Next Article in Journal
A Superior Lithium-Ion Capacitor Based on Ultrafine MnO/Dual N-Doped Carbon Anode and Porous Carbon Cathode
Previous Article in Journal
Online High-Resolution EIS of Lithium-Ion Batteries by Means of Compact and Low Power ASIC
 
 
Font Type:
Arial Georgia Verdana
Font Size:
Aa Aa Aa
Line Spacing:
Column Width:
Background:
Article

Removal of Fe Impurity Ions from a Spent Vanadium Electrolyte Using Capacitive Deionization Based on Resin/Activated Carbon Composite Electrodes

1
School of Resource and Environmental Engineering, Wuhan University of Science and Technology, Wuhan 430081, China
2
State Environmental Protection Key Laboratory of Mineral Metallurgical Resources Utilization and Pollution Control, Wuhan University of Science and Technology, Wuhan 430081, China
3
Collaborative Innovation Center of Strategic Vanadium Resources Utilization, Wuhan University of Science and Technology, Wuhan 430081, China
4
Hubei Provincial Engineering Technology Research Center of High Efficient Cleaning Utilization for Shale Vanadium Resource, Wuhan University of Science and Technology, Wuhan 430081, China
*
Author to whom correspondence should be addressed.
Batteries 2023, 9(5), 240; https://doi.org/10.3390/batteries9050240
Submission received: 4 March 2023 / Revised: 19 April 2023 / Accepted: 21 April 2023 / Published: 24 April 2023

Abstract

Capacitive deionization (CDI) based on LSC-957 resin/carbon composite electrodes was used to remove Fe impurity ions from a spent vanadium electrolyte, which enabled simple and efficient regeneration of the electrolyte. The experiments conducted in this study demonstrated that 3:1 was the optimal mass ratio of LSC-957 resin to activated carbon for the preparation of the composite electrodes, and the optimal operating voltage and operating time were 0.9 V and 6 h, respectively. After five stages of CDI tandem treatment, the adsorption rate of Fe impurity ions was 86.84% and the loss rate of V was only 3.8%. The energy efficiency of the regenerated electrolyte was 84.49%, and its performance was significantly improved compared to the spent vanadium electrolyte. The adsorption process of composite electrodes was analyzed by kinetic and isothermal models’ fit, SEM-EDS, and FTIR. This work has provided an effective and novel method for removing impurity ions from a spent electrolyte.

1. Introduction

Due to their large capacity, long lifespan, and high security, vanadium redox flow batteries (VRFBs) are in widespread use for energy storage [1,2,3,4,5,6]. As the energetic material for energy storage and the heart of energy conversion, the vanadium electrolyte has a crucial impact on the characteristics and efficiency of VRFBs [7,8]. Generally, the action of impurity ions is one of the major causes of electrolyte performance degradation [9,10]. The presence of impurity ions has been reported to not only influence the run temperature and sustainability of the electrolyte but also impair the energy efficiency of VRFBs [11].
Fe ions are common and abundant impurity ions in V2O5, which is the raw material of vanadium electrolytes. In the vanadium shale wet extraction process, it is extremely easy for Fe ions to enter the acid leach solution from the raw vanadium shale ore and it is difficult to remove them completely, with them ultimately remaining in the vanadium products [12,13]. In addition, Fe ions enter the electrolyte from the tubes and frame material during the charge/discharge cycles of VRFBs [14]. Related studies have shown that not only was the stability of the electrolyte substantially reduced but side reactions and capacity decay occurred as well if the vanadium electrolyte contained more than 1.095 g·L−1 of Fe ions [15]. Therefore, to maintain the operating performance of VRFBs, periodic treatment of the electrolyte to remove Fe is required.
The most commonly used methods for removing Fe impurity ions are chemical precipitation, solvent extraction, and ion exchange [16,17,18]. Lzadi [19] et al. added hydroxide and jarosite to an electrolyte solution for the electrowinning of copper to reduce the concentration of Fe ions. Wang [20] et al. reported that P507 was used to remove Fe impurity ions from a H2SO4 leaching solution of coal fly ash with a removal rate of more than 97.6%. Lv [21] et al. used S957 resin to remove Fe impurity ions from a mixed solution containing nitric acid and phosphoric acid, and they achieved a significant removal rate under optimum conditions. However, vanadium electrolytes are characterized by high vanadium content, high acid concentration, and low levels of impurity ions [22,23]. Chemical precipitation and solvent extraction processes to remove Fe impurity ions require chemical addition, which contaminates the electrolyte, and ion exchange processes can also cause substantial vanadium loss. Hence, there is a necessity to find a process for eliminating Fe ions that is better suited to the characteristics of the vanadium electrolyte.
With the benefits of minimal energy consumption and environmental friendliness, CDI is a water treatment technology of the future [24,25,26,27]. The basic principle of CDI is that the charge-carrying ions in the solution migrate toward the electrode and accumulate on its surface due to the effect of the electrofield, thereby achieving ion removal [28,29]. For the improvement of the adsorption efficiency and separability of CDI electrodes, other scholars added resin to CDI electrodes and prepared resin/carbon composite electrodes. Duan [30] et al. investigated the properties and adsorption behavior of composite electrodes made of resin and carbon, carbon electrodes, and resin and found that the resin/carbon composite electrodes had lower specific capacitance, higher adsorption capacity, and better selectivity. Zhou [31,32] et al. used ZG-A-PX resin/carbon composite electrodes to remove Al and P from a H2SO4 leach solution of stone coal with removal rates of 31.8% and 63.3%, respectively. It is evident that CDI allows for the selective adsorption of the target element in a complicated solution.
This study is aimed at developing a new process to remove Fe impurities from spent vanadium electrolytes. LSC-957 resin/carbon composite electrodes were prepared for CDI, and the optimum process parameters for CDI adsorption were established. Through viscosity and conductivity measurements, electrochemical performance characterization, and charge/discharge tests, the Fe ions were successfully separated from the spent electrolyte, and the properties of the regenerated electrolyte were substantially enhanced. This research has provided a number of practical guidelines for the regeneration and recycling of vanadium electrolytes.

2. Materials and Methods

2.1. Chemicals

LSC-957 chelating resin (Table 1) with high affinity for Fe from China Xi’an Lanxiao Technology Co., Ltd. and activated carbon (average diameter 0.038 mm) from China Hunan Durban Activated Carbon Co., Ltd. were used for the preparation of the composite electrodes. The graphite collector electrodes were used to charge the electrode materials, whose length was 100 mm, whose width was 50 mm, and whose thickness was 2 mm. Analytical pure DMAC as the solvent was supplied by China Shanghai Sinopharm Chemical Reagent Co., Ltd. Analytical pure PVDF as the binder was acquired from China Shanghai Sigma Aldrich Co., Ltd. All the vanadium electrolyte in this study was prepared by dissolving vanadium oxychloride sulfate in a sulfuric acid solution, with vanadium ions as the active substance and sulfuric acid as the supporting electrolyte. The spent vanadium electrolyte used in this study suffered severe performance degradation due to the enrichment of Fe impurity ions, which required the removal of Fe and regeneration to meet the criteria for continued use, and its composition is shown in Table 2.

2.2. Preparation of the Composite Electrodes

The resin needs to be pretreated with acid and alkali solutions before use to remove soluble impurities to ensure the purity of the resin. Firstly, the LSC-957 resin was immersed in 5% NaOH solution and rinsed with deionized water to a neutral pH after 12 h and then filtered. Subsequently, the resin was immersed in 5% H2SO4 solution and rinsed with deionized water to a neutral pH after 12 h and then filtered and dried at 60 °C to a constant weight. The resin was treated with a vibrating mill for 1 s, sieved, and retained the products of ≤74 μm particle size. Finally, the resin powder, activated carbon, and PVDF were dissolved in DMAC in a certain mass ratio and mixed thoroughly for 4 h. The resulting suspension was applied evenly to the graphite collector electrodes and then dried at a temperature of 60 °C in a drying oven. The composite electrodes were then produced. The manufacturing process of LSC-957 resin/carbon composite electrodes is shown in Figure 1.

2.3. CDI Treatment

The CDI unit mainly includes an adsorption tank, a peristaltic pump, a parallel splitter, and a DC power supply (IT6861A, ITECH Co., Ltd., Nanjing, China) (Figure 2). In the CDI adsorption treatment, in the adsorption tank, the graphite collector electrodes connected to the cathode and the composite electrodes connected to the anode were placed in parallel, and the circulation of the spent electrolyte in the adsorption tank was realized by the action of the peristaltic pump. The same constant voltage was applied to each pair of parallel electrodes during the CDI treatment. After a certain period of time of adsorption, the adsorbed electrolyte was discharged.
The following Equations (1) and (2) were used to calculate the ion adsorption rate and separation factor of the composite electrodes [33]:
D   = C 0 V 0 C 1 V 1 C 0 V 0   ×   100 %
S ( a , b ) = C a , 0 · ( C b , 0 V 0 C b , 1 V 1 ) C b , 0 · ( C a , 0 V 0 C a , 1 V 1 )
where D is the ion adsorption rate (%); S(a,b) is the separation factor of a and b ions; C0 is the initial concentration of ions in the electrolyte (mg·L−1); C1 is the concentration of ions in the electrolyte after CDI adsorption treatment (mg·L−1); V0 is the initial volume of the electrolyte (L); V1 is the volume of the electrolyte after CDI adsorption treatment (L); Ca,0 and Cb,0 are the initial concentrations of a and b ions in the electrolyte (mg·L−1), respectively; and Ca,1 and Cb,1 are the concentrations of a and b ions in the electrolyte after CDI adsorption treatment (mg·L−1), respectively.

2.4. Analytical Test Methods

Using N-phenyl-o-aminobenzoic acid as an indicator, the V concentration was measured by means of titration with (NH4)2Fe(SO4)2·6H2O solution. ICP-OES (model 730, Agilent Co., Ltd., Shanghai, China) was used to determine the concentrations of the other ions in the electrolyte. The surface morphology of the electrode materials was analyzed by SEM-EDS (JSM-IT300, JEOL Co., Ltd., Tokyo, Japan). The changes before and after the adsorption of the composite electrodes were analyzed by FTIR (VERTEX70, Bruker, Germany).
The conductivity and viscosity of the electrolyte were measured using a conductivity meter and an Ubbelohde viscometer, respectively, and both were tested three times and averaged.
For electrochemical testing, a three-electrode system was used. A graphite electrode (1 cm × 1 cm) was selected as the working electrode, a platinum electrode (1 cm × 1 cm) was selected as the counter electrode, and a saturated calomel electrode filled with potassium chloride solution was selected as the reference electrode. CV and EIS tests of electrolytes were run on a CHI 660E electrochemical workstation using a 3-electrode system. The CV test set the voltage range to 0.4–1.4 V and the scan rate to 10 mV·S−1, and the EIS spectra were collected from 1 Hz to 105 Hz over a frequency range of 5 mV using an equivalent circuit to fit the test results.
The vanadium battery system used for battery charge/discharge tests consists of a single stack, positive and negative electrode reservoirs, two peristaltic pumps, and a battery test system. The electrolyte was stored in a reservoir and transported to the single stack by a peristaltic pump through a hose, while a graphite felt electrode (8 cm × 8 cm) was placed on the positive and negative side of the stack, and a Nafion 117 membrane was sandwiched between the two electrodes to provide separation. A Land CT2001A (5 V/10 A) battery system was used to test the charge/discharge performance of the electrolytes, the current density was set to 40 mA·cm−2, the voltage range was 0.65–1.65 V, and the flow rate was set to 60 mL·min−1.

3. Results and Discussion

3.1. CDI Treatment

3.1.1. Effect of the Mass Ratio of LSC-957 Resin to Activated Carbon

Activated carbon allows for physical adsorption, but the adsorption capacity and adsorption selectivity are far inferior to resin. If the mass ratio of the LSC-957 resin is too low, the adsorption effect of the composite electrodes will be seriously degraded. However, the amount of activated carbon added determines the conductive properties of electrodes, because the matrix material of LSC-957 resin is a non-conductive organic compound material. If the mass ratio of the LSC-957 resin is too high, the conductivity of the composite electrodes decreases, causing the adsorption effect to decrease. Thus, the correct mass ratio of LSC-957 resin to activated carbon is particularly important. The electrolyte to be treated contained 1.6 mol·L−1 V, 3 mol·L−1 sulfuric acid, and 1.095 g·L−1 Fe. With the voltage of 0.9 V and treatment for 3 h, the adsorption characteristics of the composite electrodes prepared with different mass ratios of LSC-957 resin to activated carbon were investigated, and the results are shown in Figure 3.
As seen from Figure 3, when the mass ratio of resin to activated carbon was reduced from 3:1 to 1:9, there was a significant decrease in the adsorption rate of Fe impurity ions, and the adsorption rate of V ions also decreased slightly. However, when the mass ratio of resin to activated carbon was reduced from 9:1 to 3:1, the adsorption rate of Fe impurity ions increased instead. Therefore, when the mass ratio of resin to activated carbon was 3:1, the composite electrodes were prepared with the best adsorption performance for Fe impurity ions and the maximum separation factor of V and Fe.

3.1.2. Effect of Operating Voltage

The essence of CDI is an electrostatic adsorption process, and the operating voltage affects the strength of the electric field applied to the electrode during capacitive adsorption. Thus, the migration rate of ions in the electrolyte and the forming of the electrical double layer on the surface of the electrodes are affected. [34]. In this section, the composite electrodes were prepared with the mass ratio of LSC-957 resin to activated carbon of 3:1 and treated at different operating voltages for 3 h. The effect of operating voltage on the adsorption characteristics of the composite electrodes was explored, and the results are displayed in Figure 4.
As seen from Figure 4, the adsorption rate of Fe impurity ions increased with the operating voltage, and after 0.9 V, the increasing trend tended to level off. The reason was that as the operating voltage increased, the surface of the electrodes adsorbed more Fe impurity ions and reacted with them. Nevertheless, there was a limit to the adsorption capacity of the resin, and the adsorption rate became slower and slower after approaching the saturation adsorption capacity. In addition, when the supply voltage exceeded 1.2 V, not only did the loss of V ions increase but also the electrolytic water side reaction could be triggered, which would accelerate energy consumption and damage the lifetime of the electrodes [35]. Therefore, 0.9 V was chosen as the best operating voltage for the following experiments.

3.1.3. Effect of Operating Time

Another important factor in the treatment of CDI is the operating time. If the operating time is too short, the adsorption of the electrodes will not reach saturation and the adsorption rate of impurities will not be satisfactory; if the operating time is too long, there will be an increase in the consumption of energy and a reduction in the electrodes’ life. In this section, the composite electrodes with the mass ratio of resin to activated carbon of 3:1 were prepared and treated at a constant voltage of 0.9 V for different hours, and the results are shown in Figure 5.
As seen from Figure 5, at the early stage of CDI treatment (0–3 h), the composite electrodes were found to adsorb strongly, and the adsorption speed of Fe impurity ions was fast. With the extension of the operating time (3–6 h), the composite electrodes approached adsorption saturation, and the adsorption speed of Fe impurity ions gradually slowed down. After 6 h of adsorption, the composite electrodes were saturated with Fe impurity ions, and further extension of the operating time would increase the loss of V-ions and accelerate the energy consumption. Therefore, the optimum operating time was determined to be 6 h.

3.1.4. Multi-Stage Tandem CDI Treatment

The influence of operating conditions on Fe impurity adsorption in the vanadium electrolyte during CDI treatment is presented above, and the optimum operating conditions were determined. In this section, a multi-stage tandem CDI treatment of the vanadium electrolyte was used to further improve the removal rate of Fe impurity ions. The composite electrodes were prepared with a mass ratio of resin to activated carbon of 3:1, and the operating voltage was controlled at 0.9 V with a treatment time of 6 h per stage, and the results are shown in Figure 6.
As seen from Figure 6, after the 5 stages of CDI treatment, the concentration of Fe impurity ions in the electrolyte decreased significantly from 1095.0 mg·L−1 to 144.1 mg·L−1, which met the composition requirements and usage standards of the standard electrolyte, and the adsorption rate was 86.84% [36]. The concentration of V in the electrolyte had no noticeable change, and the loss rate was only 3.8%. It can be seen that CDI treatment can be very efficient in removing Fe impurity ions from a spent electrolyte.

3.2. Adsorption Mechanism of the Composite Electrodes

3.2.1. Adsorption Kinetic

The pseudo-first-order kinetic model and the pseudo-second-order kinetic model are the most commonly used kinetic models for liquid phase adsorption. Among them, the pseudo-first-order kinetic model is based on the assumption that physical adsorption dominates the adsorption process, and the pseudo-second-order kinetic model assumes that chemical adsorption controls the adsorption process [37]. Equations (3) and (4) describe two kinetic models, respectively
q t   =   q e 1   -   e x p k 1 t
q t   =   q e 2 k 2 t / 1 + q e k 2 t
where qt denotes the adsorption capacity of Fe ions at time t (mg·g−1), qe is the equilibrium adsorption capacity of Fe ions (mg·g−1), k1 is the constant of the first-order adsorption rate (h−1), and k2 is the constant of the second-order adsorption rate (g·mg−1·h−1).
Figure 7 and Table 3 show the results of the kinetic fit, where R2 represents the goodness of fit. It can be observed from Table 3 that both of the kinetic models can adequately fit the adsorption process of the LSC-957 resin/carbon composite electrodes, and the goodness of fit (R2) reached 0.9977 and 0.9973, respectively, which were both higher than 0.99. This indicates that the adsorption process of the composite electrodes involved not only physical adsorption but also a chemical reaction.

3.2.2. Isothermal Adsorption Model

The isothermal adsorption models provide the relationship between the adsorption equilibrium concentration and the adsorption capacity for different initial concentration conditions at a certain temperature [38]. The Langmuir isothermal adsorption model assumes that the ionic adsorption on the surface of the adsorbent is unimolecular layer adsorption [39]. In contrast, the Freundlich isothermal adsorption model describes the reversible multilayer adsorption of ions on non-homogeneous surfaces [38]. Equations (5) and (6) represent the linear expressions of the two models, respectively:
C e q e =   1 Q m × C e + 1 K L × Q m
l n q e   =   1 n   ×   l n C e   +   l n K F
where qe is the adsorption capacity at the equilibrium (mg·g−1), Qm is the maximum adsorption capacity (mg·g−1), Ce is the concentration of Fe ions at the equilibrium (mg·L−1), KL is the constant of the Langmuir adsorption (L·mg−1), KF is the constant of the Freundlich adsorption (mg·g−1), n is a factor characterizing the favorable degree of the adsorption process, and n > 1 indicates good adsorption conditions.
By controlling the operating voltage at 0.9 V, the CDI experiments were performed at 25 °C with a spent electrolyte of different initial concentrations of Fe impurity ions ranging from 230 mg·L−1 to 1095 mg·L−1, and Figure 8a displays the results.
As seen in Table 4 and Figure 8, the R2 of the Freundlich model is 0.9911, which is greater than that of the Langmuir model (0.8603). This is an indication that the adsorption process is more in line with the Freundlich model. Moreover, the value of the Freundlich constant (n) is 1.1990, which proves that the Fe ions are well adsorbed by the composite electrodes. The above results demonstrate that the Fe ions are physically adsorbed on the electrodes’ surface and bound in the electric double layer, and subsequently the Fe impurity ions react chemically with the LSC-957 resin loaded on the composite electrodes and bind to the electrodes by chemical adsorption, and the results of the kinetic fit also confirm this inference.

3.2.3. Analysis of the Adsorption Process

Figure 9 shows the SEM-EDS images of the composite electrodes after CDI treatment; the larger particles are resin particles and the smaller particles are activated carbon powder, both of which are bonded to each other. P and S are the characteristic elements of the LSC-957 resin, and the EDS elemental distribution images showed that the distribution of Fe showed a good correlation with the location of the resin, indicating that Fe was successfully adsorbed in the resin. The EDS elemental distribution images also showed the presence of a small number of V ions, which was due to the extremely high concentration of V ions in the electrolyte, and it was difficult to avoid a small amount of adsorption by the composite electrodes during the treatment process.
The changes in the infrared spectrograms before and after adsorption of the LSC-957 resin/carbon composite electrodes are shown in Figure 10. As seen in the spectrum before adsorption, the out-of-plane bending vibration peak of the hydroxyl group and the antisymmetric stretching vibration peak of the carbonyl group appeared in 941 cm−1 and 1639 cm−1, respectively [40]. The figures of 1020 cm−1 and 1157 cm−1 were the absorption peaks of the stretching vibrations of the sulfur-oxygen double bonds and phosphorus-oxygen double bonds, respectively [41]. After adsorption, a new absorption peak appeared at 541 cm−1, which was the characteristic peak of the iron–oxygen bond. In addition, the absorption peaks at 1020 cm−1 and 1157 cm−1 were shifted to 1028 cm−1 and 1155 cm−1, respectively, and the intensity of the peaks decreased, indicating that the Fe ions in the electrolyte reacted with the phosphonic and sulfonic acid groups on the LSC-957 resin. The disappearance of the out-of-plane bending vibration peak at 941 cm−1 indicated that the resin could interact electrostatically with Fe ions. From the above phenomenon, it can be speculated that the CDI adsorption process includes two steps. The first step is the electrostatic interaction between Fe and the composite electrodes, and the second step is the chelating coordination reactions between Fe ions and phosphonic acid and sulfonic acid groups.

3.3. Characterization of the Electrolytes

3.3.1. Physical Properties Characterization

Viscosity and conductivity are the main physical properties of an electrolyte. Viscosity affects the migration and distribution of ions in the electrolyte, and conductivity affects the resistance and electrochemical properties of the electrolyte.
Table 5 shows the conductivity and viscosity of the pure electrolyte (PE), the spent electrolyte (SE), and the regenerated electrolyte (RE), respectively. PE represents the high-purity and high-performance electrolyte, SE was the electrolyte with high Fe ion content that caused the performance to be degraded and could not meet the requirements of use, and RE was the electrolyte after SE had been treated with five stages of CDI. It can be seen that SE has a higher viscosity compared to PE and RE, but the conductivity is slightly higher than both. The reason is that SE contains more Fe impurity ions, which makes the viscosity higher. However, the presence of Fe ions also indirectly improves the electrical conductivity of SE. The viscosity and conductivity of RE were comparable to those of PE, indicating that the physical properties of RE had recovered to a higher level.

3.3.2. Electrochemical Performance Characterization

The CV test is the measurement of the current of a system at a given potential in order to obtain a voltammetric characteristic curve. Based on the voltammetric curve, qualitative and quantitative analysis is performed. The EIS test is performed by perturbing the electrolytic cell with a small amplitude AC signal and observing how the system follows the perturbation at a steady state. The CV curves and parameters of the electrolytes are shown in Figure 11a and Table 6, respectively, and the Nyquist plots and kinetic parameters of the electrode response are shown in Figure 11b and Table 7, respectively.
As seen from Table 6, the peak current density and peak potential difference of SE (97.62 mA·cm−2, 67.61 mA·cm−2, 460 mV) were much worse than those of PE (110.4 mA·cm−2, 79.00 mA·cm−2, 360 mV). This is an indication that the electrochemical behavior and the reversal capability of the electrolyte are significantly affected by the presence of Fe impurity ions. In addition, the peak current density and peak potential difference of RE (104.00 mA·cm−2, 73.35 mA·cm−2, 364 mV) were slightly worse than those of PE, indicating that the electrochemical activity and reversibility of RE had recovered to a higher level. Similarly, as seen from Table 7, the solution resistance (Rs) and charge transfer resistance (Rct) of SE (1.3 Ω·cm−2, 6.4 Ω·cm−2) were much higher than those of PE (1.05 Ω·cm−2, 5.77 Ω·cm−2). This indicates that Fe impurities raise the electrolyte impedance and significantly decrease the rate of ion transfer and electrode reactions. In addition, the solution resistance (Rs) and charge transfer resistance (Rct) of RE (0.95 Ω·cm−2, 6.22 Ω·cm−2) were close to those of PE, indicating the resistance of the electrolyte had returned to a low level.

3.3.3. Charge/Discharge Tests

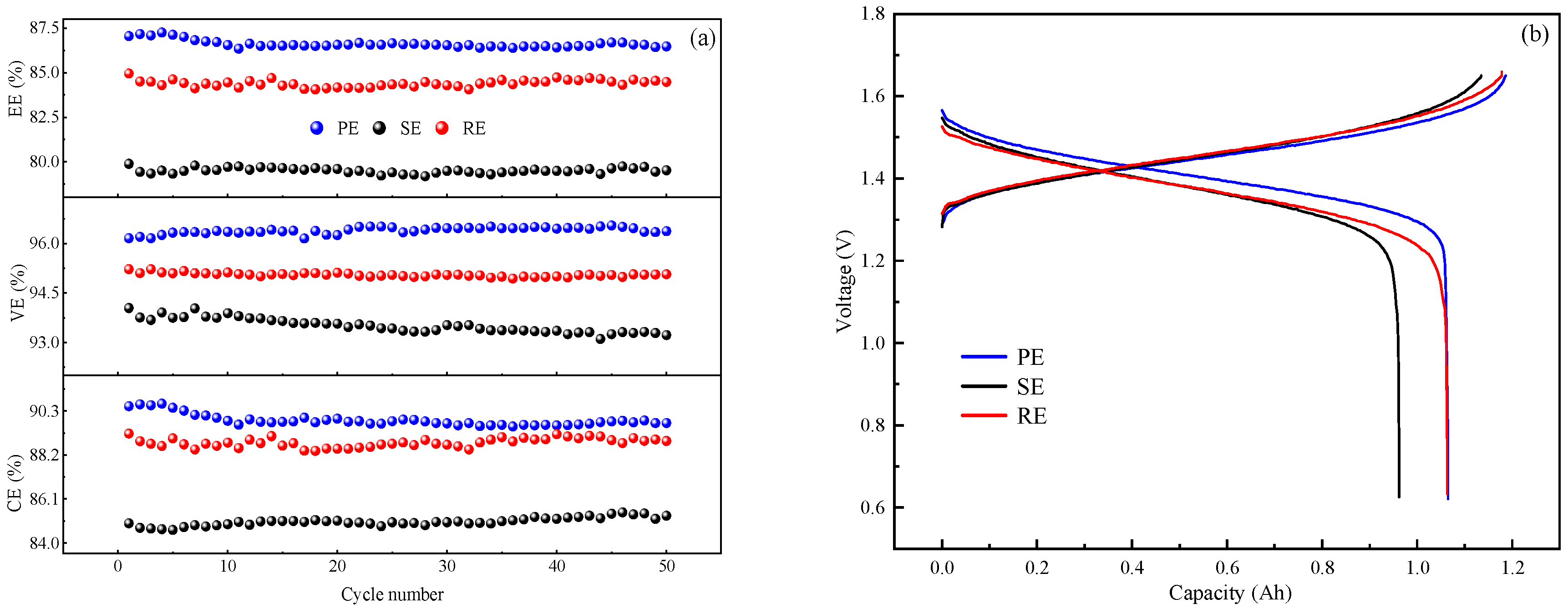
Battery performance is directly affected by the electrochemical behavior of the electrolyte during operation; hence, the single-cell charge/discharge tests of the electrolyte are required. Figure 12a shows the coulombic efficiency (CE), voltage efficiency (VE), and energy efficiency (EE) of the cell for charge/discharge tests with PE, SE, and RE, respectively. Figure 12b shows the variation curves of voltage–capacity during the charge/discharge tests, it can be seen that the CE, VE, and EE of SE showed a significant decrease compared to PE, especially as the EE was 7.13% lower than PE. In addition, the charge capacity and discharge capacity of SE decreased by 51 mAh and 103 mAh, respectively, compared to PE. The reason is that the presence of Fe impurity ions interferes with the electrode reaction and produces side reactions that degrade the electrochemical performance of the electrolyte and ultimately degrade cell performance. The CE, VE, and EE of RE were slightly lower than those of PE, and the charging and discharging capacities were comparable to those of PE, which showed that the charging and discharging performance of RE had recovered to a higher level.

4. Conclusions

In summary, the removal of Fe impurity ions from spent vanadium electrolytes is well achieved by CDI based on LSC-957 resin/carbon composite electrodes. The composite electrodes were prepared with the mass ratio of LSC-957 resin to activated carbon of 3:1, and the spent electrolyte was treated at a constant voltage of 0.9 V for 6 h. After the five stages of CDI treatment, the adsorption rate of Fe impurity ions was 86.84%, the concentration of Fe impurity ions in the electrolyte was in accordance with the requirements of the national standard, and the loss rate of V was only 3.8%.
The results of the kinetic fit and isothermal adsorption models’ fit showed that the CDI treatment involved both physical adsorption and chemical reactions. The SEM-EDS images and FTIR analysis showed that the CDI adsorption process includes not only the electrostatic interaction between Fe impurity ions and composite electrodes, but also the chelating coordination reaction between Fe ions and phosphonic acid and sulfonic acid groups on the LSC-957 resin.
Through the characterization process, the performance of the regenerated electrolyte was significantly restored and reached the standard level for further use. This study demonstrates the feasibility of using CDI for the removal of impurity ions from spent vanadium electrolytes and provides an example in the recycling of vanadium electrolytes.

Author Contributions

T.Z.: Conceptualization, investigation, methodology, writing—original draft, and writing—review and editing. T.L.: Resources, writing—review and editing, and supervision. Y.Z.: Funding acquisition, writing—review and editing, and supervision. H.L.: Validation, writing—review and editing, and supervision. All authors have read and agreed to the published version of the manuscript.

Funding

This research was financially supported by the National Key R&D Program of China (2020YFC1909700), the Science and technology innovation Talent program of Hubei Province (2022EJD002), and the Key projects of scientific research plan of Hubei Provincial Department of Education (D20221104).

Data Availability Statement

The data that support the findings of this study are available from the corresponding author (Tao Liu) upon reasonable request.

Conflicts of Interest

The authors report being unaware of any competing financial interests or personal relationships which might influence the work reported herein.

References

  1. Jiang, Q.; Ren, Y.; Yang, Y.; Wang, L.; Dai, L.; He, Z. Recent advances in carbon-based electrocatalysts for vanadium redox flow battery: Mechanisms, properties, and perspectives. Compos. Part B Eng. 2022, 242, 110094. [Google Scholar] [CrossRef]
  2. Sharma, J.; Kulshrestha, V. Advancements in polyelectrolyte membrane designs for vanadium redox flow battery (VRFB). Results Chem. 2023, 5, 100892. [Google Scholar] [CrossRef]
  3. Lv, Y.; Han, C.; Zhu, Y.; Zhang, T.; Yao, S.; He, Z.; Dai, L.; Wang, L. Recent advances in metals and metal oxides as catalysts for vanadium redox flow battery: Properties, structures, and perspectives. J. Mater. Sci. Technol. 2021, 75, 96–109. [Google Scholar] [CrossRef]
  4. Zhou, J.; Liu, Y.; Zuo, P.; Li, Y.; Dong, Y.; Wu, L.; Yang, Z.; Xu, T. Highly conductive and vanadium sieving Microporous Tröger’s Base Membranes for vanadium redox flow battery. J. Membr. Sci. 2021, 620, 118832. [Google Scholar] [CrossRef]
  5. Jung, H.; Lee, S. A Study on Capacity and State of Charge Estimation of VRFB Systems Using Cumulated Charge and Electrolyte Volume under Rebalancing Conditions. Energies 2023, 16, 2478. [Google Scholar] [CrossRef]
  6. Huang, Z.; Mu, A.; Wu, L.; Wang, H.; Zhang, Y. Electrolyte flow optimization and performance metrics analysis of vanadium redox flow battery for large-scale stationary energy storage. Int. J. Hydrogen Energy 2021, 46, 31952–31962. [Google Scholar] [CrossRef]
  7. Choi, H.; Mandal, D.; Kim, H. Synthesis of a Low-Cost V3.5+ Electrolyte for Vanadium Redox Flow Batteries through the Catalytic Reduction of V2O5. ACS Sustain. Chem. Eng. 2022, 10, 17143–17150. [Google Scholar] [CrossRef]
  8. Guo, Y.; Huang, J.; Feng, J.-K. Research progress in preparation of electrolyte for all-vanadium redox flow battery. J. Ind. Eng. Chem. 2023, 118, 33–43. [Google Scholar] [CrossRef]
  9. Pahlevaninezhad, M.; Pahlevani, M.; Roberts, E.P.L. The Effect of Metal Impurities on the All-Vanadium Redox Flow Battery Performance. Meet. Abstr. 2020, 237, 484. [Google Scholar] [CrossRef]
  10. Park, J.H.; Park, J.J.; Lee, H.J.; Min, B.S.; Yang, J.H. Influence of Metal Impurities or Additives in the Electrolyte of a Vanadium Redox Flow Battery. J. Electrochem. Soc. 2018, 165, A1263. [Google Scholar] [CrossRef]
  11. Cao, L.; Skyllas-Kazacos, M.; Menictas, C.; Noack, J. A review of electrolyte additives and impurities in vanadium redox flow batteries. J. Energy Chem. 2018, 27, 1269–1291. [Google Scholar] [CrossRef]
  12. Zhou, Z.; Jin, J.; Zhu, Y.; Han, Y.; Li, Y.; Li, H. Process mineralogical characterization and vanadium extraction from vanadium-bearing shale by oxidation roasting-acid leaching. Adv. Powder Technol. 2022, 33, 103834. [Google Scholar] [CrossRef]
  13. Zhou, Z.; Zhu, Y.; Jin, J.; Han, Y.; Bai, Z.; Tang, Z. Enhanced vanadium extraction from Muscovite-type Vanadium-bearing shale by suspension oxidation roasting pretreatment-acid leaching. Sep. Purif. Technol. 2023, 309, 123066. [Google Scholar] [CrossRef]
  14. Wen, Y.; Xu, Y.; Cheng, J.; Liu, H.M.; Cao, G.P. Investigation on the stability of electrolyte in vanadium flow batteries. Electrochim. Acta 2013, 96, 268–273. [Google Scholar] [CrossRef]
  15. Ding, M.; Liu, T.; Zhang, Y.; Cai, Z.; Yang, Y.; Yuan, Y. Effect of Fe(III) on the positive electrolyte for vanadium redox flow battery. R. Soc. Open Sci. 2019, 6, 181309. [Google Scholar] [CrossRef]
  16. Kim, J.; Yoon, S.; Choi, M.; Min, K.J.; Park, K.Y.; Chon, K.; Bae, S. Metal ion recovery from electrodialysis-concentrated plating wastewater via pilot-scale sequential electrowinning/chemical precipitation. J. Clean. Prod. 2022, 330, 129879. [Google Scholar] [CrossRef]
  17. Wang, G.; Zhao, Y.; Yang, B.; Song, Y. Removal of trace iron from cobalt electro-refining electrolytes using Monophos resin. Hydrometallurgy 2018, 176, 69–72. [Google Scholar] [CrossRef]
  18. Judge, W.D.; Azimi, G. Recent progress in impurity removal during rare earth element processing: A review. Hydrometallurgy 2020, 196, 105435. [Google Scholar] [CrossRef]
  19. Izadi, A.; Mohebbi, A.; Amiri, M.; Izadi, N. Removal of iron ions from industrial copper raffinate and electrowinning electrolyte solutions by chemical precipitation and ion exchange. Miner. Eng. 2017, 113, 23–35. [Google Scholar] [CrossRef]
  20. Wang, L.; Wang, Y.; Cui, L.; Gao, J.; Guo, Y.; Cheng, F. A sustainable approach for advanced removal of iron from CFA sulfuric acid leach liquor by solvent extraction with P507. Sep. Purif. Technol. 2020, 251, 117371. [Google Scholar] [CrossRef]
  21. Lv, R.; Hu, Y.; Jia, Z.; Li, R.; Zhang, X.; Liu, J.; Fan, C.; Feng, J.; Zhang, L.; Wang, Z. Removal of Iron(III) and Aluminum Ions from Phosphoric Acid–Nitric Acid Solutions by S957 Chelation Resin: Kinetics, Dynamic Adsorption, and Elution. Ind. Eng. Chem. Res. 2019, 58, 21641–21648. [Google Scholar] [CrossRef]
  22. Hu, C.; Dong, Y.; Zhang, W.; Zhang, H.; Zhou, P.; Xu, H. Clean preparation of mixed trivalent and quadrivalent vanadium electrolyte for vanadium redox flow batteries by catalytic reduction with hydrogen. J. Power Sources 2023, 555, 232330. [Google Scholar] [CrossRef]
  23. Zhang, X.; Meng, F.; Zhu, Z.; Chen, D.; Zhao, H.; Liu, Y.; Zhen, Y.; Qi, T.; Zheng, S.; Wang, M.; et al. A novel process to prepare high-purity vanadyl sulfate electrolyte from leach liquor of sodium-roasted vanadium slag. Hydrometallurgy 2021, 208, 105805. [Google Scholar] [CrossRef]
  24. Xing, W.; Liang, J.; Tang, W.; He, D.; Yan, M.; Wang, X.; Luo, Y.; Tang, N.; Huang, M. Versatile applications of capacitive deionization (CDI)-based technologies. Desalination 2020, 482, 114390. [Google Scholar] [CrossRef]
  25. Uwayid, R.; Guyes, E.N.; Shocron, A.N.; Gilron, J.; Elimelech, M.; Suss, M.E. Perfect divalent cation selectivity with capacitive deionization. Water Res. 2022, 210, 117959. [Google Scholar] [CrossRef]
  26. Wang, L.; Dykstra, J.E.; Lin, S. Energy efficiency of capacitive deionization. Environ. Sci. Technol. 2019, 53, 3366–3378. [Google Scholar] [CrossRef]
  27. Wang, R.; Sun, K.; Zhang, Y.H.; Qian, C.; Bao, W. Dimensional optimization enables high-performance capacitive deionization. J. Mater. Chem. A 2022, 10, 6414–6441. [Google Scholar] [CrossRef]
  28. Zhang, S.; Xu, X.; Liu, X.; Yang, Q.; Shang, N.; Zhao, X.; Zang, X.; Wang, C.; Wang, Z.; Shapter, J.G.; et al. Heterointerface optimization in a covalent organic framework-on-MXene for high-performance capacitive deionization of oxygenated saline water. Mater. Horiz. 2022, 9, 1708–1716. [Google Scholar] [CrossRef]
  29. Hassanvand, A.; Chen, G.Q.; Webley, P.A.; Kentish, S.E. A comparison of multicomponent electrosorption in capacitive deionization and membrane capacitive deionization. Water Res. 2018, 131, 100–109. [Google Scholar] [CrossRef]
  30. Duan, J.; Bao, S.; Zhang, Y. The characteristics of resins/carbon composite electrode and application in selective adsorption of vanadium (IV) by capacitive deionization. Chem. Eng. Res. Des. 2018, 132, 178–186. [Google Scholar] [CrossRef]
  31. Zhou, J.; Zhang, Y.; Bao, S.; Duan, J. Separation of vanadium and aluminum in acid leach solution of rock coal by capacitive deionization technique. Nonferrous Met. 2016, 8, 43–47. Available online: https://www.cnki.com.cn/Article/CJFDTOTAL-METE201608010.htm (accessed on 7 October 2021).
  32. Zhou, J.; Zhang, Y.; Bao, S.; Duan, J. Removal of phosphorus from vanadium-containing acid leach solutions by capacitive deionization. Met. Mine 2016, 9, 107–111. Available online: https://www.cnki.com.cn/Article/CJFDTOTAL-JSKS201609023.htm (accessed on 7 October 2021).
  33. Bashir, A.; Malik, L.A.; Ahad, S.; Manzoor, T.; Bhat, M.A.; Dar, G.N.; Pandith, A.H. Removal of heavy metal ions from aqueous system by ion-exchange and biosorption methods. Environ. Chem. Lett. 2019, 17, 729–754. [Google Scholar] [CrossRef]
  34. Zhang, Z.; Li, H. Reconfiguring the interface charge of Co@Carbon polyhedron for enhanced capacitive deionization. Chem. Eng. J. 2022, 447, 137438. [Google Scholar] [CrossRef]
  35. Kumar, S.S.; Lim, H. An overview of water electrolysis technologies for green hydrogen production. Energy Rep. 2022, 8, 13793–13813. [Google Scholar] [CrossRef]
  36. GB/T 37204-2018; Electrolyte for Vanadium Fiow Battery. National Standards of People’s Republic of China: Beijing, China, 2018. Available online: https://openstd.samr.gov.cn/bzgk/gb/newGbInfo?hcno=F9E6AEDA9C0F19C90AACE53DBF60D150 (accessed on 25 June 2021).
  37. Berkani, M.; Smaali, A.; Kadmi, Y.; Almomani, F.; Vasseghian, Y.; Lakhdari, N.; Alyane, M. Photocatalytic degradation of Penicillin G in aqueous solutions: Kinetic, degradation pathway, and microbioassays assessment. J. Hazard. Mater. 2022, 421, 126719. [Google Scholar] [CrossRef] [PubMed]
  38. Majd, M.M.; Kordzadeh-Kermani, V.; Ghalandari, V.; Askari, A.; Sillanpää, M. Adsorption isotherm models: A comprehensive and systematic review (2010−2020). Sci. Total Environ. 2022, 812, 151334. [Google Scholar] [CrossRef]
  39. He, Y.; Zhang, L.; An, X.; Wan, G.; Zhu, W.; Luo, Y. Enhanced fluoride removal from water by rare earth (La and Ce) modified alumina: Adsorption isotherms, kinetics, thermodynamics and mechanism. Sci. Total Environ. 2019, 688, 184–198. [Google Scholar] [CrossRef]
  40. An, F.-Q.; Wu, R.-Y.; Li, M.; Hu, T.-P.; Gao, J.-F.; Yuan, Z.-G. Adsorption of heavy metal ions by iminodiacetic acid functionalized D301 resin: Kinetics, isotherms and thermodynamics. React. Funct. Polym. 2017, 118, 42–50. [Google Scholar] [CrossRef]
  41. Kołodyńska, D.; Fila, D.; Hubicki, Z. Evaluation of possible use of the macroporous ion exchanger in the adsorption process of rare earth elements and heavy metal ions from spent batteries solutions. Chem. Eng. Process. Process. Intensif. 2020, 147, 107767. [Google Scholar] [CrossRef]
Figure 1. The fabrication process of the LSC-957 resin/carbon composite electrodes.
Figure 1. The fabrication process of the LSC-957 resin/carbon composite electrodes.
Batteries 09 00240 g001
Figure 2. Diagram of the CDI unit.
Figure 2. Diagram of the CDI unit.
Batteries 09 00240 g002
Figure 3. Effect of the mass ratio of resin to activated carbon on the adsorption rate and separation factor.
Figure 3. Effect of the mass ratio of resin to activated carbon on the adsorption rate and separation factor.
Batteries 09 00240 g003
Figure 4. Effect of operating voltage on the adsorption rate and separation factor.
Figure 4. Effect of operating voltage on the adsorption rate and separation factor.
Batteries 09 00240 g004
Figure 5. Effect of operating time on the adsorption rate and separation factor.
Figure 5. Effect of operating time on the adsorption rate and separation factor.
Batteries 09 00240 g005
Figure 6. Effect of the stage number of CDI treatment.
Figure 6. Effect of the stage number of CDI treatment.
Batteries 09 00240 g006
Figure 7. The results of the kinetic fit.
Figure 7. The results of the kinetic fit.
Batteries 09 00240 g007
Figure 8. The results of the isothermal adsorption models’ fit (a) experimental Value; (b) Langmuir fit; (c) Freundlich fit.
Figure 8. The results of the isothermal adsorption models’ fit (a) experimental Value; (b) Langmuir fit; (c) Freundlich fit.
Batteries 09 00240 g008
Figure 9. The SEM-EDS images of the composite electrodes.
Figure 9. The SEM-EDS images of the composite electrodes.
Batteries 09 00240 g009
Figure 10. The infrared spectrum of the composite electrodes.
Figure 10. The infrared spectrum of the composite electrodes.
Batteries 09 00240 g010
Figure 11. (a) CV curves and (b) Nyquist plots of the electrolytes.
Figure 11. (a) CV curves and (b) Nyquist plots of the electrolytes.
Batteries 09 00240 g011
Figure 12. (a) Electrical efficiency and (b) voltage–capacity of the electrolytes.
Figure 12. (a) Electrical efficiency and (b) voltage–capacity of the electrolytes.
Batteries 09 00240 g012
Table 1. Basic properties of the LSC-957 resin.
Table 1. Basic properties of the LSC-957 resin.
Functional GroupsDiameterMoistureIonic
-SO3H/-PO3H20.315~1.25 mm45~60%H+
Table 2. The composition of the spent vanadium electrolyte.
Table 2. The composition of the spent vanadium electrolyte.
ElementVFeAlMgKNa
Concentration(g·L−1)81.501.0950.0260.0310.0410.005
Table 3. The parameters of the kinetic fit.
Table 3. The parameters of the kinetic fit.
Experimental ValuePseudo-First-OrderPseudo-Second-Order
R2qek1R2qek2
28.260.997727.950.52320.997334.180.0175
Table 4. The parameters of the isothermal adsorption models’ fit.
Table 4. The parameters of the isothermal adsorption models’ fit.
LangmuirFreundlich
qmKLR2nKFR2
93.460.00037020.86031.19900.08040.9911
Table 5. The viscosity and conductivity of the electrolytes.
Table 5. The viscosity and conductivity of the electrolytes.
SampleV Concentration (mol·L−1)Viscosity (mm2·s−1)Conductivity (ms·cm−1)
PE1.63.28324.8
SE1.63.94326.5
RE1.63.35321.3
Table 6. The CV parameters of the electrolytes.
Table 6. The CV parameters of the electrolytes.
SampleAnodic PeakCathodic PeakΔEp (mV)Jpa/Jpc
Jpa (mA·cm−2)Epa (V)Jpc (mA·cm−2)Epc (V)
PE110.401.14279.000.7823601.397
SE97.621.20367.610.7434601.443
RE104.001.19173.350.8273641.418
Table 7. The parameters of the electrode kinetic fit.
Table 7. The parameters of the electrode kinetic fit.
SampleRs (Ω·cm−2)C × 10−3 (F·cm−2)Rct (Ω·cm−2)W, Y0 (S·s−5·cm−2)
PE1.0563.205.770.14
SE1.3050.176.40.12
RE0.9549.896.220.13
Disclaimer/Publisher’s Note: The statements, opinions and data contained in all publications are solely those of the individual author(s) and contributor(s) and not of MDPI and/or the editor(s). MDPI and/or the editor(s) disclaim responsibility for any injury to people or property resulting from any ideas, methods, instructions or products referred to in the content.

Share and Cite

MDPI and ACS Style

Zhang, T.; Liu, T.; Zhang, Y.; Liu, H. Removal of Fe Impurity Ions from a Spent Vanadium Electrolyte Using Capacitive Deionization Based on Resin/Activated Carbon Composite Electrodes. Batteries 2023, 9, 240. https://doi.org/10.3390/batteries9050240

AMA Style

Zhang T, Liu T, Zhang Y, Liu H. Removal of Fe Impurity Ions from a Spent Vanadium Electrolyte Using Capacitive Deionization Based on Resin/Activated Carbon Composite Electrodes. Batteries. 2023; 9(5):240. https://doi.org/10.3390/batteries9050240

Chicago/Turabian Style

Zhang, Tianzhuang, Tao Liu, Yimin Zhang, and Hong Liu. 2023. "Removal of Fe Impurity Ions from a Spent Vanadium Electrolyte Using Capacitive Deionization Based on Resin/Activated Carbon Composite Electrodes" Batteries 9, no. 5: 240. https://doi.org/10.3390/batteries9050240

APA Style

Zhang, T., Liu, T., Zhang, Y., & Liu, H. (2023). Removal of Fe Impurity Ions from a Spent Vanadium Electrolyte Using Capacitive Deionization Based on Resin/Activated Carbon Composite Electrodes. Batteries, 9(5), 240. https://doi.org/10.3390/batteries9050240

Note that from the first issue of 2016, this journal uses article numbers instead of page numbers. See further details here.

Article Metrics

Back to TopTop