC | Fully Connected |
| GGN | Ground-Glass Nodule |
| GMP | Global Max Pooling |
| HC | Hand-Crafted |
| IPA | Invasive Pulmonary Adenocarcinoma |
| k-NN | k-Nearest Neighbors |
| LASSO | Least Absolute Shrinkage and Selection Operator |
| LIDC-IDRI | Lung Image Database Consortium and Image Database Resource Initiative |
| LR | Logistic Regression |
| LSTM | Long Short-Term Memory |
| MIA | Minimally Invasive Adenocarcinoma |
| ML | Machine Learning |
| MLP | Multi-Layer Perceptron |
| MPP | Mean of Positive Pixels |
| MSE | Mean Squared Error |
| NLP | Natural Language Processing |
| NSCLC | Non-Small-Cell Lung Carcinoma |
| PET | Positron Emission Tomography |
| REB | Research Ethics Board |
| RF | Random Forest |
| ROC | Receiver Operating Characteristic |
| RNN | Recurrent Neural Network |
| SD | Standard Deviation |
| SSF | Spatial Scale Filter |
| SSN | Subsolid Nodule |
| SVM | Support Vector Machine |
| SWin | Shifted Window |
| ViT | Vision Transformer |
Appendix A
Appendix A.1. Transformer Encoder

Appendix A.2. SWin Transformer
References
- Thandra, K.; Barsouk, A.; Saginala, K.; Aluru, J.; Barsouk, A. Epidemiology of lung cancer. Clin. Chest Med. 2021, 25, 45–52. [Google Scholar] [CrossRef]
- Thai, A.; Solomon, B.; Sequist, L.; Gainor, J.; Heist, R. Lung cancer. Lancet 2021, 398, 535–554. [Google Scholar] [CrossRef] [PubMed]
- Cohen, J.G.; Reymond, E.; Jankowski, A.; Brambilla, E.; Arbib, F.; Lantuejoul, S.; Ferretti, G.R. Lung adenocarcinomas: Correlation of computed tomography and pathology findings. Diagn. Interv. Imaging 2016, 97, 955–963. [Google Scholar] [CrossRef]
- Travis, W.D.; Brambilla, E.; Nicholson, A.G.; Yatabe, Y.; Austin, J.H.M.; Beasley, M.B.; Chirieac, L.R.; Dacic, S.; Duhig, E.; Flieder, D.B.; et al. The 2015 World Health Organization Classification of Lung Tumors: Impact of Genetic, Clinical and Radiologic Advances Since the 2004 Classification. J. Thorac. Oncol. 2015, 10, 1243–1260. [Google Scholar] [CrossRef] [PubMed]
- Wilkinson, A.; Lam, S. Lung cancer screening primer: Key information for primary care providers. Can. Fam. Physician 2021, 67, 817–822. [Google Scholar] [CrossRef]
- Amicizia, D.; Piazza, M.F.; Marchini, F.; Astengo, M.; Grammatico, F.; Battaglini, A.; Schenone, I.; Sticchi, C.; Lavieri, R.; Di Silverio, B.; et al. Systematic Review of Lung Cancer Screening: Advancements and Strategies for Implementation. Healthcare 2023, 11, 2085. [Google Scholar] [CrossRef]
- Jin, H.; Yu, C.; Gong, Z.; Zheng, R.; Zhao, Y.; Fu, Q. Machine learning techniques for pulmonary nodule computer-aided diagnosis using CT images: A systematic review. Biomed. Signal Process. Control 2023, 79, 104104. [Google Scholar] [CrossRef]
- Kuhn, E.; Morbini, P.; Cancellieri, A.; Damiani, S.; Cavazza, A.; Comin, C.E. Adenocarcinoma classification: Patterns and prognosis. Pathol.-J. Ital. Soc. Anat. Pathol. Diagn. Cytopathol. 2018, 110, 5–11. [Google Scholar]
- Zhang, Y.; Ma, X.; Shen, X.; Wang, S.; Li, Y.; Hu, H.; Chen, H. Surgery for pre- and minimally invasive lung adenocarcinoma. J. Thorac. Cardiovasc. Surg. 2022, 163, 456–464. [Google Scholar] [CrossRef]
- Fu, F.; Chen, Z.; Chen, H. Treating lung cancer: Defining surgical curative time window. Cell Res. 2022, 33, 649–650. [Google Scholar] [CrossRef]
- Wang, L. Deep Learning Techniques to Diagnose Lung Cancer. Cancers 2022, 14, 5569. [Google Scholar] [CrossRef]
- Christie, J.R.; Lang, P.; Zelko, L.M.; Palma, D.A.; Abdelrazek, M.; Mattonen, S.A. Artificial Intelligence in Lung Cancer: Bridging the Gap Between Computational Power and Clinical Decision-Making. Can. Assoc. Radiol. J. 2020, 72, 86–97. [Google Scholar] [CrossRef]
- Afshar, P.; Mohammadi, A.; Plataniotis, K.N.; Oikonomou, A.; Benali, H. From Handcrafted to Deep-Learning-Based Cancer Radiomics: Challenges and opportunities. IEEE Signal Process. Mag. 2018, 36, 132–160. [Google Scholar] [CrossRef]
- Feng, H.; Shi, G.; Xu, Q.; Ren, J.; Wang, L.; Cai, X. Radiomics-based analysis of CT imaging for the preoperative prediction of invasiveness in pure ground-glass nodule lung adenocarcinomas. Insights Imaging 2023, 14, 24. [Google Scholar] [CrossRef]
- Heidarian, S.; Afshar, P.; Enshaei, N.; Naderkhani, F.; Rafiee, M.J.; Babaki Fard, F.; Samimi, K.; Atashzar, S.F.; Oikonomou, A.; Plataniotis, K.N.; et al. COVID-FACT: A Fully-Automated Capsule Network-Based Framework for Identification of COVID-19 Cases from Chest CT Scans. Front. Artif. Intell. 2021, 4, 598932. [Google Scholar] [CrossRef]
- Liu, S.; Xie, Y.; Jirapatnakul, A.; Reeves, A. Pulmonary nodule classification in lung cancer screening with three-dimensional convolutional neural networks. J. Med. Imaging 2017, 4, 041308. [Google Scholar] [CrossRef]
- Wang, F.; Wang, C.-L.; Yi, Y.-Q.; Zhang, T.; Zhong, Y.; Zhu, J.-J.; Li, H.; Yang, G.; Yu, T.-F.; Xu, H.; et al. Comparison and fusion prediction model for lung adenocarcinoma with micropapillary and solid pattern using clinicoradiographic, radiomics and deep learning features. Sci. Rep. 2023, 13, 9302. [Google Scholar] [CrossRef] [PubMed]
- Vaswani, A.; Shazeer, N.; Parmar, N.; Uszkoreit, J.; Jones, L.; Gomez, A.N.; Kaiser, L.; Polosukhin, I. Attention is All you Need. In Proceedings of the Advances in Neural Information Processing Systems, Long Beach, CA, USA, 4–9 December 2017. [Google Scholar]
- Shao, T.; Guo, Y.; Chen, H.; Hao, Z. Transformer-Based Neural Network for Answer Selection in Question Answering. IEEE Access 2019, 7, 26146–26156. [Google Scholar] [CrossRef]
- Liu, H.; Chen, W. Re-Transformer: A Self-Attention Based Model for Machine Translation. Procedia Comput. Sci. 2021, 189, 3–10. [Google Scholar] [CrossRef]
- Rodrawangpai, B.; Daungjaiboon, W. Improving text classification with transformers and layer normalization. Mach. Learn. Appl. 2022, 10, 100403. [Google Scholar] [CrossRef]
- Dosovitskiy, A.; Beyer, L.; Kolesnikov, A.; Weissenborn, D.; Zhai, X.; Unterthiner, T.; Dehghani, M.; Minderer, M.; Heigold, G.; Gelly, S.; et al. An Image is Worth 16 × 16 Words: Transformers for Image Recognition at Scale. arXiv 2020. [Google Scholar] [CrossRef]
- He, K.; Gan, C.; Li, Z.; Rekik, I.; Yin, Z.; Ji, W.; Gao, Y.; Wang, Q.; Zhang, J.; Shen, D. Transformers in medical image analysis. Intell. Med. 2023, 3, 59–78. [Google Scholar] [CrossRef]
- Shamshad, F.; Khan, S.; Zamir, S.W.; Khan, M.H.; Hayat, M.; Khan, F.S.; Fu, H. Transformers in medical imaging: A survey. Med. Image Anal. 2023, 88, 102802. [Google Scholar] [CrossRef] [PubMed]
- Barbouchi, K.; El Hamdi, D.; Elouedi, I.; Ben Aïcha, T.; Kacem Echi, A.; Slim, I. A transformer-based deep neural network for detection and classification of lung cancer via PET/CT images. Int. J. Imaging Syst. Technol. 2022, 33, 1383–1395. [Google Scholar] [CrossRef]
- Armato, S.G., III; McLennan, G.; Bidaut, L.; McNitt-Gray, M.F.; Meyer, C.R.; Reeves, A.P.; Zhao, B.; Aberle, D.R.; Henschke, C.I.; Hoffman, E.A.; et al. The Lung Image Database Consortium (LIDC) and Image Database Resource Initiative (IDRI): A completed reference database of lung nodules on CT scans. Med. Phys. 2011, 38, 915–930. [Google Scholar] [CrossRef]
- Sun, R.; Pang, Y.; Li, W. Efficient Lung Cancer Image Classification and Segmentation Algorithm Based on an Improved Swin Transformer. Electronics 2023, 12, 1024. [Google Scholar] [CrossRef]
- Mkindu, H.; Wu, L.; Zhao, Y. Lung nodule detection in chest CT images based on vision transformer network with Bayesian optimization. Biomed. Signal Process. Control 2023, 85, 104866. [Google Scholar] [CrossRef]
- Mkindu, H.; Wu, L.; Zhao, Y. 3D multi-scale vision transformer for lung nodule detection in chest CT images. Signal Image Video Process. 2023, 17, 2473–2480. [Google Scholar] [CrossRef]
- Oikonomou, A.; Salazar, P.; Zhang, Y.; Hwang, D.M.; Petersen, A.; Dmytriw, A.A.; Paul, N.S.; Nguyen, E.T. Histogram-based models on non-thin section chest CT predict invasiveness of primary lung adenocarcinoma subsolid nodules. Sci. Rep. 2019, 9, 6009. [Google Scholar] [CrossRef]
- Andersen, M.B.; Harders, S.W.; Ganeshan, B.; Thygesen, J.; Torp Madsen, H.H.; Rasmussen, F. CT texture analysis can help differentiate between malignant and benign lymph nodes in the mediastinum in patients suspected for lung cancer. Acta Radiol. 2016, 57, 669–676. [Google Scholar] [CrossRef] [PubMed]
- Zerunian, M.; Caruso, D.; Zucchelli, A.; Polici, M.; Capalbo, C.; Filetti, M.; Mazzuca, F.; Marchetti, P.; Laghi, A. CT based radiomic approach on first line pembrolizumab in lung cancer. Sci. Rep. 2021, 11, 6633. [Google Scholar] [CrossRef] [PubMed]
- Ganeshan, B.; Goh, V.; Mandeville, H.C.; Ng, Q.S.; Hoskin, P.J.; Miles, K.A. Non-small cell lung cancer: Histopathologic correlates for texture parameters at CT. Radiology 2013, 266, 326–336. [Google Scholar] [CrossRef]
- Hofmanninger, J.; Prayer, F.; Röhrich, S.; Prosch, H.; Langs, G. Automatic lung segmentation in routine imaging is primarily a data diversity problem, not a methodology problem. Eur. Radiol. Exp. 2020, 4, 50. [Google Scholar] [CrossRef] [PubMed]
- Ronneberger, O.; Fischer, P.; Brox, T. U-Net: Convolutional Networks for Biomedical Image Segmentation. In International Conference on Medical Image Computing and Computer-Assisted Intervention; Springer: Berlin/Heidelberg, Germany, 2015. [Google Scholar] [CrossRef]
- Walsh, J.; Othmani, A.; Jain, M.; Dev, S. Using U-Net network for efficient brain tumor segmentation in MRI images. Healthc. Anal. 2022, 2, 100098. [Google Scholar] [CrossRef]
- Liu, W.; Luo, J.; Yang, Y.; Wang, W.; Deng, J.; Yu, L. Automatic lung segmentation in chest X-ray images using improved U-Net. Sci. Rep. 2022, 12, 8649. [Google Scholar] [CrossRef]
- Ayalew, Y.; Fante, K.; Mohammed, M. Modified U-Net for liver cancer segmentation from computed tomography images with a new class balancing method. BMC Biomed. Eng. 2021, 3, 4. [Google Scholar] [CrossRef]
- Liu, Z.; Lin, Y.; Cao, Y.; Hu, H.; Wei, Y.; Zhang, Z.; Lin, S.; Guo, B. Swin transformer: Hierarchical vision transformer using shifted windows. In Proceedings of the IEEE/CVF International Conference on Computer Vision, Montreal, QC, Canada, 11–17 October 2021; pp. 10012–10022. [Google Scholar] [CrossRef]
- Zhang, L.; Wen, Y. A transformer-based framework for automatic COVID19 diagnosis in chest CTs. In Proceedings of the IEEE/CVF International Conference on Computer Vision Workshops, Montreal, QC, Canada, 11–17 October 2021; pp. 513–518. [Google Scholar] [CrossRef]
- Deng, J.; Dong, W.; Socher, R.; Li, L.-J.; Li, K.; Fei-Fei, L. ImageNet: A large-scale hierarchical image database. In Proceedings of the IEEE Conference on Computer Vision and Pattern Recognition, Miami, FL, USA, 20–25 June 2009; pp. 248–255. [Google Scholar] [CrossRef]
- Masci, J.; Meier, U.; Ciresan, D.; Schmidhuber, J. Stacked Convolutional Auto-Encoders for Hierarchical Feature Extraction. In International Conference on Artificial Neural Networks; Springer: Berlin/Heidelberg, Germany, 2011; pp. 52–59. [Google Scholar] [CrossRef]
- Miles, K.; Ganeshan, B.; Hayball, M. CT texture analysis using the filtration-histogram method: What do the measurements mean? Cancer Imaging 2013, 13, 400. [Google Scholar] [CrossRef]
- Huang, Z.; Wang, X.; Huang, L.; Huang, C.; Wei, Y.; Liu, W. CCNet: Criss-Cross Attention for Semantic Segmentation. In Proceedings of the IEEE/CVF International Conference on Computer Vision, Seoul, Republic of Korea, 27 October–2 November 2019; pp. 603–612. [Google Scholar] [CrossRef]
- Wang, H.; Zhu, H.; Ding, L.; Yang, K. A diagnostic classification of lung nodules using multiple-scale residual network. Sci. Rep. 2023, 13, 11322. [Google Scholar] [CrossRef]
- Sun, Y.; Li, C.; Jin, L.; Gao, P.; Zhao, W.; Ma, W.; Tan, M.; Wu, W.; Duan, S.; Shan, Y.; et al. Radiomics for lung adenocarcinoma manifesting as pure ground-glass nodules: Invasive prediction. Eur. Radiol. 2020, 30, 3650–3659. [Google Scholar] [CrossRef] [PubMed]
- Yang, Y.; Tan, M.; Ma, W.; Duan, S.; Huang, X.; Jin, L.; Tang, L.; Li, M. Preoperative prediction of the degree of differentiation of lung adenocarcinoma presenting as sub-solid or solid nodules with a radiomics nomogram. Clin. Radiol. 2022, 77, e680–e688. [Google Scholar] [CrossRef]
- Feng, B.; Chen, X.; Chen, Y.; Li, Z.; Hao, Y.; Zhang, C.; Li, R.; Liao, Y.; Zhang, X.; Huang, Y.; et al. Differentiating minimally invasive and invasive adenocarcinomas in patients with solitary sub-solid pulmonary nodules with a radiomics nomogram. Clin. Radiol. 2019, 74, 570.e1–570.e11. [Google Scholar] [CrossRef]
- Afshar, P.; Oikonomou, A.; Naderkhani, F.; Tyrrell, P.N.; Plataniotis, K.N.; Farahani, K.; Mohammadi, A. 3D-MCN: A 3D Multi-scale Capsule Network for Lung Nodule Malignancy Prediction. Sci. Rep. 2020, 10, 7948. [Google Scholar] [CrossRef]
- Zhou, J.; Hu, B.; Feng, W.; Zhang, Z.; Fu, X.; Shao, H.; Wang, H.; Jin, L.; Ai, S.; Ji, Y. An ensemble deep learning model for risk stratification of invasive lung adenocarcinoma using thin-slice CT. NPJ Digit. Med. 2023, 6, 119. [Google Scholar] [CrossRef] [PubMed]
- Zhang, Y.; Qu, H.; Tian, Y.; Na, F.; Yan, J.; Wu, Y.; Cui, X.; Li, Z.; Zhao, M. PB-LNet: A model for predicting pathological subtypes of pulmonary nodules on CT images. BMC Cancer 2023, 23, 52–59. [Google Scholar] [CrossRef] [PubMed]
- Wang, X.; Zhang, L.; Yang, X.; Tang, L.; Zhao, J.; Chen, G.; Li, X.; Yan, S.; Li, S.; Yang, Y.; et al. Deep learning combined with radiomics may optimize the prediction in differentiating high-grade lung adenocarcinomas in ground glass opacity lesions on CT scans. Eur. J. Radiol. 2020, 129, 109150. [Google Scholar] [CrossRef] [PubMed]











| Model/Stage | Optimizer | Learning Rate | Epochs | Batch Size | Weight Decay | Patience | Drop-Out |
|---|---|---|---|---|---|---|---|
| CAE/Pre-training | Adam | 200 | 128 | NA | NA | NA | |
| CAE/Fine-tuning | Adam | 50 | 64 | NA | NA | NA | |
| CAE-Transformer/Training | Adam | 200 | 64 | NA | NA | 0.3 | |
| Swin Transformer/Training | AdamW | 50 | 1 | 0.05 | 10 | 0.1 | |
| CCA ModuleTraining | AdamW | 20 | 8 | 0.05 | 5 | NA |
| Model | Accuracy (%) | Sensitivity (%) | Specificity (%) | AUC |
|---|---|---|---|---|
| DT | 67.72 ± 15.22 | 63.66 ± 25.45 | 73.00 ± 20.93 | 0.68 ± 0.15 |
| LR | 71.89 ± 11.01 | 70.00 ± 27.26 | 74.80 ± 15.68 | 0.86 ± 0.09 |
| SVM | 72.12 ± 10.83 | 74.00 ± 34.52 | 70.47 ± 23.75 | 0.72 ± 0.11 |
| Ada Boost | 75.83 ± 15.28 | 72.00 ± 21.09 | 70.99 ± 32.81 | 0.84 ± 0.16 |
| k-NN | 78.03 ± 9.48 | 80.33 ± 16.28 | 76.91 ± 20.09 | 0.87 ± 0.12 |
| RF | 79.16 ± 13.43 | 73.33 ± 25.53 | 84.66 ± 18.40 | 0.88 ± 0.11 |
| Model | Accuracy (%) | Sensitivity (%) | Specificity (%) | AUC |
|---|---|---|---|---|
| CAE-Transformer | 69.46 ± 16.42 | 64.33 ± 21.45 | 74.66 ± 19.95 | 0.71 ± 0.20 |
| SWin-Transformer | 78.10 ± 12.45 | 76.66 ± 21.80 | 79.66 ± 17.91 | 0.80 ± 0.15 |
| I-VISTA | 87.87 ± 11.02 | 82.66 ± 21.69 | 93.33 ± 8.16 | 0.89 ± 0.11 |
| Fold | Best Accuracy | Accuracy | Sensitivity | Specificity | F1 Score G1 | F1 Score G2 |
|---|---|---|---|---|---|---|
| 1 | 100 | 92.72 ± 3.83 | 100 ± 0.0 | 86.66 ± 7.02 | 91.91 ± 3.03 | 91.91 ± 3.03 |
| 2 | 90.90 | 79.99 ± 8.35 | 76.00 ± 18.37 | 83.33 ± 15.71 | 80.44 ± 7.66 | 75.56 ± 10.70 |
| 3 | 81.81 | 71.81 ± 5.15 | 58 ± 11.35 | 83.33 ± 0.0 | 75.70 ± 2.42 | 62.96 ± 7.34 |
| 4 | 100 | 97.27 ± 4.39 | 100 ± 0.0 | 95.00 ± 8.05 | 96.96 ± 4.54 | 96.96 ± 4.54 |
| 5 | 91.66 | 69.99 ± 8.04 | 43.33 ± 16.10 | 96.66 ± 7.02 | 74.76 ± 2.5 | 54.07 ± 6.40 |
| 6 | 100 | 91.66 ± 3.92 | 83.33 ± 7.85 | 100 ± 0.0 | 91.57 ± 2.19 | 89.69 ± 3.63 |
| 7 | 83.33 | 76.66 ± 5.27 | 91.66 ± 8.78 | 61.66 ± 15.81 | 70.16 ± 9.57 | 79.42 ± 3.43 |
| 8 | 91.66 | 91.66 ± 0.0 | 100 ± 0.0 | 83.33 ± 0.0 | 90.90 ± 0.0 | 92.30 ± 0.0 |
| 9 | 100 | 85.45 ± 6.35 | 73.33 ± 11.65 | 100 ± 0.0 | 85.01 ± 3.34 | 82.42 ± 4.81 |
| 10 | 100 | 87.27 ± 10.67 | 76.66 ± 19.56 | 100 ± 0.0 | 87.29 ± 8.74 | 83.90 ± 12.53 |
| Model | Accuracy [95% CI] | Sensitivity (%) | Specificity (%) | AUC [95% CI] |
|---|---|---|---|---|
| Ref. [30] | 81.00 [58.1 94.6] | 80.00 | 81.80 | 0.89 [0.73 1] |
| I-VISTA | 93.93 [89.7 98.1] | 92.66 | 94.99 | 0.93 [0.87 0.98] |
Disclaimer/Publisher’s Note: The statements, opinions and data contained in all publications are solely those of the individual author(s) and contributor(s) and not of MDPI and/or the editor(s). MDPI and/or the editor(s) disclaim responsibility for any injury to people or property resulting from any ideas, methods, instructions or products referred to in the content. |
© 2025 by the authors. Licensee MDPI, Basel, Switzerland. This article is an open access article distributed under the terms and conditions of the Creative Commons Attribution (CC BY) license (https://creativecommons.org/licenses/by/4.0/).
Share and Cite
Khademi, S.; Heidarian, S.; Afshar, P.; Mohammadi, A.; Sidiqi, A.; Nguyen, E.T.; Ganeshan, B.; Oikonomou, A. Lung Nodule Malignancy Classification Integrating Deep and Radiomic Features in a Three-Way Attention-Based Fusion Module. J. Imaging 2025, 11, 360. https://doi.org/10.3390/jimaging11100360
Khademi S, Heidarian S, Afshar P, Mohammadi A, Sidiqi A, Nguyen ET, Ganeshan B, Oikonomou A. Lung Nodule Malignancy Classification Integrating Deep and Radiomic Features in a Three-Way Attention-Based Fusion Module. Journal of Imaging. 2025; 11(10):360. https://doi.org/10.3390/jimaging11100360
Chicago/Turabian StyleKhademi, Sadaf, Shahin Heidarian, Parnian Afshar, Arash Mohammadi, Abdul Sidiqi, Elsie T. Nguyen, Balaji Ganeshan, and Anastasia Oikonomou. 2025. "Lung Nodule Malignancy Classification Integrating Deep and Radiomic Features in a Three-Way Attention-Based Fusion Module" Journal of Imaging 11, no. 10: 360. https://doi.org/10.3390/jimaging11100360
APA StyleKhademi, S., Heidarian, S., Afshar, P., Mohammadi, A., Sidiqi, A., Nguyen, E. T., Ganeshan, B., & Oikonomou, A. (2025). Lung Nodule Malignancy Classification Integrating Deep and Radiomic Features in a Three-Way Attention-Based Fusion Module. Journal of Imaging, 11(10), 360. https://doi.org/10.3390/jimaging11100360

