Charge-Discharge Properties of the Surface-Modified ZrNi Alloy Electrode with Different Degrees of Boiling Alkaline Treatment
Abstract
:1. Introduction
2. Experimental
2.1. Preparation and Surface Treatment of the ZrNi Alloy
2.2. Electrochemical Measurement of the ZrNi Electrodes with and without the Boiling Alkaline Treatment
2.3. Characterization of the ZrNi Alloy with and without the Boiling Alkaline Treatment
3. Results and Discussion
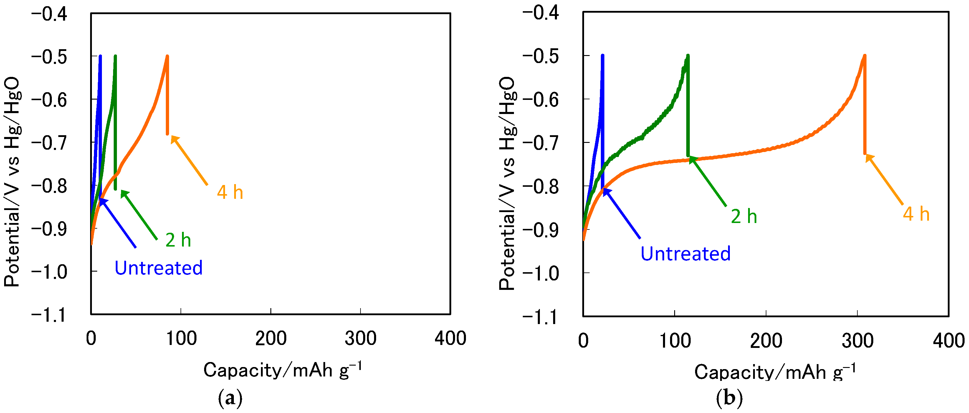
3.1. Electrochemical Properties of the ZrNi Electordes with and without the Boiling Alkaline Treatment
3.2. Morphology of the ZrNi Alloys with and without the Boiling Alkaline Solution
4. Conclusions
Acknowledgments
Author Contributions
Conflicts of Interest
References
- Boussami, S.; Khaldi, C.; Lamloumi, J.; Mathlouthi, H.; Takenouti, H. Electrochemical study of LaNi3.55Mn0.4Al0.3Fe0.75 as negative electrode in alkaline secondary batteries. Electrochim. Acta 2012, 69, 203–208. [Google Scholar] [CrossRef]
- Drulis, H.; Hackemer, A.; Flocik, L.; Giza, K.; Bala, H.; Gondek, Ł.; Figiel, H. Thermodynamic and electrochemical hydrogenation properties of LaNi5−xInx alloys. Int. J. Hydrog. Energy 2012, 37, 15850–15854. [Google Scholar] [CrossRef]
- Sun, J.C.; Li, S.; Ji, S.J. The effects of the substitution of Ti and La for Zr in ZrMn0.7V0.2Co0.1Ni1.2 hydrogen storage alloys on the phase structure and electrochemical properties. J. Alloy. Compd. 2007, 446, 630–634. [Google Scholar] [CrossRef]
- Iwakura, C.; Kasuga, H.; Kim, I.; Inoue, H.; Matsuoka, M. Effect of alloy composition on electrochemical properties of the Zr-based Laves-phase hydrogen storage alloys. Electrochim. Acta 1996, 41, 2691–2694. [Google Scholar] [CrossRef]
- Anik, M.; Karanfil, F.; Küҫükdeveci, N. Development of the high performance magnesium based hydrogen storage alloy. Int. J. Hydrog. Energy 2012, 37, 299–308. [Google Scholar] [CrossRef]
- Inoue, H.; Ueda, T.; Nohara, S.; Fujita, N.; Iwakura, C. Effect of ball-milling on electrochemical and physicochemical characteristics of crystalline Mg2Ni alloy. Electrochim. Acta 1998, 43, 2215–2219. [Google Scholar] [CrossRef]
- Kohno, T.; Yoshida, H.; Kawashima, F.; Inaba, T.; Sakai, I.; Yamamoto, M.; Kanda, M. Hydrogen storage properties of new ternary system alloys: La2MgNi9, La5MgNi23, La3MgNi14. J. Alloy. Compd. 2000, 311, L5–L7. [Google Scholar] [CrossRef]
- Liao, B.; Lei, Y.Q.; Chen, L.X.; Lu, G.L.; Pan, H.G.; Wang, Q.D. A study on the structure and electrochemical properties of La2Mg(Ni0.95M0.05)9 (M = Co, Mn, Fe, Al, Cu, Sn) hydrogen storage electrode alloys. J. Alloy. Compd. 2004, 376, 186–195. [Google Scholar] [CrossRef]
- Guiose, B.; Cuevas, F.; Déamps, B.; Leroy, E.; Percheron-Guégan, A. Microstructural analysis of the ageing of pseudo-binary (Ti,Zr)Ni intermetallic compounds as negative electrodes of Ni-MH batteries. Electrochim. Acta 2009, 54, 2781–2789. [Google Scholar] [CrossRef]
- Inoue, H.; Kotani, N.; Chiku, M.; Higuchi, E. High capacity hydrogen storage alloy negative electrodes for use in nickel-metal hydride batteries. J. Alloy. Compd. 2015, 645, S136–S139. [Google Scholar] [CrossRef]
- Dantzer, P.; Millet, P.; Flanagan, T.B. Thermodynamic characterization of hydride phase growth in ZrNi-H2. Metall. Mater. Trans. A 2001, 32A, 29–38. [Google Scholar] [CrossRef]
- Cantrell, J.S.; Bowman, R.C., Jr.; Wade, L.A.; Luo, S.; Clewley, J.D.; Flanagan, T.B. Thermodynamic properties of and the degradation of ZrNiHx at elevated temperatures. J. Alloy. Compd. 1995, 231, 518–523. [Google Scholar] [CrossRef]
- Nei, J.; Young, K.; Regmi, R.; Lawes, G.; Salley, S.O.; Ng, K.Y.S. Gaseous phase hydrogen storage and electrochemical properties of Zr8Ni21, Zr7Ni10, Zr9Ni11 and ZrNi metal hydride alloys. Int. J. Hydrog. Energy 2012, 37, 16042–16055. [Google Scholar] [CrossRef]
- Wakao, S.; Sawa, H.; Nakano, H.; Chubachi, S.; Abe, M. Capacities and durabilities of Ti-Zr-Ni alloy hydride electrodes and effects of electroless plating on their performances. J. Less-Common Met. 1987, 131, 311–319. [Google Scholar] [CrossRef]
- Matsuoka, M.; Nakayama, E.; Uematsu, F.; Yamamoto, Y.; Iwakura, C. Activation mechanism of Ti0.5Zr0.5Ni1.3V0.7Mn0.1Cr0.1 electrode in nickel-hydride batteries. Electrochim. Acta 2001, 46, 2693–2697. [Google Scholar] [CrossRef]
- Züttel, A.; Meli, F.; Schlapbach, L. Surface and bulk properties of the TiyZr1−y(VxNi1−x)2 alloy system as active electrode material in alkaline electrolyte. J. Alloy. Compd. 1995, 231, 645–649. [Google Scholar] [CrossRef]
- Huang, H.; Huang, K.; Chen, D.; Liu, S.; Zhuang, S. The electrochemical properties of MgNi–x wt% TiNi0.5Co0.44 (x = 0, 10, 30, 50) composite alloys. J. Mater. Sci. 2010, 45. [Google Scholar] [CrossRef]
- Benavides, L.A.; Cuscueta, D.J.; Ghilarducci, A.A. MWCNT as mechanical support during ball milling of AB5 alloy used as negative electrode of a Ni-MH battery. Int. J. Hydrog. Energy 2015, 40, 4925–4930. [Google Scholar] [CrossRef]
- Mishima, R.; Miyamura, H.; Sakai, T.; Kuriyama, N.; Ishikawa, H.; Uehara, I. Hydrogen storage alloys rapidly solidification by the melt-spinning method and their characteristics as metal hydride electrodes. J. Alloy. Compd. 1993, 192, 176–178. [Google Scholar] [CrossRef]
- Ikoma, M.; Komori, K.; Kaida, S.; Iwakura, C. Effect of alkali-treatment of hydrogen storage alloy on the degradation of Ni/MH batteries. J. Alloy. Compd. 1999, 284, 92–98. [Google Scholar] [CrossRef]
- Yanagimoto, K.; Majima, K.; Sunada, S.; Sawada, T. Effects of surface modification on surface structure and electrochemical properties of Mm(Ni,Co,Mn,Al)5.0 alloy powder. J. Alloy. Compd. 2004, 377, 174–178. [Google Scholar] [CrossRef]
- Li, H.W.; Inada, K.; Nakamori, Y.; Orimo, S.; Yakushiji, K.; Takanashi, K.; Ohyama, H.; Nakatsuji, K.; Dansui, Y. Size distribution of precipitated Ni clusters on the surface of an alkaline-treated LaNi5-based alloy. Acta Mater. 2007, 55, 481–485. [Google Scholar] [CrossRef]
- Gao, X.P.; Sun, Y.M.; Higuchi, E.; Toyoda, E.; Suda, S. Electrochemical properties and characteristics of the fluorinated Zr0.9Ti0.1V0.2Mn0.6Ni1.3La0.05 electrode. J. Alloy. Compd. 1999, 293, 707–711. [Google Scholar] [CrossRef]
- Parimala, R.; Ananth, M.V.; Ramaprabhu, S.; Raju, M. Effect of electroless coating of Cu, Ni and Pd on ZrMn0.2V0.2Fe0.8Ni0.8 alloy used as anodes in Ni-MH batteries. Int. J. Hydrog. Energy 2004, 29, 509–513. [Google Scholar] [CrossRef]
- Choi, W.K.; Yamataka, K.; Zhang, S.G.; Inoue, H.; Iwakura, C. Effects of surface treatment with boiling alkaline solution on electrochemical and physicochemical properties of the Zr0.9Ti0.1Ni1.1Co0.1Mn0.6V0.2 alloy electrode. J. Electrochem. Soc. 1999, 146, 46–48. [Google Scholar] [CrossRef]
- Matsuyama, A.; Mizutani, H.; Kozuka, T.; Inoue, H. Effect of surface treatment with boiling alkaline solution on electrochemical properties of the ZrNi alloy electrode. Int. J. Hydrog. Energy 2016, 41, 9908–9913. [Google Scholar] [CrossRef]
- Cuevas, F.; Latroche, M.; Vigeron-Bourée, F.; Percheron, G.A. A conjoint XRD–ND analysis of the crystal structures of austenitic and martensitic Ti0.64Zr0.36Ni hydrides. J. Solid State Chem. 2006, 179, 3295–3307. [Google Scholar] [CrossRef]
- Kuriyama, N.; Sakai, T.; Miyamura, H.; Uehara, I.; Ishikawa, H. Electrochemical impedance and deterioration behavior of metal hydride electrodes. J. Alloy. Compd. 1993, 202, 183–197. [Google Scholar] [CrossRef]
- Poubaix, M. Atlas Electrochemical Equilibria in Aqueous Solutions, 2nd ed.; National Association of Corrosion Engineers (NACE): Houston, TX, USA, 1974; p. 333. [Google Scholar]
- Senoh, H.; Ueda, M.; Inoue, H.; Furukawa, N.; Iwakura, C. Theoretical evaluation for thermodynamic stability of constituents of hydrogen storage alloy in concentrated alkaline solution at higher temperature. J. Alloy. Compd. 1998, 266, 111–117. [Google Scholar] [CrossRef]
- Souza, L.M.M.; Kong, F.P.; Mclarnon, F.R.; Muller, R.H. Spectroscopic ellipsometry study of nickel oxidation in alkaline solution. Electrochim. Acta 1997, 42, 1253–1267. [Google Scholar] [CrossRef]






| Treatment Time | R1/Ω | R2/Ω | R3/Ω | R4/Ω | C2/F | C3/F | C4/F |
|---|---|---|---|---|---|---|---|
| Untreated | 0.12 | 4.39 | 0.13 | 16.16 | 0.017 | 3.68 × 10−3 | 14.76 × 10−3 |
| 2 h | 0.12 | 1.58 | 0.16 | 3.62 | 2.78 | 3.79 × 10−3 | 21.50 × 10−3 |
| 4 h | 0.11 | 0.67 | 0.11 | 0.27 | 3.60 | 2.04 × 10−3 | 75.79 × 10−3 |
| Treatment Time | Content/at% | Total | Zr/Ni | |
|---|---|---|---|---|
| Zr | Ni | |||
| Theoretical | 50.00 | 50.00 | 100.00 | 1.00 |
| Untreated | 49.76 | 49.37 | 99.13 | 1.00 |
| 2 h | 48.85 | 49.78 | 98.63 | 0.98 |
| 4 h | 47.32 | 48.61 | 95.93 | 0.97 |
© 2016 by the authors; licensee MDPI, Basel, Switzerland. This article is an open access article distributed under the terms and conditions of the Creative Commons Attribution (CC-BY) license (http://creativecommons.org/licenses/by/4.0/).
Share and Cite
Matsuyama, A.; Mizutani, H.; Kozuka, T.; Inoue, H. Charge-Discharge Properties of the Surface-Modified ZrNi Alloy Electrode with Different Degrees of Boiling Alkaline Treatment. Batteries 2016, 2, 30. https://doi.org/10.3390/batteries2040030
Matsuyama A, Mizutani H, Kozuka T, Inoue H. Charge-Discharge Properties of the Surface-Modified ZrNi Alloy Electrode with Different Degrees of Boiling Alkaline Treatment. Batteries. 2016; 2(4):30. https://doi.org/10.3390/batteries2040030
Chicago/Turabian StyleMatsuyama, Akihiro, Hironori Mizutani, Takumi Kozuka, and Hiroshi Inoue. 2016. "Charge-Discharge Properties of the Surface-Modified ZrNi Alloy Electrode with Different Degrees of Boiling Alkaline Treatment" Batteries 2, no. 4: 30. https://doi.org/10.3390/batteries2040030
APA StyleMatsuyama, A., Mizutani, H., Kozuka, T., & Inoue, H. (2016). Charge-Discharge Properties of the Surface-Modified ZrNi Alloy Electrode with Different Degrees of Boiling Alkaline Treatment. Batteries, 2(4), 30. https://doi.org/10.3390/batteries2040030

