Study on the Preventive Effect of Au/CeO2 on Lithium-Ion Battery Thermal Runaway Caused by Overcharging
Abstract
1. Introduction
2. Materials and Methods
2.1. Reagents and Instruments
2.2. Preparation of Composite Catalyst
2.3. Preparation of Prototype Battery
2.4. Characterization Methods
2.5. Thermal Runaway Test Methods
3. Characterization of Anode Catalytic Material Performance
3.1. Physicochemical Properties and BET Characterization
3.2. SEM Characterization
3.3. Transmission Electron Microscope Characterization
3.4. XPS Characterization
3.5. Performance of Catalytic Oxidation of CO
4. Performance and Thermal Runaway Testing of Prototype Batteries
4.1. Preparation of Anode and Electrochemical Performance
4.2. Battery Activation and Capacity Decay
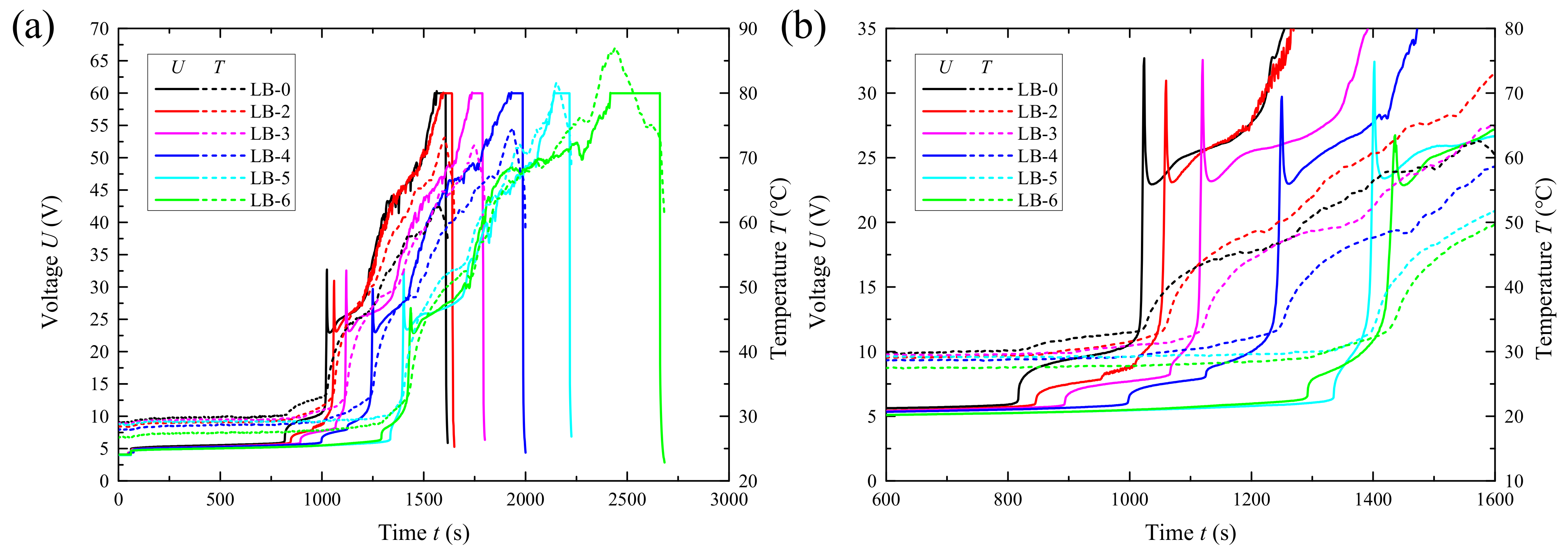
4.3. Overcharge Testing
4.4. Thermal Runaway Testing
5. Conclusions
- (1)
- The Au/CeO2 catalyst, prepared via the hydrothermal method, possesses a favorable flower-like surface structure, providing a high specific surface area of 92.868 m2·g−1. This structure also prevents the aggregation of supported Au. Characterization techniques such as XRD and SEM confirmed the uniform dispersion of Au particles on the catalyst support surface. XPS analysis indicated that the synergistic effect between metal and metal oxide effectively enhances the catalytic activity of the catalyst.
- (2)
- The catalytic oxidation performance of the supported catalyst for CO was evaluated using a fixed-bed reactor. The results showed that the CO concentration could be reduced from 10,000 ppm to 10 ppm within 10 min, reaching a minimum of 3.2 ppm within 60 min. The effective elimination rate of CO exceeded 99.97%, demonstrating the catalyst’s excellent CO catalytic activity.
- (3)
- Prototype batteries were fabricated using composite anode materials consisting of different proportions of catalyst and graphite. After 100 h of formation, the OCV of the battery with added catalyst stabilized at 4.05 V ± 0.01 V, with a discharge capacity maintained at 72.00 mAh ± 0.04 mAh. This suggests that the addition of the catalyst did not cause capacity fading.
- (4)
- In overcharging tests, the catalyst significantly prolonged the battery’s voltage rise time and the time to reach peak voltage, indicating its delaying effect on thermal runaway. During thermal runaway tests, the concentration of thermal runaway products, especially the peak and integrated concentrations of CO, were significantly reduced in batteries with added catalyst. This further demonstrates the catalyst’s effectiveness in reducing thermal runaway products.
Author Contributions
Funding
Data Availability Statement
Acknowledgments
Conflicts of Interest
References
- Miao, Y.; Hynan, P.; Von Jouanne, A.; Yokochi, A. Current Li-Ion Battery Technologies in Electric Vehicles and Opportunities for Advancements. Energies 2019, 12, 1074. [Google Scholar] [CrossRef]
- Camp, D.; Vey, N.; Kylander, P.; Auld, S.; Willis, J.; Lussier, J.; Eldred, R.; Van Bossuyt, D. Li-ion Batteries and the Electrification of the Fleet. Nav. Eng. J. 2023, 135, 169–184. [Google Scholar]
- Yao, W.-B.; Wang, K.-Y.; Sun, J.-H. Study of Li-ion Battery Exchange Stations in Future Power System. In Proceedings of the 2022 IEEE 9th International Conference on Power Electronics Systems and Applications, PESA, Hong Kong, China, 20–22 September 2022. [Google Scholar]
- Deng, D. Li-ion batteries: Basics, progress, and challenges. Energy Sci. Eng. 2015, 3, 385–418. [Google Scholar] [CrossRef]
- Shin, Y.; Ahn, K.; Lee, C.; Kang, B. A self-discharging reaction mediated by imide salt enables the prevention of explosive thermal runaway in high-Ni material/graphite full cells. J. Mater. Chem. A 2023, 11, 23556–23565. [Google Scholar] [CrossRef]
- Zu, C.; Li, J.; Cai, B.; Qiu, J.; Zhao, Y.; Yang, Q.; Li, H.; Yu, H. Separators with reactive metal oxide coatings for dendrite-free lithium metal anodes. J. Power Sources 2023, 555, 232336. [Google Scholar] [CrossRef]
- Wei, C.; Zhang, Y.; Lee, S.-J.; Mu, L.; Liu, J.; Wang, C.; Yang, Y.; Doeff, M.; Pianetta, P.; Nordlund, D.; et al. Thermally driven mesoscale chemomechanical interplay in Li0.5Ni0.6Mn0.2Co0.2O2 cathode materials. J. Mater. Chem. A 2018, 6, 23055–23061. [Google Scholar] [CrossRef]
- Allcom, E.; Manthiram, A. Thermal Stability of Sb and Cu2Sb Anodes in Lithium-Ion Batteries. J. Electrochem. Soc. 2015, 162, A1778–A1786. [Google Scholar]
- Liu, H.M.; Saikia, D.; Wu, H.C.; Su, C.Y.; Wang, T.H.; Li, Y.H.; Pan, J.P.; Kao, H.M. Towards an understanding of the role of hyper-branched oligomers coated on cathodes, in the safety mechanism of lithium-ion batteries. RSC Adv. 2014, 4, 56147–56155. [Google Scholar] [CrossRef]
- SanSangsanit, T.; Homlamai, K.; Joraleechanchai, N.; Prempluem, S.; Tejangkura, W.; Sawangphruk, M. Non-flammable electrolyte for large-scale Ni-rich Li-ion batteries: Reducing thermal runaway risks. J. Power Sources 2024, 594, 234021. [Google Scholar] [CrossRef]
- Baakaes, F.; Witt, D.; Krewer, U. Impact of electrolyte impurities and SEI composition on battery safety. Chem. Sci. 2023, 14, 13783–13798. [Google Scholar] [CrossRef]
- Li, Y.; Ding, F.; Shao, Y.; Wang, H.; Guo, X.; Liu, C.; Sui, X.; Sun, G.; Zhou, J.; Wang, Z. Solvation Structure and Derived Interphase Tuning for High-Voltage Ni-Rich Lithium Metal Batteries with High Safety Using Gem-Difluorinated Ionic Liquid Based Dual-Salt Electrolytes. Angew. Chem. 2024, 136, e202317148. [Google Scholar] [CrossRef]
- Kizilel, R.; Sabbah, R.; Sveum, P.; Selman, J.-R.; Al-Hallaj, S. Prevention of thermal runaway propagation in a Li-ion battery pack. In Proceedings of the 2007 IEEE Vehicle Power and Propulsion Conference, Arlington, TX, USA, 9–12 September 2007; Volumes 1–2, pp. 344–347. [Google Scholar]
- Yang, C.; Sunderlin, N.; Wang, W.; Churchill, C.; Keyser, M. Compressible battery foams to prevent cascading thermal runaway in Li-ion pouch batteries. J. Power Sources 2022, 541, 231666. [Google Scholar] [CrossRef]
- Sun, Z.; Guo, Y.; Zhang, C.; Xu, H.; Zhou, Q.; Wang, C. A Novel Hybrid Battery Thermal Managament System for Prevention of Thermal Runaway Propagation. IEEE Trans. Transp. Electrif. 2024, 9, 5028–5038. [Google Scholar] [CrossRef]
- Zhang, L.; Liu, L.; Yang, S.; Xie, Z.; Zhang, F.; Zhao, P. Experimental investigation on thermal runaway suspension with battery health retention. Appl. Therm. Eng. 2023, 225, 120239. [Google Scholar] [CrossRef]
- Sun, J.; Li, J.; Zhou, T.; Yang, K.; Wei, S.; Tang, N.; Dang, N.; Li, H.; Qiu, X.; Chen, L. Toxicity, a serious concern of thermal runaway from commercial Li-ion battery. Nano Energy 2016, 27, 313–319. [Google Scholar] [CrossRef]
- Li, T.-Y.; Jiao, Y.-H. Revealing the Thermal Runaway Behavior of Lithium Iron Phosphate Power Batteries at Different States of Charge and Operating Environment. Int. J. Electrochem. Sci. 2023, 17, 221030. [Google Scholar] [CrossRef]
- Jindal, P.; Bhattacharya, J. Review-Understanding the Thermal Runaway Behavior of Li-Ion Batteries through Experimental Techniques. J. Electrochem. Soc. 2019, 166, A2165–A2193. [Google Scholar] [CrossRef]
- Zhao, P.; Liu, L.; Zhang, L.; Chen, Y. Mitigating battery thermal runaway through mild combustion. Chem. Eng. J. Adv. 2022, 9, 100208. [Google Scholar] [CrossRef]
- Feng, X.; Zheng, S.; He, X.; Wang, L.; Wang, Y.; Ren, D.; Ouyang, M. Time Sequence Map for Interpreting the Thermal Runaway Mechanism of Lithium-Ion Batteries with LiNixCoyMnzO2 Cathode. Front. Energy Res. 2019, 6, 126. [Google Scholar] [CrossRef]
- JY/T0567-2020; General Rules of Inductively Coupled Plasma Emission Spectroscopy Analysis Methods. Ministry of Education of the People’s Republic of China: Beijing, China, 2020.
- Tabakova, T.; Ilieva, L.; Ivanov, I.; Zanella, R.; Sobczak, J.W.; Lisowski, W.; Kaszkur, Z.; Andreeva, D. Influence of the preparation method and dopants nature on the WGS activity of gold catalysts supported on doped by transition metals ceria. Appl. Catal. B Environ. 2013, 136–137, 70–80. [Google Scholar] [CrossRef]
- Sham, T.K.; Kim, P.S.G.; Zhang, P. Electronic structure of Molecular-capped gold nanoparticles from X-ray spectroscopy studies: Implications for coulomb blockade, luminescence and non-Fermi behavior. Solid State Commun. 2006, 138, 553–557. [Google Scholar] [CrossRef]
- Arrii, S.; Morfin, F.; Renouprez, A.J.; Rousset, J.L. Oxidation of CO on Gold Supported Catalysts Prepared by Laser Vaporization: Direct Evidence of Support Contribution. J. Am. Chem. Soc. 2004, 126, 1199–1205. [Google Scholar] [CrossRef] [PubMed]
- Qiao, B.; Liang, J.X.; Wang, A.; Xu, C.Q.; Li, J.; Zhang, T.; Liu, J.J. Ultrastable single-atom gold catalysts with strong covalent metal-support interaction. Nano Res. 2015, 8, 2913–2924. [Google Scholar] [CrossRef]
- Li, Y.; Feng, X.; Ren, D.; Ouyang, M.; Lu, L.; Han, X. Thermal Runaway Triggered by Plated Lithium on the Anode after Fast Charging. ACS Appl. Mater. Interfaces 2019, 11, 46839–46850. [Google Scholar] [CrossRef] [PubMed]




















| Sample | Specific Surface Area /m2 · g−1 | Lattice Constant /Å | Lattice Size /nm | Actual Au Loading /wt% |
|---|---|---|---|---|
| CeO2 | 8.390 | 5.4113 | - | - |
| C001 | 85.521 | 5.4114 | 12.7093 | - |
| AC002 | 92.868 | 5.4105 | 12.1446 | 1.71% |
| Sample | Au/eV | O/eV | |||||
|---|---|---|---|---|---|---|---|
| Au0 | Au+ | Olatt | Oads | ||||
| AC002 | 81.9 | 82.6 | 68.84% | 527.8 | 529.9 | 11.54% | 34.1% |
| LB-0 | LB-2 | LB-3 | LB-4 | LB-5 | LB-6 | |
|---|---|---|---|---|---|---|
| TICtotal | 68,961,008 | 49,356,546 | 50,214,327 | 47,181,985 | 48,212,130 | 45,708,746 |
| TICmax | 2,676,343 | 1,086,248 | 1,369,343 | 1,133,347 | 1,327,844 | 1,316,855 |
| (z)2-Butene/ppm | 0.5973 | 0.3028 | 0.3386 | × * | × | × |
| Dimethyl ether/ppm | 0.6238 | 0.4330 | 0.3896 | × | × | 0.2530 |
| Benzene/ppm | 8.9230 | 2.6153 | 2.5382 | 1.7886 | 0.7797 | 0.3242 |
| Fluorobenzene/ppm | 10.3162 | 2.9524 | 2.5154 | 2.0753 | 0.7992 | 0.2964 |
| EMC/ppm | 1.3880 | 0.4275 | × | 0.5095 | × | × |
| tCO,detected/s | 29 | 64 | 66 | 72 | 60 | 72 |
| cCO,peak/ppm | 112 | 105 | 99 | 96 | 93 | 90 |
| cCO,integral/ppm | 104,437 | 48,972 | 36,537 | 40,081 | 49,786 | 50,008 |
Disclaimer/Publisher’s Note: The statements, opinions and data contained in all publications are solely those of the individual author(s) and contributor(s) and not of MDPI and/or the editor(s). MDPI and/or the editor(s) disclaim responsibility for any injury to people or property resulting from any ideas, methods, instructions or products referred to in the content. |
© 2024 by the authors. Licensee MDPI, Basel, Switzerland. This article is an open access article distributed under the terms and conditions of the Creative Commons Attribution (CC BY) license (https://creativecommons.org/licenses/by/4.0/).
Share and Cite
Zhou, T.; Sun, J.; Li, J.; Wei, S.; Zhang, F.; Chen, J. Study on the Preventive Effect of Au/CeO2 on Lithium-Ion Battery Thermal Runaway Caused by Overcharging. Batteries 2024, 10, 235. https://doi.org/10.3390/batteries10070235
Zhou T, Sun J, Li J, Wei S, Zhang F, Chen J. Study on the Preventive Effect of Au/CeO2 on Lithium-Ion Battery Thermal Runaway Caused by Overcharging. Batteries. 2024; 10(7):235. https://doi.org/10.3390/batteries10070235
Chicago/Turabian StyleZhou, Tian, Jie Sun, Jigang Li, Shouping Wei, Fan Zhang, and Jing Chen. 2024. "Study on the Preventive Effect of Au/CeO2 on Lithium-Ion Battery Thermal Runaway Caused by Overcharging" Batteries 10, no. 7: 235. https://doi.org/10.3390/batteries10070235
APA StyleZhou, T., Sun, J., Li, J., Wei, S., Zhang, F., & Chen, J. (2024). Study on the Preventive Effect of Au/CeO2 on Lithium-Ion Battery Thermal Runaway Caused by Overcharging. Batteries, 10(7), 235. https://doi.org/10.3390/batteries10070235
