Next Article in Journal
A Physics-Guided Transformer for Robust State of Charge Estimation in Aging Lithium-Ion Batteries
Previous Article in Journal
Carbon-Based Anode Materials for Metal-Ion Batteries: Current Status, Challenges, and Future Directions
 
 
Font Type:
Arial Georgia Verdana
Font Size:
Aa Aa Aa
Line Spacing:
Column Width:
Background:
Article

Battery Parameter Identification and SOC Estimation Based on Online Parameter Identification and MIUKF

1
School of Electrical Engineering, Shanghai DianJi University, Shanghai 201306, China
2
School of Marine Science and Technology, Northwestern Polytechnical University, Xi’an 710072, China
*
Author to whom correspondence should be addressed.
Batteries 2025, 11(12), 445; https://doi.org/10.3390/batteries11120445
Submission received: 23 October 2025 / Revised: 17 November 2025 / Accepted: 21 November 2025 / Published: 3 December 2025

Abstract

Accurate state of charge (SOC) estimation is crucial for the safety, reliability, and energy efficiency of lithium-ion battery systems. However, variations in battery parameters and the loss of historical information during the update steps of traditional unscented Kalman filters (UKFs) often lead to decreased estimation accuracy under dynamic operating conditions. To address these issues, this paper proposes a variable forgetting factor recursive least squares (VFFRLS) algorithm combined with a multi-innovation unscented Kalman filter (MIUKF) algorithm. First, a second-order RC equivalent circuit model is established, and the battery parameters are identified online using the VFFRLS method, enabling the model to dynamically adapt to changing operating conditions. Then, multi-innovation theory is incorporated into the standard UKF, extending the single-innovation matrix to a multi-innovation matrix, effectively enhancing the utilization of historical residuals and improving robustness to measurement noise and model uncertainty. Experimental validation under four typical dynamic operating conditions (FUDS, DST, BJDST, and US06) demonstrates that the proposed method significantly improves SOC estimation accuracy. Compared to the traditional UKF, MIUKF reduces MAE and RMSE by 25–30% while maintaining real-time performance, with single-step computation time reaching the microsecond level. Robustness tests under different initial SOC errors further validate MIUKF’s strong robustness to initial biases. In summary, the proposed method provides an effective solution for high-precision SOC estimation of batteries and has the potential for application in battery management systems.

1. Introduction

Against the backdrop of the deepening global transition to new energy, the rapid development of new energy vehicles, new energy generation, and energy storage has brought enormous development space for the battery industry [1]. Lithium batteries have become the primary choice for batteries due to their high energy density and excellent performance [2]. The state of charge (SOC) of a battery determines whether power electronic devices can operate reliably and stably, and has become one of the research hotspots [3].
The direct estimation method of SOC includes the ampere-hour integration method [4], which is easily affected by noise and has low accuracy. The particle filtering algorithm [5] can denoise the results of ampere-hour integration, but it faces problems such as particle degradation and lack of particle diversity. The estimation method based on artificial intelligence has high accuracy [6], but requires a large amount of data for training and high-performance processor chips, resulting in high usage costs. The Kalman filter algorithm is adept at handling noise, requiring only state estimation and observation data, and does not require storing large amounts of data, making it a classic method for SOC estimation [7]. The Kalman filter algorithm can only be applied to linear systems, and linearization is required for nonlinear systems when in use. Therefore, the extended Kalman Filter (EKF) algorithm was proposed to locally linearize nonlinear systems by expanding the nonlinear system equations in a first-order Taylor expansion [8]. However, this algorithm ignores higher-order terms and requires a large amount of computation for the Jacobian matrix; the unscented Kalman filter (UKF) algorithm uses the unscented transform method [9] to avoid the use of linearized Jacobian matrices in the extended Kalman filter algorithm, and has high accuracy and convergence. The traditional unscented Kalman filtering algorithm only considers the previous state and does not take into account past innovation.
Based on the above analysis, to address the issues of inaccurate SOC estimation due to fixed battery model parameters and historical data loss during the UKF algorithm update phase, a variable forgetting factor least squares (VFFRLS) and multi-innovation unscented Kalman filter (MIUKF) algorithm are proposed. First, a second-order RC equivalent circuit model is established, and the VFFRLS algorithm is used for online parameter identification of the battery to obtain real-time parameter changes. Then, multi-innovation identification theory is integrated into the traditional UKF algorithm to form the MIUKF algorithm. This expands the single innovation into a multi-innovation matrix; that is, the single residual scalar is expanded into a residual matrix, and the Kalman gain scalar is expanded into a Kalman gain matrix. This improves the use of historical data and increases the update frequency of state variables, solving the problem of large errors caused by innovation loss during measurement correction when the measurement error is large during the UKF algorithm’s measurement update phase. Finally, the proposed algorithm is validated under FUDS, DST, BJDST, and US06 operating conditions.

2. Battery Model

2.1. Model Establishment

The battery model describes internal parameter variations through mathematical equations, and an accurate battery model is a prerequisite for accurate SOC estimation. This study adopts a second-order RC equivalent circuit model, which is composed of Ohmic resistance and two RC circuits connected in series. It can accurately reflect the electrochemical changes and Ohmic effects inside the battery, and has a simple and convenient structure for calculation. The model is shown in Figure 1.
Among them, Uoc is the open circuit voltage of the battery. U is the terminal voltage of the battery; R0 is the ohmic resistance; I is the circuit current; R1 and C1, respectively, represent the electrochemical polarization resistance and polarization capacitance; and R2 and C2, respectively, represent the concentration difference polarization resistance and polarization capacitance [10].
d U 1 t d t = U 1 t R 1 C 1 + I t C 1 d U 2 t d t = U 2 t R 2 C 2 + I t C 2
U t = U o c U 1 t U 2 t I t R 0
Based on the circuit model, establish Kirchhoff’s law equation:
Using the SOC of current, polarization voltage U1, and polarization voltage U2 as state variables, current I as input, and terminal voltage U as output, the state space equation is obtained:
S O C k + 1 U 1 , k + 1 U 2 , k + 1 = 1 0 0 0 e T R 1 C 1 0 0 0 e T R 2 C 2 S O C k U 1 , k U 2 , k + T Q s R 1 1 e T R 1 C 1 R 2 1 e T R 2 C 2 I k
U k = U o c , k U 1 , k U 2 , k I k R 0

2.2. OCV–SOC Relationship Fitting

There is a nonlinear relationship between the battery SOC and open circuit voltage. Polynomial fitting of the OCV and SOC can accurately represent the relationship between the two. By reading the OCV value, the state of charge of the battery can be inferred. The experimental temperature is 25 °C, and the battery is discharged at a constant current of 1/20C for 12 min and left to stand for 2 h. After the battery is left to stand, the voltage of the battery will gradually approach the corresponding SOC value through an increasing stage. As the discharge progresses, the OCV values corresponding to different SOC points will be read until the end of the discharge [11]. The cftool function in Matlab is used to perform polynomial curve fitting on the read values and fitting the curve with polynomials of 4th to 8th order, respectively, to obtain the fitted function relationship between the OCV and SOC. The fitting result is shown in Figure 2.
To ensure the accuracy of the model while preventing overfitting from negatively affecting generalization ability, this study evaluated polynomials of orders 4 to 8, with the evaluation results shown in Table 1. Since high-order fits tend to saturate and are difficult to distinguish based on conventional metrics like R-squared alone—which can misleadingly improve with increased model complexity—more sensitive metrics were required. To this end, unexplained variance (1 − R2) and adjusted unexplained variance (1 − Adj.R2) were introduced. UV provides a direct measure of the model’s prediction error, while AUV further penalizes model complexity, thereby providing a more reliable basis for model selection by balancing goodness-of-fit with parsimony.Additionally, RMSE was introduced as an evaluation metric for its intuitive interpretation.
Analysis shows that as the order increases from 4 to 5, the unexplained variance significantly decreases from 1.015 × 10−3 to 3.500 × 10−4, resulting in a substantial improvement in fitting accuracy. However, when the order increases to 6, the unexplained variance is slightly higher than that of the 5th order, indicating that the increase in complexity outweighs its contribution to fitting accuracy. The 7th order polynomial fitting achieves the best performance in error assessment. Among all results, this fitting achieves the lowest adjusted unexplained variance (6.120 × 10−4), while its RMSE also drops to a minimum of 2.525 × 10−3. In contrast, although the RMSE of the 8th order fitting slightly decreases to 2.521 × 10−3, its adjusted unexplained variance (1.221 × 10−3) deteriorates significantly, far exceeding that of the 7th order model, indicating overfitting. Therefore, based on a comprehensive consideration of minimizing error and minimizing adjusted unexplained variance, the 7th order polynomial is used for data fitting.

3. Online Parameter Identification Based on VFFRLS

During the charging and discharging process of lithium batteries, the internal chemical reactions are relatively complex. As factors such as battery SOC, external temperature, and cycle times change, the model parameters will also change [12]. To reduce the problem of inaccurate SOC estimation caused by model parameter changes, it is necessary to perform online parameter identification of the battery model parameters in order to update the model parameters in real time and obtain more accurate SOC estimation results. The commonly used online parameter identification method is the forgetting factor least squares method [13], where the role of the forgetting factor is to avoid data saturation problems and increase the use of current data. When the forgetting factor is set to 1, it represents the ordinary recursive least squares algorithm. When the forgetting factor is set to 0, the algorithm has strong adaptability, but it may cause fluctuations in the algorithm. Usually, the rounding method [14] is used to select an appropriate forgetting factor, which is not only cumbersome but also the fixed forgetting factor cannot adapt to the dynamic working conditions of the battery. Therefore, this study adopts the variable forgetting factor least squares method to automatically adjust the forgetting factor according to the operating status, achieving online parameter identification of the battery.
According to the battery model diagram, the following state equation can be obtained.
G s = U o c s U s I s = R 0 + R 1 1 + R 1 C 1 s + R 2 1 + R 2 C 2 s
By substituting s = 2 1 z 1 / T 1 + z 1 into the above equation, we obtain:
G s = a 3 a 4 + a 5 1 + a 1 a 2 s 2 + 4 a 3 a 5 T 1 + a 1 a 2 s + 4 a 3 + a 4 + a 5 T 2 1 + a 1 a 2 s 2 + 4 1 + a 2 T 1 + a 1 a 2 s + 4 1 a 1 a 2 T 2 1 + a 1 a 2
a i represents the corresponding constant, and, after discretization, the difference equation is obtained:
y k = a 1 y k 1 + a 2 y k 2 + a 3 I k + a 4 I k 1 + a 5 I k 2
In the formula, y k is the response of the system, and I k is the system excitation. This can lead to:
φ k = y ( k 1 ) y ( k 2 ) I ( k ) I ( k 1 ) I ( k 2 )
θ ( k ) = a 1 a 2 a 3 a 4 a 5
Then rewrite the equation as:
y k = φ T k θ k + e k
In the formula, φ ( k ) is the system variable, θ ( k ) is the parameter variable, and e k is the prediction error.
The steps for online parameter identification of battery models using VFFRLS are as follows:
Step 1: Initialize the covariance matrix P ( 0 ) , parameter matrix θ 0 , and initial forgetting factor λ 0 .
Step 2: Calculate the gain matrix K ( k ) :
K ( k ) = P ( k 1 ) φ ( k ) [ λ ( k 1 ) + φ T ( k ) P ( k 1 ) φ ( k ) ] 1
Step 3: Calculate the posterior error e ( k ) :
e k = y k φ T k θ k 1
Step 4: Calculate the estimated value of the parameter estimation matrix θ at time k:
θ k = θ k 1 + K k e k
Step 5: Update the parameter covariance matrix P k :
P ( k ) = [ P ( k 1 ) K ( k ) φ T ( k ) P ( k 1 ) ] ( λ k 1 ) 1
Step 6: Update the forgetting factor λ k :
λ k = 1 e k e k T 1 + K ( k ) T P ( k ) K ( k )
Repeat steps 2 to 6 to obtain the directly identified parameter θ ( k ) , and then separate these directly identified results into the specific parameters of the model. The formula is as follows:
R 0 = ( a 4 a 3 + a 5 ) / ( 1 + a 1 a 2 ) τ 1 τ 2 = T 2 1 + a 1 a 2 / ( 4 1 a 1 a 2 ) τ 1 + τ 2 = T 1 + a 2 / ( 1 a 1 a 2 ) R 0 + R 1 + R 2 = ( a 3 + a 4 + a 5 ) / ( 1 a 1 a 2 ) R 0 τ 1 + R 0 τ 2 + R 1 τ 2 + R 2 τ 1 = T a 3 a 5 / ( 1 a 1 a 2 ) C 1 = τ 1 / R 1 C 2 = τ 2 / R 2

4. MIUKF Algorithm Estimates Battery SOC

The traditional unscented Kalman filter reflects the adjustment of state variables through the product of Kalman gain and innovation. When the observed covariance does not match the system noise or the observation error is large, using only a single innovation as the measurement error will result in innovation loss during measurement correction, leading to an increase in estimation error. Therefore, this article utilizes multi-innovation identification theory to extend single innovation to a multi-innovation matrix, that is, to extend a single residual scalar to a residual matrix and a Kalman gain scalar to a Kalman gain matrix. In the measurement update stage, historical innovation is fully utilized to update the state variables, and the MIUKF algorithm is constructed by combining the values with the UKF algorithm to estimate the SOC of the battery.
If the current state is used to estimate the next state, there will be a lack of use of historical data during the iteration process, which is called a single innovation estimation process [15]. If the use of historical innovation can be increased, the accuracy of estimating the current state will be improved. Therefore, extending a single update to a multi-update matrix, fully considering the useful innovation in historical data, can improve estimation accuracy and stability. Innovation is defined as comparing the difference between measured values and predicted values, which can be expressed by the following equation:
e k + 1 = Z k + 1 Z ^ k + 1
The multi-innovation vector for state estimation is constructed as follows:
E p , k + 1 = e k + 1 e k e k p = Z k + 1 Z ^ k + 1 Z k Z ^ k Z k + p Z ^ k + p
Among them, p is the length of historical innovations.
The steps for estimating battery SOC using the MIUKF algorithm are as follows:
Step 1: Initialize state variables and error covariance.
x ^ 0 = E x 0 P 0 = E [ x 0 x ^ 0    ( x 0 x ^ 0 ) T ]
Step 2: Obtain the Sigma point set of state variables, corresponding weights, and nonlinear transfer function through UT transformation.
X k 0 = x ^ k ,   i = 1 X k i = x ^ k + ( n + λ ) P k | k ,   i = 2 , ,   n + 1 X k i = x ^ k ( n + λ ) P k | k ,   i = n + 2 , ,   2 n + 1
W 0 m = λ n + λ i = 0 W 0 c = λ n + λ + 1 α 2 + β             i = 0 W i m = W i c = 1 2 ( n + λ ) i = 1 , 2 , , 2 n
γ k + 1 | k i = f ( X k | k i , u k )
Step 3: State variable estimation and error covariance update.
x ^ k + 1 | k = i = 1 2 n + 1 ( W i m ) γ k + 1 | k i
P k + 1 | k = i = 1 2 n + 1 ( W i m ) ( γ k + 1 | k i x ^ k + 1 | k ) ( γ k + 1 | k i x ^ k + 1 | k ) T + Q k
Step 4: Using the measurement function ξ k + 1 | k i = G ( γ k + 1 | k i , u k ) , update the observed values, the variance of the observation equation, and the covariance of the state variables.
Z ^ p , k + 1 | k = i = 1 2 n + 1 ( W i m ) ξ ˙ p , k + 1 | k i
P y y , p , k + 1 | k = i = 1 2 n + 1 ( W i c ) ( ξ p , k + 1 | k i Z ^ p , k + 1 | k ) ( ξ p , k + 1 | k i Z ^ p , k + 1 | k ) T + R p , k + 1
P x y , p , k + 1 | k = i = 1 2 n + 1 ( W i c ) ( γ k + 1 | k i x ^ k + 1 | k ) ( ξ k + 1 | k i Z ^ p , k + 1 | k ) T
Step 5: The Kalman gain is
K p , k + 1 = P x y , p , k + 1 | k ( P y y , p , k + 1 | k ) 1
Step 6: Update the posterior state value.
x ^ k + 1 | k + 1 = x ^ k + 1 | k + K p , k + 1 E p , k + 1
Step 7: Update the posterior state error covariance.
P k + 1 | k + 1 = P k + 1 | k K p , k + 1 P y y , p , k + 1 | k K p , k + 1 T
The main steps of VFFRLS and MIUKF have been introduced earlier. By combining these two, the algorithm flowchart of VFFRLS–MIUKF can be obtained, as shown in Figure 3.

5. Experimental Verification and Analysis

5.1. VFFRLS Algorithm Validation

This article uses the publicly available dataset from the University of Maryland, which focuses on INR 18,650 lithium batteries with a rated capacity of 2 Ah [16]. The batteries are discharged using the City Road Cycle (FUDS) test condition at 25 °C, and data such as test time, battery voltage, and current are recorded during the process [17]. This operating condition simulates the complex road conditions of urban traffic, including multiple acceleration, deceleration, constant speed, and idle stages, which can better reflect the actual performance of the battery during use. The battery was also tested under dynamic stress testing (DST) conditions at 25 °C. This test simulates the impact of different driving stages, such as acceleration, constant speed, deceleration, and regenerative braking, on the battery to assess its performance. VFFRLS is used for the online parameter identification of recorded data. The initial SOC value of the battery in this dataset starts from 0.8. Considering that the battery life will be damaged when the battery power is below 10% in actual use, the SOC of the lithium battery in this article is kept at 0.1–0.8. The results of the online parameter identification of the battery are shown in Figure 4 and Figure 5.
From the identification results, it can be seen that VFFRLS can dynamically identify the parameters of the battery. In the early stage of identification, due to the large difference between the initial values of the set model and the true values, the parameters fluctuate greatly. However, as online identification progresses, the parameter fluctuations tend to flatten out afterwards. In the middle and later stages of identification, it was observed that the parameters would fluctuate every once in a while, which was caused by the sudden changes in current and voltage during the operation of the battery. This indicates that the algorithm adapts dynamically: initial fluctuations diminish as the estimated parameters converge toward real operating values. In addition, it can be observed that the Ohmic resistance R0 has a relatively small and smooth fluctuation after the initial fluctuation. The fluctuation of solubility difference polarization resistance R1 and electrochemical polarization resistance R2 is relatively large, and the fluctuation of concentration difference polarization capacitance C1 and electrochemical polarization capacitance C2 is also quite severe. This is due to the polarization phenomenon that occurs during the operation of the battery [18], indicating that the internal chemical reaction of the battery is relatively intense.
The VFFRLS method can effectively track parameter changes under dynamic conditions, but its estimation accuracy may be affected when measurement noise is high. Future parameter identification work can draw on the high-precision noise-resistant parameter estimation methods proposed for fuel cell voltage models, and by introducing more advanced noise processing mechanisms or optimization strategies, the stability and accuracy of parameter identification can be further improved.

5.2. MIUKF Algorithm Validation

5.2.1. Selection of Innovation Factors

In MIUKF-based SOC estimation, the selection of the multiple innovation factor p significantly impacts filtering performance. Unlike traditional UKF, which uses only a single innovation at the current time, MIUKF incorporates innovations from multiple historical moments. This allows for more efficient utilization of past observations, even in noisy environments or when model errors exist, thus suppressing transient deviations and improving steady-state estimation accuracy. However, the innovation factor p must be carefully chosen: too small a p leads to insufficient utilization of historical innovation, while too large a p may introduce fluctuations or numerical instability. Therefore, a suitable p value is crucial for ensuring the stability and accuracy of MIUKF estimation. This section compares and analyzes the SOC estimation results under different p values to determine a more suitable innovation length for battery characteristics. The FUDS operating condition was selected for estimation, with innovation factors ranging from 1 to 5, to evaluate the impact of different innovation factors on the SOC estimation results. The estimation results are shown in Figure 6.
As shown in Figure 6, the smoothness and accuracy of the SOC estimation improve with the increase in the innovation factor, indicating that introducing appropriate historical innovation can effectively improve the estimation accuracy. The error graph shows that when p = 1, it is equivalent to the ordinary UKF, with the highest error level. When p = 2 and p = 3, the accuracy improves significantly, especially around 3500 s and 8000 s, where the estimation results fluctuate dramatically, with the fluctuations being more pronounced at p = 1. The algorithm with added innovation has a lower bias, indicating more accurate estimation results under this condition. Table 2 shows that when p = 2 and p = 3 the accuracy improves significantly, with MAE and RMSE decreasing by 0.58% and 0.70%, respectively, compared to p = 1 by approximately 25.6% and 27.1%. However, the computational complexity of the innovation factor increases cubically with p. When p increases from 3 to 4, the computational cost increases by approximately 70%, while the accuracy only improves by about 5%. Furthermore, as historical innovation increases, the noise contained within accumulates and is amplified, which can easily cause fluctuations in the estimation. An appropriate p can improve accuracy, but an excessively large p will result in excessive memory usage, delaying the filtering effect and slowing down the convergence speed. Considering both estimation accuracy and real-time performance, p = 3 is chosen, allowing MIUKF to maintain good accuracy while also achieving good real-time performance.

5.2.2. SOC Estimation Verification Under Different Operating Conditions

To further verify the accuracy of the MIUKF algorithm in estimating the SOC, a comparative experiment was conducted using the publicly available experimental dataset provided by the University of Maryland. Four typical operating conditions, FUDS, DST, BJDST, and US06, were selected to verify the SOC estimation performance. These different operating conditions allow for a more comprehensive evaluation of the algorithm’s performance. This paper compares the MIUKF and UKF estimation algorithms. The real SOC is analyzed using ampere-hour integrals. The SOC estimation results are shown in Figure 7, Figure 8, Figure 9 and Figure 10. To ensure fairness, all algorithms used the same initialization parameters, the specific values of which are shown in Table 3 below.
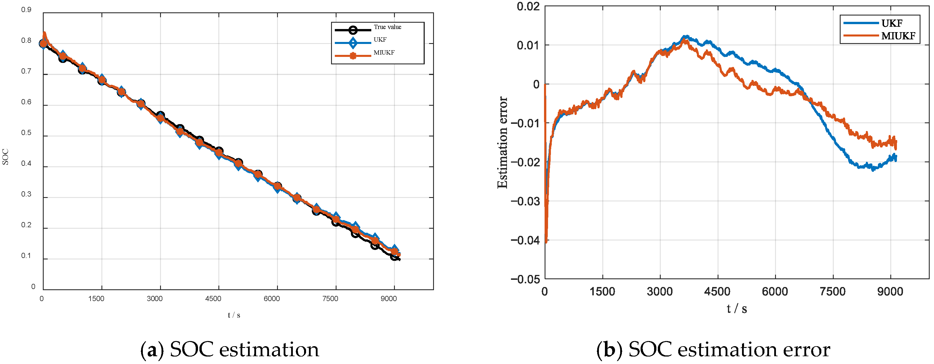
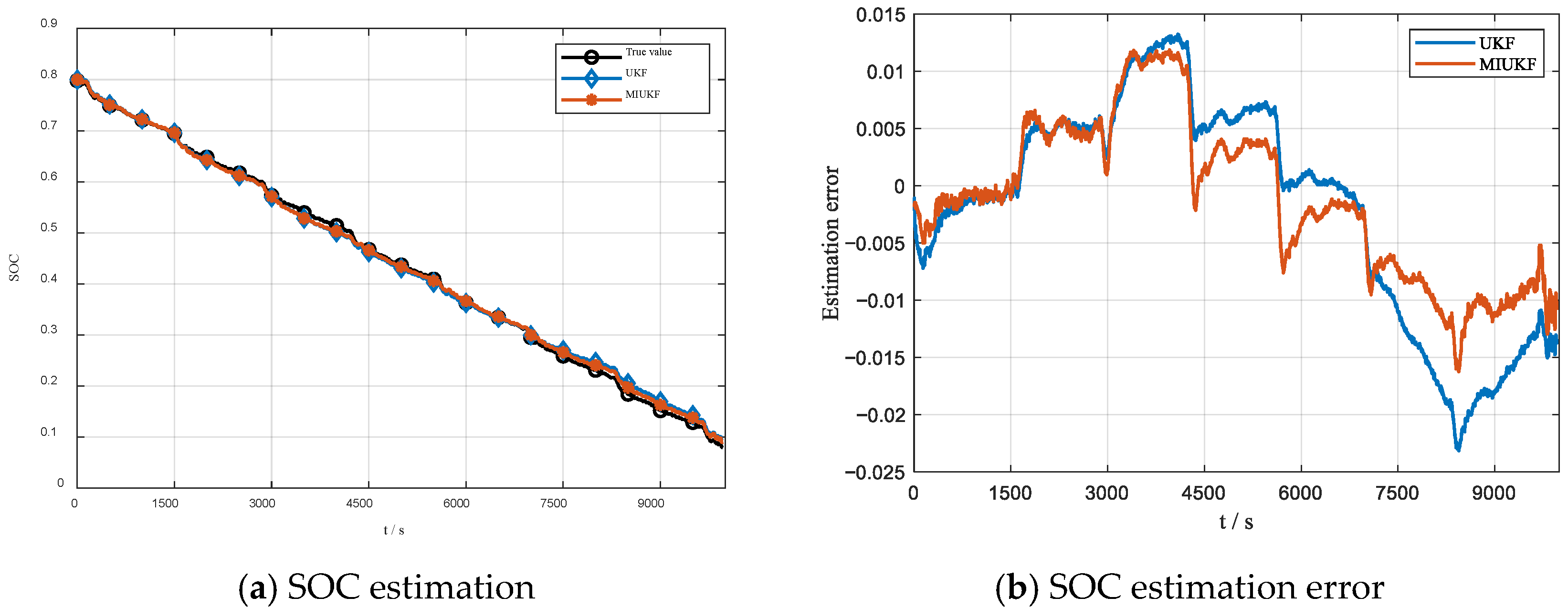
As can be seen from the SOC estimation error curves under the four operating conditions, the MIUKF algorithm generally exhibits higher estimation accuracy. In the initial stage (approximately 0–3000 s), the estimation errors of UKF and MIUKF are quite similar, remaining essentially consistent. This is because the system is in a weakly nonlinear region at this time, where the traditional UKF already demonstrates good estimation accuracy. However, after 3000 s, the model uncertainty gradually increases, especially around 7500 s to 9000 s. Due to the inaccuracy of the battery model, UKF exhibits significant fluctuations and increased errors. MIUKF, which fully utilizes historical innovations, shows a significant advantage at this point. Figure 7 at 4500 s and 5800 s shows that when the error fluctuates significantly, the MIUKF estimation shows more dramatic fluctuations. This is because MIUKF introduces innovations from multiple time points, increasing the utilization rate of innovations. When there is significant noise from the sensor or model deviation, this strategy of multiple innovations more clearly reflects these anomalies, resulting in larger fluctuations over a period of time. However, overall, MIUKF exhibits smaller fluctuations and better stability.
Table 4 provides specific quantitative indicators. In this article, we use Mean Absolute Error (MAE) and Root Mean Square Error (RMSE) as measurements of accuracy [19]. Under the FUDS condition, the UKF’s mean absolute error is 0.78% and its root mean square error is 0.98%, while the MIUKF reaches 0.58% and 0.70%, respectively, representing a 25% to 30% reduction in error margin. Under the DST condition, the UKF’s mean absolute error is 0.76% and its root mean square error is 0.90%, while the MIUKF reaches 0.54% and 0.64%, respectively. Under the BJDST condition, the UKF’s mean absolute error is 0.89% and its root mean square error is 1.12%, while the MIUKF reaches 0.67% and 0.85%, respectively. Under the US06 condition, the UKF’s mean absolute error is 0.94% and its root mean square error is 1.15%, while the MIUKF reaches 0.71% and 0.91%, respectively. In terms of computation time, the overall computation time and single computation time of MIUKF are basically twice that of UKF. For example, the computation time in the US06 condition is the highest among the four conditions. The single-step computation time of MIUKF is 82 μs, which is higher than that of UKF (42 μs). However, the overall computation time is 0.779 s, which is still in the millisecond level and meets the real-time requirements of the battery management system.

5.2.3. Robustness Test

In order to verify the accuracy of MIUKF algorithm for battery SOC estimation, experimental data from the University of Maryland in the United States were used to validate the SOC estimation of the battery under FUDS and DST conditions, and were compared with EKF and UKF algorithms. The true value of SOC was obtained by the ampere-hour integration method. To ensure the fairness of the comparison, all algorithms participating in the comparison use the same set of initial parameters. The SOC estimation results are shown in Figure 11.
The initial values for the same parameters are set as shown in Table 5.
As we know that tracking accuracy of SOC estimation process is very important in SOC estimation [20]. As shown in Figure 11, the MIUKF algorithm exhibits good convergence performance under different initial SOC error conditions. Despite a large initial error, the algorithm can converge to near the true value in a short time by utilizing historical innovation through the multi-innovation matrix. This demonstrates the advantage of MIUKF over UKF, improving robustness to initial errors. The convergence time is the same for initial SOCs of 0.6 and 0.5, reflecting the stable convergence characteristics of the algorithm within a large initial error range. Although the convergence time is the same, the difference between the IAE and ISE indices reveals different dynamic characteristics during the convergence process. This result indicates that the MIUKF algorithm has strong robustness and can effectively handle different degrees of initial errors, providing a theoretical basis for the practical application of battery management systems.

6. Summary and Outlook

Lithium-ion batteries are a major power source for modern technology, and SOC estimation is a crucial part of battery management systems. To improve the accuracy of SOC estimation, this paper proposes a fusion algorithm based on variable forgetting factor least squares and multi-innovation unscented Kalman filtering. The following conclusions are drawn from the research:
(1) This paper establishes a second-order RC equivalent circuit model that can effectively describe the dynamic characteristics of lithium batteries. The VFFRLS algorithm is used for online parameter identification of the battery model, and the forgetting factor is automatically adjusted according to the operating state to make the identified parameters more consistent with dynamic operating conditions. This improves the model’s adaptability and lays the foundation for accurate SOC estimation.
(2) To address the issue of historical data loss during the state update phase in traditional UKF (unscented Kalman filtering), a multi-innovation identification theory is integrated into the UKF algorithm to form the multi-innovation unscented Kalman filtering (MIUKF) algorithm. This algorithm expands the single innovation into a multi-innovation matrix; that is, it expands the single residual scalar into a residual matrix and the Kalman gain scalar into a Kalman gain matrix, thus improving the utilization of historical data. Experiments under FUDS, DST, BJDST, and US06 operating conditions show that this algorithm can effectively improve the accuracy of SOC estimation. Compared with traditional UKF, MIUKF reduces the mean absolute error by approximately 25–30% and exhibits better convergence speed.
(3) Although the computational complexity of the MIUKF algorithm is about twice that of the UKF algorithm, the single-step computation time is still kept at the microsecond level, for example, 82μs under the US06 condition, which fully meets the real-time requirements of the battery management system and has the potential to be implemented on embedded platforms.
However, this study still has some limitations. For example, it only investigated the validation at room temperature (25 °C) and did not fully consider the impact of temperature changes on the battery model parameters. Furthermore, nonlinear characteristics such as battery hysteresis were not incorporated into the model. Future research could utilize non-invasive detection techniques such as joint SOC and temperature estimation based on ultrasonic reflection to construct a multi-physics coupled model, thereby improving the algorithm’s robustness in complex environments. Current validation focuses only on a specific type of 18,650 battery; batteries with different chemical systems have not been fully considered. Future work will expand the battery range to demonstrate its universality.
In summary, the algorithm proposed in this paper offers an effective solution for high-precision SOC estimation. Although it has some limitations, it lays the foundation for subsequent research, and its ideas can be applied to battery management systems.

Author Contributions

Funding acquisition, Y.H. and G.P.; Investigation, L.Z. (Liteng Zeng); Methodology, L.Z. (Liteng Zeng); Validation, L.Z. (Liteng Zeng); Writing—review and editing, L.Z. (Lei Zhao); Supervision, Y.S. All authors have read and agreed to the published version of the manuscript.

Funding

This research was supported by the National Natural Science Foundation of China (No. 21905231), and the Fundamental Research Funds for the Central Universities.

Data Availability Statement

The raw data supporting the conclusions of this article will be made available by the authors on request.

Conflicts of Interest

The authors declare no conflict of interest.

References

  1. Zhao, W.; Luethje, B. Manufacturing Competency from Local Clusters: Roots of the Competitive Advantage of the Chinese Electric Vehicle Battery Industry. World Electr. Veh. J. 2025, 16, 319. [Google Scholar] [CrossRef]
  2. Niu, H.; Zhang, N.; Lu, Y.; Zhang, Z.; Li, M.; Liu, J.; Song, W.; Zhao, Y.; Miao, Z. Strategies toward the development of high-energy-density lithium batteries. J. Energy Storage 2024, 88, 111666. [Google Scholar] [CrossRef]
  3. Ding, Y.; Zhang, T.; Cheng, B.; Yang, Y.; Deng, D.; Li, W. State-of-Charge Estimation of the Battery Based on Improved Equivalent Circuit Model and Adaptive Extended Kalman Filter. In Proceedings of the 2025 IEEE International Conference on Industrial Technology (ICIT), Wuhan, China, 26–28 March 2025; pp. 1–6. [Google Scholar]
  4. Zhang, X.; Hou, J.; Wang, Z.; Jiang, Y. Study of SOC estimation by the ampere-hour integral method with capacity correction based on LSTM. Batteries 2022, 8, 170. [Google Scholar] [CrossRef]
  5. Yun, X.; Zhang, X.; Wang, C.; Fan, X. Online parameters identification and state of charge estimation for lithium-ion batteries based on improved central difference particle filter. J. Energy Storage 2023, 70, 107987. [Google Scholar] [CrossRef]
  6. Chan, H.T.J.; Rubeša-Zrim, J.; Pichler, F.; Salihi, A.; Mourad, A.; Šimić, I.; Časni, K.; Veas, E. Explainable Artificial Intelligence for State of Charge Estimation of Lithium-Ion Batteries. Appl. Sci. 2025, 15, 5078. [Google Scholar] [CrossRef]
  7. Xia, B.; Wang, H.; Tian, Y.; Wang, M.; Sun, W.; Xu, Z. State of Charge Estimation of Lithium-Ion Batteries Using an Adaptive Cubature Kalman Filter. Energies 2015, 8, 5916–5936. [Google Scholar] [CrossRef]
  8. Li, G.; Mao, Q.; Yang, F. Extended Kalman Filter Algorithm for Accurate State-of-Charge Estimation in Lithium Batteries. Processes 2024, 12, 1560. [Google Scholar] [CrossRef]
  9. Fang, F.; Ma, C.; Ji, Y. A method for state of charge and state of health estimation of lithiumbatteries based on an adaptive weighting unscented Kalman filter. Energies 2024, 17, 2145. [Google Scholar] [CrossRef]
  10. Xu, R.; Tang, S.; Li, X.; Guo, H.; Wang, Z.; Li, G.; Wang, J.; Duan, H.; Peng, W.; Yan, G. Relieving concentration polarization through electrode structure optimization based on direct current internal resistance decomposition. Energy Storage Mater. 2025, 75, 104013. [Google Scholar] [CrossRef]
  11. Wang, L.; Duan, J.; Fan, S.; Zhao, K. An estimated value compensation method for state of charge estimation of lithium battery based on open circuit voltage change rate. Energy 2024, 313, 134119. [Google Scholar] [CrossRef]
  12. Zhao, J.; Qian, X.; Jiang, B.; Wang, B. Lithium battery model parameter identification based on the GA-LM algorithm. Int. J. Green Energy 2024, 21, 1147–1160. [Google Scholar] [CrossRef]
  13. Wu, M.; Wang, L.; Wu, J. State of health estimation of the LiFePO4 power battery based on the forgetting factor recursive Total Least Squares and the temperature correction. Energy 2023, 282, 128437. [Google Scholar] [CrossRef]
  14. Wang, L.; Duan, J.; Zhao, K.; Sun, L. Online state of charge estimation of LiFePO4 battery based on EKF-AUKF algorithm with reference compensation for estimation results. J. Energy Storage 2024, 100, 113504. [Google Scholar] [CrossRef]
  15. Fall, M.; Yu, C.; Takyi-Aninakwa, P.; Wang, S.; Ali, T.S.; Zhang, L. A multi-measurement exponential gain unscented Kalman filter-based state of charge estimation for lithium-ion batteries with temperature adaptability. Ionics 2025, 31, 6919–6933. [Google Scholar] [CrossRef]
  16. Chai, H.; Chen, Y. Multi-time scale framework for co-estimation of state of charge and unknown parameters of lithium-ion batteries based on fractional-order model. J. Energy Storage 2025, 133, 117956. [Google Scholar] [CrossRef]
  17. Ye, Z.; Ye, Z.; Zhang, D.; Ge, Q. SOC Estimation of Lithium-ion Battery Based on Dual Time Scale SVD-UKF Algorithm. In Proceedings of the 2024 IEEE 7th International Conference on Industrial Cyber-Physical Systems (ICPS), St. Louis, MO, USA, 12–15 May 2024; pp. 1–6. [Google Scholar]
  18. Zhu, G.; Kong, C.; Wang, J.V.; Kang, J.; Yang, G.; Wang, Q. A fractional-order model of lithium-ion battery considering polarization in electrolyte and thermal effect. Electrochim. Acta 2023, 438, 141461. [Google Scholar] [CrossRef]
  19. Liu, Z.; Chen, J.; Fan, Q.; Wang, D. A key-term separation based least square method for Hammerstein SOC estimation model. Sustain. Energy Grids Netw. 2023, 35, 101089. [Google Scholar] [CrossRef]
  20. Luo, C.; Li, Y.; Yang, T.; You, J.; Xu, H. Application-Oriented State-of-Charge Estimation of Lithium-ion Batteries Based on Appropriate Modeling and EKF. In Proceedings of the 2024 IEEE 13th Data Driven Control and Learning Systems Conference (DDCLS), Kaifeng, China, 17–19 May 2024; pp. 7–12. [Google Scholar]
Figure 1. Second-order RC equivalent circuit model.
Figure 1. Second-order RC equivalent circuit model.
Batteries 11 00445 g001
Figure 2. OCV–SOC relationship curve.
Figure 2. OCV–SOC relationship curve.
Batteries 11 00445 g002
Figure 3. Algorithm flowchart of VFFRLS–MIUKF.
Figure 3. Algorithm flowchart of VFFRLS–MIUKF.
Batteries 11 00445 g003
Figure 4. FUDS operating condition battery parameter identification results.
Figure 4. FUDS operating condition battery parameter identification results.
Batteries 11 00445 g004
Figure 5. DST operating condition battery parameter identification results.
Figure 5. DST operating condition battery parameter identification results.
Batteries 11 00445 g005aBatteries 11 00445 g005b
Figure 6. Comparison of SOC estimations for different innovation factors.
Figure 6. Comparison of SOC estimations for different innovation factors.
Batteries 11 00445 g006
Figure 7. SOC estimation comparison under FUDS conditions.
Figure 7. SOC estimation comparison under FUDS conditions.
Batteries 11 00445 g007
Figure 8. SOC estimation comparison under DST conditions.
Figure 8. SOC estimation comparison under DST conditions.
Batteries 11 00445 g008
Figure 9. SOC estimation comparison under BJDST conditions.
Figure 9. SOC estimation comparison under BJDST conditions.
Batteries 11 00445 g009
Figure 10. SOC estimation comparison under US06 conditions.
Figure 10. SOC estimation comparison under US06 conditions.
Batteries 11 00445 g010
Figure 11. SOC estimation under different initial values.
Figure 11. SOC estimation under different initial values.
Batteries 11 00445 g011
Table 1. Polynomial fitting comparison table.
Table 1. Polynomial fitting comparison table.
Order 1 R 2 1 A d j . R 2 RMSE
41.015 × 10−31.827 × 10−36.896 × 10−3
53.500 × 10−47.870 × 10−44.049 × 10−3
63.280 × 10−49.840 × 10−43.921 × 10−3
71.360 × 10−46.120 × 10−42.525 × 10−3
81.360 × 10−41.221 × 10−32.521 × 10−3
Table 2. Comparison of different innovation factor estimates.
Table 2. Comparison of different innovation factor estimates.
Innovation FactorsMAE/%RMSE/%Computational Complexity
10.780.98 O ( 1 )
20.640.77 O ( 2 3 )
30.580.70 O ( 3 3 )
40.560.67 O ( 4 3 )
Table 3. Algorithm initial value setup.
Table 3. Algorithm initial value setup.
Parameter TypeSymbolInitial Value
error covarianceP d i a g [ 10 4 , 10 4 , 10 2 ]
process noise covarianceQ d i a g [ 10 5 , 10 5 , 10 5 ]
measurement noise covarianceR 10 2
Table 4. Comparison of SOC estimation performance under different operating conditions.
Table 4. Comparison of SOC estimation performance under different operating conditions.
ConditionsAlgorithmMAE/%RMSE/%Total Time/sSingle Step Time/μs
FUDSUKF0.780.980.30831
MIUKF0.580.700.76977
DSTUKF0.760.900.42945
MIUKF0.540.640.73977
BJDTUKF0.891.120.40943
MIUKF0.670.850.75179
US06UKF0.941.150.40242
MIUKF0.710.910.77982
Table 5. Convergence performance analysis of SOC estimation algorithm.
Table 5. Convergence performance analysis of SOC estimation algorithm.
SOC Initial ValueConvergence Time/sNumber of IterationsIAEISE
0.7440.25280.0189
0.611110.86520.1054
0.511111.38920.2678
Disclaimer/Publisher’s Note: The statements, opinions and data contained in all publications are solely those of the individual author(s) and contributor(s) and not of MDPI and/or the editor(s). MDPI and/or the editor(s) disclaim responsibility for any injury to people or property resulting from any ideas, methods, instructions or products referred to in the content.

Share and Cite

MDPI and ACS Style

Zeng, L.; Zhao, L.; Song, Y.; Hu, Y.; Pan, G. Battery Parameter Identification and SOC Estimation Based on Online Parameter Identification and MIUKF. Batteries 2025, 11, 445. https://doi.org/10.3390/batteries11120445

AMA Style

Zeng L, Zhao L, Song Y, Hu Y, Pan G. Battery Parameter Identification and SOC Estimation Based on Online Parameter Identification and MIUKF. Batteries. 2025; 11(12):445. https://doi.org/10.3390/batteries11120445

Chicago/Turabian Style

Zeng, Liteng, Lei Zhao, Youwei Song, Yuli Hu, and Guang Pan. 2025. "Battery Parameter Identification and SOC Estimation Based on Online Parameter Identification and MIUKF" Batteries 11, no. 12: 445. https://doi.org/10.3390/batteries11120445

APA Style

Zeng, L., Zhao, L., Song, Y., Hu, Y., & Pan, G. (2025). Battery Parameter Identification and SOC Estimation Based on Online Parameter Identification and MIUKF. Batteries, 11(12), 445. https://doi.org/10.3390/batteries11120445

Note that from the first issue of 2016, this journal uses article numbers instead of page numbers. See further details here.

Article Metrics

Back to TopTop