Abstract
The production of consumption goods made of elastomers is increasing day by day, producing large amounts of vulcanized/cured residues which constitute a serious socio-environmental problem. An option for companies that produce elastomeric residues is their incorporation in the formulations, by producing polymeric blends with ground waste elastomers. Therefore, this work aims to prepare polymeric blends composed of raw natural rubber (NR)/ground waste NR in different concentrations. The influence of vulcanization reversion as result of additional heating during compression molding on the mechanical properties of the blends was analyzed, and the relationship among vulcanization characteristics, dynamic-mechanical, morphology and mechanical properties of blends was also determined.
Highlights:
- -
- Blends raw natural rubber (NR)/residue of NR.
- -
- Recycling of NR at low cost.
- -
- Milling at room temperature.
- -
- Possible solution to the problem of the final disposal of solid residues, concerning NR.
- -
- Relationship among vulcanization characteristics, dynamic-mechanical, morphology and mechanical properties of blends containing recycled NR.
- -
- Green chemistry.
1. Introduction
In no other phase of human existence has such a large amount of waste been produced as in the present. Its composition and amount are directly related to the way the population lives, socioeconomic conditions and the ease of access to consumer goods. The irregular disposition of such waste may cause harmful environmental impacts [1] and increase the great global problem of the final disposal of solid residues. In this sense, the use of recycled materials can reduce such problems, since recycling not only protects the environment but also saves the limited petroleum resources from which most of the raw material originates [2]. According to the statistics from the International Rubber Study Group, the world consumption of natural and synthetic elastomer in 2016 was of 27.2 million tons, generating a large amount of waste during the development of materials for everyday use, as well as post-consume rejects [3,4].
Recycling, especially of the polymeric materials, should be considered due to the limited resources that humans are facing nowadays. In addition, the use of recycled materials in new applications is a sustainable action, as it saves the use of raw materials, often polymers derived from oil, which is a non-renewable natural resource. Vulcanized elastomers are materials of difficult natural degradation due to their cross-linked structure and the presence of additives in their formulation, which can generate serious public health and environmental problems [5]. Additionally, recycling is considered a category of green chemistry (“Green chemistry is the design of chemical products and processes that reduce or eliminate the generation of hazardous substances” [6]), i.e., the use of renewable or recycled material sources, being also a source of income for many families around the world [7,8], especially when facing economic crises.
The methods that were, and still are used for the recycling of end-of-life vulcanized elastomers include allocation to dumps and landfills, burning for power generation and formulations with asphalt. These alternatives, despite being useful, do not take advantage of the full potential of the energy invested in the material, and also do not diminish the need for extraction of raw materials to meet the growing demand [9]. A well-established way to recycle vulcanized elastomers is through the production of polymeric blends. As two or more properties of the polymers can be shared, the blends are widely studied with the aim of improving the physical properties compared to pure polymers, obtaining materials that have additional properties and the minimum loss of the original properties [10], in addition to being more economically viable to unite two existing polymers to synthesize another non-existent one [11], through the creation of a new molecule.
A type of recovering process currently being adopted is the use of vulcanized elastomer (in the form of powder) in the production of polymeric blends, through its mixing and subsequent vulcanization. Although there is a loss of mechanical properties during the process, since the interaction between the vulcanized elastomer and the raw one is generally weak, its recovery may be advantageous when incorporated in new formulations, given the reduction of the final product cost, lower consumption of energy and raw materials, and the non-generation of hazardous residues [12,13,14,15,16]. In order to avoid the lack of adhesion between the phases of the blends containing recycled elastomers, the promotion of the devulcanization (at least partially) of the recycled phase can be a pre-requisite to obtain resultant good mechanical properties. So, the literature presents a plethora of works dealing with the devulcanization of the recycled elastomeric phase [7,17,18,19,20], since it makes the elastomer able to flow again [21] and improve the breaking of the particles during the processing, consequently increasing the interaction between the phases and making better the mechanical properties of the final blends. Concerning the devulcanization processes, there are currently many techniques available, such as chemical, thermal, mechanical, thermomechanical, microbial and by irradiation (ultrasound and microwaves) [22]. Other very promising recycling techniques also involve using dynamic chemistries [23].
However, while such techniques may result in improvements in the final properties of the blends, there is often a considerable energy increase that needs to be taken into consideration, especially during the life cycle assessment of the new product containing recycled elastomer [24]. In this way, some authors have studied blends containing at least one phase composed of a ground recycled elastomer [25,26,27,28,29] as a viable economic alternative and as an environmentally friendly solution to the solid residues, obtaining satisfactory results. Some authors have shown that the vulcanization of blends containing ground recycled phase is complex [25] since new parameters and many times other ‘unknown’ parameters are added to the reaction. During recycling, some level of degradation is usually observed, providing high freedom to the polymeric chains, which directly influences the number of effective shocks during the vulcanization reaction and, consequently, on the cross-link density of the blends containing ground recycled phase. In addition, the recycled elastomer may contain an excessive amount of additives from the first vulcanization. Besides this, the exact formulation of the recycled vulcanized elastomer is unknown. As such, all these new and ‘unknown’ parameters are able to influence the vulcanization of the blends containing a ground recycled phase [30]. Therefore, the vulcanization must be carefully analyzed, since physical properties of the blends can be strongly influenced by it.
The vulcanization process consists of chemically uniting individual polymer chains, via cross-links, resulting in a three-dimensional network that will give to the material the desired mechanical and physical properties [31,32]. Some elastomeric compounds, exposed for a prolonged heating time or high temperatures, present increasing stiffness going to a maximum (maximum torque), and after, suffering a decrease, manifested by the torque during standard vulcanization rheometry: This phenomenon is known as reversion [33], which occurs by scission of chains or sulphidic bonds (usually polysulphidic links which are more unstable), process that occurs slowly during the vulcanization. The reversion may also be caused by a depolymerization of the polymeric chains. This phenomenon leads to the reduction of the cross-link density and in the physical properties of the material [34].
In this work, the influence of the vulcanization reversion as result of the additional heating during compression molding on mechanical properties of the compounds raw natural rubber (NR)/recycled NR (containing different concentrations of recycled phase) was analyzed, and the relationship among vulcanization characteristics, dynamic-mechanical, morphology and mechanical properties of the blends was also established. It is important to understand this relationship in order to obtain final products with useful properties, avoiding unnecessary expenses/waste and, consequently, adopting a sustainable form of processing.
2. Experimental
2.1. Materials
NR waste from automotive industry and raw NR, both containing 45 phr (parts per hundred of rubber) of carbon black, were kindly supplied by IPAB SA. The waste was ground in a knives mill Momesso MR-15-R and, after, it was passed through a 30-mesh sieve. To simulate the same amount of accelerator and sulphur in the residue phase, accelerator N-cyclohexylbenzothiazole-2-sulphenamide (CBS) and sulphur were incorporated in the compounds raw rubber/recycled rubber.
2.2. Mixing and Preparation of the Tensile Tests Samples
Ground NR was mixed with the raw NR by using a laboratory two roll mill PRENMAR at room temperature, at a speed ratio of 1:1.4 and with a nip gap of 1 mm. The total mixing time was approximately 10 min for each sample. The compositions were 100/0, 95/5, 90/10, 85/15 and 80/20 raw NR/recycled rubber (% mass). It was added 1.3 phr of accelerator CBS and 2 phr of sulphur, relative to the amount of recovered material.
Elastomeric blends were vulcanized in a hydraulic press at 180°C, at a pressure of 4.41 MPa for 12 min, in order to analyze the reversion influence on the mechanical properties. Vulcanized compounds were, then, cut into dumbbell-shaped tensile test according to ASTM D412, type IV. It is important to note that all the samples were exposed to the same treatment conditions and they were prepared in the same way.
2.3. Characterization of the Blends
The study of the vulcanization characteristics of the blends was performed according to ASTM D2084-95 in a Monsanto Rheometer 100 at 180 °C for 12 min.
The mechanical properties of the blends raw NR/recycled rubber were evaluated on a Universal Test Machine Emic DL2000 (Emic, São José dos Pinhais, PR, Brazil), according to ASTM D412. Stress at break, Young’s modulus, and elongation at break were obtained. The rate of grip separation was 50 mm/min.
The dynamic-mechanical properties of the vulcanized samples were obtained by using a Dynamic Mechanical Analyzer DMA 2980 TA Instruments, from −90 to 200 °C, at a heating rate of 2 °C/min, single cantilever mode, at a frequency of 1 Hz. The dimensions of the samples were 17.5 × 12.5 × 2 mm.
Morphological analyses of the blends were carried out by using a Shimadzu SSX-550 Superscan Scanning Electron Microscope (SEM) (Shimadzu, Tokyo, Japan). The vulcanized samples were cryogenically fractured and the surfaces to be analyzed were coated with gold by using a sputter coater.
It is important to emphasize that it was used for the same length of time for compression molding and for the study of the vulcanization characteristics in order to link the mechanical properties to the vulcanization reversion trend of the blends. The maximum time supported by the samples under pressure and high temperature in the hydraulic press without presenting visible signs of degradation, as bubbles, was 12 min. Therefore, the same time was used in order to analyze the vulcanization characteristics since, at this period, the vulcanization reversion behavior could be clearly observed.
3. Results and Discussion
3.1. Vulcanization Characteristics
The results of the vulcanization tests are shown in the Figure 1.
Figure 1.
Torque versus time curves of the compounds containing different concentrations of recycled NR.
Some vulcanization characteristics of the blends, calculated from the curves torque versus time (Figure 1), are named as scorch time or safety time (ts1), the time necessary for the torque reaches 1.3 × 10−6 N.m above the minimum torque; optimum cure time (t90), the time for the torque reaches 90% of the maximum torque; ML and MH, the minimum and the maximum torques measured by the equipment, respectively; and ΔM (ΔM = MH − ML), the difference between the maximum and minimum torques.
The percentage of reversion R is defined as (Equation (1)) [35]:
where Mt is the torque at a time t (12 min) on the rheometer.
Table 1 summarizes the vulcanization characteristics of the analyzed blends.
Table 1.
Vulcanization characteristics of the analyzed samples.
About ts1 and t90, overall, the values were not strongly affected by the introduction of the recycled phase. Even knowing that the decrease of these values is, usually, a characteristic of reclaimed rubbers [36,37,38], which occurs due to the presence of residual curatives from the first vulcanization [29,31,39], the behavior was not observed in the present results. However, the reduction of ts1 values in compounds containing recycled elastomers occurs as a contribution of the presence of the residual curatives from the first vulcanization, most of the time, when dealing with synthetic elastomers, which are more thermally stable than NR.
Minimum torque is related to the initial viscosity of the compounds. In general, when a vulcanized phase is introduced in a raw one, the viscosity tends to increase, increasing ML values. However, the results have shown that the ML values of the blends decreased in comparison to the neat pure NR, which means that the viscosity of the recycled phase is smaller than the neat pure NR. Nonetheless, the ML value of 80/20 increased in comparison to the other blends, probably due to the formation of agglomerates (clusters) of the recycled NR phase [40] in the raw NR matrix.
NR is easily susceptible to degradation due to its chemical structure, beyond having a strong affinity with carbon black [21,41], which is a good conductor of heat [42]. These factors, allied to the high amount of carbon black present in its formulation, are able to degrade the NR, even during the vulcanization process by compression molding [7]. It seems that the recycled phase presents some level of degradation, and the smaller molecules of the recycled phase probably acted as a lubricant, facilitating the movement of the chains and, consequently, reducing the viscosity of the blends. This fact may also have influenced the ts1 behavior of the samples.
The decrease of the initial viscosity could also be due to the migration of lubricants from the recycled phase to the raw one [43]. According to the authors, who analyzed the processability of the blends containing recycled ethylene propylene diene monomer rubber (EPDM), called w-EPDM, it was observed that a slight decrease of shear viscosity with increasing w-EPDM loading occurred because of wall slip; result of the lubricants migration from the w-EPDM.
Maximum torque values, which are related to the stiffness of the compounds, increased as the amount of the recycled phase on the blends increased, as well as the ∆M values, which are related to the cross-link density. As to be seen ahead, due to the increase of the mechanical properties, it seems that the cross-links probably would link the recycled and the raw phases, increasing the adhesion (since it is common the lack of adhesion in blends containing recycled materials and consequent reduction on the mechanical properties [19]). The links probably “tied” the phases, either by links from one phase to another or by the interlacing of the cross-links, as presented in the Figure 2. These interlacings seem to have reduced the reversion of these samples. In addition, the increase of the recycled phase also increased the stiffness of the blends, due to the increase of the MH values with the increase of the recycled phase amount present in the blends [26].
Figure 2.
Schema showing the probable mechanism of increase of the adhesion in the blends 90/10 and 85/15, in which the gray part is the raw NR phase, the black particles are the recycled NR phase, and the links are the cross-links between the phases; as well as the smaller degraded molecules of recycled phase (~), which probably acted as a lubricant.
In addition, the ground particles in the range of 28 to 35 mesh (0.425–0.600 mm) are the ideal (quality to price) type to be incorporated in the compounds [44]. As well, the process of milling at room temperature, which was used in the NR recycled phase, is a low-cost process that produces rough and irregular particles [29]. The constitution of the recycled rubber powder contains voids in which the elastomeric matrix is trapped [45]. The behavior was observed by Weber et al. [27] for EPDM and styrene-butadiene rubber (SBR), called EPDM-r and SBR-r, respectively. The authors used the same milling method adopted in the present work. According to the SEM images of the SBR-r sample (Figure 3), it presented a high total surface area, being irregular in shape. Besides their irregular shape, the particles have high surface roughness. These rough particles are effective to increase the interaction and adhesion between the phases of the blends, especially when the blends are composed of the same polymeric material. This probably has helped to the increase of the stiffness of the blends with the increase of the recycled phase content. Additionally, according to some authors [46], the increase of the MH values is explained by the production of cross-link networks with a higher density of polisulphidic bonds, which explains the reversion behavior increase as the amount of the recycled phase increased in the blends (to be explained in the sequence).
Figure 3.
SEM image of SBR-r sample (magnification of 800×) [27]. Modified from [27] with permission of Sage.
Additional heating (just after the end of the vulcanization reaction) can result in a very slow increase of the stiffness or a decrease, depending, mainly, on the type of rubber used. The reduction of the torque measured by the equipment just after the end of the vulcanization is known as reversion, being a physical manifestation of the reversion [47]. This behavior was observed in all the analyzed blends in the present work.
In our earlier work [7], the influence of devulcanization by microwaves/degradation, as well as the additional heating during the compression molding were analyzed in the blends composed of raw NR/NR devulcanized by microwaves. It is known that NR has high interaction with carbon black, which is a good microwaves absorber, and consequently increases the devulcanization degree [48]. On the other hand, NR is easily degradable by heat action, due to its chemical structure [7,41]. Therefore, in the case of blends containing different concentrations of NR devulcanized by microwaves, the higher the concentration of the recycled phase and the higher the time of the exposure of this phase to the microwaves, the higher the reversion behavior observed by rheometric analysis. Consequently, the high levels of reversion observed were the result of devulcanization/degradation of the recycled phase and the additional heating (to be seen ahead in the Section 3.4). In the present work, reversion is the result of the additional heating, since recycled NR phase was only ground.
Comparing both results, blends containing only ground NR presented lower reversion values, presenting a discrete increase as the amount of the recycled phase in the blend increased. However, the values are close to the one presented by the neat pure NR, showing that the presence of the only ground recycled NR phase did not strongly influence the reversion behavior of the blends. On the other hand, the devulcanization/degradation of the recycled NR phase had a huge influence on it. Since the blends contain only ground recycled NR phase and the vulcanization reversion is still observed, additional heating during compression molding can influence this behavior as well.
Vulcanization process is able to form different types of sulphidic bonds, such as mono-, di- and polysulphidic bonds. Among the factors that dictate their formation, the ratio accelerators/sulphur in the formulation is a very considerable factor. The higher the ratio sulphur/accelerator (as observed in the present work), the higher the polysulphidic bonds content. Reversion is a kind of anaerobic thermal aging, caused mainly due to the scission of polysulphidic bonds and subsequent loss of the network integrity [47], since polysulphidic bonds are thermally less stable than mono- and disulphidic ones.
3.2. Dynamic-Mechanical Properties
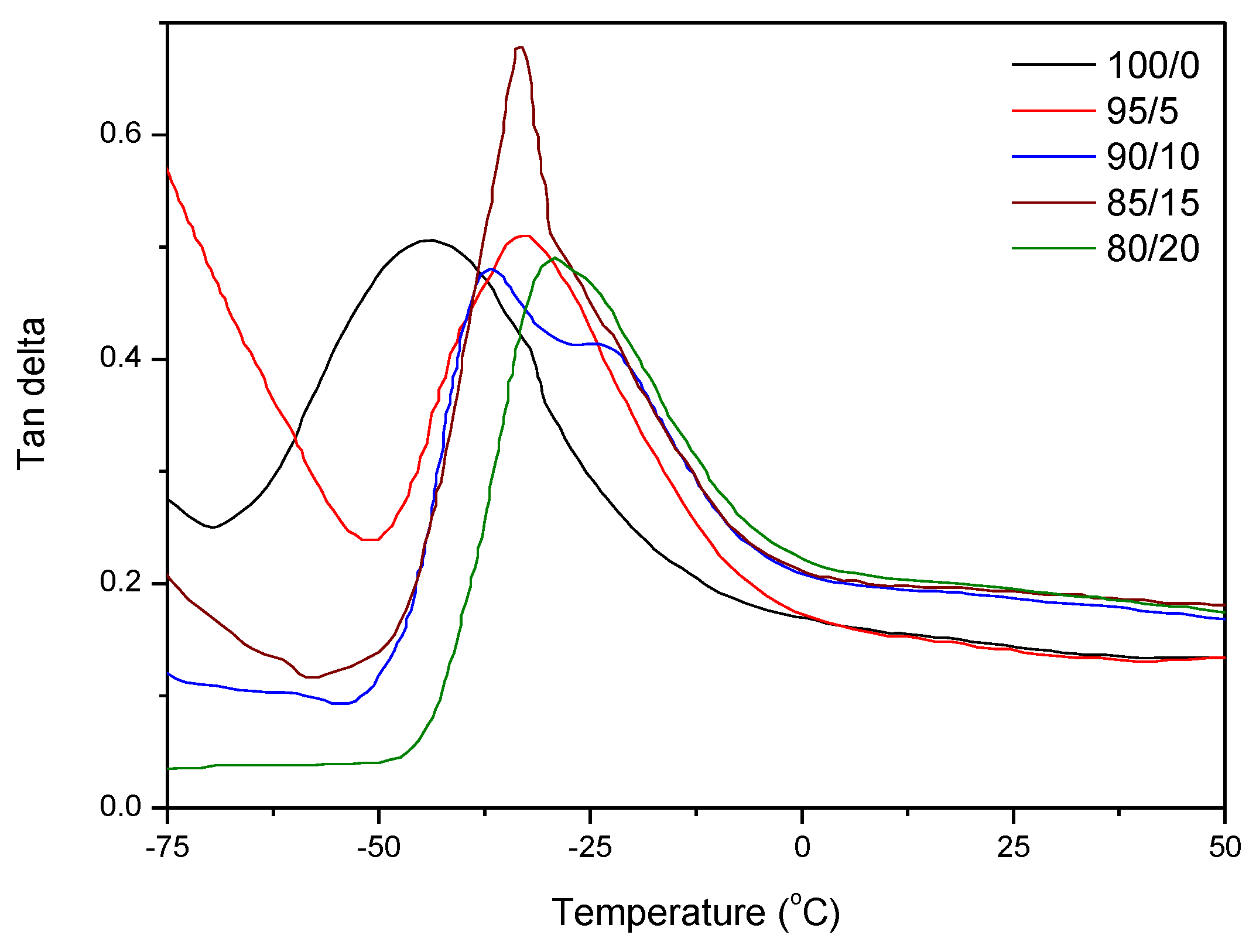
Tan δ curves as function of the temperature of the blends are shown in the Figure 4.
Figure 4.
Tan δ curves as a function of the temperature of the blends raw/residue rubber.
It can be perceived the presence of two peaks in the sample 90/10, and the presence of a discrete “shoulder” in the 85/15 blend. As the peaks can be correlated to the cross-link density of the samples, it seems that the blends that presented two peaks have two different “families” of cross-links. As these blends were the ones which presented the highest mechanical properties (to be seen further on), it is believed that one cross-link “family” is related to the overall cross-link density along all the sample, and the other is related to the cross-links between the phases (probably in the interphase), or even to the migration of additives from recycled phase to the raw one [29,31,39], which increased the adhesion between the phases and, consequently, improved the mechanical properties (Figure 2). The presence of the two peaks can be also due to the microphase separation, and also an indication of the heterogeneity of the network [23].
According to Cao et al. [49], the decrease of the peak widths of tan δ of elastomeric materials is a result of the reduction of the mobility of the polymeric chains. The blends 90/10 and 85/15 presented a higher width compared to the other blends, which means that these samples presented higher mobility.
Concerning the glass transition temperature (Tg), they were obtained from the maximum points of the peak of tan δ curves as function of the temperature. As presented in the Figure 5, in general, the Tg values increased as the amount of recycled phase increased in the blends. Therefore, the increase of the vulcanized content in the blends decreased the chain mobility of the final materials. The results agreed with vulcanization characteristics previously analyzed.
Figure 5.
Tg values of the blends raw/residue rubber.
3.3. Mechanical Properties
Results of tensile tests of the blends raw NR/waste NR are shown in the Figure 6.
Figure 6.
Mechanical properties of the blends raw NR/recycled NR in different concentrations.
According to the results, it was observed that the mechanical properties of all the blends increased with the incorporation of the recycled NR, but they did not present a trend which concerned the amount of the recycled phase.
Based on the literature, poor mechanical properties, especially elongation at break, is a sign of lack of adhesion and compatibility between the phases of the blends [17,18,19,26]. In the case of the analyzed system, both phases are composed of the same polymer (even knowing that the recycled phase probably presents some degradation level). Thus, there is compatibility between the phases. In addition, it is known that the milling process used, i.e., milling at room temperature, produced particles in the ideal range to be incorporated in the compounds [44], due to the increase of the surface contact area [27,28,31], rough and irregular format of the particles [29] (Figure 3). Also, according to Gibala et al. [50], ground rubber at room temperature is convoluted, spongy and porous-like in nature. All the cited points increased the interaction between the phases and, consequently, the adhesion, resulting in the increase of the mechanical properties, compared to the raw pure NR material. Additionally, the milling process is low-cost, with the purpose of reduction of the environmental impact [14].
Concerning stress at break, the blends containing recycled NR presented higher values than the pure raw rubber, which means that the recycled phase increased the stiffness of these samples. Even being stronger, these samples presented elongation at break values higher in comparison to the pure raw rubber. Since recycled NR contains, in general, high amounts of additives present on it, the increase of elongation at break can be related to a possible migration of sulphur to the interphase, which possibly increased the cross-link density between the phases and, consequently, increased the adhesion between the phases of the blends, as previously showed (Figure 2).
As a conclusion, the mechanical properties were probably increased due to the compatibility between the phases. Whereas adhesion was probably increased by the milling method adopted, seeing as a 30-mesh sieve corresponds to around 0.40 mm sized particles, which are ideal to be incorporated in new compounds [44] (Figure 3), and also probably due to the “tied” effect of the phases, formed by the links from one phase to another or by the interlacing of the cross-links (Figure 2).
3.4. Morphology
SEM images of the samples are shown in the Figure 7.
Figure 7.
SEM images of the samples: (a) 100/0, (b) 95/5, (c) 90/10, (d) 85/15, and (e) 80/20.
According to the SEM images, the blends presented a rougher surface than the neat raw NR, which is due to the increase of the resistance to crack propagation [51], agreeing with the mechanical properties results previously analyzed. Additionally, it can be observed that good levels of dispersion and distribution occurred in all the samples. However, it seems that the formation of clusters increased as the amount of recycled phase increased in the blends, being this clearly observed in the image of the 80/20 sample. With the increase of the agglomerates size, it is believed that some amount of neat rubber could be occluded on them, not participating on the vulcanization reaction. As a probable result, the matrix phase containing a higher amount of vulcanization additives presented a higher cross-link density, as previously observed by the increased ∆M and Tg values, and a consequent reversion behavior. Milani and Milani [52] observed that the reversion level was influenced by the accelerator amount present in the elastomer compound, which could also have occurred in the present work due to the agglomeration of the NR residue, and consequent presence of elastomer occluded in the blend 80/20, as previously commented.
The formation of clusters also decreased the interaction between the phases, contributing to the formation of “weak sites”, which upon stress-transmission resulted in lower mechanical properties [53].
A schema will improve the discussion at this point (Figure 8, in which the curves present the trend behavior observed in this work). Generally, when an increase in the cross-link is observed, stress at break of the sample tends to increase due to the stiffness increase. Consequently, a more stiffness sample tends to present a lesser elongation at break, which was not observed in the blends 90/10 and 85/15. Therefore, probably, there was an increase in the cross-link density between the phases, which increased the adhesion and, consequently, the elongation at break of the blends, as showed before. The blend 80/20 presented a decrease in the mechanical properties due to the agglomeration of the recycled phase (Figure 7 and Figure 8).
Figure 8.
Influence of the phase concentration on the reversion and mechanical properties, and consequence in the morphology of the blends. The SEM images A; B, C, D and E are the ones of the samples 100/0, 95/5, 90/10, 85/15 and 80/20.
Reversion occurs due to thermal degradation of unstable cross-links formed during the vulcanization process [7]. This phenomenon leads to a reduction of the cross-link density and the physical properties of the material [34]. It is known that the less thermal stable bonds (polysulphidic) are responsible for the reversion trend in the NR [54], seeing as several factors are able to influence their formation such as the type of the equipment [55], additives [34,52], curing system [56], recycling method [7], among others. In addition, the literature [57,58] has shown that carbon black enhances the formation of polysulphidic bonds and, consequently, these compounds usually present a vulcanization reversion trend. The vulcanization temperature is able to influence the formation of polysulphidic bonds and reversion trend as well [59], where the reversion becomes more severe at higher temperatures [52,60,61,62] due to the increase of the thermal degradation of the polymeric chains, or faster decomposition of the sulphidic cross-links [34].
High mechanical and tear strengths are given by high levels of polysulphidic bonds, particularly in unfilled vulcanizates, which has been attributed to the capacity of these cross-links to be broken under stress. These bonds also present a high resistance to fatigue on repeated stressing and high resilience, the quick recovery from deformation performed at room temperature. Nevertheless, oxidation and resistance to heat are limited [30,63,64], so the vulcanization characteristics must be carefully analyzed and followed during the vulcanization stage, especially when preparing compounds with recycled elastomers, no matter what equipment is used for this.
It a correlation between reversion and mechanical properties can be observed for all the blends, showing that the additional heating and, consequently, the vulcanization reversion influenced on their final properties. Regarding behavior of the mechanical properties, Nasir and Teh [64] compared the mechanical strength to the cross-link density of the NR, obtaining the same behavior. According to the authors, the initial increase of the mechanical strength is due to an increase in the number of chains in the network which, in turn, is able to withstand the subjected stress. However, beyond the maximum level, the chains are shortened as result of the further increase of the cross-link density, and there is, as result, a property drop. Consequently, as observed previously by the vulcanization characteristics and DMA results, it seems that the increase of the recycled phase amount in the blends increased the cross-link density and, probably, increased the formation of polysulphidic bonds as well, due to the mechanical properties trend. As the amount of the recycled phase increased, the break of these bonds was probably favored, increasing the reversion and, consequently reducing the mechanical properties. Since the recycled phase was probably degraded by the action of heat, the relative amount of carbon black was higher, also contributing to the formation of polysulphidic bonds. In addition, the blend 80/20 presented agglomeration of the recycled phase, which favored the increase of the reversion.
The main goal of this work series (the present one is a sequence of the part one [7]) was to propose a reflection about the reversion in the production of blends composed of raw NR/recycled NR. As recycled elastomers usually present some level of degradation, it is important to know their influences on the mechanical properties, so that the final product may present useful properties. Mechanical properties are also very influenced by the production method adopted, as depicted before. So, in order to conclude the discussion, a comparison among the stress at break and the reversion of all the blends, and the exposure time of the NR to the microwaves (from our last work [7]) is proposed (Figure 9).
Figure 9.
Comparison between: (a) stress at break, and (b) reversion, in relation to the exposure time of the NR to the microwaves of all the analyzed samples.
According to the results, it is clear the influence of the devulcanization and the amount of the recycled phase on the reversion behavior of the blends. Since the higher the exposure time of the NR to the microwaves, the higher the degradation level, consequently the higher the reversion of the blends. Accordingly, the higher the amount of the recycled phase (no matter if devulcanized or not), the higher the reversion behavior. However, the devulcanization strongly influenced the reversion behavior of the samples.
Reversion also influenced the mechanical properties as a whole, as depicted at this point by the stress at break results. It is important to mention that all the other mechanical properties followed the same trend.
It is known that when the purpose is to reincorporate the recycled material to the process, the role of the elastomer devulcanization is to enhance the interaction between the recycled and the raw material, consequently reducing the degradation of the properties of the final product, and making it possible to increase the quantity of the recycled elastomer in the compound raw/recycled elastomer [65].
Concerning the devulcanization by microwaves, as mentioned before, due to its chemical structure, NR is susceptible to thermal degradation. Therefore, the increase of the exposure time of the NR to the microwaves increased the relative concentration of carbon black by the higher degradation of the NR main chains, due to the overheating of this phase, as observed in our earlier study [21]. As result, the higher the relative concentration of carbon black, the higher the degradation level of the samples.
Devulcanization provides the opportunity of lowering the compound viscosity, favoring the processing and improving the properties of the final product [30]. Literature presents some works in which the devulcanization of the recycled phase increased the interaction between the phases of the blends by reducing the particle size of the dispersed phase during processing [1,17,19]. However, it is important to know all the processing parameters involved in the production of these compounds, in order to avoid unnecessary waste.
In the case of the blends containing devulcanized NR, both degradation of the recycled phase and additional heating were responsible by the reversion behavior observed, being that the degradation as result of devulcanization by microwaves influenced it in a strong way. On the other hand, in the case of blends containing only ground recycled NR, reversion was the result of the additional heating during compression molding, especially in the samples 100/0, 85/15 and 80/20. Concerning the blend 80/20, the formation of clusters by the recycled phase influenced the reversion behavior as well.
Therefore, as the main conclusion, the production of polymeric blends composed of raw NR/recycled NR is viable, resulting in final materials with useful properties. Nevertheless, it is important to follow the vulcanization characteristics during the vulcanization stage, in order to avoid unnecessary waste and to have a truly sustainable process.
4. Conclusions
In this work, the additional heating during compression molding was proposed, especially to analyze its consequences on the vulcanization and on the mechanical properties of the blends raw NR/recycled NR. It is really important to know the consequences of additional heating in the final compounds, since the physical properties are degraded and energy is wasted, making the production process unsustainable as result. It does not do any good to recycle a material, trying to contribute to the environment, if the process is not environmentally correct (creating unnecessary waste), resulting in a final product with no desirable properties.
The results pointed to the potential application of ground NR to produce polymeric blends in the industry itself, due to the satisfactory obtained results. In general, mechanical properties of the blends were higher than the pure raw rubber, due to the good adhesion between the phases, without modifying strongly the security and optimum cure time, representing an advance. However, the additional heating during compression molding influenced the properties of the blends as a whole. Therefore, it is vital to know the vulcanization characteristics of the blends containing recycled elastomer prior to its vulcanization by compression molding (or by using any other equipment), to consequently avoid unnecessary expenses/waste, in order to obtain final products and do so using sustainable processing. Morphology and dynamic-mechanical properties agreed with the mechanical properties of the blends.
Author Contributions
Conceptualization, F.D.B.d.S. and A.Z.; Methodology, F.D.B.d.S. and A.Z.; Validation, F.D.B.d.S. and A.Z.; Investigation, F.D.B.d.S. and A.Z.; Data Curation, F.D.B.d.S. and A.Z.; Writing-Original Draft Preparation, F.D.B.d.S. and A.Z.; Writing-Review & Editing, F.D.B.d.S. and A.Z.
Funding
This research received no external funding.
Acknowledgments
The authors would like to thank IPAB SA for the material donation, Materials Department of Escola de Engenharia de Lorena - EEL USP Lorena and Dema - UFSCar for the laboratory facilities.
Conflicts of Interest
The authors declare no conflict of interest.
References
- De Sousa, F.D.B. Devulcanization of elastomers and applications. In Elastomers; Çankaya, N., Ed.; Intech: Rijeka, Croatia, 2017; Chapter 10; pp. 209–230. [Google Scholar]
- Mandal, S.K.; Alam, N.; Debnath, S.C. Reclaiming of ground rubber tire by safe multifunctional rubber additives: I. Tetra benzylthiuram disulfide. Rubber Chem. Technol. 2012, 85, 629–644. [Google Scholar] [CrossRef]
- Ramarad, S.; Khalid, M.; Ratnam, C.T.; Luqman Chuah, A.; Rashmi, W. Waste tire rubber in polymer blends: A review on the evolution, properties and future. Prog. Mater. Sci. 2015, 72, 100–140. [Google Scholar] [CrossRef]
- Luna, C.B.B.; Siqueira, D.D.; Araújo, E.M.; Morais, D.D.S.; Bezerra, E.B. Toughening of polystyrene using styrene-butadiene rubber (SBRr) waste from the shoe industry. REM Int. Eng. J. 2018, 71, 253–260. [Google Scholar] [CrossRef]
- Zanchet, A.; De Sousa, F.D.B.; Crespo, J.S.; Scuracchio, C.H. Activator from sugar cane as a green alternative to conventional vulcanization additives. J. Clean. Prod. 2017, 174, 437–446. [Google Scholar] [CrossRef]
- US EPA. Available online: http://www.epa.gov/greenchemistry (accessed on 21 September 2018).
- De Sousa, F.D.B.; Zanchet, A.; Scuracchio, C.H. Influence of reversion in compounds containing recycled natural rubber: In search of sustainable processing. J. Appl. Polym. Sci. 2017, 134, 45325. [Google Scholar] [CrossRef]
- Imbernon, L.; Norvez, S. From landfilling to vitrimer chemistry in rubber life cycle. Eur. Polym. J. 2016, 82, 347–376. [Google Scholar] [CrossRef]
- Myhre, M.; Saiwari, S.; Dierkes, W.; Noordermeer, J. Rubber recycling: Chemistry, processing, and applications. Rubber Chem. Technol. 2012, 85, 408–449. [Google Scholar] [CrossRef]
- Da Costa, H.M.; Ramos, V.D.; Da Silva, W.S.; Sirqueira, A.S. Analysis and optimization of polypropylene (PP)/ethylene-propylene-diene monomer (EPDM)/scrap rubber tire (SRT) mixtures using RSM methodology. Polym. Test. 2010, 29, 572–578. [Google Scholar] [CrossRef]
- Bhadane, P.A.; Cheng, J.; Ellul, M.D.; Favis, B.D. Decoupling of reactions in reactive polymer blending for nanoscale morphology control. J. Polym. Sci. 2012, 50, 1619–1629. [Google Scholar] [CrossRef]
- Zanchet, A.; Carli, L.N.; Giovanela, M.; Crespo, J.S.; Scuracchio, C.H.; Nunes, R.C.R. Characterization of microwave-devulcanized composites of ground SBR scraps. J. Elastom. Plast. 2009, 41, 497–507. [Google Scholar] [CrossRef]
- Gujel, A.A.; Bandeira, M.; Veiga, V.D.; Giovanela, M.; Carli, L.N.; Mauler, R.S.; Brandalise, R.N.; Crespo, J.S. Development of bus body rubber profiles with additives from renewable sources: Part I—Additives characterization and processing and cure properties of elastomeric compositions. Mater. Des. 2014, 53, 1112–1118. [Google Scholar] [CrossRef]
- Fang, Y.; Zhan, M.; Wang, Y. The status of recycling of waste rubber. Mater. Des. 2001, 22, 123–128. [Google Scholar] [CrossRef]
- Nabil, H.; Ismail, H.; Azura, A.R. Comparison of thermo-oxidative ageing and thermal analysis of carbon black-filled NR/Virgin EPDM and NR/Recycled EPDM blends. Polym. Test. 2013, 32, 631–639. [Google Scholar] [CrossRef]
- Nabil, H.; Ismail, H.; Azura, A.R. Optimisation of accelerators and vulcanising systems on thermal stability of natural rubber/recycled ethylene-propylene-diene-monomer blends. Mater. Des. 2014, 53, 651–661. [Google Scholar] [CrossRef]
- De Sousa, F.D.B.; Gouveia, J.R.; De Camargo Filho, P.M.F.; Vidotti, S.E.; Scuracchio, C.H.; Amurin, L.G.; Valera, T.S. Blends of ground tire rubber devulcanized by microwaves/HDPE—Part A: Influence of devulcanization process. Polím. Ciênc. Tecnol. 2015, 25, 256–264. [Google Scholar] [CrossRef]
- De Sousa, F.D.B.; Gouveia, J.R.; De Camargo Filho, P.M.F.; Vidotti, S.E.; Scuracchio, C.H.; Amurin, L.G.; Valera, T.S. Blends ground tire rubber devulcanized by microwaves/HDPE—Part B: Influence of clay addition. Polím. Ciênc. Tecnol. 2015, 25, 382–391. [Google Scholar] [CrossRef]
- De Sousa, F.D.B.; Scuracchio, C.H.; Hu, G.H.; Hoppe, S. Effects of processing parameters on the properties of microwave-devulcanized ground tire rubber/polyethylene dynamically revulcanized blends. J. Appl. Polym. Sci. 2016, 133, 43503. [Google Scholar] [CrossRef]
- Hirayama, D.; Scuracchio, C.H.; Saron, C. Microwave devulcanization of SBR containing carbon black. J. Res. Updat. Polym. Sci. 2016, 5, 52–59. [Google Scholar]
- De Sousa, F.D.B.; Scuracchio, C.H.; Hu, G.H.; Hoppe, S. Devulcanization of waste tire rubber by microwaves. Polym. Degrad. Stab. 2017, 138, 169–181. [Google Scholar] [CrossRef]
- Asaro, L.; Gratton, M.; Seghar, S.; Aït Hocine, N. Recycling of rubber wastes by devulcanization. Resour. Conserv. Recycl. 2018, 133, 250–262. [Google Scholar] [CrossRef]
- Jin, K.; Li, L.; Torkelson, J.M. Recyclable crosslinked polymer networks via one-step controlled radical polymerization. Adv. Mater. 2016, 28, 6746–6750. [Google Scholar] [CrossRef] [PubMed]
- Farina, A.; Zanetti, M.C.; Santagata, E.; Blengini, G.A. Life cycle assessment applied to bituminous mixtures containing recycled materials: Crumb rubber and reclaimed asphalt pavement. Res. Conserv. Recycl. 2017, 117, 204–212. [Google Scholar] [CrossRef]
- Carli, L.N.; Bianchi, O.; Mauler, R.S.; Crespo, J.S. Crosslinking kinetics of SBR composites containing vulcanized ground scraps as filler. Polym. Bull. 2011, 67, 1621–1631. [Google Scholar] [CrossRef]
- Zanchet, A.; Dotta, A.L.B.; De Sousa, F.D.B. Relationship among vulcanization, mechanical properties and morphology of blends containing recycled EPDM. Recycling 2017, 2. [Google Scholar] [CrossRef]
- Weber, T.; Zanchet, A.; Brandalise, R.N.; Crespo, J.S.; Nunes, R.C.R. Grinding and characterization of scrap rubbers powders. J. Elastom. Plast. 2008, 40, 147–159. [Google Scholar] [CrossRef]
- Weber, T.; Zanchet, A.; Crespo, J.S.; Oliveira, M.G.; Suarez, J.C.M.; Nunes, R.C.R. Caracterização de artefatos elastoméricos obtidos por revulcanização de resíduo industrial de SBR (copolímero de butadieno e estireno). Polím. Ciênc. Tecnol. 2011, 21, 429–435. [Google Scholar] [CrossRef]
- Zanchet, A.; Dal’Acqua, N.; Weber, T.; Crespo, J.S.; Brandelise, R.N.; Nunes, R.C.R. Propriedades reométricas e mecânicas e morfologia de compósitos desenvolvidos com resíduos elastoméricos vulcanizados. Polím. Ciênc. Tecnol. 2007, 17, 23–27. [Google Scholar] [CrossRef]
- De Sousa, F.D.B. Vulcanization of natural rubber: Past, present and future perspectives. In Natural Rubber: Properties, Behaior and Applications; Hamilton, J.L., Ed.; Nova Science Publishers: New York, NY, USA, 2016; pp. 47–88. [Google Scholar]
- Zanchet, A.; Carli, L.N.; Giovanela, M.; Brandelise, R.M.; Crespo, J.S. Use of styrene butadiene rubber industrial waste devulcanized by microwave in rubber composites for automotive application. Mater. Des. 2012, 39, 437–443. [Google Scholar] [CrossRef]
- Morrison, N.J.; Porter, M. Temperature effects on the stability of intermediates and crosslinks in sulfur vulcanization. Rubber Chem. Technol. 1984, 57, 63–85. [Google Scholar] [CrossRef]
- Mukhopadhyay, R.; De, S.K.; Chakraborty, S.N. Effect of vulcanization temperature and vulcanization systems on the structure and properties of natural rubber vulcanizates. Polymer 1977, 18, 1243–1249. [Google Scholar] [CrossRef]
- Kok, C.M. The effects of compounding variables on the reversion process in the sulphur vulcanization of natural rubber. Eur. Polym. J. 1987, 23, 611–615. [Google Scholar] [CrossRef]
- Ismail, H.; Anuar, H.; Tsukahara, Y. Effects of palm oil fatty acid on curing characteristics, reversion and fatigue life of various natural rubber compounds. Polym. Int. 1999, 48, 607–613. [Google Scholar] [CrossRef]
- Isayev, A.I.; Yushanov, S.P.; Kim, S.H.; Levin, V.Y. Ultrasonic devulcanization of waste rubbers: Experimentation and modeling. Rheol. Acta 1996, 35, 616–630. [Google Scholar] [CrossRef]
- Isayev, A.I.; Chen, J.; Tukachinsky, A. Novel ultrasonic technology for devulcanizatio of waste rubbers. Rubber Chem. Technol. 1995, 68, 267–280. [Google Scholar] [CrossRef]
- Oh, J.S.; Ghose, S.; Isayev, A.I. Effects of ultrasonic treatment on unfilled butadiene rubber. J. Polym. Sci. 2003, 41, 2959–2968. [Google Scholar] [CrossRef]
- Oh, J.S.; Isayev, A.I. Continuous ultrasonic devulcanization of unfilled butadiene rubber. J. Appl. Polym. Sci. 2004, 93, 1166–1174. [Google Scholar] [CrossRef]
- Li, S.Y.; Lamminmaki, J.; Hanhi, K. Effect of ground rubber powder and devulcanizates on the properties of natural rubber compounds. J. Appl. Polym. Sci. 2005, 97, 208–217. [Google Scholar] [CrossRef]
- Garcia, P.S.; De Sousa, F.D.B.; De Lima, J.A.; Cruz, S.A.; Scuracchio, C.H. Devulcanization of ground tire rubber: Physical and chemical changes after different microwave exposure times. Express Polym. Lett. 2015, 9, 1015–1026. [Google Scholar] [CrossRef]
- Ghosh, P.; Chakrabarti, A. Conducting carbon black filled EDPM vulcanizates: Assessment of dependence of physical and mechanical properties and conducting character on variation of filler loading. Eur. Polym. J. 2000, 36, 1043–1054. [Google Scholar] [CrossRef]
- Jacob, C.; Bhattacharya, A.K.; Bhowmick, A.K.; De, P.P.; De, S.K. Recycling of ethylene propylene diene monomer (EPDM) waste. III. Processability of EPDM rubber compound containing ground EPDM vulcanizates. J. Appl. Polym. Sci. 2003, 87, 2204–2215. [Google Scholar] [CrossRef]
- Gomide, R. Operações Unitárias: Operações com Sistemas Sólidos Granulares; Câmara Brasileira do Livro: São Paulo, Brazil, 1983. [Google Scholar]
- Jacob, C.; De, P.P.; Bhowmick, A.K.; De, S.K. Recycling of EPDM waste. I. Effect of ground EPDM vulcanizate on properties of EPDM rubber. J. Appl. Polym. Sci. 2001, 82, 3293–3303. [Google Scholar] [CrossRef]
- Bezerra, A.; Santos, A.C.; Costa, H.; Ramos, V.D. Efeito do óleo de linhaça e do óleo de amendoim sobre a vulcanização da borracha natural (NR). Parte I: Modelo generalizado. Polím. Ciênc. Tecnol. 2013, 23, 395–401. [Google Scholar] [CrossRef]
- Shibulal, G.S.; Jang, J.; Yu, H.C.; Huh, Y.I.; Nah, C. Cure characteristics and physico-mechanical properties of a conventional sulphur-cured natural rubber with a novel anti-reversion agent. J. Polym. Res. 2016, 23, 237. [Google Scholar] [CrossRef]
- De Sousa, F.D.B.; Scuracchio, C.H. The role of carbon black on devulcanization of natural rubber by microwaves. Mater. Res. 2015, 18, 791–797. [Google Scholar] [CrossRef]
- Cao, L.M.; Cao, X.D.; Jiang, X.J.; Xu, C.H.; Chen, Y.K. In situ reactive compatibilization and reinforcement of peroxide dynamically vulcanized polypropylene/ethylene-propylene-diene monomer tpv by zinc dimethacrylate. Polym. Compos. 2013, 34, 1357–1366. [Google Scholar] [CrossRef]
- Gibala, D.; Laohapisitpanich, K.; Thomas, D.; Hamed, G.R. Cure and mechanical behavior of rubber compounds containing ground vulcanizates. Part II-Mooney viscosity. Rubber Chem. Technol. 1996, 69, 115–119. [Google Scholar] [CrossRef]
- Ghorai, S.; Bhunia, S.; Roy, M.; De, D. Mechanochemical devulcanization of natural rubber vulcanizate by dual function disulfide chemicals. Polym. Degrad. Stab. 2016, 129, 34–46. [Google Scholar] [CrossRef]
- Milani, G.; Milani, F. Curing degree prediction for S-TBBS-DPG natural rubber by means of a simple numerical model accounting for reversion and linear interaction. Polym. Test. 2016, 52, 9–23. [Google Scholar] [CrossRef]
- Zhang, X.X.; Lu, C.H.; Liang, M. Properties of natural rubber vulcanizates containing mechanochemically devulcanized ground tire rubber. J. Polym. Res. 2009, 16, 411–419. [Google Scholar] [CrossRef]
- Boonkerd, K.; Deeprasertkul, C.; Boonsomwong, K. Effect of sulfur to accelerator ratio on crosslink structure, reversion, and strength in natural rubber. Rubber Chem. Technol. 2016, 89, 450–464. [Google Scholar] [CrossRef]
- Oliveira, M.G.; Soares, B.G. Influência do sistema de vulcanização nas propriedades da mistura NBR/EPDM. Polím. Ciênc. Tecnol. 2002, 12, 11–19. [Google Scholar] [CrossRef]
- Rabiei, S.; Shojaei, A. Vulcanization kinetics and reversion behavior of natural rubber/styrene-butadiene rubber blend filled with nanodiamond—The role of sulfur curing system. Eur. Polym. J. 2016, 81, 98–113. [Google Scholar] [CrossRef]
- Sun, X.; Isayev, A.I. Continuous ultrasonic devulcanization: Comparison of carbon black filled synthetic isoprene and natural rubbers. Rubber Chem. Technol. 2008, 81, 19–46. [Google Scholar] [CrossRef]
- Bhowmick, A.K.; De, S.K. Kinetics of crosslinking and network changes in natural rubber vulcanizates with a dithiodimorpholine based accelerator system. Rubber Chem. Technol. 1980, 53, 1015–1022. [Google Scholar] [CrossRef]
- Menon, A.R.R.; Pillai, C.K.S.; Nando, G.B. Vulcanization of natural rubber modified with cashew nut shell liquid and its phosphorylated derivative-a comparative study. Polymer 1998, 39, 4033–4036. [Google Scholar] [CrossRef]
- Isayev, A.I.; Sujan, B. Nonisothermal vulcanization of devulcanized GRT with reversion type behavior. J. Elastom. Plast. 2006, 38, 291–318. [Google Scholar] [CrossRef]
- Sui, G.; Zhong, W.H.; Yang, X.P.; Yu, Y.H. Curing kinetics and mechanical behavior of natural rubber reinforced with pretreated carbon nanotubes. Mater. Sci. Eng. 2008, 485, 524–531. [Google Scholar] [CrossRef]
- Milani, G.; Leroy, E.; Milani, F.; Deterre, R. Mechanistic modeling of reversion phenomenon in sulphur cured natural rubber vulcanization kinetics. Polym. Test. 2013, 32, 1052–1063. [Google Scholar] [CrossRef]
- Sethuraj, M.R.; Mathew, N.M. Natural Rubber: Biology, Cultivation and Technology; Elsevier: Amsterdam, The Netherlands, 1992. [Google Scholar]
- Nasir, M.; Teh, G.K. The effects of various types of crosslinks on the physical properties of natural rubber. Eur. Polym. J. 1988, 24, 733–736. [Google Scholar] [CrossRef]
- Levin, V.Y.; Kim, S.H.; Isayev, A.I.; Massey, J.; VonMeerwall, E. Ultrasound devulcanization of sulfur vulcanized SBR: Crosslink density and molecular mobility. Rubber Chem. Technol. 1996, 69, 104–114. [Google Scholar] [CrossRef]
© 2018 by the authors. Licensee MDPI, Basel, Switzerland. This article is an open access article distributed under the terms and conditions of the Creative Commons Attribution (CC BY) license (http://creativecommons.org/licenses/by/4.0/).








