Data-Driven Battery Aging Mechanism Analysis and Degradation Pathway Prediction
Abstract
:1. Introduction
- The internal aging mechanism under the external behavior of lithium battery capacity decay is quantified by establishing an OCV reconstruction model. The marine predators algorithm (MPA) is proposed for the identification of the aging mode related parameters;
- The effects of external factors on the internal and external aging behavior of the battery are examined based on orthogonal experiments. The effects of different external factors on capacity decay and internal aging modes at different aging phases throughout the life cycle are quantified by means of the analysis of range (ANOR) and analysis of variance (ANOVA). The dominance of internal aging modes under different operating conditions is investigated using correlation analysis methods;
- A Transformer-based prediction approach is proposed to model the pathway of battery capacity decay and aging modes change under multiple factors. A data enhancement technique based on a multiple regressor integration approach is proposed to empower the model.
2. Experiment
2.1. Test Bench
2.2. Reference Performance Tests
2.3. Half Battery Tests
2.4. Design of Aging Experiments
2.4.1. Orthogonal Experiments
2.4.2. OFAT Experiments
3. Battery Aging Mechanism Analysis
3.1. Aging Mode Analysis
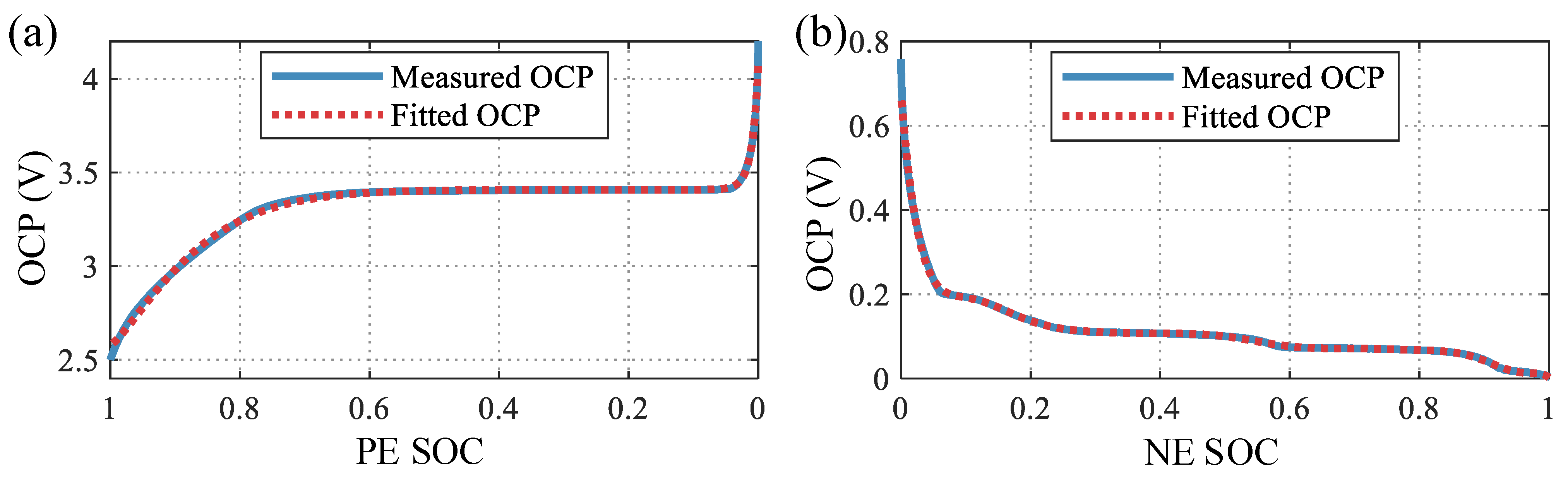
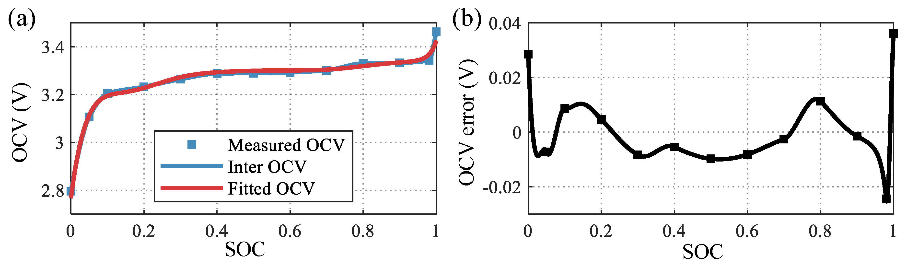
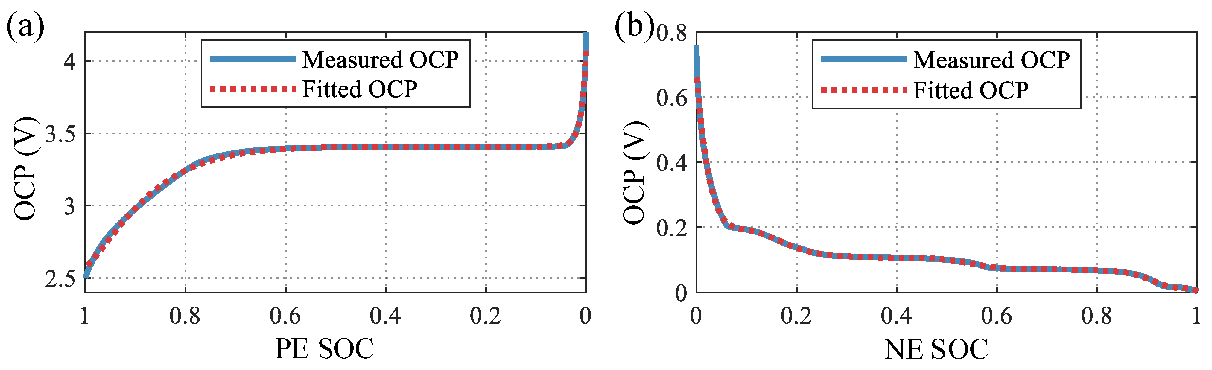
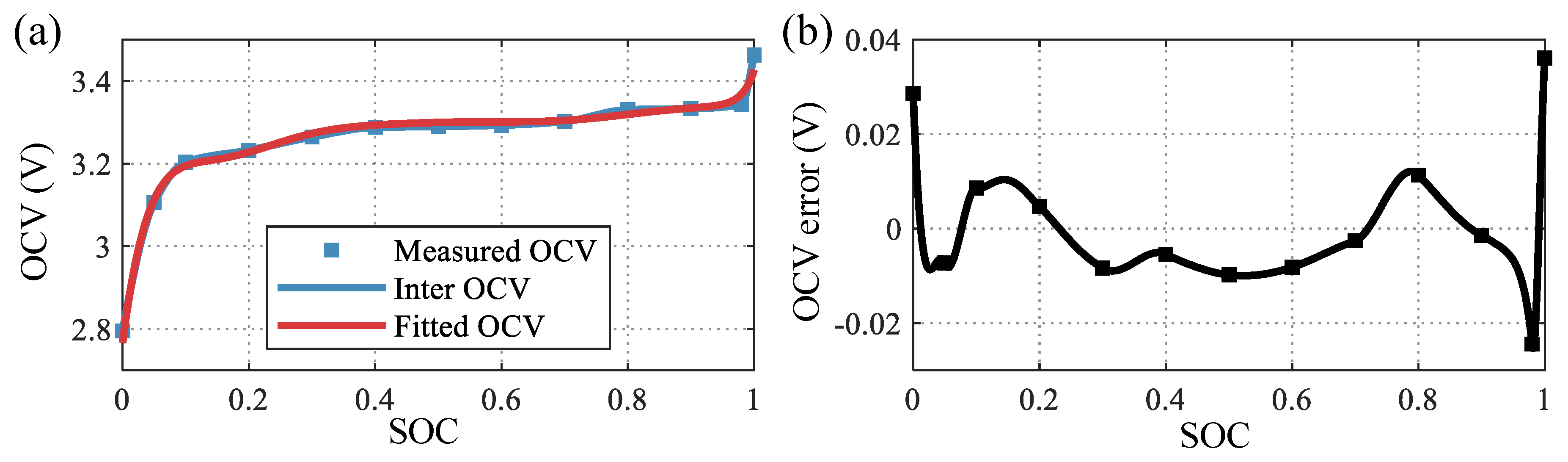
3.2. Quantification of Electrode Aging Modes
| Algorithm 1 The pseudocode of MPA for parameter identification. |
Initialization: , , , , , ,
|
4. Aging Factor Analysis
4.1. Aging Assessment Metrics
4.2. Analysis of Range
4.3. Analysis of Variance
5. Degradation Pathway Prediction Model
5.1. Regression-Based Data Enhancement
5.2. Transformer-Based Prediction Model
5.2.1. Model Inputs and Outputs
5.2.2. Model Structure
6. Results and Analysis
6.1. Ofat Experimental Analysis
6.2. Results of the Analysis of Range
6.3. Results of the Analysis of Variance
6.4. Analysis of Dominant Aging Modes
6.5. Prediction Model Performance Validation
7. Conclusions
Author Contributions
Funding
Data Availability Statement
Conflicts of Interest
References
- Wang, Y.; Xu, R.; Zhou, C.; Kang, X.; Chen, Z. Digital twin and cloud-side-end collaboration for intelligent battery management system. J. Manuf. Syst. 2022, 62, 124–134. [Google Scholar] [CrossRef]
- Severson, K.A.; Attia, P.M.; Jin, N.; Perkins, N.; Jiang, B.; Yang, Z.; Chen, M.H.; Aykol, M.; Herring, P.K.; Fraggedakis, D.; et al. Data-driven prediction of battery cycle life before capacity degradation. Nat. Energy 2019, 4, 383–391. [Google Scholar] [CrossRef]
- Wang, Y.; Tian, J.; Sun, Z.; Wang, L.; Xu, R.; Li, M.; Chen, Z. A comprehensive review of battery modeling and state estimation approaches for advanced battery management systems. Renew. Sustain. Energy Rev. 2020, 131, 110015. [Google Scholar] [CrossRef]
- Hu, X.; Xu, L.; Lin, X.; Pecht, M. Battery lifetime prognostics. Joule 2020, 4, 310–346. [Google Scholar] [CrossRef]
- Wang, Y.; Li, K.; Chen, Z. Battery Full Life Cycle Management and Health Prognosis Based on Cloud Service and Broad Learning. IEEE/CAA J. Autom. Sin. 2022, 9, 1540–1542. [Google Scholar] [CrossRef]
- Xu, P.; Hu, X.; Liu, B.; Ouyang, T.; Chen, N. Hierarchical estimation model of state-of-charge and state-of-health for power batteries considering current rate. IEEE Trans. Ind. Inform. 2021, 18, 6150–6159. [Google Scholar] [CrossRef]
- Arrinda, M.; Oyarbide, M.; Macicior, H.; Muxika, E. Unified Evaluation Framework for Stochastic Algorithms Applied to Remaining Useful Life Prognosis Problems. Batteries 2021, 7, 35. [Google Scholar] [CrossRef]
- Li, W.; Rentemeister, M.; Badeda, J.; Jöst, D.; Schulte, D.; Sauer, D.U. Digital twin for battery systems: Cloud battery management system with online state-of-charge and state-of-health estimation. J. Energy Storage 2020, 30, 101557. [Google Scholar] [CrossRef]
- Song, Y.; Peng, Y.; Liu, D. Model-based health diagnosis for lithium-ion battery pack in space applications. IEEE Trans. Ind. Electron. 2020, 68, 12375–12384. [Google Scholar] [CrossRef]
- Tian, J.; Wang, Y.; Chen, Z. An improved single particle model for lithium-ion batteries based on main stress factor compensation. J. Clean. Prod. 2021, 278, 123456. [Google Scholar] [CrossRef]
- Xu, R.; Wang, Y.; Chen, Z. A migration-based method for non-invasive revelation of microscopic degradation mechanisms and health prognosis of lithium-ion batteries. J. Energy Storage 2022, 55, 105769. [Google Scholar] [CrossRef]
- Tian, J.; Xu, R.; Wang, Y.; Chen, Z. Capacity attenuation mechanism modeling and health assessment of lithium-ion batteries. Energy 2021, 221, 119682. [Google Scholar] [CrossRef]
- Tang, X.; Zou, C.; Yao, K.; Lu, J.; Xia, Y.; Gao, F. Aging trajectory prediction for lithium-ion batteries via model migration and Bayesian Monte Carlo method. Appl. Energy 2019, 254, 113591. [Google Scholar] [CrossRef]
- Yang, F.; Song, X.; Dong, G.; Tsui, K.L. A coulombic efficiency-based model for prognostics and health estimation of lithium-ion batteries. Energy 2019, 171, 1173–1182. [Google Scholar] [CrossRef]
- You, H.; Dai, H.; Li, L.; Wei, X.; Han, G. Charging Strategy Optimization at Low Temperatures for Li-Ion Batteries Based on Multi-Factor Coupling Aging Model. IEEE Trans. Veh. Technol. 2021, 70, 11433–11445. [Google Scholar] [CrossRef]
- Yao, Z.; Lum, Y.; Johnston, A.; Mejia-Mendoza, L.M.; Zhou, X.; Wen, Y.; Aspuru-Guzik, A.; Sargent, E.H.; Seh, Z.W. Machine learning for a sustainable energy future. Nat. Rev. Mater. 2022. [Google Scholar] [CrossRef]
- Lv, C.; Zhou, X.; Zhong, L.; Yan, C.; Srinivasan, M.; Seh, Z.W.; Liu, C.; Pan, H.; Li, S.; Wen, Y.; et al. Machine learning: An advanced platform for materials development and state prediction in lithium-ion batteries. Adv. Mater. 2022, 34, 2101474. [Google Scholar] [CrossRef]
- Ren, Z.; Du, C.; Ren, W. State of Health Estimation of Lithium-Ion Batteries Using a Multi-Feature-Extraction Strategy and PSO-NARXNN. Batteries 2023, 9, 7. [Google Scholar] [CrossRef]
- Chahbaz, A.; Meishner, F.; Li, W.; Ünlübayir, C.; Sauer, D.U. Non-invasive identification of calendar and cyclic ageing mechanisms for lithium-titanate-oxide batteries. Energy Storage Mater. 2021, 42, 794–805. [Google Scholar] [CrossRef]
- Birkl, C.R.; Roberts, M.R.; McTurk, E.; Bruce, P.G.; Howey, D.A. Degradation diagnostics for lithium ion cells. J. Power Sources 2017, 341, 373–386. [Google Scholar] [CrossRef]
- Dong, G.; Wei, J. A physics-based aging model for lithium-ion battery with coupled chemical/mechanical degradation mechanisms. Electrochim. Acta 2021, 395, 139133. [Google Scholar] [CrossRef]
- Li, W.; Chen, J.; Quade, K.; Luder, D.; Gong, J.; Sauer, D.U. Battery degradation diagnosis with field data, impedance-based modeling and artificial intelligence. Energy Storage Mater. 2022, 53, 391–403. [Google Scholar] [CrossRef]
- Tian, J.; Xiong, R.; Shen, W.; Sun, F. Electrode ageing estimation and open circuit voltage reconstruction for lithium ion batteries. Energy Storage Mater. 2021, 37, 283–295. [Google Scholar] [CrossRef]
- Dubarry, M.; Beck, D. Big data training data for artificial intelligence-based Li-ion diagnosis and prognosis. J. Power Sources 2020, 479, 228806. [Google Scholar] [CrossRef]
- Farkhondeh, M.; Delacourt, C. Mathematical modeling of commercial LiFePO4 electrodes based on variable solid-state diffusivity. J. Electrochem. Soc. 2011, 159, A177. [Google Scholar] [CrossRef]
- Safari, M.; Delacourt, C. Modeling of a commercial graphite/LiFePO4 cell. J. Electrochem. Soc. 2011, 158, A562. [Google Scholar] [CrossRef]
- Delacourt, C.; Safari, M. Analysis of lithium deinsertion/insertion in LiyFePO4 with a simple mathematical model. Electrochim. Acta 2011, 56, 5222–5229. [Google Scholar] [CrossRef]
- Ding, Q.; Wang, Y.; Chen, Z. Parameter identification of reduced-order electrochemical model simplified by spectral methods and state estimation based on square-root cubature Kalman filter. J. Energy Storage 2022, 46, 103828. [Google Scholar] [CrossRef]
- Jiang, Z.; Zhang, D.; Lu, G. Radial artery pulse waveform analysis based on curve fitting using discrete Fourier series. Comput. Methods Programs Biomed. 2019, 174, 25–31. [Google Scholar] [CrossRef]
- Georgiou, S.D.; Stylianou, S.; Drosou, K.; Koukouvinos, C. Construction of orthogonal and nearly orthogonal designs for computer experiments. Biometrika 2014, 101, 741–747. [Google Scholar] [CrossRef]
- Faramarzi, A.; Heidarinejad, M.; Mirjalili, S.; Gandomi, A.H. Marine Predators Algorithm: A nature-inspired metaheuristic. Expert Syst. Appl. 2020, 152, 113377. [Google Scholar] [CrossRef]
- Su, L.; Zhang, J.; Wang, C.; Zhang, Y.; Li, Z.; Song, Y.; Jin, T.; Ma, Z. Identifying main factors of capacity fading in lithium ion cells using orthogonal design of experiments. Appl. Energy 2016, 163, 201–210. [Google Scholar] [CrossRef]
- Jiaqiang, E.; Han, D.; Qiu, A.; Zhu, H.; Deng, Y.; Chen, J.; Zhao, X.; Zuo, W.; Wang, H.; Chen, J.; et al. Orthogonal experimental design of liquid-cooling structure on the cooling effect of a liquid-cooled battery thermal management system. Appl. Therm. Eng. 2018, 132, 508–520. [Google Scholar]
- Snoek, J.; Larochelle, H.; Adams, R.P. Practical bayesian optimization of machine learning algorithms. In Advances in Neural Information Processing Systems; Curran Associates, Inc.: Red Hook, NY, USA, 2012; Volume 25. [Google Scholar]
- Bull, A.D. Convergence rates of efficient global optimization algorithms. J. Mach. Learn. Res. 2011, 12, 2879–2904. [Google Scholar]
- Lim, B.; Arık, S.Ö.; Loeff, N.; Pfister, T. Temporal fusion transformers for interpretable multi-horizon time series forecasting. Int. J. Forecast. 2021, 37, 1748–1764. [Google Scholar] [CrossRef]
- Li, K.; Wang, Y.; Chen, Z. A comparative study of battery state-of-health estimation based on empirical mode decomposition and neural network. J. Energy Storage 2022, 54, 105333. [Google Scholar] [CrossRef]
- Vaswani, A.; Shazeer, N.; Parmar, N.; Uszkoreit, J.; Jones, L.; Gomez, A.N.; Kaiser, Ł.; Polosukhin, I. Attention is all you need. In Advances in Neural Information Processing Systems; Curran Associates, Inc.: Red Hook, NY, USA, 2017; Volume 30. [Google Scholar]













| Item | Specification |
|---|---|
| Name | A123 ANR26650M1B |
| Anode material | Graphite |
| Cathode material | LiFePO (LFP) |
| Nominal capacity | 2.5 Ah |
| Nominal voltage | 3.3 V |
| Charge cutoff voltage | 3.6 V |
| Discharge cutoff voltage | 2.0 V |
| Operating temperature | −30 °C to 55 °C |
| Recommended standard charge current | 2.5 A |
| Recommended fast charge current | 10 A |
| Maximum continuous discharge current | 50 A |
| Factors | Abbreviation | Level 1 | Level 2 | Level 3 |
|---|---|---|---|---|
| Ambient temperature (°C) | 25 | 45 | 5 | |
| Charge cutoff voltage (V) | 3.6 | 3.5 | 3.4 | |
| Charge current (A) | 10 | 6.25 | 2.5 | |
| Discharge current (A) | 10 | 6.25 | 2.5 | |
| Discharge cutoff voltage (V) | 2 | 2.5 | 3 |
| Cell Index | (°C) | (V) | (A) | (A) | (V) |
|---|---|---|---|---|---|
| 1 | 25 | 3.6 | 10 | 10 | 2 |
| 2 | 25 | 3.5 | 6.25 | 6.25 | 2.5 |
| 3 | 25 | 3.4 | 2.5 | 2.5 | 3 |
| 4 | 25 | 3.6 | 10 | 6.25 | 2.5 |
| 5 | 25 | 3.5 | 6.25 | 2.5 | 2 |
| 6 | 25 | 3.6 | 2.5 | 6.25 | 3 |
| 7 | 25 | 3.4 | 6.25 | 2.5 | 2.5 |
| 8 | 5 | 3.6 | 6.25 | 6.25 | 2 |
| 9 | 5 | 3.4 | 2.5 | 10 | 2.5 |
| 10 | 45 | 3.4 | 10 | 6.25 | 2 |
| 11 | 45 | 3.6 | 6.25 | 10 | 3 |
| 12 | 45 | 3.5 | 2.5 | 10 | 2.5 |
| 13 | 45 | 3.6 | 2.5 | 2.5 | 2 |
| 14 | 5 | 3.5 | 10 | 2.5 | 3 |
| Factor | Cell Index | (°C) | (V) | (A) | (A) | (V) |
|---|---|---|---|---|---|---|
| Reference | 1 | 25 | 3.6 | 10 | 10 | 2 |
| 20 | 45 | 3.6 | 10 | 10 | 2 | |
| 17 | 5 | 3.6 | 10 | 10 | 2 | |
| 23 | 25 | 3.5 | 10 | 10 | 2 | |
| 24 | 25 | 3.4 | 10 | 10 | 2 | |
| 15 | 25 | 3.6 | 6.25 | 10 | 2 | |
| 25 | 25 | 3.6 | 2.5 | 10 | 2 | |
| 26 | 25 | 3.6 | 10 | 6.25 | 2 | |
| 16 | 25 | 3.6 | 10 | 2.5 | 2 | |
| 19 | 25 | 3.6 | 10 | HWFET | 2 | |
| 21 | 45 | 3.6 | 10 | 10 | 2.5 | |
| 22 | 25 | 3.6 | 10 | 10 | 3 | |
| and | 18 | 25 | 3.5 | 10 | 10 | 3 |
| SOC (%) | 100 | 98 | 90 | 80 | 70 | 60 | 50 | 40 | 30 | 20 | 10 | 5 | 0 |
| OCV (V) | 3.4629 | 3.3438 | 3.3330 | 3.3305 | 3.3020 | 3.2930 | 3.2899 | 3.2880 | 3.2645 | 3.2325 | 3.2034 | 3.1060 | 2.7954 |
| Regressor | SVM | NN | GPR |
|---|---|---|---|
| Hyperparameters to be optimized | Kernel function, box constraint, kernel scale, epsilon, standardize data | Number of fully connected layers, first layer size, second layer size, third layer size, activation, regularization strength, standardize data | Basis function, kernel function, kernel scale, sigma, standardize data |
| Optimizer | Bayesian optimization, random research (Iterations = 30) | ||
| Validation scheme | Five-fold Cross validation | ||
| Regressor | SVM | NN | GPR |
|---|---|---|---|
| Optimized hyperparameters | Kernel function: Cubic; Box constraint: 24.3694; Kernel scale: 1; Epsilon: 1.003; Standardize data: Yes. | Fully connected layer number: 1; First, layer size: 8; Second layer size: 0; Third layer size: 0; Activation: Sigmoid; Regularization strength: 0.0023946; Standardize data: No. | Basis function: Zero; Kernel function: Isotropic Squared Exponential; Kernel scale: 13.5982; Sigma: 0.0076682; Standardize data: Yes. |
| Individual regressor RMSE (%) | 1.4855 | 1.7180 | 0.1306 |
| Weight strategy | 0–1 | Average | Inverse |
| Ensemble model RMSE (%) | 0.1306 | 1.0335 | 0.2559 |
| EI | Best/Worst | (°C) | (V) | (A) | (A) | (V) |
|---|---|---|---|---|---|---|
| Qloss | Best | 25 | 3.4 | 2.5 | 2.5 | 3 |
| Worst | 45 | 3.6 | 10 | 10 | 2 | |
| LAMp | Best | 25 | 3.4 | 2.5 | 2.5 | 3 |
| Worst | 45 | 3.6 | 10 | 6.25 | 2 | |
| LAMn | Best | 25 | 3.4 | 2.5 | 2.5 | 3 |
| Worst | 5 | 3.5 | 10 | 6.25 | 2.5 | |
| LLI | Best | 25 | 3.4 | 2.5 | 2.5 | 3 |
| Worst | 45 | 3.6 | 10 | 10 | 2 |
| dQloss (%) | Qloss (%) | LAMp (C) | LAMn (C) | LLI (C) | ||||||
|---|---|---|---|---|---|---|---|---|---|---|
| Train | Test | Train | Test | Train | Test | Train | Test | Train | Test | |
| RMSE | 0.00062 | 0.00175 | 0.40171 | 0.32564 | 95.73735 | 149.42237 | 10.68727 | 70.12077 | 13.61561 | 29.90179 |
| MAE | 0.00027 | 0.00079 | 0.29976 | 0.27100 | 62.28076 | 131.96339 | 9.26400 | 56.12701 | 9.63411 | 18.35193 |
| MAPE | 0.07702 | 0.05867 | 0.67116 | 2.20164 | 0.58373 | 91.57230 | 0.25577 | 1.27270 | 0.13862 | 11.51632 |
| R-square | 0.99063 | 0.98660 | 0.99530 | 0.99655 | 0.99513 | 0.98170 | 0.99967 | 0.97010 | 0.99940 | 0.99668 |
Disclaimer/Publisher’s Note: The statements, opinions and data contained in all publications are solely those of the individual author(s) and contributor(s) and not of MDPI and/or the editor(s). MDPI and/or the editor(s) disclaim responsibility for any injury to people or property resulting from any ideas, methods, instructions or products referred to in the content. |
© 2023 by the authors. Licensee MDPI, Basel, Switzerland. This article is an open access article distributed under the terms and conditions of the Creative Commons Attribution (CC BY) license (https://creativecommons.org/licenses/by/4.0/).
Share and Cite
Xu, R.; Wang, Y.; Chen, Z. Data-Driven Battery Aging Mechanism Analysis and Degradation Pathway Prediction. Batteries 2023, 9, 129. https://doi.org/10.3390/batteries9020129
Xu R, Wang Y, Chen Z. Data-Driven Battery Aging Mechanism Analysis and Degradation Pathway Prediction. Batteries. 2023; 9(2):129. https://doi.org/10.3390/batteries9020129
Chicago/Turabian StyleXu, Ruilong, Yujie Wang, and Zonghai Chen. 2023. "Data-Driven Battery Aging Mechanism Analysis and Degradation Pathway Prediction" Batteries 9, no. 2: 129. https://doi.org/10.3390/batteries9020129
APA StyleXu, R., Wang, Y., & Chen, Z. (2023). Data-Driven Battery Aging Mechanism Analysis and Degradation Pathway Prediction. Batteries, 9(2), 129. https://doi.org/10.3390/batteries9020129

