Mechanical Characterization and Modeling of Large-Format Lithium-Ion Battery Cell Electrodes and Separators for Real Operating Scenarios
Abstract
1. Introduction
- Only one investigation exists that utilizes more than one mechanical cycle n [3].
| Refs. | Scope | Material | SoC | Elyt. | (–) | v | Cycles n | Application/Focus | |
|---|---|---|---|---|---|---|---|---|---|
| in % | in MPa | in MPa | in MPa | in — | |||||
| [1] | layers | NMC111, PE, Gr | 0 | no | 0.30 | 1.65 (0.30–3.00) | 70.74 | 1 | modeling normaloperation |
| [2] | layers | NMC622, | 0 | yes b | 0.06 | 0.08 d | — | — | compressibilitycharacterization only |
| pouch | NMC811, PE, | no c | 0.42 d | ||||||
| Gr, Si/Gr | 0.84 d | ||||||||
| [3] | 0 | yes a | 0.02 | 1.00 d | 20.37 | — | effect on localcurrent densities | ||
| layers | LCO/NCA, | 1.10 (1.00–1.20) | 3 | ||||||
| pouch | PP, Gr | 3.00 d | — | ||||||
| 6.00 d | — | ||||||||
| 10.00 d | — | ||||||||
| [4] | layers | NMC811, | 0 | no | 1.00 | (1.00–200.00) | 37.41 | — | crash modeling |
| PE, Gr | 12.47 | ||||||||
| [5] | layers | PE, | n.d. | no | 0.00 | (0.00–150.00) | 31.32 | 1 | temperature and strain rate dependency ofpolymer separator |
| PP | (0.00–135.00) | 36.45 | |||||||
| (0.00–90.00) | 24.30 | ||||||||
| [6] | layers | PP | n.d. | no | 1.00 | (1.00–10.00) | 11.72 | 1 | ion transport of PP separator under compression |
| (1.00–20.00) | 14.84 | ||||||||
| (1.00–40.00) | 41.55 | ||||||||
| (1.00–60.00) | 11.92 | ||||||||
| (1.00–80.00) | 12.34 | ||||||||
| (1.00–100.00) | 13.65 | ||||||||
| [7] | layers | n.d. | yes | 0.50 | (0.50–80.00) | 17.39 | 1 | temperature-dependent stiffness of PEseparators | |
| 17.02 | |||||||||
| PE, | 16.49 | ||||||||
| PP | 16.00 | ||||||||
| 15.69 | |||||||||
| 15.40 | |||||||||
| [8] | layers | PE | n.d. | yes | 0.00 | (0.00–22.50) | 1.22 | 1 | hyper-viscoelastic model for batteryseparators |
| (0.00–33.00) | 17.82 | ||||||||
| (0.00–45.00) | 24.30 | ||||||||
| (0.00–52.50) | 28.35 | ||||||||
| [9] | layers | NMC622, | 0 b | no b | 0.05 | (0.05–1.75) | n.d. | 1 | measuring reversibleswelling |
| ponch | PE, Gr | 0–100c | yesc | ||||||
| [10] | layers | NMC811, | 0 b | no b | — | 1.50 (0.00–3.00) | 10.00 b | 1 | modeling normaloperation |
| pouch | PP, Si/Gr | 0 c, 70 c, 100 c | yes c | 30.24 d | |||||
| [11] | layers | NMC811, | 0 b | no b | 0.20 | (0.20–2.50) | n.d. | 1 | effect of assembly pressure on cell performance |
| pouch | PE, PP, Gr | 0–100 c | yes b,c | ||||||
| this work | layers | NCA, | 0 | no | 0.08 | 0.30 (0.10–0.50) | 20.00 | 10 | modeling normal operation |
| PE, | 1.00 (0.80–1.20) | 60.00 | |||||||
| Gr | 3.00 (2.80–3.20) | 10.00 |
- I.
- Determining the real mechanical operation behavior of the electrodes and separator by conducting cyclic mechanical compression tests to mimic the real mechanical operating scenario of a large-format battery cell. Related research questions are as follows:
- -
- Is the mechanical behavior dependent on the compression rate v for a given nominal stress ?
- -
- Is the mechanical behavior dependent on the nominal stress for a given compression rate v?
- -
- Is the mechanical behavior dependent on the number of mechanical cycles n?
- -
- Is the mechanical behavior identical for compression and decompression?
- II.
- Non-linear poroelastic material modeling approach to depict the mechanical behavior of porous electrodes and separators more precisely. The pertinent research question can be stated as follows:Can a model be used for fitting over various force levels and compression rates?
2. Experimental
2.1. Sample Materials and Preparation
2.2. Test Setup
2.3. Test Protocol
2.4. Design of Experiment
| Unit | Gr Anode | PE Separator | NCA Cathode | |
|---|---|---|---|---|
| Content of active material | 95.7 a | — | 95.4 b | |
| Content of non-active material | 4.3 c | — | 4.6 c | |
| Total layer thickness, stress-free | 224 d | 15 d | 137 d | |
| Thickness current collector | 8 d | — | 11 d | |
| Thickness coating, stress-free | 108 d | — | 63 d | |
| Porosity coating | – | 0.309 e | 0.519 e | 0.187 e |
| Initial void-to-solid ratio, stress-free | – | 0.447 f | 1.079 f | 0.230 f |
| Number of layers | – | 20 | 90 | 30 |
| Total sample height, no load | 4.480 f | 1.350 f | 4.110 f | |
| Total sample height, pre-load | 4.395 g | 1.304 g | 4.060 g |
3. Modeling
- (1)
- Hooke’s Law, a linear-elastic model, which represents the simplest (but a common) approach (Section 3.1).
- (2)
- Poroelasticity, a non-linear-elastic model, which represents a novel approach, considering the porous property of the components (Section 3.2).
3.1. Hooke’s Law (Linear Elasticity)
3.2. Poroelasticity (Non-Linear Elasticity)
- (1)
- (2)
- Utilization of the MATLAB 2023b Curve Fitting Toolbox: The optimization is performed using the Curve Fitting Toolbox in MATLAB 2023b, employing a nonlinear least squares method with a trust-region algorithm.
- (3)
- Fitting the model to the data: Equation (3) is used as the model, and the optimizer is employed to fit the values of and to the available data.
3.3. Model Evaluation
3.3.1. Model Comparison Based on Zero-Shifted Data
3.3.2. Poroelastic Fit of the Raw Data
3.3.3. Error Metrics
4. Results and Discussion
- (1)
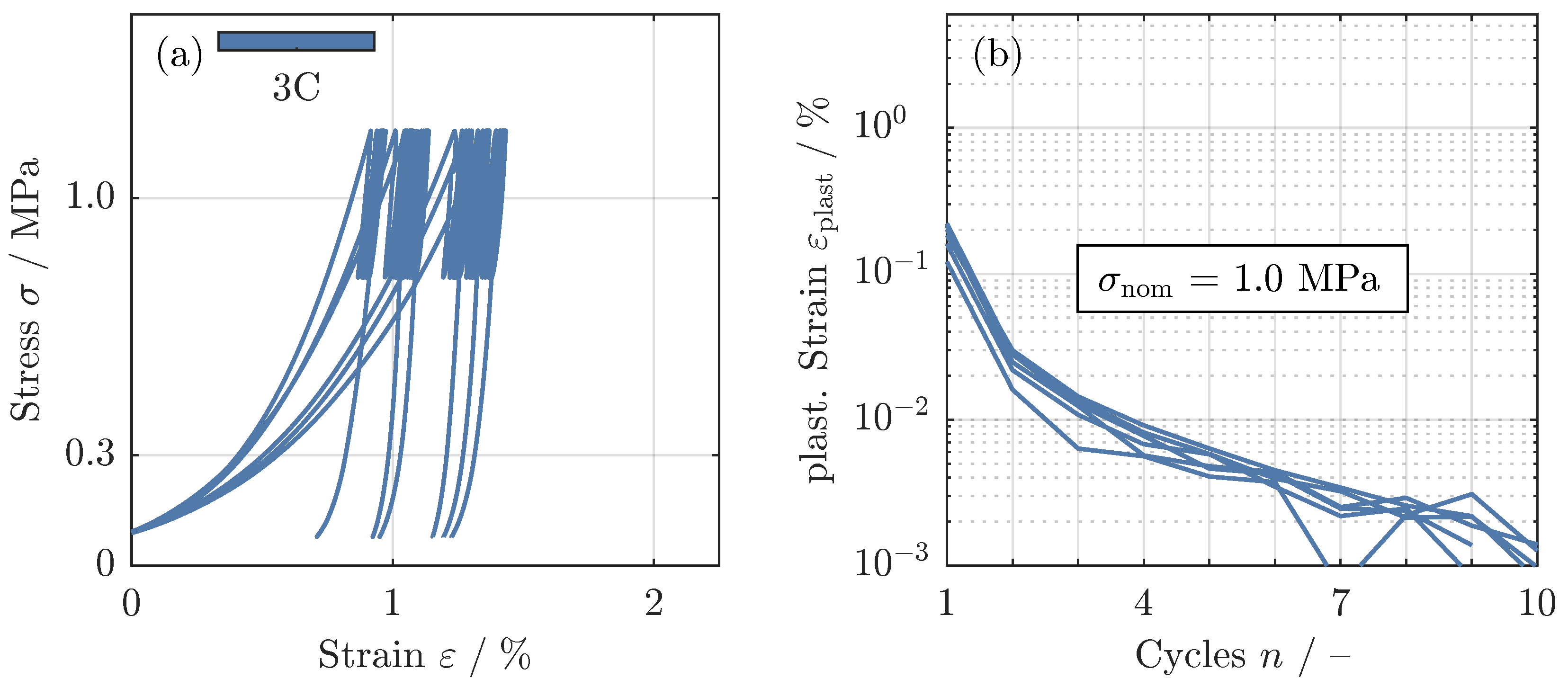
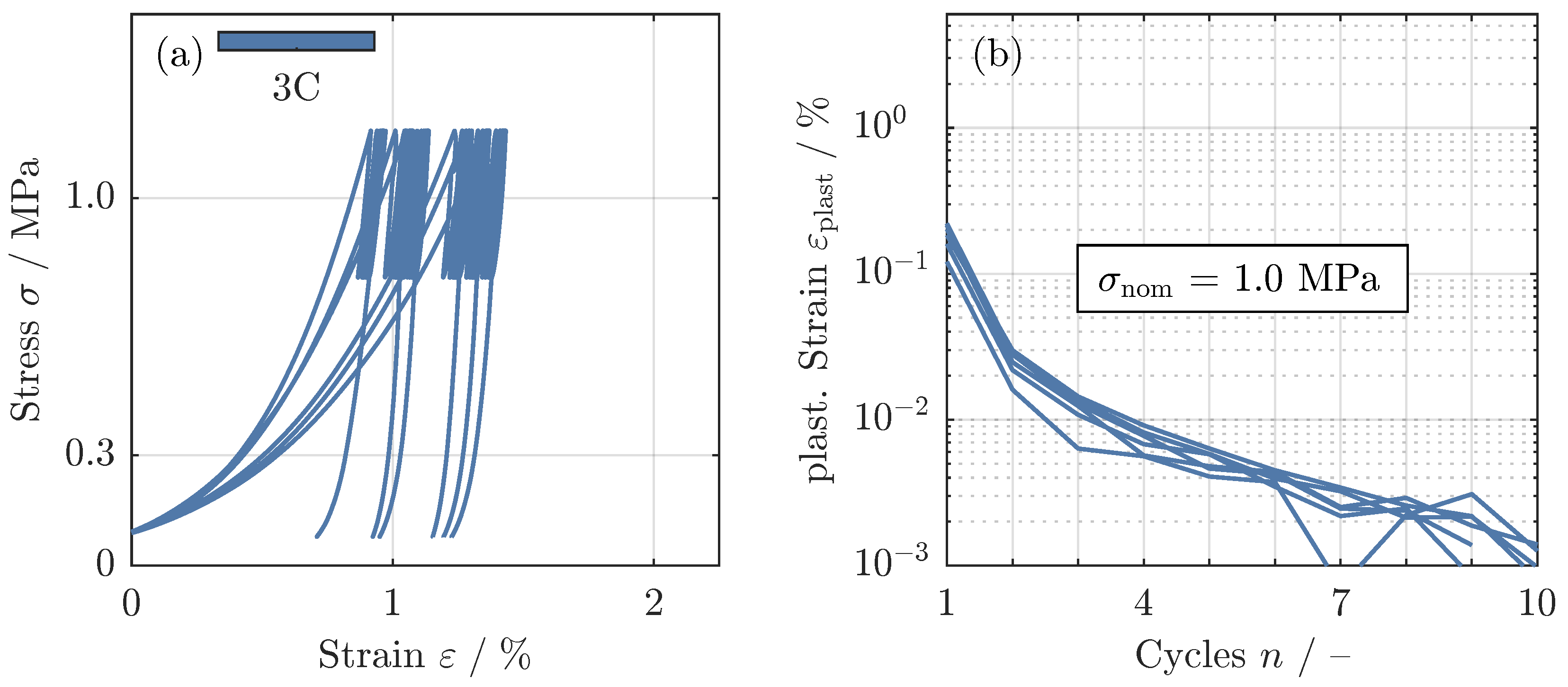
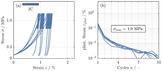
- The data shown and discussed have been corrected for the stiffness of the UTM, as described in the experimental Section 2.2.
- (2)
- The stress–strain relationship was mirrored to the first quadrant for readability, resulting in a positive sign for compressive stresses and strains.
- (3)
- Anode data are shown in red, cathode data are shown in blue, and separator data are shown in green.
- (4)
- Different compression rates of 1C, 3C, and 5C are shown using different color brightness levels.

4.1. Compression Tests
4.2. Modeling



5. Conclusions
- –
- Compression rate dependency. The results do not support any dependency of the mechanical behavior on the compression rate (1C, 3C, 5C) for a given nominal stress . The stiffening behavior during cycling was found to be independent of the compression rate.
- –
- Nominal stress dependency. The mechanical behavior was found to be dependent on the nominal stress ( , , ). Higher nominal stresses resulted in stiffer material behavior, as evidenced by higher values in Young’s modulus E.
- –
- Cyclic behavior. The mechanical behavior was found to be highly dependent on the number of cycles. The first cycle exhibited the largest plastic deformation, which then decreased rapidly with the increasing cycle number. After 10 cycles, the plastic strain was less than % for all tests, suggesting that a single compression–decompression step may not be sufficient to characterize the mechanical behavior under operating conditions.
- –
- Compression/decompression behavior. The results show a clear distinction between the compression and decompression behavior during the first few mechanical cycles. However, after 10 cycles, the distinction vanished.
- –
- Material modeling. Two material models, a linear-elastic and a poroelastic model, were fitted to the experimental data. The poroelastic model outperformed the linear-elastic model, especially at low nominal stresses, providing a better description of the mechanical behavior. The poroelastic model fitted to the original data without translation showed superior performance, as it could capture both the changes in mechanical stress and strain within the operating window, as well as the absolute values of stress and strain.
- –
- Different charge/discharge rates. The method can be used to investigate the mechanical behaviors of electrodes under various charge and discharge rates, reflecting different operating strategies and power requirements.
- –
- Varying temperature ranges. By incorporating active temperature control or testing in different climatic zones, the method can be used to study the impact of temperature on the mechanical properties of electrodes across a wide range of operating conditions.
- –
- Other cell geometries. As long as the electrode samples can be prepared in a coin cell format, the method can be applied to cells of different sizes. However, the applicability for wound cell geometries may be limited due to the uniaxial assumption of the model.
- –
- Higher stress levels. The method can be used to investigate the mechanical behavior of electrodes under higher stress levels, which can be influenced by the depth of discharge (DoD) window during operation.
- –
- Hold phases. The impact of hold phases with constant stress, as determined by the operating strategy, on the mechanical properties of electrodes can also be studied using the introduced method.
- –
- Aged samples. The method can potentially be used to study the mechanical characteristics of electrodes at different stages of real-world aging, which can be influenced by external factors. If material properties should not change during aging, this might indicate that testing aged materials is not required, speeding up the parametrization process.It is important to note that the versatility of the method is primarily limited by the ability to prepare the samples in a coin cell format. Samples with more brittle characteristics, such as all-solid-state battery (ASSB) materials, may be challenging to test using this approach due to their inherent material properties.
Author Contributions
Funding
Data Availability Statement
Acknowledgments
Conflicts of Interest
Abbreviations
| Acronyms | |
| ASSB | all-solid-state battery |
| BoL | begin of life |
| DoD | depth of discharge |
| DoL | degree of lithiation |
| EoL | end of life |
| EV | electric vehicle |
| FT-IR | Fourier transform infrared spectroscopy |
| Gr | graphite |
| ICP-OES | inductively coupled plasma-optical emission spectrometry |
| LCO | lithium-cobalt-oxide |
| NCA | nickel-cobalt-aluminum |
| NMC | nickel-manganese-cobalt |
| NRMSE | normalized root-mean-squared error |
| PE | polyethylene |
| PP | polypropylene |
| RMSE | root-mean-squared error |
| SEM | scanning electron microscopy |
| Si | silicon |
| SoC | state of charge |
| STA-MS | simultaneous thermal analysis with mass spectroscopy |
| UTM | universal testing machine |
| Roman Symbols | |
| elasticity tensor, N | |
| E | Young’s modulus, N |
| e | error |
| G | shear modulus, Pa |
| h | sample height, m |
| identity matrix, | |
| J | volume ratio, |
| K | bulk modulus, Pa |
| L | through-plane thickness, m |
| n | number of cycles, 1 |
| p | pressure, Pa |
| S | standard deviation |
| V | volume, |
| v | compression rate, MPa |
| Greek Symbols | |
| volume fraction, 1 | |
| strain, 1 | |
| strain tensor, 1 | |
| logarithmic bulk modulus, 1 | |
| Poisson’s ratio, 1 | |
| stress, N | |
| stress tensor, N | |
| Subscripts & Superscripts | |
| 0 | stress-free state |
| 1 | pre-load state |
| abs | absolute |
| ax | uniaxial |
| el | elastic component |
| exp | experimental |
| l | liquid phase |
| max | maximum |
| min | minimum |
| nom | nominal |
| NRMS | normalized root-mean-squared value |
| plast | plastic |
| rel | relative |
| RMS | root-mean-squared value |
| s | solid phase |
| sim | simulated |
| t | tensile |
| tot | total |
| vol | volumetric |
Appendix A. Precision of Strain Measurement

Appendix B. Detailed Modeling Equations
Appendix B.1. Hooke’s Law in Matrix Form
Appendix B.2. Derivation of the Poroelasticity
Appendix C. Fit Results and Error Metrics
| Linear-Elastic Model — See Figure 3a | ||||||||
|---|---|---|---|---|---|---|---|---|
| Specification from | ||||||||
| Design of Experiment | MPa | % | % | MPa | % | MPa | ||
| Anode | 1C | 0.3 MPa | 133.04 | 97.57 | 21.90 | 43.75 × 10−3 | 8.88 | 17.73 × 10−3 |
| 1.0 MPa | 432.34 | 99.21 | 15.59 | 31.00 × 10−3 | 5.24 | 10.43 × 10−3 | ||
| 3.0 MPa | 508.61 | 96.22 | 22.10 | 43.89 × 10−3 | 11.55 | 22.95 × 10−3 | ||
| 3C | 0.3 MPa | 152.22 | 95.87 | 28.10 | 56.17 × 10−3 | 11.79 | 23.56 × 10−3 | |
| 1.0 MPa | 413.76 | 99.35 | 8.39 | 16.73 × 10−3 | 4.76 | 9.50 × 10−3 | ||
| 3.0 MPa | 573.41 | 98.34 | 13.51 | 26.95 × 10−3 | 7.71 | 15.38 × 10−3 | ||
| 5C | 0.3 MPa | 155.46 | 95.62 | 28.97 | 57.87 × 10−3 | 12.14 | 24.25 × 10−3 | |
| 1.0 MPa | 386.00 | 98.82 | 13.40 | 26.75 × 10−3 | 6.38 | 12.73 × 10−3 | ||
| 3.0 MPa | 551.64 | 97.80 | 17.80 | 35.53 × 10−3 | 8.77 | 17.51 × 10−3 | ||
| Cathode | 1C | 0.3 MPa | 366.91 | 98.57 | 14.07 | 28.04 × 10−3 | 7.10 | 14.14 × 10−3 |
| 1.0 MPa | 704.94 | 96.54 | 18.45 | 36.66 × 10−3 | 11.24 | 22.33 × 10−3 | ||
| 3.0 MPa | 971.25 | 83.17 | 47.76 | 94.89 × 10−3 | 24.88 | 49.43 × 10−3 | ||
| 3C | 0.3 MPa | 219.15 | 92.64 | 35.71 | 71.29 × 10−3 | 15.93 | 31.80 × 10−3 | |
| 1.0 MPa | 567.26 | 96.80 | 18.64 | 37.19 × 10−3 | 10.65 | 21.26 × 10−3 | ||
| 3.0 MPa | 1004.64 | 82.85 | 59.04 | 117.61 × 10−3 | 24.66 | 49.13 × 10−3 | ||
| 5C | 0.3 MPa | 212.63 | 92.00 | 38.93 | 77.76 × 10−3 | 16.50 | 32.96 × 10−3 | |
| 1.0 MPa | 714.84 | 93.78 | 25.48 | 50.84 × 10−3 | 14.91 | 29.75 × 10−3 | ||
| 3.0 MPa | 959.43 | 83.60 | 48.23 | 96.20 × 10−3 | 24.34 | 48.55 × 10−3 | ||
| Separator | 1C | 0.3 MPa | 46.42 | 99.36 | 12.07 | 24.11 × 10−3 | 4.64 | 9.26 × 10−3 |
| 1.0 MPa | 118.76 | 99.39 | 9.95 | 19.61 × 10−3 | 4.61 | 9.09 × 10−3 | ||
| 3.0 MPa | 203.30 | 98.02 | 16.15 | 32.01 × 10−3 | 8.40 | 16.65 × 10−3 | ||
| 3C | 0.3 MPa | 44.38 | 99.05 | 13.75 | 27.40 × 10−3 | 5.62 | 11.19 × 10−3 | |
| 1.0 MPa | 125.90 | 99.41 | 8.10 | 16.10 × 10−3 | 4.50 | 8.95 × 10−3 | ||
| 3.0 MPa | 195.66 | 97.43 | 25.37 | 50.59 × 10−3 | 9.34 | 18.63 × 10−3 | ||
| 5C | 0.3 MPa | 42.11 | 99.44 | 9.34 | 18.65 × 10−3 | 4.35 | 8.69 × 10−3 | |
| 1.0 MPa | 99.74 | 99.39 | 11.79 | 23.45 × 10−3 | 4.55 | 9.06 × 10−3 | ||
| 3.0 MPa | 200.20 | 97.54 | 21.68 | 43.20 × 10−3 | 9.22 | 18.38 × 10−3 | ||
| Poroelastic Model — With Translation — See Figure 3a | |||||||||
|---|---|---|---|---|---|---|---|---|---|
| Specification From | |||||||||
| Design of Experiment | – | MPa | % | % | MPa | % | MPa | ||
| Anode | 1C | 0.3 MPa | 7.28 × 10−3 | 0.16 | 99.90 | 3.91 | 7.81 × 10−3 | 1.80 | 3.60 × 10−3 |
| 1.0 MPa | 4.66 × 10−3 | 0.39 | 99.89 | 6.76 | 13.44 × 10−3 | 1.95 | 3.88 × 10−3 | ||
| 3.0 MPa | 1.47 × 10−3 | 0.11 | 99.88 | 3.99 | 7.93 × 10−3 | 2.06 | 4.08 × 10−3 | ||
| 3C | 0.3 MPa | 4.45 × 10−3 | 0.10 | 99.98 | 2.09 | 4.18 × 10−3 | 0.89 | 1.78 × 10−3 | |
| 1.0 MPa | 6.09 × 10−3 | 0.50 | 99.85 | 5.61 | 11.19 × 10−3 | 2.28 | 4.55 × 10−3 | ||
| 3.0 MPa | 2.86 × 10−3 | 0.30 | 99.47 | 8.81 | 17.58 × 10−3 | 4.35 | 8.68 × 10−3 | ||
| 5C | 0.3 MPa | 4.19 × 10−3 | 0.09 | 99.95 | 2.43 | 4.86 × 10−3 | 1.30 | 2.59 × 10−3 | |
| 1.0 MPa | 4.22 × 10−3 | 0.30 | 99.88 | 4.11 | 8.20 × 10−3 | 2.04 | 4.07 × 10−3 | ||
| 3.0 MPa | 2.11 × 10−3 | 0.20 | 99.75 | 5.52 | 11.01 × 10−3 | 2.97 | 5.93 × 10−3 | ||
| Cathode | 1C | 0.3 MPa | 3.14 × 10−3 | 0.24 | 99.97 | 2.94 | 5.86 × 10−3 | 1.00 | 1.99 × 10−3 |
| 1.0 MPa | 1.23 × 10−3 | 0.17 | 99.18 | 10.22 | 20.31 × 10−3 | 5.48 | 10.88 × 10−3 | ||
| 3.0 MPa | 234.66 × 10−6 | 0.02 | 99.80 | 11.22 | 22.29 × 10−3 | 2.69 | 5.34 × 10−3 | ||
| 3C | 0.3 MPa | 1.77 × 10−3 | 0.05 | 99.98 | 1.32 | 2.64 × 10−3 | 0.80 | 1.60 × 10−3 | |
| 1.0 MPa | 1.38 × 10−3 | 0.15 | 99.73 | 6.01 | 11.99 × 10−3 | 3.10 | 6.19 × 10−3 | ||
| 3.0 MPa | 208.07 × 10−6 | 0.02 | 99.49 | 34.94 | 69.59 × 10−3 | 4.24 | 8.44 × 10−3 | ||
| 5C | 0.3 MPa | 1.71 × 10−3 | 0.05 | 99.96 | 4.22 | 8.44 × 10−3 | 1.09 | 2.18 × 10−3 | |
| 1.0 MPa | 716.46 × 10−6 | 0.08 | 99.62 | 7.47 | 14.91 × 10−3 | 3.67 | 7.32 × 10−3 | ||
| 3.0 MPa | 220.99 × 10−6 | 0.02 | 99.85 | 5.92 | 11.82 × 10−3 | 2.33 | 4.65 × 10−3 | ||
| Separator | 1C | 0.3 MPa | 66.95 × 10−3 | 0.42 | 99.93 | 3.31 | 6.61 × 10−3 | 1.48 | 2.96 × 10−3 |
| 1.0 MPa | 25.92 × 10−3 | 0.42 | 99.99 | 1.36 | 2.68 × 10−3 | 0.60 | 1.19 × 10−3 | ||
| 3.0 MPa | 8.34 × 10−3 | 0.20 | 99.89 | 4.46 | 8.84 × 10−3 | 2.00 | 3.97 × 10−3 | ||
| 3C | 0.3 MPa | 55.67 × 10−3 | 0.32 | 99.93 | 3.43 | 6.84 × 10−3 | 1.55 | 3.09 × 10−3 | |
| 1.0 MPa | 25.44 × 10−3 | 0.44 | 99.99 | 1.81 | 3.60 × 10−3 | 0.64 | 1.27 × 10−3 | ||
| 3.0 MPa | 7.04 × 10−3 | 0.15 | 99.90 | 8.85 | 17.65 × 10−3 | 1.87 | 3.72 × 10−3 | ||
| 5C | 0.3 MPa | 78.77 × 10−3 | 0.46 | 99.97 | 2.59 | 5.17 × 10−3 | 1.05 | 2.11 × 10−3 | |
| 1.0 MPa | 31.71 × 10−3 | 0.43 | 99.95 | 2.62 | 5.21 × 10−3 | 1.24 | 2.47 × 10−3 | ||
| 3.0 MPa | 7.24 × 10−3 | 0.17 | 99.92 | 4.47 | 8.90 × 10−3 | 1.66 | 3.30 × 10−3 | ||
| Poroelastic Model — No Translation — See Figure 3b | |||||||||
|---|---|---|---|---|---|---|---|---|---|
| Specification from | |||||||||
| Design of Experiment | – | MPa | % | % | MPa | % | MPa | ||
| Anode | 1C | 0.3 MPa | 3.13 × 10−3 | 130.93 × 10−6 | 99.51 | 7.22 | 21.54 × 10−3 | 2.67 | 7.95 × 10−3 |
| 1.0 MPa | 3.56 × 10−3 | 380.51 × 10−6 | 99.92 | 1.32 | 12.97 × 10−3 | 0.35 | 3.41 × 10−3 | ||
| 3.0 MPa | 8.29 × 10−3 | 480.39 × 10−6 | 98.75 | 1.13 | 33.42 × 10−3 | 0.45 | 13.18 × 10−3 | ||
| 3C | 0.3 MPa | 2.78 × 10−3 | 1.61 × 10−3 | 99.88 | 3.92 | 11.69 × 10−3 | 1.34 | 3.98 × 10−3 | |
| 1.0 MPa | 3.74 × 10−3 | 299.49 × 10−6 | 99.85 | 1.51 | 14.85 × 10−3 | 0.47 | 4.64 × 10−3 | ||
| 3.0 MPa | 7.87 × 10−3 | 1.96 × 10−3 | 99.80 | 0.83 | 24.51 × 10−3 | 0.18 | 5.28 × 10−3 | ||
| 5C | 0.3 MPa | 2.50 × 10−3 | 206.21 × 10−6 | 99.88 | 4.03 | 12.02 × 10−3 | 1.37 | 4.08 × 10−3 | |
| 1.0 MPa | 4.06 × 10−3 | 1.73 × 10−3 | 99.96 | 0.89 | 8.75 × 10−3 | 0.23 | 2.30 × 10−3 | ||
| 3.0 MPa | 8.25 × 10−3 | 4.70 × 10−3 | 99.71 | 0.95 | 28.11 × 10−3 | 0.22 | 6.38 × 10−3 | ||
| Cathode | 1C | 0.3 MPa | 981.35 × 10−6 | 6.33 × 10−6 | 98.79 | 9.38 | 27.97 × 10−3 | 4.36 | 12.99 × 10−3 |
| 1.0 MPa | 1.62 × 10−3 | 42.64 × 10−6 | 99.63 | 2.59 | 25.42 × 10−3 | 0.74 | 7.30 × 10−3 | ||
| 3.0 MPa | 2.83 × 10−3 | 66.88 × 10−6 | 94.26 | 3.36 | 99.04 × 10−3 | 0.98 | 28.87 × 10−3 | ||
| 3C | 0.3 MPa | 1.37 × 10−3 | 223.44 × 10−6 | 99.99 | 0.80 | 2.39 × 10−3 | 0.42 | 1.26 × 10−3 | |
| 1.0 MPa | 2.09 × 10−3 | 306.36 × 10−6 | 99.86 | 2.46 | 24.23 × 10−3 | 0.46 | 4.51 × 10−3 | ||
| 3.0 MPa | 2.75 × 10−3 | 26.10 × 10−6 | 93.08 | 3.17 | 93.39 × 10−3 | 1.06 | 31.20 × 10−3 | ||
| 5C | 0.3 MPa | 1.32 × 10−3 | 22.68 × 10−6 | 99.97 | 2.80 | 8.35 × 10−3 | 0.68 | 2.01 × 10−3 | |
| 1.0 MPa | 1.48 × 10−3 | 40.69 × 10−6 | 99.45 | 4.16 | 40.91 × 10−3 | 0.90 | 8.87 × 10−3 | ||
| 3.0 MPa | 2.99 × 10−3 | 111.06 × 10−6 | 92.99 | 2.89 | 85.31 × 10−3 | 1.08 | 31.75 × 10−3 | ||
| Separator | 1C | 0.3 MPa | 13.97 × 10−3 | 12.79 × 10−6 | 98.89 | 11.57 | 34.51 × 10−3 | 4.09 | 12.20 × 10−3 |
| 1.0 MPa | 17.60 × 10−3 | 825.17 × 10−9 | 99.99 | 0.27 | 2.69 × 10−3 | 0.12 | 1.18 × 10−3 | ||
| 3.0 MPa | 28.95 × 10−3 | 1.20 × 10−6 | 99.71 | 0.88 | 25.83 × 10−3 | 0.22 | 6.35 × 10−3 | ||
| 3C | 0.3 MPa | 13.75 × 10−3 | 194.35 × 10−9 | 99.10 | 10.77 | 32.08 × 10−3 | 3.66 | 10.90 × 10−3 | |
| 1.0 MPa | 16.48 × 10−3 | 260.73 × 10−9 | 99.99 | 0.41 | 4.08 × 10−3 | 0.13 | 1.29 × 10−3 | ||
| 3.0 MPa | 30.54 × 10−3 | 25.90 × 10−6 | 99.31 | 1.16 | 34.31 × 10−3 | 0.33 | 9.68 × 10−3 | ||
| 5C | 0.3 MPa | 15.87 × 10−3 | 51.98 × 10−6 | 98.75 | 11.81 | 35.20 × 10−3 | 4.34 | 12.94 × 10−3 | |
| 1.0 MPa | 21.08 × 10−3 | 845.19 × 10−9 | 99.96 | 0.61 | 6.00 × 10−3 | 0.23 | 2.25 × 10−3 | ||
| 3.0 MPa | 28.97 × 10−3 | 838.04 × 10−9 | 99.54 | 0.96 | 28.37 × 10−3 | 0.27 | 7.96 × 10−3 | ||
References
- Sauerteig, D.; Hanselmann, N.; Arzberger, A.; Reinshagen, H.; Ivanov, S.; Bund, A. Electrochemical-mechanical coupled modeling and parameterization of swelling and ionic transport in lithium-ion batteries. J. Power Sources 2018, 378, 235–247. [Google Scholar] [CrossRef]
- Müller, V. Investigation of the Influence of Mechanical Pressure on the Aging and the Expansion of Silicon-Containing Lithium-Ion Batteries. Ph.D. Thesis, University of Bayreuth, Bayreuth, Germany, 2020. [Google Scholar] [CrossRef]
- Spingler, F.B.; Friedrich, S.; Kücher, S.; Schmid, S.; López-Cruz, D.; Jossen, A. The Effects of Non-Uniform Mechanical Compression of Lithium-Ion Cells on Local Current Densities and Lithium Plating. J. Electrochem. Soc. 2021, 168, 110515. [Google Scholar] [CrossRef]
- Spielbauer, M.; Peteler, F.; Németh, A.; Soellner, J.; Berg, P.; Bohlen, O.; Jossen, A. An analysis of the current state and obstacles in discrete layered finite element simulation of crushing cylindrical lithium-ion cells. J. Energy Storage 2023, 72, 108029. [Google Scholar] [CrossRef]
- Kalnaus, S.; Wang, Y.; Li, J.; Kumar, A.; Turner, J.A. Temperature and strain rate dependent behavior of polymer separator for Li-ion batteries. Extrem. Mech. Lett. 2018, 20, 73–80. [Google Scholar] [CrossRef]
- Ding, L.; Zhang, C.; Wu, T.; Yang, F.; Lan, F.; Cao, Y.; Xiang, M. Effect of temperature on compression behavior of polypropylene separator used for Lithium-ion battery. J. Power Sources 2020, 466, 228300. [Google Scholar] [CrossRef]
- Ding, L.; Li, D.; Du, F.; Zhang, D.; Zhang, S.; Xu, R.; Wu, T. Mechanical behaviors and ion transport variation of lithium-ion battery separators under various compression conditions. J. Power Sources 2022, 543, 231838. [Google Scholar] [CrossRef]
- Wang, Y.; Xing, Y.; Li, Q.M. A Hyper-Viscoelastic Model for Battery Separators Based on Inverse-Stress-Solution Parametrical Calibration Method. Int. J. Mech. Sci. 2022, 225, 107361. [Google Scholar] [CrossRef]
- Aufschläger, A.; Kücher, S.; Kraft, L.; Spingler, F.; Niehoff, P.; Jossen, A. High precision measurement of reversible swelling and electrochemical performance of flexibly compressed 5 Ah NMC622/graphite lithium-ion pouch cells. J. Energy Storage 2023, 59, 106483. [Google Scholar] [CrossRef]
- von Kessel, O.; Hoehl, T.; Heugel, P.; Brauchle, F.; Vrankovic, D.; Birke, K.P. Electrochemical-Mechanical Parameterization and Modeling of Expansion, Pressure, and Porosity Evolution in NMC811∣SiOx-Graphite Lithium-Ion Cells. J. Electrochem. Soc. 2023, 170, 090534. [Google Scholar] [CrossRef]
- Schabenberger, T.; Kücher, S.; Aufschläger, A.; Jossen, A. Impact of applied and preceding pressure on performance and reversible swelling of lithium-ion pouch cells with varying microporous separators. J. Energy Storage 2024, 102, 113910. [Google Scholar] [CrossRef]
- Rieger, B.; Erhard, S.V.; Rumpf, K.; Jossen, A. A New Method to Model the Thickness Change of a Commercial Pouch Cell during Discharge. J. Electrochem. Soc. 2016, 163, A1566–A1575. [Google Scholar] [CrossRef]
- Zhou, W. Effects of external mechanical loading on stress generation during lithiation in Li-ion battery electrodes. Electrochim. Acta 2015, 185, 28–33. [Google Scholar] [CrossRef]
- Liu, X.M.; Arnold, C.B. Effects of Cycling Ranges on Stress and Capacity Fade in Lithium-Ion Pouch Cells. J. Electrochem. Soc. 2016, 163, A2501–A2507. [Google Scholar] [CrossRef]
- Cannarella, J.; Arnold, C.B. Stress evolution and capacity fade in constrained lithium-ion pouch cells. J. Power Sources 2014, 245, 745–751. [Google Scholar] [CrossRef]
- Cannarella, J.; Arnold, C.B. State of health and charge measurements in lithium-ion batteries using mechanical stress. J. Power Sources 2014, 269, 7–14. [Google Scholar] [CrossRef]
- Bucci, G.; Swamy, T.; Bishop, S.; Sheldon, B.W.; Chiang, Y.M.; Carter, W.C. The Effect of Stress on Battery-Electrode Capacity. J. Electrochem. Soc. 2017, 164, A645–A654. [Google Scholar] [CrossRef]
- Duan, J.; Tang, X.; Dai, H.; Yang, Y.; Wu, W.; Wei, X.; Huang, Y. Building Safe Lithium-Ion Batteries for Electric Vehicles: A Review. Electrochem. Energy Rev. 2020, 3, 1–42. [Google Scholar] [CrossRef]
- Kebede, A.A.; Kalogiannis, T.; van Mierlo, J.; Berecibar, M. A comprehensive review of stationary energy storage devices for large scale renewable energy sources grid integration. Renew. Sustain. Energy Rev. 2022, 159, 112213. [Google Scholar] [CrossRef]
- Rey, S.O.; Romero, J.A.; Romero, L.T.; Martínez, À.F.; Roger, X.S.; Qamar, M.A.; Domínguez-García, J.L.; Gevorkov, L. Powering the Future: A Comprehensive Review of Battery Energy Storage Systems. Energies 2023, 16, 6344. [Google Scholar] [CrossRef]
- Kotter, P.; Kisters, T.; Schleicher, A. Dynamic impact tests to characterize the crashworthiness of large-format lithium-ion cells. J. Energy Storage 2019, 26, 100948. [Google Scholar] [CrossRef]
- M. Braun Inertgas-Systeme GmbH. Unilab Pro: Inert Gas Glovebox Workstation. 2024. Available online: https://www.mbraun.com/de/produkte/glovebox-workstations.html (accessed on 5 May 2024).
- Nogamigiken Co., Ltd. Handheld Electrode Punch; Nogamigiken Co., Ltd.: Hitachiomiya, Japan, 2024. [Google Scholar]
- ZwickRoell GmbH & Co. KG. Produktinformation: Material-Prüfmaschinen AllroundLine Z005 bis Z100; ZwickRoell GmbH & Co. KG: Ulm, Germany, 2024. [Google Scholar]
- ZwickRoell GmbH & Co. KG. Produktinformation: Kraftaufnehmer Xforce P, Xforce HP und Xforce K; ZwickRoell GmbH & Co. KG: Ulm, Germany, 2024. [Google Scholar]
- Berthold, R.; Eichinger, A.; Ermlich, W.; Fiek, G.; Föppl, L.; Glocker, R.; Lehr, E.; Vaupel, O.; Siebel, E. Prüf- und Meßeinrichtungen; Springer: Berlin/Heidelberg, Germany, 1940. [Google Scholar] [CrossRef]
- Subaric-Leitis, A.; Seiffert, B.; Ullner, C. Ergebnisunsicherheit ermitteln: Konformitätsprüfung einachsiger Zug-/Druckprüfmaschinen. Mater. Test. 2000, 42, 114–117. [Google Scholar] [CrossRef]
- Findeisen, D. Grundlegendes zur Steifigkeit von Werkstoffprüfmaschinen. Mater. Test. 2017, 59, 379–385. [Google Scholar] [CrossRef]
- Müller, V.; Scurtu, R.G.; Memm, M.; Danzer, M.A.; Wohlfahrt-Mehrens, M. Study of the influence of mechanical pressure on the performance and aging of Lithium-ion battery cells. J. Power Sources 2019, 440, 227148. [Google Scholar] [CrossRef]
- Li, Y.; Wei, C.; Sheng, Y.; Jiao, F.; Wu, K. Swelling Force in Lithium-Ion Power Batteries. Ind. Eng. Chem. Res. 2020, 59, 12313–12318. [Google Scholar] [CrossRef]
- Hahn, S.; Theil, S.; Kroggel, J.; Birke, K.P. Pressure Prediction Modeling and Validation for Lithium-Ion Pouch Cells in Buffered Module Assemblies. J. Energy Storage 2021, 40, 102517. [Google Scholar] [CrossRef]
- Daubinger, P.; Schelter, M.; Petersohn, R.; Nagler, F.; Hartmann, S.; Herrmann, M.; Giffin, G.A. Impact of Bracing on Large Format Prismatic Lithium–Ion Battery Cells during Aging. Adv. Energy Mater. 2021, 12, 2102448. [Google Scholar] [CrossRef]
- Aufschläger, A.; Durdel, A.; Kraft, L.; Jossen, A. Optimizing mechanical compression for cycle life and irreversible swelling of high energy and high power lithium-ion pouch cells. J. Energy Storage 2024, 76, 109883. [Google Scholar] [CrossRef]
- Petursdottir, E.; Kohlhuber, M.; Ehrenberg, H. Influence from Mechanical Stress on State of Health of Large Prismatic Lithium-Ion-Cells under Various Temperatures. J. Electrochem. Soc. 2024, 171, 070510. [Google Scholar] [CrossRef]
- Thompson. Ansys Mechanical Apdl for Finite Element Analysis; Elsevier Science & Technology: Amsterdam, The Netherlands, 2017. [Google Scholar]
- Kermani, G.; Sahraei, E. Review: Characterization and Modeling of the Mechanical Properties of Lithium-Ion Batteries. Energies 2017, 10, 1730. [Google Scholar] [CrossRef]
- Seulin, M.; Michel, C.; Lapoujade, V.; L’Eplattenier, P. Mechanical modeling Li-Ion cell crush experiments using LS-DYNA. In Proceedings of the 11th European LS-DYNA Conference 2017, Salzburg, Augstria, 5–11 May 2017; Available online: https://lsdyna.ansys.com/wp-content/uploads/attachments/mechanical-modeling-of-li-ion-cell-crush-experiments-using-ls-dyna.pdf (accessed on 2 July 2024).
- Sahraei, E.; Keshavarzi, M.M.; Zhang, X.; Lai, B. Mechanical Properties of Prismatic Li-Ion Batteries—Electrodes, Cells, and Stacks. J. Electrochem. Energy Convers. Storage 2022, 19, 041008. [Google Scholar] [CrossRef]
- Zou, Z.; Xu, F.; Tian, H.; Niu, X. Testing and impact modeling of lithium-ion prismatic battery under quasi-static and dynamic mechanical abuse. J. Energy Storage 2023, 68, 107639. [Google Scholar] [CrossRef]
- Hooke, R.; Yonge, J. Lectures and Collections; Martin, John: London, UK, 1678. [Google Scholar]
- Meille, S.; Garboczi, E.J. Linear elastic properties of 2D and 3D models of porous materials made from elongated objects. Model. Simul. Mater. Sci. Eng. 2001, 9, 371–390. [Google Scholar] [CrossRef]
- Grazioli, D.; Zadin, V.; Brandell, D.; Simone, A. Electrochemical-mechanical modeling of solid polymer electrolytes: Stress development and non-uniform electric current density in trench geometry microbatteries. Electrochim. Acta 2019, 296, 1142–1162. [Google Scholar] [CrossRef]
- Wang, B.; Réthoré, J.; Aifantis, K.E. Capturing the stress evolution in electrode materials that undergo phase transformations during electrochemical cycling. Int. J. Solids Struct. 2021, 224, 111032. [Google Scholar] [CrossRef]
- Ballay, F.; Braun, A.; Hein, S.; Hellmuth, M.; Krieg, M.; Kuhn, V.; Lindau, D.; Nutsch, W.; Stemmler, C.; Traub, M.; et al. Fachkunde für Maurer/Maurerinnen, Beton- und Stahlbetonbauer/Beton- und Stahlbetonbauerinnen, Zimmerer/Zimmerinnen und Bauzeichner/Bauzeichnerinnen: Fachkunde Bau für Maurer/Maurerinnen, Beton- und Stahlbetonbauer/Beton- und Stahlbetonbauerinnen, Zimmerer/Zimmerinnen und Bauzeichner/Bauzeichnerinnen, 18., überarbeitete auflage ed.; Europa-Fachbuchreihe für Bautechnik, Verlag Europa-Lehrmittel, Nourney, Vollmer GmbH & Co. KG: Haan-Gruiten, Germany, 2020. [Google Scholar]
- Rouquerol, J.; Baron, G.; Denoyel, R.; Giesche, H.; Groen, J.; Klobes, P.; Levitz, P.; Neimark, A.V.; Rigby, S.; Skudas, R.; et al. Liquid intrusion and alternative methods for the characterization of macroporous materials (IUPAC Technical Report). Pure Appl. Chem. 2011, 84, 107–136. [Google Scholar] [CrossRef]
- Athy, L.F. Density, Porosity and Compaction of Sedimentary Rocks. AAPG Bull. 1930, 14, 1–24. [Google Scholar]
- Weiss, J.L.; König, L.F. Groundwater: Modelling, Management and Contamination; Nova Science Publishers Incorporated: Hauppauge, NY, USA, 2009. [Google Scholar]
- Li, C.; Borja, R.I. Finite Element Formulation of Poro-Elasticity Suitable for Large Deformation Dynamic Analysis; John A. Blume Earthquake Engineering Center Technical Report Series; Stanford University Press: Redwood City, CA, USA, 2005; Volume 147. [Google Scholar]
- Dassault Systèmes. Abaqus 6.11: Analysis User’s Manual: Volume IV: Materials. 2011. Available online: http://abaqusdocs.eait.uq.edu.au/v6.11/pdf_books/ANALYSIS_4.pdf (accessed on 1 July 2024).
- Scales, M.; Kornuta, J.A.; Switzner, N.; Veloo, P. Automated Calculation of Strain Hardening Parameters from Tensile Stress vs. Strain Data for Low Carbon Steel Exhibiting Yield Point Elongation. Exp. Tech. 2023, 47, 1311–1322. [Google Scholar] [CrossRef]
- Maaß, R.; van Petegem, S.; Ma, D.; Zimmermann, J.; Grolimund, D.; Roters, F.; van Swygenhoven, H.; Raabe, D. Smaller is stronger: The effect of strain hardening. Acta Mater. 2009, 57, 5996–6005. [Google Scholar] [CrossRef]
- Rajaram, G.; Kumaran, S.; Suwas, S. Effect of strain rate on tensile and compression behaviour of Al–Si/graphite composite. Mater. Sci. Eng. A 2011, 528, 6271–6278. [Google Scholar] [CrossRef]
- Wen, J.; Wei, Y.; Cheng, Y.T. Stress evolution in elastic-plastic electrodes during electrochemical processes: A numerical method and its applications. J. Mech. Phys. Solids 2018, 116, 403–415. [Google Scholar] [CrossRef]
- Shpigel, N.; Lukatskaya, M.R.; Sigalov, S.; Ren, C.E.; Nayak, P.; Levi, M.D.; Daikhin, L.; Aurbach, D.; Gogotsi, Y. In Situ Monitoring of Gravimetric and Viscoelastic Changes in 2D Intercalation Electrodes. ACS Energy Lett. 2017, 2, 1407–1415. [Google Scholar] [CrossRef]
- Dargel, V.; Jäckel, N.; Shpigel, N.; Sigalov, S.; Levi, M.D.; Daikhin, L.; Presser, V.; Aurbach, D. In Situ Multilength-Scale Tracking of Dimensional and Viscoelastic Changes in Composite Battery Electrodes. ACS Appl. Mater. Interfaces 2017, 9, 27664–27675. [Google Scholar] [CrossRef] [PubMed]
- Sauerteig, D. Implementierung und Parametrierung eines Physikalischen Simulationsmodells einer Lithium-Ionen Zelle zur Analyse Elektrochemisch-Mechanischer Wechselwirkungen. Ph.D. Thesis, Technische Universität Ilmenau, Ilmenau, Germany, 1 November 2018. [Google Scholar]
- Dvorkin, J. Rock Physics Handbook—Tools for Seismic Analysis of Porous Media; Cambridge University Press: Cambridge, MA, USA, 2009. [Google Scholar] [CrossRef]






Disclaimer/Publisher’s Note: The statements, opinions and data contained in all publications are solely those of the individual author(s) and contributor(s) and not of MDPI and/or the editor(s). MDPI and/or the editor(s) disclaim responsibility for any injury to people or property resulting from any ideas, methods, instructions or products referred to in the content. |
© 2024 by the authors. Licensee MDPI, Basel, Switzerland. This article is an open access article distributed under the terms and conditions of the Creative Commons Attribution (CC BY) license (https://creativecommons.org/licenses/by/4.0/).
Share and Cite
Brehm, J.; Durdel, A.; Kussinger, T.; Kotter, P.; Altmann, M.; Jossen, A. Mechanical Characterization and Modeling of Large-Format Lithium-Ion Battery Cell Electrodes and Separators for Real Operating Scenarios. Batteries 2024, 10, 422. https://doi.org/10.3390/batteries10120422
Brehm J, Durdel A, Kussinger T, Kotter P, Altmann M, Jossen A. Mechanical Characterization and Modeling of Large-Format Lithium-Ion Battery Cell Electrodes and Separators for Real Operating Scenarios. Batteries. 2024; 10(12):422. https://doi.org/10.3390/batteries10120422
Chicago/Turabian StyleBrehm, Johannes, Axel Durdel, Tobias Kussinger, Philip Kotter, Maximilian Altmann, and Andreas Jossen. 2024. "Mechanical Characterization and Modeling of Large-Format Lithium-Ion Battery Cell Electrodes and Separators for Real Operating Scenarios" Batteries 10, no. 12: 422. https://doi.org/10.3390/batteries10120422
APA StyleBrehm, J., Durdel, A., Kussinger, T., Kotter, P., Altmann, M., & Jossen, A. (2024). Mechanical Characterization and Modeling of Large-Format Lithium-Ion Battery Cell Electrodes and Separators for Real Operating Scenarios. Batteries, 10(12), 422. https://doi.org/10.3390/batteries10120422

