Next Article in Journal
Recent Advances on Transition Metal Chalcogenide for Sodium-Ion Batteries
Next Article in Special Issue
Molten Salt Electrolyte for Na-ZnCl2 All-Liquid Battery for Grid Storage
Previous Article in Journal
Semi-Spontaneous Post-Crosslinking Triblock Copolymer Electrolyte for Solid-State Lithium Battery
Previous Article in Special Issue
A Hollow-Shaped ZIF-8-N-Doped Porous Carbon Fiber for High-Performance Zn-Ion Hybrid Supercapacitors
 
 
Due to scheduled maintenance work on our servers, there may be short service disruptions on this website between 11:00 and 12:00 CEST on March 28th.
Font Type:
Arial Georgia Verdana
Font Size:
Aa Aa Aa
Line Spacing:
Column Width:
Background:
Article

Adoption of Dimethoxyethane and 1,3-Dioxolane in Electrolyte for Fast Charging of Li-Ion Battery

Battery Science Branch, FCDD-RLA-GD, DEVCOM Army Research Laboratory, Adelphi, MD 20783-1138, USA
Batteries 2023, 9(9), 466; https://doi.org/10.3390/batteries9090466
Submission received: 23 August 2023 / Revised: 11 September 2023 / Accepted: 12 September 2023 / Published: 14 September 2023
(This article belongs to the Special Issue Electrode Materials and Electrolyte for Rechargeable Batteries)

Abstract

:
In this work, dimethoxyethane (DME) and 1,3-dioxolane (DOL) are studied as the co-solvent of an advanced electrolyte for fast charging of Li-ion batteries by using lithium bis(fluorosulfonyl)imide (LiFSI) as a salt and fluorinated ethylene carbonate (FEC) as an additive. It is shown that even when used with LiFSI and FEC, neither DME nor DOL constitute a suitable electrolyte for Li-ion batteries, either because of their inability to form a robust solid-electrolyte interphase (SEI) with graphite (Gr) anodes or because of their oxidative instability against oxygen released from the delithiated LiNi0.80Co0.10Mn0.10O2 (NCM811) and LiNi0.80Co0.15Al0.05O2 (NCA), respectively. However, using 30% FEC as the co-solvent can make 1:1 DME/DOL mixture compatible with high-voltage Li-ion batteries and combining it with conventional ethylene carbonate (EC) and ethyl methyl carbonate (EMC) significantly enhances the fast charging capability of Li-ion batteries. As a result, an advanced electrolyte composed of 1.2 m (molality) LiFSI 1:1:1:2 DME/DOL/EC/EMC + 10% FEC (all by wt.) offers much improved fast-charging performances in terms of capacity and capacity retention for a 200 mAh Gr/NCA pouch cell, compared with a 1.2 m LiFSI 3:7 EC/EMC baseline electrolyte. AC impedance analysis reveals that the significant improvement is attributed to a much reduced charge transfer resistance, while the advanced electrolyte has little effect on the bulk and SEI resistances.

Graphical Abstract

1. Introduction

Fast charging of Li-ion batteries faces two technical challenges: the first is how to charge the battery quickly, and the second is how to avoid accelerated performance decay, both of which are closely associated with electrolytes. The former is a kinetic issue, which is affected by electrolytes in terms of ionic transport in a bulk electrolyte and the solid-electrolyte interphase (SEI) formed with it on the surfaces of two electrodes as well as the solvation and desolvation kinetics of Li+ ions at electrolyte–electrode interfaces where electrode reactions occur. The latter is mainly related to the parasitic reactions occurring between electrolyte solvents and Li metal at Gr anodes as a result of Li plating and between electrolyte solvents and highly delithiated cathode material at the cathode due to localized overcharge. Theoretically, these reactions can occur only because the potentials of the cathode and anode in batteries must meet the equation of “U = Ec − Ea”, where U is the cell’s voltage with the maximum value equaling the charging cutoff voltage and Ec and Ea are the potentials of the cathode and anode, respectively, so that the conditions for low potentials of the Li plating at the anode and high potentials of the localized overcharge at the cathode cannot be met simultaneously. Regarding fast charging, DME has proven to be a good co-solvent of electrolytes because of its higher polarity, better stability with Li metal, and lower melting point compared with the linear carbonates that are used in current Li-ion batteries [1]. However, the use of DME in the electrolyte of Li-ion batteries is restricted by its inferior ability to form a SEI with Gr anodes and relatively poor oxidative stability at high potentials of cathodes. In combination with LiFSI salt, high-concentration electrolytes [2,3] and localized high-concentration electrolytes [4,5] have shown to be effective in enabling the use of DME in high-voltage Li metal and Li-ion batteries. However, the high cost associated with the use of a large amount of LiFSI in the high-concentration electrolytes and highly fluorinated dilute solvents in the localized high-concentration electrolytes restricts these strategies from mass applications in Li-ion batteries. Our previous work [6] showed that using 5 wt% FEC as the additive can enable the use of up to 20 wt% DME in the electrolyte without adverse effects on the cell’s performance while significantly enhancing the fast-charging capability of Li-ion batteries. On the other hand, DOL has recently been reported to form a robust SEI with Gr anodes when it is used together with LiFSI salt [7,8]. This merit is attributed to the weak coordination between DOL and Li+ ions, which facilitates the solvation and desolvation of the Li+ ions at the electrode–electrolyte interface and consequently mitigates the co-intercalation of DOL into the graphite structure. As such, a 1.8 M LiFSI DOL electrolyte has been shown not only to enable the operation of a 4 V Gr/LiFePO4 Li-ion battery but also to offer a Li/Gr cell with a low loading of ~0.3 mAh cm−2 as high as 50 C fast-charging capability [7].
Based on the above background, it is reasonable to consider that an electrolyte containing LiFSI, DME, and DOL offers a great opportunity for fast charging of Li-ion batteries. With this concept in mind, in this work, we aim to develop an advanced electrolyte for the fast charging of Li-ion batteries by maximizing the use of DME and DOL in LiFSI electrolytes and evaluating the electrolytes in Li/Gr and Li/NCM811 coin cells and 200 mAh Gr/NCA pouch cells. It is shown that even when used with LiFSI salt and FEC additive, neither DME nor DOL constitute a suitable electrolyte for high-voltage Li-ion batteries, either because of the inability to form a robust SEI with Gr anodes or because of the poor oxidative stability at cathodes. However, an advanced electrolyte can be formed by using them together with conventional EC and EMC. In this paper, it is demonstrated and discussed that an advanced electrolyte composed of 1.2 m LiFSI 1:1:1:2 DME/DOL/EC/EMC + 10% FEC significantly outperforms a 1.2 m LiFSI 3:7 EC/EMC baseline electrolyte in terms of the capacity and capacity retention in a fast-charging test by charging the cell at 4 C to 4.2 V and holding it at 4.2 V for a total of 12 min and discharging the cell at 1 C.

2. Materials and Methods

The battery grades DME, DOL, EC, FEC, and EMC were purchased from Gotion Inc. (Fremont, CA, USA), and LiFSI was acquired from Nippon Shokubai (Tokyo, Japan). All the above materials were used as received. Using the above materials, a total of 12 electrolytes (compositions indicated in Table 1) were prepared in an Ar-filled glove box.
A single-side-coated Gr anode with a loading of 2.6 mAh cm−2 and a NCM811 cathode with a loading of 2.0 mAh cm−2, provided by Argonne National Laboratory, were punched into small disks with a diameter of ½ inch (equaling 1.27 cm2 in area) and dried at 110 °C under vacuum overnight before transferring them into the glove box. Using the electrodes and electrolytes described above, Li coin cells were assembled and filled with a constant 40 μL electrolyte. Machine-made 200 mA Gr/NCA pouch cells were supplied by Li-Fun Technology (Zhuzhou City, China) and filled with 0.90 mL electrolyte. Before testing, the cell was wetted by charging at 0.1 C to 1.5 V and holding at 1.5 V for 24 h, followed by charging and discharging at 0.1 C for 2 cycles to complete the formation of a SEI. The fast-charging test was performed by a modified charging protocol, called 4C12, consisting of charging the cell at 4 C to 4.2 V and holding it at 4.2 V for a total of 12 min. The AC impedance of the Gr/NCA pouch cells at selected SOCs was measured at 20 °C, and the acquired impedance spectra were fit using ZView software (AMETEK, Inc., Berwyn, PA, USA, https://www.ameteksi.com/products/software/zview-software-en, accessed on 22 August 2023). More details about the materials and methods are referred to in Ref. [6].

3. Results and Discussion

3.1. DME, DOL, and Their Mixture as a Solvent

The suitability of DME, DOL, and their mixtures for Li-ion battery electrolytes was first examined using Li/Gr and Li/NCM811 coin cells. Figure 1 shows the voltage profile of the first cycle of Li/Gr cells at 0.1 C. As predicted, the Li/Gr cell with DME (EL02) produces a large amount of irreversible capacity, especially in the voltage regions above 0.5 V due to the co-intercalation of DME with the Li+ ions and the resultant reduction, which, meanwhile, exfoliates the structure of graphite. As such, in the following charge, no reversible capacity can be observed except for some capacitance behaviors. However, the Li/Gr cell with DOL (EL04) presents a typical characteristic of Li+ ion intercalation in graphite, as indicated by three long voltage plateaus below 0.3 V, which generates 2.67 mAh cm−2 of reversible capacity and 85.3% of Coulombic efficiency (CE), confirming previous reports [7,8]. The outperformance of the LiFSI DOL electrolyte can be attributed to the weak coordination between DOL and Li+ ions, which facilitates the solvation and desolvation of the Li+ ions at the electrolyte–electrode interface and consequently mitigates co-intercalation of DOL in the Gr electrode. Additionally, it is found that the 1:1 DME/DOL mixture does not lead to a complementary effect in the electrochemical performances of the Li/Gr cell, as indicated by the cell with EL06.
The effect of LiFSI concentration on the performance of LiFSI DOL electrolytes in Li/Gr cells is further evaluated by comparing the voltage profile of the first discharge, as indicated in Figure 2. It is observed that there is an optimum concentration at 1.2 m (EL04) for CE. Regardless of the LiFSI concentration, however, the voltage of all Li/Gr cells shows a sharp drop at the very beginning of the first discharge and quickly recovers (see the inset of Figure 2). Such a phenomenon was also observed in previous publications [7,8]; therefore, it can be considered a typical characteristic of the LiFSI DOL electrolytes in the Li/Gr cells. This voltage drop reveals that the initial formation of a SEI experiences a high polarization, suggesting that the initial SEI formed with the LiFSI DOL electrolyte is rather resistive.
In addition, it is noticed that as of the time of writing this paper (after ca. three months), EL03, EL04, and EL05 have become a gel-like solution as a result of the acid-initialized ring-opening polymerization of DOL. This can be attributed to the structural rearrangement of FSI anions, as suggested by Equation (1), where Compound I is an SO3-like strong Lewis acid.
Batteries 09 00466 i001
The suitability of the DME, DOL, and 1:1 DME/DOL electrolytes for Li-ion batteries was further evaluated using high-voltage Li/NCM811 cells. Figure 3a,b indicates the voltage profile of the first cycle and cycling performance of the cells. As observed in Figure 3a, all three cells can be successfully charged to 4.3 V, generating a CE higher than 80%. However, the capacity of two cells with DME (EL02) and DOL (EL04) fades quickly, not lasting for up to 10 cycles, as indicated in Figure 3b. Interestingly, the 1:1 DME/DOL electrolyte (EL06) shows a synergistic effect. In the first cycle (Figure 3a), it obtains the highest CE (86.1% vs. 84.8% and 82.8% of the DME and DOL electrolytes), and in the following cycles (Figure 3b), it retains the most stable values of capacity retention and CE.
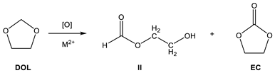
Among the three electrolytes, the DOL electrolyte (EL04) shows the worst performance, although similar electrolytes have been reported to work well in 4.0 V Li/LiFePO4 cells [3,7,8]. Besides the high charging cutoff voltage (4.3 V) of Li/NCM811 cells, oxygen release and the resultant transitional metal ion (M2+) dissolution of the delithiated layer-structured cathode materials must play an essential role in affecting the performance of DOL electrolytes. For example, under the catalysis of a trace number of Co2+ ions, the oxidation of DOL by oxygen at 60 °C for 24 h can reach over 70% of yield according to the route of Equation (2) [9], and ethylene glycol monoformate (namely Compound II) can be further oxidized to produce detrimental organic acids, H2O, and CO2.
Batteries 09 00466 i002
The LiFSI–DOL electrolytes are also evaluated in a 200 mAh Gr/NCA pouch cell by using 1.0 m LiFSI (EL03) and 1.5 m LiFSI (EL05) electrolytes and comparing them with the 1.2 m LiFSI 3:7 EC/EMC baseline electrolyte (EL01). The voltage profiles and cycling performances of these three pouch cells are compared in Figure 4. In the first charge, the EL03 and EL05 cells show a small voltage peak in the beginning, as marked by an arrow in the inset of Figure 4a, which corresponds to the initial voltage drop in the Li/Gr cell of Figure 2. It can be observed from Figure 4a that although high concentration (EL05) is beneficial to CE (75.3% of EL05 vs. 70.0% of EL03), the CEs of the EL03 and EL05 cells are much lower than that of the EL01 cell. Furthermore, in the continuous cycling test (Figure 4b), the capacity of the EL03 and EL05 cells fades rapidly, accompanied by low CEs and gas generation, whereas that of the EL01 cell remains very stable. After the cycling test, the EL03 and EL05 cells were found to be severely swollen, and the post-mortem analysis found that the electrolyte in the EL03 and EL05 cells was completely depleted and that the electrodes and separator were tightly stuck together by a dried polymer. The above results reveal that the poor performances of the EL03 and EL05 cells are attributed to not only the M2+-catalyzed oxidation of DOL by oxygen but also the electrochemical polymerization of DOL at high potentials, as suggested by La Monaca et al. [10].

3.2. Effect of FEC on DME Electrolyte

FEC has been established as a multi-functional additive that enables ethers, such as tetramethylene glycol dimethyl ether [11], to form a robust SEI with Gr and Si anodes. Our previous work [6] demonstrated that using 5 wt% FEC as the additive can enable the use of up to 20 wt% DME in the electrolyte without adverse effects on the cell’s performances while significantly enhancing the fast-charging capability of Li-ion batteries. Therefore, in the present work, FEC is used to attempt to facilitate the formation of a SEI in DME electrolytes. Figure 5 displays the voltage profile of the first cycle and the performance of the following cycles for three Li/Gr cells using EL07, EL08, and EL09. It can be observed from Figure 5a that when 20% FEC is used as the co-solvent (EL07), a decent SEI can be formed, which leads to a reversible capacity of 2.43 mAh cm−2 and a CE of 81.4%. Surprisingly, further increasing the content of FEC does not improve the cells’ performances; instead, it results in a decrease in the reversible capacity and CE, as indicated by EL08 and EL09. This is probably due to the chemical equilibrium of FEC, as described by Equation (3).
Batteries 09 00466 i003
When the amounts of unsaturated vinylene carbonate (VC) and acidic HF, formed by Equation (2), become excessive, the excess VC and HF hurt the performances of Li/Gr cells. After the formation of the SEI, all three cells remain very stable in capacity retention (Figure 5b). However, their capacities are largely different and far lower than the designed capacity (2.6 mAh cm−2). In other words, the capacity loss resulting from the formation of the SEI is permanent, which suggests that some graphite structure must have been exfoliated even if the DME electrolytes contain as much as 20–60% FEC as the co-solvent.
Up to this point, it may be concluded that even when used with LiFSI salt and FEC as the co-solvent, neither DME, DOL, nor their mixtures constitute a suitable electrolyte for high-voltage Li-ion batteries, either due to the inability of DME to form a robust SEI with graphite anodes or due to the oxidative instability of DOL against the oxygen released from delithiated layer-structured cathode materials. It should be mentioned that the electrochemical polymerization of DOL at high potentials, as proposed by La Monaca et al. [10], would not be a problem for the Li-ion batteries because the resultant polymer can serve as a polymer matrix to form a gel polymer electrolyte, as long as DOL is used together with the other co-solvents.

3.3. Effect of FEC on DME/DOL Electrolyte

Thanks to the synergistic effect of DME and DOL, which stabilizes DME at high potentials, using 30% FEC as the co-solvent can make a 1:1 DME/DOL mixture compatible with high-voltage Gr/NCA Li-ion chemistry. Figure 6 compares the voltage profile of the first cycle and the cycling performance of the subsequent fast-charging cycles for two Gr/NCA pouch cells using EL01 and EL10, in which EL01 serves as the baseline and EL10 contains a total of 70% 1:1 DME/DOL mixture. In the first cycle (Figure 6a), the EL10 cell shows 187 mAh of reversible capacity and a CE of 78.4%, both of which are lower than those of the EL01 cell. However, these two cells exhibit similar capacity retention in a 4C12 fast-charging test (Figure 6b). It is observed that in the several initial cycles of fast charging (as marked by the shaded region in Figure 6b), the EL01 cell suffers a much greater capacity loss, compared with the EL10 cell. This is because the 1:1 DME/DOL electrolyte is more stable against Li metal that is often plated at the Gr anode in fast charging, as compared with the 3:7 EC/EMC electrolyte (EL01). In the subsequent fast-charging cycles, the capacities of these two cells decayed at a similar rate despite the low capacities of the EL10 cell. The low capacities of the EL10 cell are due to its low CE in the first cycle, which irreversibly consumes some of the cyclable Li+ ions from the limited amount of the cathode material.

3.4. Effect of FEC on DME/DOL/EC/EMC Electrolyte

As discussed in Section 3.3, the EL10 cell still cannot meet the requirements for fast charging because of its low CE in the first cycle and the low resultant capacity. Therefore, further efforts are made to improve the formation of the SEI by combining the 1:1 DME/DOL mixture with conventional EC and EMC solvents. For this purpose, an electrolyte composed of 1.2 m LiFSI 1:1:1:2 DME/DOL/EC/EMC is selected as the base electrolyte, and the effect of FEC on the formation of the SEI is studied. Figure 7a presents the effect of FEC content on the voltage profile of the first cycle and compares it with that of the EL01 cell. It is found that compared with the EL01 cell, the EL11 cell containing 5% FEC has a 1.3% lower CE (i.e., 84.2% vs. 85.5% of the EL01 cell), while the EL12 containing 10% FEC reaches almost the same CE (85.4%) as the EL01 does. The above observation suggests that 10% FEC would be sufficient to enable the full compatibility of the base electrolyte with high-voltage Gr/NCA batteries. The fast-charging performances of the EL01 cell and EL12 cell are compared in Figure 7b by charging the cell with a 4C12 protocol and discharging the cell at 1 C [6]. It is obvious that the capacity loss in the several initial cycles (as indicated by the shaded region of Figure 7b) of fast charging is greatly narrowed in the EL12 cell, and the EL12 cell retains a higher capacity and more stable capacity retention in the rest of the fast-charging cycles.

3.5. Role of DME and DOL Solvents in Fast Charging

AC impedance was studied to unveil the role of ether solvents in enhancing the fast-charging capability of Li-ion batteries. Figure 8a displays overviews of the impedance spectroscopies at selected SOCs for two Gr/NCA pouch cells using EL01 and EL12. Ascribing to their specific geometry, the pouch cells’ impedance spectroscopies consistently show a long inductance loop at high frequencies, followed by two overlapped semi-circuits, and a sloped straight line. The main body of such impedance spectroscopies can be fitted by an equivalent circuit, as shown in the inset of Figure 8a, where Rb, Rsl, and Rct are the bulk resistance, surface layer (or SEI) resistance, and charge transfer resistance, respectively. Ascribed to the offset of Rsl in cycling between the cathode and the anode, Rb and Rsl are shown to be independent of the SOC; however, Rct varies vastly with the SOC. In particular, the impedance spectroscopies at 100% SOC of these two cells are plotted together in Figure 8b, and the resistances fit by the equivalent circuit are compared in the inset of Figure 8b. It is observed that these two cells have very similar Rb and Rsl; however, the Rct associated with EL12 is much smaller than that associated with EL01 (i.e., 0.260 Ω vs. 0.422 Ω). These results reveal that the DOL and DME solvents do not alter the ionic conductivity of the electrolyte and the SEI; instead, their presence greatly reduces the charge transfer resistance. This suggests that by altering the solvation shell structure of Li+ ions, the presence of ether solvents lowers the solvation and desolvation activation energies of the Li+ ions, which consequently enhances the electrode reaction kinetics at the Gr–electrolyte and NCA–electrolyte interfaces, respectively.

4. Conclusions

In summary, we studied DME and DOL as the co-solvent of electrolytes for the fast charging of Li-ion batteries by using LiFSI as a solute and FEC as an additive. It is found that neither their individual application nor their mixtures are compatible with high-voltage Li-ion batteries, mainly due to the inability of DME to form a robust SEI with Gr anodes and the poor oxidation stability of DOL against oxygen released from delithiated layer-structured cathode materials. The DME/DOL mixture shows a synergistic effect through enhancing the oxidation stability of DOL, and FEC as the co-solvent improves the chemical compatibility of the 1:1 DME/DOL mixture with high-voltage Gr/NCA Li-ion batteries. However, the improvement is still not sufficient to meet the requirements for the fast charging of Li-ion batteries because of the low CE in the initial SEI formation, even when the content of FEC reaches a value as high as 30%. With the promotion of FEC, the combination of the 1:1 DME/DOL mixture with conventional EC and EMC is shown to be fully compatible with a Gr/NCA battery. In a 4C12 fast-charging test, a 200 mAh Gr/NCA pouch cell shows much-improved capacity and capacity retention when used as an advanced electrolyte composed of (1.2 m LiFSI 1:1:1:2 DME/DOL/EC/EMC) + 10% FEC, compared with a 1.2 m LiFSI 3:7 EC/EMC baseline electrolyte. The observed improvements are attributed to two aspects of advantages of the advanced electrolyte: the first is that the ether solvents increase the chemical stability of the electrolytes against metal Li, which is often plated at the Gr anode in fast charging, and the other is that the advanced electrolyte greatly reduces the charge transfer resistance of Li-ion batteries, due to the weak coordination between the DOL solvent and Li+ ions, which leads to low solvation and desolvation activation energies of the Li+ ions at the electrolyte–electrode interfaces as part of fast electrode reaction kinetics.

Funding

This research received no external funding.

Acknowledgments

The author acknowledges the support of DEVCOM Army Research Laboratory and thanks Arthur von Cresce, Marshall Schroeder, and Kang Xu for providing electrolyte materials and Gr/NCA pouch cells.

Conflicts of Interest

The author declares no conflict of interest.

References

  1. Zhang, S.S. Reformulation of electrolyte for enhanced fast-charge capability of Li-ion battery. J. Electrochem. Soc. 2020, 167, 060527. [Google Scholar] [CrossRef]
  2. Qian, J.; Henderson, W.A.; Xu, W.; Bhattacharya, P.; Engelhard, M.; Borodin, O.; Zhang, J.G. High rate and stable cycling of lithium metal anode. Nat. Commun. 2015, 6, 6362. [Google Scholar] [PubMed]
  3. Cheng, P.; Zhang, H.; Ma, Q.; Feng, W.; Yu, H.; Huang, X.; Armand, M.; Zhou, Z. Highly salt-concentrated electrolyte comprising lithium bis(fluorosulfonyl)imide and 1,3-dioxolane-based ether solvents for 4-V-class rechargeable lithium metal cell. Electrochim. Acta 2020, 363, 137198. [Google Scholar]
  4. Ren, X.; Zou, L.; Cao, X.; Engelhard, M.H.; Liu, W.; Burton, S.D.; Lee, H.; Niu, C.; Matthews, B.E.; Zhu, Z.; et al. Enabling high-voltage lithium-metal batteries under practical conditions. Joule 2019, 3, 1662–1676. [Google Scholar]
  5. Cao, X.; Zou, L.; Matthews, B.E.; Zhang, L.; He, X.; Ren, X.; Engelhard, M.H.; Burton, S.D.; El-Khoury, P.Z.; Lim, H.S.; et al. Optimization of fluorinated orthoformate based electrolytes for practical high-voltage lithium metal batteries. Energy Storage Mater. 2021, 34, 76–84. [Google Scholar]
  6. Zhang, S.S. Decent fast-charging performance of Li-ion battery achieved by modifying electrolyte formulation and charging protocol. J. Electrochem. Soc. 2023, 170, 060503. [Google Scholar] [CrossRef]
  7. Sun, C.; Ji, X.; Weng, S.; Li, R.; Huang, X.; Zhu, C.; Xiao, X.; Deng, T.; Fan, L.; Chen, L.; et al. 50C fast-charge Li-ion batteries using a graphite anode. Adv. Mater. 2022, 34, 2206020. [Google Scholar] [CrossRef] [PubMed]
  8. Xia, D.; Kamphaus, E.P.; Hu, A.; Hwang, S.; Tao, L.; Sainio, S.; Nordlund, D.; Fu, Y.; Huang, H.; Cheng, L.; et al. Design criteria of dilute ether electrolytes toward reversible and fast intercalation chemistry of graphite anode in Li-ion batteries. ACS Energy Lett. 2023, 8, 1379–1389. [Google Scholar]
  9. Li, P.; Alper, H. Cobalt(II) catalyzed oxidation of 2-substituted 1,3-dioxolanes with molecular oxygen. Canad. J. Chem. 1993, 71, 84–89. [Google Scholar] [CrossRef]
  10. La Monaca, A.; De Giorgio, F.; Soavi, F.; Tarquini, G.; Di Carli, M.; Paolo Prosini, P.; Arbizzani, C. 1,3-Dioxolane: A strategy to improve electrode interfaces in lithium ion and lithium-sulfur batteries. ChemElectroChem 2018, 5, 1272–1278. [Google Scholar] [CrossRef]
  11. Heine, J.; Hilbig, P.; Qi, X.; Niehoff, P.; Winter, M.; Bieker, P. Fluoroethylene carbonate as electrolyte additive in tetraethylene glycol dimethyl ether based electrolytes for application in lithium ion and lithium metal batteries. J. Electrochem. Soc. 2015, 162, A1094. [Google Scholar] [CrossRef]
Figure 1. Voltage profile of the first cycle at 0.1 C of Li/Gr coin cells. (1) EL02, (2) EL04, and (3) EL06.
Figure 1. Voltage profile of the first cycle at 0.1 C of Li/Gr coin cells. (1) EL02, (2) EL04, and (3) EL06.
Batteries 09 00466 g001
Figure 2. Voltage profile of the first cycle at 0.1 C of Li/Gr coin cells with different LiFSI concentrations in DOL. (1) EL03, (2) EL04, and (3) EL05.
Figure 2. Voltage profile of the first cycle at 0.1 C of Li/Gr coin cells with different LiFSI concentrations in DOL. (1) EL03, (2) EL04, and (3) EL05.
Batteries 09 00466 g002
Figure 3. (a) Voltage profile of the first cycle and (b) capacity and Coulombic efficiency of Li/NCM811 coin cells. (1) EL02, (2) EL04, and (3) EL06, in which the cell was cycled at 0.1 C between 2.8 V and 4.3 V.
Figure 3. (a) Voltage profile of the first cycle and (b) capacity and Coulombic efficiency of Li/NCM811 coin cells. (1) EL02, (2) EL04, and (3) EL06, in which the cell was cycled at 0.1 C between 2.8 V and 4.3 V.
Batteries 09 00466 g003
Figure 4. (a) Voltage profile of the first cycle at 0.1 C of Gr/NCA pouch cells and (b) capacity and Coulombic efficiency of the pouch cells at 0.1 C for the initial two cycles and at 1 C for the rest cycles. (1) EL01, (2) EL03, and (3) EL05.
Figure 4. (a) Voltage profile of the first cycle at 0.1 C of Gr/NCA pouch cells and (b) capacity and Coulombic efficiency of the pouch cells at 0.1 C for the initial two cycles and at 1 C for the rest cycles. (1) EL01, (2) EL03, and (3) EL05.
Batteries 09 00466 g004
Figure 5. Effect of FEC ratio on the performance of Li/Gr coin cells in 1.2 m LiFSI FEC-DME electrolytes. (a) Voltage profile of the first cycle and (b) capacity and Coulombic efficiency. (1) EL07, (2) EL08, and (3) EL09, where the cell was cycled at 0.1 C between 0.005 V and 1.0 V.
Figure 5. Effect of FEC ratio on the performance of Li/Gr coin cells in 1.2 m LiFSI FEC-DME electrolytes. (a) Voltage profile of the first cycle and (b) capacity and Coulombic efficiency. (1) EL07, (2) EL08, and (3) EL09, where the cell was cycled at 0.1 C between 0.005 V and 1.0 V.
Batteries 09 00466 g005
Figure 6. Comparison of two Gr/NCA pouch cells using EL01 and EL10. (a) Voltage profile of the first cycle at 0.1 C and (b) cycling performance by 4C12 fast charge and 1 C discharge.
Figure 6. Comparison of two Gr/NCA pouch cells using EL01 and EL10. (a) Voltage profile of the first cycle at 0.1 C and (b) cycling performance by 4C12 fast charge and 1 C discharge.
Batteries 09 00466 g006
Figure 7. (a) Effect of FEC content on the first cycle of Gr/NCA pouch cells in 1.2 m LiFSI 1:1:1:2 DME/DOL/EC/EMC electrolytes and (b) comparison of the cycling performance by 4C12 fast charge and 1 C discharge.
Figure 7. (a) Effect of FEC content on the first cycle of Gr/NCA pouch cells in 1.2 m LiFSI 1:1:1:2 DME/DOL/EC/EMC electrolytes and (b) comparison of the cycling performance by 4C12 fast charge and 1 C discharge.
Batteries 09 00466 g007
Figure 8. AC impedance spectroscopy of two Gr/NCA pouch cells with EL01 and EL12. (a) Overview at selected SOCs and (b) comparison at 100% SOC.
Figure 8. AC impedance spectroscopy of two Gr/NCA pouch cells with EL01 and EL12. (a) Overview at selected SOCs and (b) comparison at 100% SOC.
Batteries 09 00466 g008
Table 1. Electrolyte code and composition.
Table 1. Electrolyte code and composition.
CodeComposition (m = Molality and by Weight for All Ratios)
EL011.2 m LiFSI 3:7 EC/EMC
EL021.2 m LiFSI DME
EL031.0 m LiFSI DOL
EL041.2 m LiFSI DOL
EL051.5 m LiFSI DOL
EL061.2 m LiFSI 1:1 DME/DOL
EL071.2 m LiFSI 2:8 FEC/DME
EL081.2 m LiFSI 3:7 FEC/DME
EL091.2 m LiFSI 4:6 FEC/DME
EL101.2 m LiFSI 3:3.5:3.5 FEC/DME/DOL
EL11(1.2 m LiFSI 1:1:1:2 DME/DOL/EC/EMC) + 5% FEC
EL12(1.2 m LiFSI 1:1:1:2 DME/DOL/EC/EMC) + 10% FEC
Disclaimer/Publisher’s Note: The statements, opinions and data contained in all publications are solely those of the individual author(s) and contributor(s) and not of MDPI and/or the editor(s). MDPI and/or the editor(s) disclaim responsibility for any injury to people or property resulting from any ideas, methods, instructions or products referred to in the content.

Share and Cite

MDPI and ACS Style

Zhang, S.S. Adoption of Dimethoxyethane and 1,3-Dioxolane in Electrolyte for Fast Charging of Li-Ion Battery. Batteries 2023, 9, 466. https://doi.org/10.3390/batteries9090466

AMA Style

Zhang SS. Adoption of Dimethoxyethane and 1,3-Dioxolane in Electrolyte for Fast Charging of Li-Ion Battery. Batteries. 2023; 9(9):466. https://doi.org/10.3390/batteries9090466

Chicago/Turabian Style

Zhang, Sheng S. 2023. "Adoption of Dimethoxyethane and 1,3-Dioxolane in Electrolyte for Fast Charging of Li-Ion Battery" Batteries 9, no. 9: 466. https://doi.org/10.3390/batteries9090466

APA Style

Zhang, S. S. (2023). Adoption of Dimethoxyethane and 1,3-Dioxolane in Electrolyte for Fast Charging of Li-Ion Battery. Batteries, 9(9), 466. https://doi.org/10.3390/batteries9090466

Note that from the first issue of 2016, this journal uses article numbers instead of page numbers. See further details here.

Article Metrics

Back to TopTop