Abstract
The increasing global warming problem has pushed the community to implement emission reduction measures in almost every segment of human life. Since the major source of anthropogenic Greenhouse Gases (GHGs) is fossil fuel combustion, in the shipping sector, these measures are oriented toward a reduction in tailpipe emissions, where the replacement of traditional internal combustion marine engines with zero-carbon technologies offers the ultimate emission reduction results. According to the International Maritime Organization (IMO) GHG strategy, vessels involved in international shipping must achieve a minimum 50% reduction in their GHG emissions by 2050. However, this requirement does not extend to fishing vessels, which are significant consumers of fossil fuels. This paper deals with the full electrification of two types of fishing vessels (purse seiners and trawlers), wherein different Lithium-ion Batteries (LiBs) are considered. To investigate their environmental footprint and profitability, Life-Cycle Assessments (LCAs) and Life-Cycle Cost Assessments (LCCAs) are performed. The comparison of all-electric fishing vessels with existing diesel-powered ships highlighted the Lithium Iron Phosphate (LFP) battery as the most suitable alternative powering option regarding environmental and economic criteria.
1. Introduction
1.1. Research Background
Ships are mainly powered by Heavy Fuel Oil (HFO) or Marine Diesel Oil (MDO), whose combustion in the ship engine results in a great amount of harmful emissions, such as nitrogen oxide (NOX), sulfur oxide (SOX), and particulate matter (PM), but also Greenhouse Gases (GHGs), due to the high carbon content [1]. Increased shipping emissions forced the International Maritime Organization (IMO) to set a strategy for their reduction. The focus of that strategy is on GHGs, which refer to the emissions of carbon dioxide (CO2) as the main GHGs, but also methane (CH4), and nitrous oxide (N2O), whose rising concentration in the atmosphere causes global warming [2]. According to the IMO GHG strategy, each ship engaged in international shipping needs to reduce its annual GHG emissions by at least 50% by 2050 compared to the 2008 level [3]. The strategy outlines decarbonization measures delineated across three distinct timelines: short-term (2018–2023), mid-term (2023–2030), and long-term (2030 onwards). The short-term measures relate to efforts commencing to curtail shipping emissions, encompassing national plans, enhanced Energy Efficiency Design Index (EEDI), Ship Energy Efficiency Management Plan (SEEMP) and speed reduction [4]. One of the mid-term measures is the implementation of a new ship energy efficiency regulative for existing ships, i.e., Energy Efficiency Existing Ship Index (EEXI) and Carbon Intensity Indicator (CII), which became effective on 1 January 2023 [5]. The long-term measure of IMO’s GHG strategy and the game-changer for the decarbonization of the shipping sector is the replacement of conventional fuels with alternatives with an emphasis on zero-carbon fuels like hydrogen, ammonia and electricity, resulting in no tailpipe emissions. Among zero-carbon powering options, electrification represents the most familiar and commercially available technology that is already applied in the shipping sector [6,7].
1.2. Electrification of Ships
Electric propulsion is widely investigated for short-sea vessels [8], tugboats [9], fishing vessels [10], cruise ships [11], icebreakers, naval ships and cable layers [12]. Nuchturee et al. [13] investigated integrated electric propulsion and concluded that battery technology is the dominant storage technology for the electrification of ships due to its reliability, higher energy density and lower costs compared to supercapacitors and flywheels. Three types of electrified ships use batteries, i.e., hybrid ships, plug-in hybrid ships and all-electric ships [14]. Plug-in hybrid and hybrid ships combine a diesel engine with a battery, while an all-electric ship represents a ship that operates solely on a battery. The latter electrification option eliminates tailpipe emissions released during the ship’s operation and reduces vibrations and noise that affect marine life [15]. One of the limitations of sole battery use for ship power needs is the distance the ship is operating on, i.e., the range of a trip, which is dependent on the energy density of a battery. Due to limited space to store enough batteries to power the ship on a long-haul trip, full electrification is usually limited to the ships that operate near the coast. Another limitation is the high investment cost, which depends on battery size and the market, i.e., current battery price [16,17].
Since all-electric ships provide zero-emission shipping, and electricity production contributes to its environmental footprint depending on its electricity mix, it is necessary to perform a Life-Cycle Assessment (LCA), which refers to the evaluation of the emissions related to the entire life-cycle of a product. Also, the profitability of alternative power systems plays a significant role in their implementation by shipowners and ship operators. Such an economic analysis is often performed throughout the entire lifetime of a ship with a Life-Cycle Cost Assessment (LCCA). The combination of LCA and LCCA is used to thoroughly investigate the implementation of alternative powering on board a particular ship [18].
Perčić et al. [18] analyzed the electrification of a ferry. Firstly, the ship was powered only by a battery, while in the second case, the ship was powered by a combination of a battery and a PV system. According to the LCA and LCCA results, the all-electric ship is the most environmentally friendly and cost-efficient powering option among those considered. Wang et al. [19] also investigated the full electrification of a ferry, where LCA and LCCA showed that an all-electric ferry results in 30% lower GHGs and 15% lower costs compared to a conventional power system (diesel engine). The analysis of different alternative fuels on board ferries was conducted by Perčić et al. [20], showing that an all-electric ship represents the most environmentally friendly and cost-efficient alternative option, particularly compared to the existing diesel power system. Similar research was conducted for inland ships (tanker, small passenger ship and dredger). LCA results showed that an all-electric ship represents the alternative with the lowest CO2 emissions for each type of vessel, but it is the economical option only for a small passenger ship due to the high-power needs of a tanker and dredger [21].
Multiple battery types are available on the market. Nevertheless, Lithium-ion Batteries (LiBs) stand out as the predominant technology owing to their high energy density, extended lifespan, and minimal environmental impact [22]. Compared to Nickel-Metal Hydride (Ni-MH) and Lead-acid (Pb-acid) batteries, LiB represents the most environmentally friendly and cost-effective alternative options [23]. The chemical composition of each battery technology determines the characteristics of a battery. LiB’s chemistries are Lithium Titanium Oxide (LTO), Lithium Iron Phosphate (LFP), Lithium Cobalt Oxide (LCO), Lithium Manganese Oxide (LMO), Lithium Nickel Manganese Cobalt oxide (NMC), and Lithium Nickel Cobalt Aluminum Oxide (NCA) [24]. Their characteristics and applications are presented in Table 1.
Table 1.
LiB technologies and their characteristics [25].
The LCO battery is the most used type of LiB. This battery type has high energy density but is highly thermal unstable, which could lead to the anode overheating. Moreover, the electrolyte is highly flammable, making the battery a fire hazard. LFP offers good performance with low resistance. It is tolerant to full charge conditions, it has a long lifetime, moderate energy density, and better thermal stability than LCO, and it is often used to replace Pb-acid batteries. NMC batteries combine LCO and LMO, which results in high energy density (still lower than LCO), good thermal stability, low internal resistance and the lowest self-heating rate. It represents a great candidate for electric vehicles. There are different cathode material combinations, e.g., NMC111 refers to one-third of nickel, one-third of manganese and one-third of cobalt. Other variations are NMC532, NMC622 and NMC811. Another candidate for an electric vehicle powertrain is an NCA battery, characterized by high energy density and moderate lifetime. The main drawbacks of its use are its high cost and poor safety. LTO represents an anode material, while the cathode is manganese oxide or NMC. Due to that, the battery offers a long lifetime but low energy density. It is thermally stable and operates better at low temperatures than other LiBs [24,25].
The implementation of a battery on board is mainly investigated for short-sea vessels such as ferries. They represent great candidates for full electrification due to the proximity of the shore and operation on fixed routes [26]. However, to achieve full decarbonization of the shipping sector, i.e., total reduction in GHGs by the end of the century, other vessels that do not go under IMO’s regulation need to be retrofitted with alternative power systems, preferably with zero-carbon options such as full electrification.
1.3. Types of Fishing Vessels and Their Operations
Modern fisheries are highly dependent on fossil fuel for ship propulsion, gear operation and other activities on board for fish harvesting [27]. The fuel consumption of fisheries is highly variable, and it depends on the target species, operating conditions, gear, size and structure of a vessel, and fishing methods [28,29]. The fishing methods can be classified as passive (pole and line, longlining, gillnets, pots and traps, and fish aggregating devices), and active (trawling, dredging, purse seining) [30,31].
Trawling can be used in midwater and bottom fishing and it requires a cone-like net with a closed-end that holds the catch. The net is towed by one or two ships, i.e., trawlers, and it is designed to catch specific species that live in the great depths or on the bottom. In bottom trawling, the net often interacts with the seabed, which is the main negative effect of this fishing method [28]. Purse seining is another active fishing method. A purse seiner is a ship that targets dense schools of pelagic fish, and for that, it requires a vertical net (purse seine) with floats on the top line to surround the fish and catch with it. After the schools of fish are spotted, a small boat encircles them with the net, while the bottom of the net is then tightened and enclosed, preventing fish escape. The advantage of purse seining over trawling is that the net has no contact with the seabed [31,32]. Furthermore, during their fishing trip, purse seiners spend around 42% of their time cruising, accounting for 56% of total fuel consumption. Compared to trawlers, who consume most of their fuel (68%) on fishing activities, purse seiners would benefit from energy-saving measures regarding propulsion [30]. Purse seiners can harvest great quantities of fish in a single operation, which is not the case for trawlers. Unlike purse seiners, they catch a wide range of fish, often with a higher market value [30].
The primary environmental concern associated with fishing activities is the substantial consumption of fossil fuels, impacting the environment and human health. It accounts for 1.2% of global fossil fuel consumption, which results in 134 million tons of CO2 emissions [28,29,33]. To reduce their environmental footprint, different emission reduction measures have been investigated, as well as electrification. Kim et al. [10] investigated battery hybrid systems on board fishing boats in Korea and the results indicated a reduction in CO2 emissions by 8%. The authors highlighted the importance of the electricity mix used for electricity generation and its contribution to life-cycle emissions. However, to achieve greater emission reduction, the fishing vessel needs to be considered for full electrification. Koričan et al. [34] investigated the integration of all-electric fishing vessels into Isolated Energy Systems (IES). The findings demonstrated that these ships have the potential to mitigate the critical surplus in electricity generation, lower operating costs for IES, and decrease emissions by utilizing the island grid for charging. Furthermore, Koričan et al. [35] conducted an environmental and economic analysis of various alternatives implemented on a trawler. The LCA results revealed that a fully electrified vessel is the most environmentally friendly option, while LCCA showed that other alternatives are more cost effective.
1.4. The Aim of this Paper
Fishing vessels are built in different sizes and are equipped with various gear depending on the target species. Operating on variable, often random routes and frequently changing courses, these vessels experience highly fluctuating power needs. Although fishing vessels are not subject to IMO’s GHG strategy, the impact of these ships on the environment cannot be neglected.
This paper aims to analyze the replacement of a diesel engine on board two fishing ships (purse seiner and trawler) with a battery in a lifetime framework. Among the different battery types, the LiB is indicated as the most convenient one. Moreover, LiB has different chemistries, i.e., different materials that constitute the electrodes, which offer different characteristics regarding energy density, lifetime, price, safety, etc. By performing environmental and economic analyses with LCA and LCCA, respectively, the life-cycle emissions (GHGs, NOX, SOX and PM) and lifetime costs of different LiBs (LFP, NCA, NMC111, NMC532, NMC622, NMC811) are investigated. The LCA and LCCA comparison indicates the most suitable powering option with respect to environmental and economic criteria. To the authors’ best knowledge, there are no publicly available studies into different LiBs for the full electrification of fishing vessels.
2. Methodology
2.1. Ship Particulars
The Croatian fishing fleet includes 7808 vessels, among which 56.4% are smaller than 6 m in length [36]. The fleet represents the 6th fleet in the Mediterranean area based on the total capture production, where around 90% of landing weight and 55% of landing values correspond to a catch from purse seiners [37]. With an average age of over 40 years, some improvements regarding power systems would need to be made to Croatian fishing vessels by retrofitting them with new and clean alternatives. In this paper, the evaluation of the electrification of fishing vessels with different batteries is performed, where the Croatian purse seiner and trawler are taken as test cases. Their main particulars are presented in Table 2.
Table 2.
The main particulars for considered purse seiner and trawler [36].
There are several differences between Croatian purse seiners and trawlers. Purse seiners are powered by engines with an average power of 150–400 kW, while the trawler’s average engine power varies between 150 and 250 kW. Purse seiners are greater in length and GT than trawlers. The average length of a purse seiner is 24 m, while for a trawler, it equals 19 m. The average daily operation of purse seiners includes an operation time of the main engines (tME) of four hours and of the auxiliary engines (tAE) of 15 h, while for trawlers, both the main and auxiliary engines operate daily for 10 h. Both fishing vessels operate around 200 days a year [38].
The energy needs for purse seiner and trawler are calculated using the same equations. The average power of a fishing vessel, Pave (kW) is calculated with the following equation, obtained from [39]:
According to Koričan et al. [38], the average power of the main engine, PME,ave,PS (kW), and auxiliary engine, PAE,ave,PS (kW), for a purse seiner are calculated as follows [38]:
while for a trawler, the average power of the main engine, PME,ave,T (kW), and auxiliary engines, PAE,ave,T (kW), for a trawler is calculated as follows [38]:
The annual energy consumption of a ship, ECA (kWh), is calculated with the following equation, obtained from [39]:
where tME,A (h) and tAE,A (h) denote the annual operating time of the main engine and auxiliary engines, which equal 800 h and 3000 h for purse seiners and 2000 for trawlers (both engines).
2.2. Life-Cycle Assessment and Life-Cycle Cost Assessment
LCA is a standardized method for evaluating the environmental impact of a product, process or system by investigating released emissions through their life-cycle [40]. According to ISO guidelines [41], there are four phases within the LCA framework: goal and scope, inventory analysis, impact assessment, and interpretation (Figure 1).
Figure 1.
LCA framework.
The initial stage of LCA involves establishing the goal, scope, functional unit, and system boundary and identifying data and impact categories. This paper aims to investigate different battery technologies installed on board a Croatian purse seiner and trawler by using LCA, which offers insight into the environmental friendliness of the considered LiB’s chemistry (LFP, NCA, NMC111, NMC532, NMC622, NMC811). This study deals with cradle-to-gate assessments, where the cradle refers to the resource extraction, and the gate refers to the output of a ship power system (tailpipe emissions). The functional unit is used to compare investigated power systems and, for this assessment, it is 1 kWh of the energy consumed. The system boundary is placed on the ship itself, where only emissions related to the ship’s power system are investigated. This paper investigates emissions during the 20 years of the ship’s lifetime, and they can be divided into three groups: Manufacturing (M), Well-to-Tank (WTT), and Tank-to-Wake (TTW) emissions. The first category encompasses emissions released from the manufacturing process of the primary component of a power system (engine, battery, etc.). The second category consists of WTT emissions, i.e., emissions released through the fuel cycle (processes of raw material extraction, fuel production, and distribution to the ship). The third category comprises emissions released during the ship’s operation (TTW emissions). The overall life-cycle emissions, Ei (kg), are calculated by summing the emissions of particular gas i from each LCA phase (M, WTT and TTW phases) [39]:
The LCA of the existing and alternative powering options is performed using LCA software GREET 2022 [42]. This software incorporates a comprehensive database comprising various fuels, stationary processes, and transportation processes associated with their life cycle. Although it is primarily intended for land transportation modes, GREET’s processes of fuel application in a power system can easily be modified to describe ship power systems. In this paper, the impact categories of climate change, acidification and human toxicity are selected for analysis. They are investigated via the calculation of their Global Warming Potential (GWP (kg CO2-eq)), Acidification Potential (AP (kg SO2-eq)) and Aerosol Formation Potential (AFP (kg PM2.5-eq)), according to the following equations [39]:
To investigate the profitability of alternative powering option, the LCCA is performed. The economic evaluation encompasses investment costs, fuel costs, and maintenance costs (covering the upkeep of the power system and equipment replacement), as well as a carbon tax applicable solely to power systems that generate tailpipe emissions, such as a diesel-powered ship in this instance.
Carbon tax refers to the purchase of permits for releasing each ton of CO2 emissions (carbon allowance) into the atmosphere. Starting in 2024, the shipping sector will become part of the Emission Trading System (ETS), mandating that commercial cargo and passenger ships operating within the European Union whose GT exceeds 5000 tons must purchase carbon allowances [43]. In the past three years, the value of carbon allowance has gradually grown from around 20 EUR/t CO2 to 95 EUR/t CO2 [44], and it is projected to rise to 238 EUR/t CO2 [45]. According to World Energy Outlook 2022 [46], there are three scenarios of projected carbon allowance, CA (EUR/t CO2). The values of carbon allowances for each investigated carbon tax scenario can be found in a study carried out by Perčić et al. [39].
Carbon tax for the particular year is calculated by multiplying the annual CO2 emissions from the TTW phase by a CA of a particular year. To ensure adaptation to additional costs, shipowners will pay for their reported emissions gradually, i.e., in 2025 for 40%, in 2026 for 70%, and from 2027, 100% of reported emissions [43].
The fuel costs usually represent more than 50% of the total costs of fishing vessels, e.g., trawlers 40–50% of their annual total costs, while for tropical tuna purse seiners, this cost exceeds 70% [33]. Recent fluctuance in fuel prices has greatly impacted the fishing sector, which represents an incentive for some alternative solutions.
2.2.1. The LCA and LCCA Models of a Diesel-Powered Ship
Before analyzing the electrification of fishing vessels with different batteries, the LCA and LCCA of the currently used powering option (diesel-powered ship) need to be performed, whose results serve as a baseline scenario. The energy needs of the diesel-powered purse seiner and trawler are presented in Section 2.1. The annual fuel consumption of diesel, FCA (kg), is calculated with the following equation [20]:
where SFC (kg/kWh) represents the specific fuel consumption of diesel of 0.215 kg/kWh.
The conducted Life Cycle Assessment (LCA) for a diesel-powered ship takes into account emissions stemming from the engine manufacturing process (M phase), the crude oil recovery, its transportation to the refinery, the refining process, and fuel distribution to the pump (WTT phase), as well as the combustion of fuel during fishing activities (TTW phase), Figure 2.
Figure 2.
The LCA of a diesel-powered ship.
Perčić et al. [20] evaluated the environmental impact of a diesel engine by determining the weight of each material. This is achieved by multiplying the weight ratios of the materials by the weight of the engine, denoted as m (t), calculated as follows:
The WTT phase involves crude oil extraction in the Middle East and transportation via a tanker covering a distance of 4000 km to Croatia. Upon reaching a Croatian refinery, the oil undergoes refining, and diesel is produced. Subsequently, it is distributed by a tank truck to the pump in the port, covering a distance of 100 km. The TTW phase relates to the combustion of diesel in the marine engine, leading to tailpipe emissions, denoted as ETTW (kg), which are calculated by multiplying emissions factors, EF (g gas/kg fuel) by fuel consumption, FC (kg), with the following equation [39]:
where the EF for each gas (CO2, CH4, N2O, NOX, SOX and PM) is obtained from the Fourth IMO GHG study [43] and presented in Table 3.
Table 3.
Emission factors, EF (g gas/kg fuel) for diesel [43].
The LCCA of a diesel-powered ship includes investment, fuel, maintenance and carbon tax costs. The investment cost of an existing power system refers to the purchase of a new diesel engine, accounting for 250 EUR/kW [44], while the annual maintenance cost is 0.014 EUR/kWh [47]. Fuel cost calculation involves multiplying fuel consumption by the current diesel price. Considering recent fluctuations in fuel prices, the average price for European diesel is obtained from [48] and equals 0.84 EUR/kg. The carbon tax is calculated as described in Section 2.1, where the most rigorous scenario is taken into for the assessment.
2.2.2. The LCA and LCCA Models of an All-Electric Ship
Inputs required for LCA and LCCA are specific energy, lifetime and the price of a battery. The data found in the literature often vary in a very large range, which is also noted in the work of Hasselwander et al. [49]. They compared findings from the literature and expert interviews, and for their analysis on batteries applicable to electric vehicles, they took the variables presented in Table 4. These are used also in this paper.
Table 4.
Required inputs for LCA and LCCA of an all-electric ship [49].
It is assumed that the battery capacity must be sufficient to provide power for the entire duration of the fishing trip and it is calculated as follows [39]:
Battery capacity is increased by 50% due to maintaining the state of charge, safety and battery degradation. The energy needs of all-electric ship are equal to those for the existing diesel-powered ship.
The performed LCA of an all-electric ship considers emissions released from the battery manufacturing process (M phase) and electricity generation, transmission and distribution (WTT phase), as shown in Figure 3. Since the ship operates solely on batteries, there are no tailpipe emissions, i.e., TTW emissions are equal to zero.
Figure 3.
The LCA of an all-electric ship.
The environmental impact of the battery is assessed using GREET 2022 software, where battery weight represents an input. By dividing BC and battery energy density (Table 4), the battery weight is calculated. The battery is replaced after its lifetime, which is presented as a number of cycles of charging and discharging. During the 20 years of fishing operation, the battery would be charged 4000 times. By taking into account the lifetime for a specific LiB chemistry from Table 4, the number of replacements is calculated. The emissions released during electricity production depend on the electricity mix and in this paper, the European electricity mix is used, obtained from the GREET 2022 database, as shown in Figure 4.
Figure 4.
The European electricity mix.
The LCCA of an all-electric ship includes the investment cost, fuel cost, and maintenance cost, which also includes the battery replacement cost. The investment of a fully electrified ship refers to 45% of the battery cost, while 55% of the cost is attributed to additional equipment [20]. Battery cost is calculated by multiplying battery capacity by the battery price. The specific LiB’s chemistry corresponds to a specific price, as shown in Table 4. It is assumed that once the battery needs to be replaced, the price of the battery declines by 25%. The maintenance represents 5% of the investment cost, while the fuel cost, i.e., electricity cost is calculated by multiplying the energy consumption by the electricity price. Due to fuel price fluctuations, the average electricity price is obtained from [6] and is equal to 0.04 EUR/kWh.
2.3. Limitations and Assumptions
The limitations and assumptions of this paper are listed as follows:
- The environmental and economic assessments are performed from the point of view of the shipping sector. The system boundary is defined around the ship, focusing solely on the power system during fishing activities. Other ship components, such as the hull, gear, crew, catch, port operations, etc., are not taken into consideration for LCA and LCCA. Due to that, the recycling processes of the main elements of a ship power system (i.e., diesel engine and battery) are not included in these assessments.
- Another limitation of this study is that the damaging effect of seawater on onboard batteries is not investigated.
- Bearing in mind fuel price fluctuations, fuel costs in LCCA are calculated using average diesel and electricity prices obtained from the literature.
- Within the LCCA, the costs are examined without calculating the net present value. Nonetheless, the LCCA remains effective in identifying the most cost-efficient power option.
- The analysis of LiB’s chemistries investigated in this paper is limited to those found in the GREET 2022 database.
- In the literature, there can be found different data on battery prices. In this paper, the LCCA of an all-electric ship is performed using data from Hasselwander et al.’s work [49], presented in Table 4.
- In designing alternative power systems for marine applications, safety represents a very important issue. In this study, the safety aspects are not considered.
3. Results and Discussion
The environmental and economic performances of five different chemistries of LiBs are investigated. Each has a specific price, lifetime and energy density (Table 4) that are used to calculate their weight, cost and number of a replacement in a ship’s lifetime. These results are presented in Table 5.
Table 5.
Battery’s particulars.
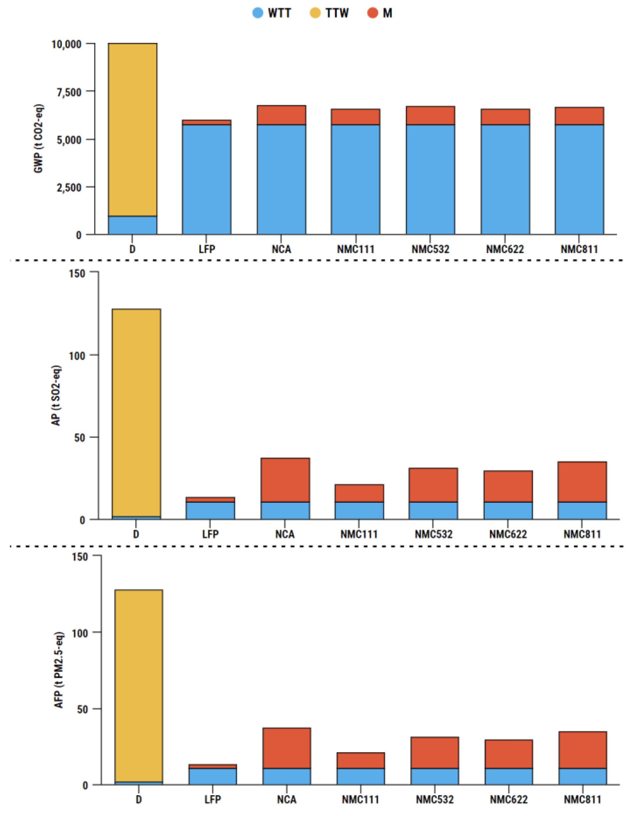
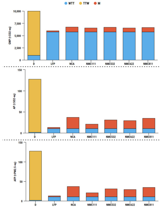
The LCA evaluates life-cycle emissions associated with ship power systems. The selected impact categories for analysis include climate change, human toxicity, and acidification. The results are presented in Figure 5 for the purse seiner and in Figure 6 for the trawler, where D denotes a diesel-powered ship.
Figure 5.
Environmental impact of the investigated powering options for the purse seiner.
Figure 6.
Environmental impact of the investigated powering options for the trawler.
The LCA results presented in Figure 5 and Figure 6 indicated that each considered battery technology (battery chemistry) is environmentally friendlier than the existing powering option. It is mainly due to the high amount of TTW emissions released during the diesel combustion in an engine. LFP battery results in 40% lower life-cycle GHG emissions than those released by diesel-powered ship. Regarding the impact on acidification and human toxicity for both fishing vessels, the LCA results showed that the major contributor is the diesel-powered ship. Among the different batteries, the NCA and NMC811 batteries result in higher life-cycle emissions, mainly due to the number of replacements, i.e., they are replaced four times in a ship’s lifetime.
To obtain insight into the profitability of replacing a diesel engine with a battery, the LCCA is performed. Besides investment, fuel and maintenance costs, the most rigorous scenario of a carbon tax is considered. The LCCA results are presented in Figure 7.
Figure 7.
LCCA results.
According to Figure 7, the existing powering option, i.e., a diesel-powered ship, results in the highest total costs, where fuel costs account for 60% of total costs. The LCCA results indicated that the LFP battery is not only the most environmentally friendly, but it is also the most cost-efficient battery. The reason for that is moderate energy density, low price of the battery and a long lifetime, which results in the replacement of the battery only once in a ship lifetime. The use of LFP on board the purse seiner results in 57% lower total costs, while on board the trawler, it results in around 53% lower costs. However, in this paper, the most rigorous carbon tax scenario is investigated. If the carbon tax is not included in the LCCA, only LFP would be a cost-efficient option, with around 35% lower total costs compared to the diesel-powered purse seiner and trawler.
Although this paper showed that the full electrification of considered fishing vessels is profitable for each battery chemistry without implementation of a very rigorous carbon tax scenario, further developments in battery technology would open the pathway towards electrification of other ships that operate on open seas. Already familiar battery technologies like LFP and NMC batteries will be developed in a sense of higher energy density and lifetime, but a lower price of the battery. One of the next-generation battery technologies is Solid-State Battery (SSB), in which an ion-conductive solid is used instead of a liquid electrolyte. These types of batteries are not flammable and have high energy density, but they are more expensive than those with liquid electrolytes, mainly due to the early stage of development. Further investigation into those batteries and their mass production in the future will reduce their price. Another future storage technology is a Sodium-ion Battery (SiB). It is considered a potential low-cost alternative to LiBs due to the wide availability of sodium. SiBs can be produced on the same line as LiBs. They are less flammable than LFP batteries and have moderate energy density [50].
To investigate the cost effectiveness of future battery technologies and their implementation on board, the LCCA is performed with data presented in Table 6. The results are presented in Figure 8, where the test case is the considered purse seiner.
Table 6.
Future batteries and their specifications [50].
Figure 8.
Cost comparison of diesel and future battery technologies.
The results presented in Figure 8 show that, in the future, the LFP battery and SiB would be suitable for the electrification of fishing vessels. The main reason why the cost of the SSB is high is the low lifetime, which results in high maintenance costs (SSB needs to be replaced eight times during the ship’s lifetime).
4. Conclusions
This paper investigates the full electrification with different LiBs on board a Croatian purse seiner and trawler. To determine which battery satisfies the environmental and economic criteria, LCA and LCCA were performed. LCA investigated the environmental impact of power systems through three impact categories (climate change, acidification and human toxicity), while LCCA included investment cost, fuel cost, maintenance cost and carbon tax. The LCA and LCCA results of alternative power system configurations are compared with the diesel power system configuration, which serves as a baseline. The main findings of the research can be summarized as follows:
- The LCA comparisons for each impact category indicated that the most environmentally friendly option is the LFP battery, while the second alternative with the lowest emissions is NMC111. Each considered all-electric ship results in lower emissions compared to a diesel-powered ship. LFP on board a purse seiner and trawler results in around 40% lower GHGs. Among the considered batteries, NCA and NMC811 result in the highest environmental footprint mainly due to the high number of their replacement during the 20 years of the ships’ lifetimes.
- The LCCA comparison indicated each all-electric ship’s results in lower total costs compared to a diesel-powered ship. The most cost-efficient battery is LFP, resulting in 57% lower costs (for purse seiner) and 53% lower costs (for trawler) compared to the diesel power system configuration. If the carbon tax is not considered within LCCA, LFP would be the only option with lower costs than a diesel-powered ship.
- The profitability of the full electrification of ships is highly dependent on the market, i.e., battery prices. With the ones used in this study, the full electrification of fishing vessels represents an appropriate replacement for diesel–mechanical propulsion. Both environmental and economic assessments indicated the LFP battery as the most feasible battery for the all-electric purse seiner and trawler operating in the Adriatic Sea.
Further research will concentrate on diverse hybrid power systems suitable for implementation in Croatian fishing vessels. More advanced solutions for a ship’s power system that can effectively meet the necessary emission reduction goals while maintaining reasonable costs are going to be investigated.
Author Contributions
Conceptualization, M.P. and N.V.; methodology, M.P. and N.V.; software, M.P.; validation, N.V.; formal analysis, M.P.; investigation, M.P. and N.V.; resources, M.P.; data curation, M.P.; writing—original draft preparation, M.P, M.K. and I.J.; writing—review and editing, N.V.; visualization, M.P., M.K. and I.J.; supervision, N.V.; project administration, N.V.; funding acquisition, N.V. All authors have read and agreed to the published version of the manuscript.
Funding
This research has been co-funded by the European Maritime and Fisheries Fund of the European Union within the project “Hybrid Energy Systems for fishing vessels (HENSUS)”, granted by the Ministry of Agriculture, Directorate of Fisheries, Republic of Croatia (Award No. 324-01/21-01/2273).
Data Availability Statement
The data presented in this study are available on request from the corresponding author. The data are not publicly available due to non-disclosure agreements with the ship owners.
Conflicts of Interest
The authors declare no conflicts of interest.
Nomenclature
| Variables | |
| AFP | aerosol formation potential (t PM 2,5 -eq) |
| AP | acidification potential (t SO2-eq) |
| BC | battery capacity (kWh) |
| CA | carbon allowance (EUR/t CO2) |
| E | emission (t) |
| EC | energy consumption (kWh) |
| EF | emission factor (g emission/kg) |
| FC | fuel consumption (kg) |
| GWP | global warming potential (t CO2-eq) |
| m | weight of an engine/t) |
| P | power (kW) |
| SFC | specific fuel consumption (kg/kWh) |
| t | time (h) |
| Subscripts | |
| A | annual |
| AE | auxiliary engine |
| ave | average |
| i | gas |
| ME | main engine |
| PS | purse seiner |
| T | trawler |
| Abbreviations | |
| CII | Carbon Intensity Indicator |
| D | Diesel |
| EEDI | Energy Efficiency Design Index |
| EEXI | Energy Efficiency Existing Ship Index |
| ETS | Emission Trading System |
| GHG | Greenhouse Gas |
| GT | Gross Tonnage |
| HFO | Heavy Fuel Oil |
| HPS | Hybrid Power System |
| IES | Isolated Energy System |
| IMO | International Maritime Organization |
| LCA | Life-Cycle Assessment |
| LCCA | Life-Cycle Cost Assessment |
| LCO | Lithium Cobalt Oxide |
| LFP | Lithium Iron Phosphate |
| LiB | Lithium-ion Battery |
| LMO | Lithium Manganese Oxide |
| LTO | Lithium Titanium Oxide |
| M | Manufacturing |
| MDO | Marine Diesel Oil |
| NCA | Lithium Nickel Cobalt Aluminum Oxide |
| Ni-MH | Nickel-Metal Hydride |
| NMC | Lithium Nickel Manganese Cobalt oxide |
| Pb-acid | Lead-acid |
| PM | Particulate Matter |
| SEEMP | Ship Energy Efficiency Management Plan |
| SiB | Sodium-ion Battery |
| SSB | Solid-State Battery |
| TTW | Tank-to-Wake |
| WTT | Well-to-Tank |
References
- Allal, A.A.; Mansouri, K.; Youssfi, M.; Qbadou, M. Toward an evaluation of marine fuels for a clean and efficient autonomous ship propulsion energy. In Materials Today: Proceedings; Elsevier Ltd.: Amsterdam, The Netherlands, 2019; pp. 486–495. [Google Scholar] [CrossRef]
- United Nations Framework Convention Climate Change (UNFCCC). Climate Change Information Kit. Available online: https://unfccc.int/resource/iuckit/cckit2001en.pdf (accessed on 14 January 2021).
- IMO. Initial IMO GHG Study. Available online: https://www.imo.org/en/MediaCentre/HotTopics/pages/reducing-greenhouse-gas-emissions-from-ships.aspx (accessed on 21 July 2023).
- DNV. Achieving the IMO Decarbonization Goals. Available online: https://www.dnv.com/expert-story/maritime-impact/How-newbuilds-can-comply-with-IMOs-2030-CO2-reduction-targets.html (accessed on 24 June 2021).
- Czermański, E.; Oniszczuk-Jastrząbek, A.; Spangenberg, E.F.; Kozłowski, Ł.; Adamowicz, M.; Jankiewicz, J.; Cirella, G.T. Implementation of the Energy Efficiency Existing Ship Index: An important but costly step towards ocean protection. Mar. Policy 2022, 145, 105259. [Google Scholar] [CrossRef]
- Lindstad, E.; Lagemann, B.; Rialland, A.; Gamlem, G.M.; Valland, A. Reduction of maritime GHG emissions and the potential role of E-fuels. Transp. Res. Part D Transp. Environ. 2021, 101, 103075. [Google Scholar] [CrossRef]
- Solakivi, T.; Paimander, A.; Ojala, L. Cost competitiveness of alternative maritime fuels in the new regulatory framework. Transp. Res. Part D Transp. Environ. 2022, 113, 103500. [Google Scholar] [CrossRef]
- Hwang, I.; Park, C.; Jeong, B. Life Cycle Cost Analysis for Scotland Short-Sea Ferries. J. Mar. Sci. Eng. 2023, 11, 424. [Google Scholar] [CrossRef]
- Gao, J.; Lan, H.; Cheng, P.; Hong, Y.-Y.; Yin, H. Optimal Scheduling of an Electric Propulsion Tugboat Considering Various Operating Conditions and Navigation Uncertainties. J. Mar. Sci. Eng. 2022, 10, 1973. [Google Scholar] [CrossRef]
- Kim, S.; Jeon, H.; Park, C.; Kim, J. Lifecycle Environmental Benefits with a Hybrid Electric Propulsion System Using a Control Algorithm for Fishing Boats in Korea. J. Mar. Sci. Eng. 2022, 10, 1202. [Google Scholar] [CrossRef]
- Dotto, A.; Satta, F. Techno-economic optimization of hybrid-electric power plants onboard cruise ships. Energy Convers. Manag. X 2023, 20, 100436. [Google Scholar] [CrossRef]
- Geertsma, R.D.; Negenborn, R.R.; Visser, K.; Hopman, J.J. Design and control of hybrid power and propulsion systems for smart ships: A review of developments. Appl. Energy 2017, 194, 30–54. [Google Scholar] [CrossRef]
- Nuchturee, C.; Li, T.; Xia, H. Energy efficiency of integrated electric propulsion for ships—A review. Renew. Sustain. Energy Rev. 2020, 134, 110145. [Google Scholar] [CrossRef]
- Sterling PlanB Energy Solutions (SPBES). Electrification of Ships. Available online: https://spbes.com/ (accessed on 13 January 2021).
- Gagatsi, E.; Estrup, T.; Halatsis, A. Exploring the Potentials of Electrical Waterborne Transport in Europe: The E-ferry Concept. In Transportation Research Procedia; Elsevier B.V.: Amsterdam, The Netherlands, 2016; pp. 1571–1580. [Google Scholar] [CrossRef]
- Zhang, Y.; Sun, L.; Fan, T.; Ma, F.; Xiong, Y. Speed and energy optimization method for the inland all-electric ship in battery-swapping mode. Ocean Eng. 2023, 284, 115234. [Google Scholar] [CrossRef]
- Guo, S.; Wang, Y.; Dai, L.; Hu, H. All-electric ship operations and management: Overview and future research directions. eTransportation 2023, 17, 100251. [Google Scholar] [CrossRef]
- Perčić, M.; Ančić, I.; Vladimir, N. Life-cycle cost assessments of different power system configurations to reduce the carbon footprint in the Croatian short-sea shipping sector. Renew. Sustain. Energy Rev. 2020, 131, 110028. [Google Scholar] [CrossRef]
- Wang, H.; Boulougouris, E.; Theotokatos, G.; Zhou, P.; Priftis, A.; Shi, G. Life cycle analysis and cost assessment of a battery powered ferry. Ocean Eng. 2021, 241, 110029. [Google Scholar] [CrossRef]
- Perčić, M.; Vladimir, N.; Fan, A. Life-cycle cost assessment of alternative marine fuels to reduce the carbon footprint in short-sea shipping: A case study of Croatia. Appl. Energy 2020, 279, 115848. [Google Scholar] [CrossRef]
- Perčić, M.; Vladimir, N.; Fan, A. Techno-economic assessment of alternative marine fuels for inland shipping in Croatia. Renew. Sustain. Energy Rev. 2021, 148, 111363. [Google Scholar] [CrossRef]
- Wang, C.-N.; Yang, F.-C.; Vo, N.T.M.; Nguyen, V.T.T. Enhancing Lithium-Ion Battery Manufacturing Efficiency: A Comparative Analysis Using DEA Malmquist and Epsilon-Based Measures. Batteries 2023, 9, 317. [Google Scholar] [CrossRef]
- Perčić, M.; Frković, L.; Pukšec, T.; Ćosić, B.; Li, O.L.; Vladimir, N. Life-cycle assessment and life-cycle cost assessment of power batteries for all-electric vessels for short-sea navigation. Energy 2022, 251, 123895. [Google Scholar] [CrossRef]
- Townsend, A.; Gouws, R. A Comparative Review of Lead-Acid, Lithium-Ion and Ultra-Capacitor Technologies and Their Degradation Mechanisms. Energies 2022, 15, 4930. [Google Scholar] [CrossRef]
- Battery University. Types of Lithium-Ion. Available online: https://batteryuniversity.com/article/bu-205-types-of-lithium-ion (accessed on 25 October 2023).
- Reusser, C.A.; Pérez Osses, J.R. Challenges for Zero-Emissions Ship. J. Mar. Sci. Eng. 2021, 9, 1042. [Google Scholar] [CrossRef]
- Parker, R.W.; Vázquez-Rowe, I.; Tyedmers, P.H. Fuel performance and carbon footprint of the global purse seine tuna fleet. J. Clean. Prod. 2015, 103, 517–524. [Google Scholar] [CrossRef]
- Basurko, O.C.; Gabiña, G.; Uriondo, Z. Energy performance of fishing vessels and potential savings. J. Clean. Prod. 2013, 54, 30–40. [Google Scholar] [CrossRef]
- Parker, R.W.R.; Tyedmers, P.H. Fuel consumption of global fishing fleets: Current understanding and knowledge gaps. Fish Fish. 2015, 16, 684–696. [Google Scholar] [CrossRef]
- Kurniawati, V.R. Sustainable Development of Fishing Operations: A Case Study Focusing on Small Vessels in Palabuhanratu, Indonesia. Ph.D. Thesis, Newcastle University, Newcastle upon Tyne, UK, 2019. [Google Scholar]
- Marine Stewardship Council. Fishing Methods and Gear Types. Available online: https://www.msc.org/what-we-are-doing/our-approach/fishing-methods-and-gear-types (accessed on 17 August 2023).
- National Oceanic and Atmospheric Administration (NOAA)-Fisheries. Bycatch. Available online: https://www.fisheries.noaa.gov/topic/bycatch/overview (accessed on 18 August 2023).
- Basurko, O.C.; Gabiña, G.; Quincoces, I. Fuel Consumption Monitoring in Fishing Vessels and Its Potential for Different Stakeholders. Available online: https://conferences.ncl.ac.uk/media/sites/conferencewebsites/scc2016/1.1.2.pdf (accessed on 26 August 2023).
- Koričan, M.; Frković, L.; Vladimir, N. Electrification of fishing vessels and their integration into isolated energy systems with a high share of renewables. J. Clean. Prod. 2023, 425, 138997. [Google Scholar] [CrossRef]
- Koričan, M.; Perčić, M.; Vladimir, N.; Alujević, N.; Fan, A. Alternative Power Options for Improvement of the Environmental Friendliness of Fishing Trawlers. J. Mar. Sci. Eng. 2022, 10, 1882. [Google Scholar] [CrossRef]
- Directory of Fisheries Ministry of Agriculture of Republic of Croatia, Fishing Vessel Particulars. 2023. Available online: https://ribarstvo.mps.hr/default.aspx?id=13 (accessed on 29 August 2023).
- General Fisheries Commission for the Mediterranean. Authorized Vessel List. Available online: https://www.fao.org/gfcm/data/fleet/avl/en/ (accessed on 29 August 2023).
- Koričan, M.; Vladimir, N.; Fan, A. Investigation of the energy efficiency of fishing vessels: Case study of the fishing fleet in the Adriatic Sea. Ocean Eng. 2023, 286, 115734. [Google Scholar] [CrossRef]
- Perčić, M.; Vladimir, N.; Koričan, M.; Jovanović, I.; Haramina, T. Alternative Fuels for the Marine Sector and Their Applicability for Purse Seiners in a Life-Cycle Framework. Appl. Sci. 2023, 13, 13068. [Google Scholar] [CrossRef]
- European Commission. European Platform on LCA. Available online: https://eplca.jrc.ec.europa.eu/lifecycleassessment.html (accessed on 27 September 2023).
- ISO 14040; International Organization for Standardization (ISO). Available online: https://www.iso.org/standard/37456.html (accessed on 12 December 2020).
- GREET 2022. LCA Software. Available online: https://greet.es.anl.gov/index.php (accessed on 27 September 2023).
- DNV. EU ETS: Preliminary Agreement to Include Shipping in the EU’s Emission Trading System from 2024. Available online: https://www.dnv.com/news/eu-ets-preliminary-agreement-to-include-shipping-in-the-eu-s-emission-trading-system-from-2024-238068 (accessed on 22 July 2023).
- Trading Economics. EU Carbon Permits. Available online: https://tradingeconomics.com/commodity/carbon (accessed on 27 September 2023).
- International Energy Agency. Global Energy and Climate Model-Macro Drivers. Available online: https://www.iea.org/reports/global-energy-and-climate-model/macro-drivers (accessed on 10 October 2023).
- International Energy Agency. World Energy Outlook 2022. Available online: https://iea.blob.core.windows.net/assets/830fe099-5530-48f2-a7c1-11f35d510983/WorldEnergyOutlook2022.pdf (accessed on 27 September 2023).
- Iannaccone, T.; Landucci, G.; Tugnoli, A.; Salzano, E.; Cozzani, V. Sustainability of cruise ship fuel systems: Comparison among LNG and diesel technologies. J. Clean. Prod. 2020, 260, 121069. [Google Scholar] [CrossRef]
- International Energy Agency. Biodiesel and Diesel Prices. 2019 to April 2022. Available online: https://www.iea.org/data-and-statistics/charts/biodiesel-and-diesel-prices-2019-to-april-2022 (accessed on 28 September 2023).
- Hasselwander, S.; Meyer, M.; Österle, I. Techno-Economic Analysis of Different Battery Cell Chemistries for the Passenger Vehicle Market. Batteries 2023, 9, 379. [Google Scholar] [CrossRef]
- International Maritime Organization (IMO). Fourth IMO GHG Study-Final Report. Available online: https://safety4sea.com/wp-content/uploads/2020/08/MEPC-75-7-15-Fourth-IMO-GHG-Study-2020-Final-report-Secretariat.pdf (accessed on 14 January 2021).
Disclaimer/Publisher’s Note: The statements, opinions and data contained in all publications are solely those of the individual author(s) and contributor(s) and not of MDPI and/or the editor(s). MDPI and/or the editor(s) disclaim responsibility for any injury to people or property resulting from any ideas, methods, instructions or products referred to in the content. |
© 2023 by the authors. Licensee MDPI, Basel, Switzerland. This article is an open access article distributed under the terms and conditions of the Creative Commons Attribution (CC BY) license (https://creativecommons.org/licenses/by/4.0/).









