Ternary PEO/PVDF-HFP-Based Polymer Electrolytes for Li-Ion Batteries
Abstract
1. Introduction
2. Experimental Section
2.1. Preparation of the Ternary Polymer Electrolytes
2.2. Preparation of the Electrodes
2.3. Characterisation Techniques
2.4. Electrochemical Tests
3. Results and Discussion
3.1. Structure Characterisations
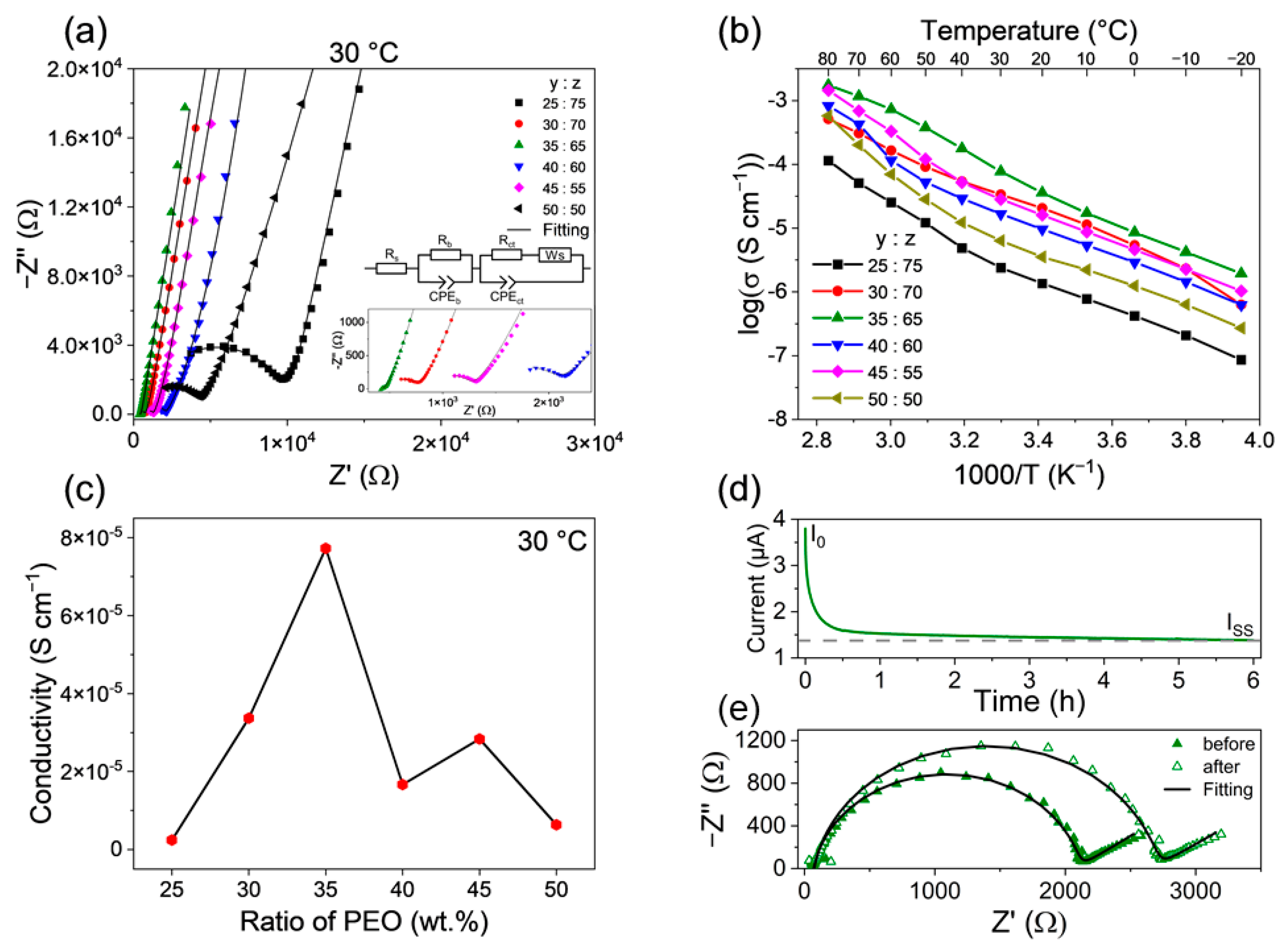
3.2. Electrochemical Studies
3.3. Discussion
4. Conclusions
Supplementary Materials
Author Contributions
Funding
Data Availability Statement
Acknowledgments
Conflicts of Interest
References
- Goodenough, J.B.; Kim, Y. Challenges for rechargeable Li batteries. Chem. Mater. 2010, 22, 587–603. [Google Scholar] [CrossRef]
- Xue, Z.; He, D.; Xie, X. Poly(ethylene oxide)-based electrolytes for lithium-ion batteries. J. Mater. Chem. A Mater. 2015, 3, 19218–19253. [Google Scholar] [CrossRef]
- Osada, I.; de Vries, H.; Scrosati, B.; Passerini, S. Ionic-Liquid-Based Polymer Electrolytes for Battery Applications. Angew. Chem. 2016, 128, 500–513. [Google Scholar] [CrossRef] [PubMed]
- Long, L.; Wang, S.; Xiao, M.; Meng, Y. Polymer electrolytes for lithium polymer batteries. J. Mater. Chem. A Mater. 2016, 4, 10038–10069. [Google Scholar] [CrossRef]
- Costa, C.M.; Nunes-Pereira, J.; Rodrigues, L.C.; Silva, M.M.; Ribelles, J.L.G.; Lanceros-Méndez, S. Novel poly(vinylidene fluoride-trifluoroethylene)/poly(ethylene oxide) blends for battery separators in lithium-ion applications. Electrochim. Acta 2013, 88, 473–476. [Google Scholar] [CrossRef]
- Prabakaran, P.; Manimuthu, R.P. Enhancement of the electrochemical properties with the effect of alkali metal systems on PEO/PVdF-HFP complex polymer electrolytes. Ionics 2016, 22, 827–839. [Google Scholar] [CrossRef]
- Croce, F.; Appetecchi, G.B.; Persi, L.; Scrosati, B. Nanocomposite polymer electrolytes for lithium batteries. Nature 1998, 394, 456–458. [Google Scholar] [CrossRef]
- Christie, A.M.; Lilley, S.J.; Staunton, E.; Andreev, Y.G.; Bruce, P.G. Increasing the conductivity of crystalline polymer electrolytes. Nature 2005, 433, 50–53. [Google Scholar] [CrossRef] [PubMed]
- Vallée, A.; Besner, S.; Prud’Homme, J. Comparative study of poly(ethylene oxide) electrolytes made with LiN(CF3SO2)2, LiCF3SO3 and LiClO4: Thermal properties and conductivity behavior. Electrochim. Acta 1992, 37, 1579–1583. [Google Scholar] [CrossRef]
- Kim, G.T.; Appetecchi, G.B.; Carewska, M.; Joost, M.; Balducci, A.; Winter, M.; Passerini, S. UV cross-linked, lithium-conducting ternary polymer electrolytes containing ionic liquids. J. Power Sources 2010, 195, 6130–6137. [Google Scholar] [CrossRef]
- Itoh, T.; Miyamura, Y.; Ichikawa, Y.; Uno, T.; Kubo, M.; Yamamoto, O. Composite polymer electrolytes of poly(ethylene oxide)/BaTiO3/Li salt with hyperbranched polymer. J. Power Sources 2003, 119–121, 403–408. [Google Scholar] [CrossRef]
- An, Y.; Cheng, X.; Zuo, P.; Liao, L.; Yin, G. Improved properties of polymer electrolyte by ionic liquid PP1.3TFSI for secondary lithium ion battery. J. Solid State Electrochem. 2012, 16, 383–389. [Google Scholar]
- Jiang, Z.; Carroll, B.; Abraham, K.M. Studies of some poly(vinylidene fluoride) electrolytes. Electrochim. Acta 1997, 42, 2667–2677. [Google Scholar] [CrossRef]
- Cao, J.H.; Zhu, B.K.; Xu, Y.Y. Structure and ionic conductivity of porous polymer electrolytes based on PVDF-HFP copolymer membranes. J. Memb. Sci. 2006, 281, 446–453. [Google Scholar] [CrossRef]
- Liu, W.; Zhang, X.K.; Wu, F.; Xiang, Y. A study on PVDF-HFP gel polymer electrolyte for lithium-ion batteries. IOP Conf. Ser. Mater. Sci. Eng. 2017, 213, 012036. [Google Scholar] [CrossRef]
- Herzog-Arbeitman, A.; Maletti, S.; Oswald, S.; Schmeida, T.; Giebeler, L.; Mikhailova, D. A Highly Conductive Gel Polymer Electrolyte for Li-Mg Hybrid Batteries. ACS Appl. Energy Mater. 2021, 4, 1906–1914. [Google Scholar] [CrossRef]
- Miao, R.; Liu, B.; Zhu, Z.; Liu, Y.; Li, J.; Wang, X.; Li, Q. PVDF-HFP-based porous polymer electrolyte membranes for lithium-ion batteries. J. Power Sources 2008, 184, 420–426. [Google Scholar] [CrossRef]
- Groce, F.; Gerace, F.; Dautzemberg, G.; Passerini, S.; Appetecchi, G.B.; Scrosati, B. Synthesis and characterization of highly conducting gel electrolytes. Electrochim. Acta 1994, 39, 2187–2194. [Google Scholar] [CrossRef]
- Bohnke, O.; Frand, G.; Rezrazi, M.; Rousselot, C.; Truche, C. Fast ion transport in new lithium electrolytes gelled with PMMA. 1. Influence of polymer concentration. Solid State Ion. 1993, 66, 97–104. [Google Scholar] [CrossRef]
- Passerini, S.; Rosolen, J.M.; Scrosati, B. Plasticized carbon electrodes of interest for lithium rocking chair batteries. J. Power Sources 1993, 45, 333–341. [Google Scholar] [CrossRef]
- Pistoia, G.; Antonini, A.; Wang, G. Impedance study on the reactivity of gel polymer electrolytes towards a lithium electrode. J. Power Sources 1996, 58, 139–144. [Google Scholar] [CrossRef]
- Dias, F.B.; Plomp, L.; Veldhuis, J.B.J. Trends in polymer electrolytes for secondary lithium batteries. J. Power Sources 2000, 88, 169–191. [Google Scholar] [CrossRef]
- Elamin, K.; Shojaatalhosseini, M.; Danyliv, O.; Martinelli, A.; Swenson, J. Conduction mechanism in polymeric membranes based on PEO or PVdF-HFP and containing a piperidinium ionic liquid. Electrochim. Acta 2019, 299, 979–986. [Google Scholar] [CrossRef]
- Das, S.; Ghosh, A. Charge Carrier Relaxation in Different Plasticized PEO/PVDF-HFP Blend Solid Polymer Electrolytes. J. Phys. Chem. B 2017, 121, 5422–5432. [Google Scholar] [CrossRef] [PubMed]
- Kim, K.M.; Park, N.G.; Ryu, K.S.; Chang, S.H. Characteristics of PVdF-HFP/TiO2 composite membrane electrolytes prepared by phase inversion and conventional casting methods. Electrochim. Acta 2006, 51, 5636–5644. [Google Scholar] [CrossRef]
- Xue, X.; Zhang, X.; Liu, Y.; Chen, S.; Chen, Y.; Lin, J.; Zhang, Y. Boosting the Performance of Solid-State Lithium Battery Based on Hybridizing Micron-Sized LATP in a PEO/PVDF-HFP Heterogeneous Polymer Matrix. Energy Technol. 2020, 8, 2000444. [Google Scholar] [CrossRef]
- Shalu; Chaurasia, S.K.; Singh, R.K. Crystallization behaviour of a polymeric membrane based on the polymer PVdF-HFP and the ionic liquid BMIMBF4. RSC Adv. 2014, 4, 50914–50924. [Google Scholar]
- Zhang, P.; Li, R.; Huang, J.; Liu, B.; Zhou, M.; Wen, B.; Xia, Y.; Okada, S. Flexible poly(vinylidene fluoride- co -hexafluoropropylene)-based gel polymer electrolyte for high-performance lithium-ion batteries. RSC Adv. 2021, 11, 11943–11951. [Google Scholar] [CrossRef] [PubMed]
- Manjunatha, H.; Damle, R.; Kumaraswamy, G.N. Modification of polymer electrolyte blend PEO/PVDF–HFP by low-energy O+ ion irradiation to improve electrolyte behavior. Polym. Bull. 2022, 79, 3929–3950. [Google Scholar] [CrossRef]
- Ue, M.J. Mobility and Ionic Association of Lithium and Quaternary Ammonium Salts in Propylene Carbonate and γ-Butyrolactone. Electrochem. Soc. 1994, 141, 3336–3342. [Google Scholar] [CrossRef]
- Kurzweil, P.; Dietlmeier, O.K. Elektrochemische Speicher—Superkondensatoren, Batterien, Elektrolyse-Wasserstoff, Rechtliche Rahmenbedingungen; Springer Vieweg: Wiesbaden, Germany, 2018. [Google Scholar]
- Aurbach, D.; Talyosef, Y.; Markovsky, B.; Markevich, E.; Zinigrad, E.; Asraf, L.; Gnanaraj, J.S.; Kim, H.J. Design of electrolyte solutions for Li and Li-ion batteries: A review. Electrochim. Acta 2004, 50, 247–254. [Google Scholar] [CrossRef]
- Heider, U.; Oesten, R.; Jungnitz, M. Challenge in manufacturing electrolyte solutions for lithium and lithium ion batteries quality control and minimizing contamination level. J. Power Sources 1999, 81–82, 119–122. [Google Scholar] [CrossRef]
- Kawamura, T.; Okada, S.; Yamaki, J.I. Decomposition reaction of LiPF6-based electrolytes for lithium ion cells. J. Power Sources 2006, 156, 547–554. [Google Scholar] [CrossRef]
- Wiemers-Meyer, S.; Winter, M.; Nowak, S. Mechanistic insights into lithium ion battery electrolyte degradation-a quantitative NMR study. Phys. Chem. Chem. Phys. 2016, 18, 26595–26601. [Google Scholar] [CrossRef]
- McEwen, B.; Ngo, H.L.; LeCompte, K.; Goldman, J.L. Electrochemical Properties of Imidazolium Salt Electrolytes for Electrochemical Capacitor Applications. J. Electrochem. Soc. 1999, 146, 1687–1695. [Google Scholar] [CrossRef]
- Garcia, B.; Lavallée, S.; Perron, G.; Michot, C.; Armand, M. Room temperature molten salts as lithium battery electrolyte. Electrochim. Acta 2004, 49, 4583–4588. [Google Scholar] [CrossRef]
- Bonhôte, P.; Dias, A.P.; Papageorgiou, N.; Kalyanasundaram, K.; Grätzel, M. Hydrophobic, Highly Conductive Ambient-Temperature Molten Salts. Inorg. Chem. 1996, 35, 1168–1178. [Google Scholar] [CrossRef]
- Noda, A.; Hayamizu, K.; Watanabe, M. Pulsed-gradient spin-echo 1H and 19F NMR ionic diffusion coefficient, viscosity, and ionic conductivity of non-chloroaluminate room-temperature ionic liquids. J. Phys. Chem. B 2001, 105, 4603–4610. [Google Scholar] [CrossRef]
- Appetecchi, G.B.; Henderson, W.; Villano, P.; Berrettoni, M.; Passerini, S. PEO-LiN ( SO2 CF2 CF3)2 Polymer Electrolytes: I. XRD, DSC, and Ionic Conductivity Characterization. J. Electrochem. Soc. 2001, 148, A1171–A1178. [Google Scholar] [CrossRef]
- Meyer, W.H. Polymer Electrolytes for Lithium-Ion Batteries. Adv. Mater. 1998, 10, 439–448. [Google Scholar] [CrossRef]
- Stephan, A.M. Review on gel polymer electrolytes for lithium batteries. Eur. Polym. J. 2006, 42, 21–42. [Google Scholar] [CrossRef]
- Shalu; Singh, V.K.; Singh, R.K. Development of ion conducting polymer gel electrolyte membranes based on polymer PVdF-HFP, BMIMTFSI ionic liquid and the Li-salt with improved electrical, thermal and structural properties. J. Mater. Chem. C Mater. 2015, 3, 7305–7318. [Google Scholar] [CrossRef]
- Diddens, D.; Heuer, A. Lithium ion transport mechanism in ternary polymer electrolyte-ionic liquid mixtures: A molecular dynamics simulation study. ACS Macro Lett. 2013, 2, 322–326. [Google Scholar] [CrossRef] [PubMed]
- Pritam; Arya, A.; Sharma, A.L. Dielectric relaxations and transport properties parameter analysis of novel blended solid polymer electrolyte for sodium-ion rechargeable batteries. J. Mater. Sci. 2019, 54, 7131–7155. [Google Scholar] [CrossRef]
- Prabakaran, P.; Manimuthu, R.P.; Gurusamy, S.; Sebasthiyan, E. Plasticized polymer electrolyte membranes based on PEO/PVdF-HFP for use as an effective electrolyte in lithium-ion batteries. Chin. J. Polym. Sci. 2017, 35, 407–421. [Google Scholar] [CrossRef]
- Tian, X.; Jiang, X.; Zhu, B.; Xu, Y. Effect of the casting solvent on the crystal characteristics and pervaporative separation performances of P(VDF-co-HFP) membranes. J. Memb. Sci. 2006, 279, 479–486. [Google Scholar] [CrossRef]
- An, Y.; Zuo, P.; Cheng, X.; Liao, L.; Yin, G. Preparation and properties of ionic-liquid mixed solutions as a safety electrolyte for lithium ion batteries. Int. J. Electrochem. Sci. 2011, 6, 2398–2410. [Google Scholar] [CrossRef]
- Yu, B.; Zhou, F.; Wang, C.; Liu, W. A novel gel polymer electrolyte based on poly ionic liquid 1-ethyl 3-(2-methacryloyloxy ethyl) imidazolium iodide. Eur. Polym. J. 2007, 43, 2699–2707. [Google Scholar]
- Choi, B. Optical microscopy study on the crystallization in PEO-salt polymer electrolytes. Solid State Ion. 2004, 168, 123–129. [Google Scholar] [CrossRef]
- Bruce, P.G.; Vincent, C.A. Steady state current flow in solid binary electrolyte cells. J. Electroanal. Chem. Interfacial Electrochem. 1987, 225, 1–17. [Google Scholar] [CrossRef]
- Evans, J.; Vincent, C.A.; Bruce, P.G. Electrochemical measurement of transference numbers in polymer electrolytes. Polymer 1987, 28, 2324–2328. [Google Scholar] [CrossRef]
- Zhu, C.; Cheng, H.; Yang, Y. Electrochemical Characterization of Two Types of PEO-Based Polymer Electrolytes with Room-Temperature Ionic Liquids. J. Electrochem. Soc. 2008, 155, A569. [Google Scholar] [CrossRef]
- Yamada, A.; Koizumi, H.; Nishimura, S.; Sonoyama, N.; Kanno, R.; Yonemura, M.; Nakamura, T.; Kobayashi, Y. Room-temperature miscibility gap in LixFePO4. Nat. Mater. 2006, 5, 357–360. [Google Scholar] [CrossRef] [PubMed]
- Krause, L.J.; Lamanna, W.; Summerfield, J.; Engle, M.; Korba, G.; Loch, R.; Atanasoski, R. Corrosion of aluminum at high voltages in non-aqueous electrolytes containing perfluoroalkylsulfonyl imides; new lithium salts for lithium-ion cells. J. Power Sources 1997, 68, 320–325. [Google Scholar] [CrossRef]
- Péter, L.; Arai, J. Anodic dissolution of aluminium in organic electrolytes containing per ¯ uoroalkylsulfonyl imides. J. Appl. Electrochem. 1999, 29, 1053–1061. [Google Scholar] [CrossRef]
- Scharner, S.; Weppner, W.; Schmid-Beurmann, P. Evidence of Two-Phase Formation upon Lithium Insertion into the Li1.33Ti1.67 O 4 Spinel. J. Electrochem. Soc. 1999, 146, 857–861. [Google Scholar] [CrossRef]
- Chawla, N.; Bharti, N.; Singh, S. Recent Advances in Non-Flammable Electrolytes for Safer Lithium-Ion Batteries. Batteries 2019, 5, 19. [Google Scholar] [CrossRef]
- Polu, A.R.; Kareem, A.A.; Rasheed, H.K. Thermal, electrical and electrochemical properties of ionic liquid-doped poly(ethylene oxide)–LiTDI polymer electrolytes for Li-ion batteries. J. Solid State Electrochem. 2023, 27, 409–416. [Google Scholar] [CrossRef]
- Chung, N.K.; Kwon, Y.D.; Kim, D. Thermal, mechanical, swelling, and electrochemical properties of poly(vinylidene fluoride)-co-hexafluoropropylene/poly(ethylene glycol) hybrid-type polymer electrolytes. J. Power Sources 2003, 124, 148–154. [Google Scholar] [CrossRef]
- Kiefer, J.; Fries, J.; Leipertz, A. Experimental Vibrational Study of Imidazolium-Based Ionic Liquids: Raman and Infrared Spectra of 1-Ethyl-3-methylimidazolium Bis(Trifluoromethylsulfonyl)imide and 1-Ethyl-3-methylimidazolium Ethylsulfate. Appl. Spectrosc. 2007, 61, 1306–1311. [Google Scholar] [CrossRef]










| Electrolyte Composition | Name | ||
|---|---|---|---|
| 25% PEO/75% PVDF-HFP | 1 LiTFSI | 1 EMITFSI | tPE PEO25PVDF-HFP75 |
| 30% PEO/70% PVDF-HFP | tPE PEO30PVDF-HFP70 | ||
| 35% PEO/65% PVDF-HFP | tPE PEO35PVDF-HFP65 | ||
| 40% PEO/60% PVDF-HFP | tPE PEO40PVDF-HFP60 | ||
| 45% PEO/55% PVDF-HFP | tPE PEO45PVDF-HFP55 | ||
| 50% PEO/50% PVDF-HFP | tPE PEO50PVDF-HFP50 | ||
| tPE PEOyPVDF-HFPz | Thickness (μm) | Ionic Conductivity at 30 °C (S cm−1) | EA1 (kJ mol−1) −20–30 °C | R2 Value (Ea1) | EA2 (kJ mol−1) 30–80 °C | R2 Value (Ea2) | |
|---|---|---|---|---|---|---|---|
| y | z | ||||||
| 25 | 75 | 118(6) | 2.40(8) 10−6 | 42.2(9) | 0.9979 | 69(2) | 0.9973 |
| 30 | 70 | 129(3) | 3.40(7) 10−5 | 50(3) | 0.9815 | 50(2) | 0.9922 |
| 35 | 65 | 187(2) | 7.7(3) 10−5 | 47(1) | 0.9960 | 56(3) | 0.9895 |
| 40 | 60 | 178(6) | 1.70(2) 10−5 | 41.8(6) | 0.9990 | 72(7) | 0.9597 |
| 45 | 55 | 182(5) | 2.80(9) 10−5 | 42.4(2) | 0.9999 | 73(3) | 0.9919 |
| 50 | 50 | 134(2) | 6.3(3) 10−6 | 40(1) | 0.9961 | 81(5) | 0.9801 |
| tPE PEOyPVDF-HFPz (y:z) | (µA) | (µA) | (Ω) | (Ω) | |
|---|---|---|---|---|---|
| 25:75 | 5.20 | 1.69 | 1437 | 1816 | 0.12 |
| 35:65 | 3.80 | 1.38 | 2017 | 2602 | 0.13 |
| 50:50 | 4.60 | 1.26 | 1560 | 1910 | 0.10 |
Disclaimer/Publisher’s Note: The statements, opinions and data contained in all publications are solely those of the individual author(s) and contributor(s) and not of MDPI and/or the editor(s). MDPI and/or the editor(s) disclaim responsibility for any injury to people or property resulting from any ideas, methods, instructions or products referred to in the content. |
© 2025 by the authors. Licensee MDPI, Basel, Switzerland. This article is an open access article distributed under the terms and conditions of the Creative Commons Attribution (CC BY) license (https://creativecommons.org/licenses/by/4.0/).
Share and Cite
Nguyen, H.B.T.; Ding, L.; Pohle, B.; Schmeida, T.; Nguyen, H.B.A.; Mikhailova, D. Ternary PEO/PVDF-HFP-Based Polymer Electrolytes for Li-Ion Batteries. Batteries 2025, 11, 45. https://doi.org/10.3390/batteries11020045
Nguyen HBT, Ding L, Pohle B, Schmeida T, Nguyen HBA, Mikhailova D. Ternary PEO/PVDF-HFP-Based Polymer Electrolytes for Li-Ion Batteries. Batteries. 2025; 11(2):45. https://doi.org/10.3390/batteries11020045
Chicago/Turabian StyleNguyen, Hoang Bao Tran, Ling Ding, Björn Pohle, Toni Schmeida, Hoang Bao An Nguyen, and Daria Mikhailova. 2025. "Ternary PEO/PVDF-HFP-Based Polymer Electrolytes for Li-Ion Batteries" Batteries 11, no. 2: 45. https://doi.org/10.3390/batteries11020045
APA StyleNguyen, H. B. T., Ding, L., Pohle, B., Schmeida, T., Nguyen, H. B. A., & Mikhailova, D. (2025). Ternary PEO/PVDF-HFP-Based Polymer Electrolytes for Li-Ion Batteries. Batteries, 11(2), 45. https://doi.org/10.3390/batteries11020045

