A Chain of Vertex-Sharing {CoIII2CoII2}n Squares with Single-Ion Magnet Behavior
Abstract
1. Introduction
2. Results and Discussion
2.1. Synthesis, IR Spectroscopy and Powder X-ray Diffraction
2.2. Description of the Structure
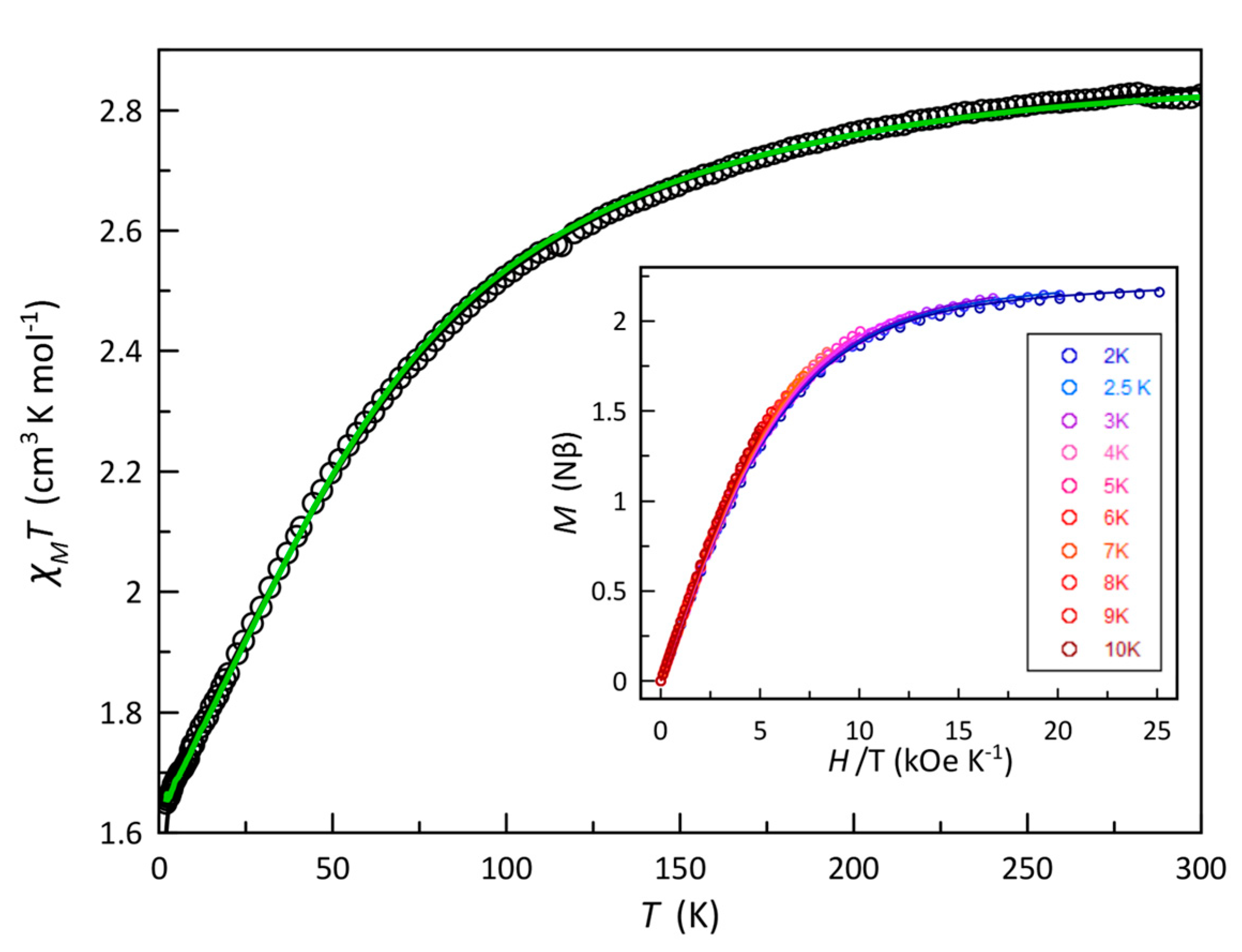
2.3. Static (dc) Magnetic Properties
2.4. Theoretical Calculations
2.5. Dynamic (ac) Magnetic Properties
3. Materials and Methods
3.1. Materials and General Methods
3.2. Preparation of {[CoII(MeOH)2][(μ-NC)2CoIII(dmphen)(CN)2]2}n·2nH2O (1)
3.3. Physical Measurements
3.4. Computational Details
3.5. X-ray Data Collection and Structure Refinement
4. Conclusions
Supplementary Materials
Author Contributions
Funding
Institutional Review Board Statement
Informed Consent Statement
Data Availability Statement
Acknowledgments
Conflicts of Interest
References
- Sieklucka, B.; Pinkowicz, D. (Eds.) Molecular Magnetic Materials; Wiley-VCH: Weinheim, Germany, 2017. [Google Scholar]
- Ferrando-Soria, J.; Vallejo, J.; Castellano, M.; Martínez-Lillo, J.; Pardo, E.; Cano, J.; Castro, I.; Lloret, F.; Ruiz-García, R.; Julve, M. Molecular Magnetism, quo vadis? A historical perspective from a coordination chemist viewpoint. Coord. Chem. Rev. 2017, 339, 17–103. [Google Scholar] [CrossRef]
- Lescouëzec, R.; Toma, L.M.; Vaissermann, J.; Verdaguer, M.; Delgado, F.S.; Ruiz-Pérez, C.; Lloret, F.; Julve, M. Design of single chain magnets through cyanide-bearing six-coordinate complexes. Coord. Chem. Rev. 2005, 249, 2691–2729. [Google Scholar] [CrossRef]
- Wang, S.; Ding, X.-H.; Zuo, J.-L.; You, X.-Z.; Huang, W. Tricyanometalate molecular chemistry: A type of versatile building blocks for the construction of cyanide-bridged molecular architectures. Coord. Chem. Rev. 2011, 255, 1713–1732. [Google Scholar] [CrossRef]
- Wang, S.; Ding, X.-H.; Li, Y.-H.; Huang, W. Dicyanometalate chemistry: A type of versatile building block for the construction of cyanide-bridged molecular architectures. Coord. Chem. Rev. 2012, 256, 439–464. [Google Scholar] [CrossRef]
- Li, Y.-H.; He, W.-R.; Ding, X.-H.; Wang, S.; Cui, L.-F.; Huang, W. Cyanide-bridged assemblies constructed from capped tetracyanometalate building blocks [MA(ligand)(CN)4]1-/2- (MA = Fe or Cr). Coord. Chem. Rev. 2012, 256, 2795–2815. [Google Scholar] [CrossRef]
- Jeon, I.-R.; Clérac, R. Controlled association of single-molecule magnets (SMMs) into coordination networks: Towards a new generation of magnetic materials. Dalton Trans. 2012, 41, 9569–9586. [Google Scholar] [CrossRef]
- Wang, J.-H.; Li, Z.-Y.; Yamashita, M.; Bu, X.-H. Recent progress on cyano-bridged transition-metal-based single-molecule magnets and single-ion magnets. Coord. Chem. Rev. 2021, 428, 213617. [Google Scholar] [CrossRef]
- Alexandru, M.-G.; Visinescu, D.; Marino, N.; de Munno, G.; Lloret, F.; Julve, M. {CoIIIMnIII}n corrugated chains based on heteroleptic cyanido metalloligands. RSC Adv. 2015, 5, 95410–95420. [Google Scholar] [CrossRef]
- Shao, D.; Zhou, Y.; Pi, Q.; Shen, F.-X.; Yang, S.-R.; Zhang, S.-L.; Wang, X.-Y. Two-dimensional frameworks formed by pentagonal bipyramidal cobalt(II) ions and hexacyanometallates: Antiferromagnetic ordering, metamagnetism and slow magnetic relaxation. Dalton Trans. 2017, 46, 9088–9096. [Google Scholar] [CrossRef]
- Shao, D.; Shi, L.; Shena, F.-X.; Wang, X.-Y. A cyano-bridged coordination nanotube showing field-induced slow magnetic relaxation. CrystEngComm 2017, 19, 5707–5711. [Google Scholar] [CrossRef]
- Liu, M.-J.; Hu, K.-Q.; Liu, C.-M.; Cui, A.-L.; Kou, H.-Z. Metallocyclic Ni4Ln2M2 single-molecule magnets. Dalton Trans. 2017, 46, 6544–6552. [Google Scholar] [CrossRef]
- Xin, Y.; Wang, J.; Zychowicz, M.; Zakrzewski, J.J.; Nakabayashi, K.; Sieklucka, B.; Chorazy, S.; Ohkoshi, S.I. Dehydration–Hydration Switching of Single-Molecule Magnet Behavior and Visible Photoluminescence in a Cyanido-Bridged DyIIICoIII Framework. J. Am. Chem. Soc. 2019, 141, 18211–18220. [Google Scholar] [CrossRef]
- Wang, J.; Zakrzewski, J.J.; Heczko, M.; Zychowicz, M.; Nakagawa, K.; Nakabayashi, K.; Sieklucka, B.; Chorazy, S.; Ohkoshi, S.I. Proton Conductive Luminescent Thermometer Based on Near-Infrared Emissive {YbCo2} Molecular Nanomagnets. J. Am. Chem. Soc. 2020, 142, 3970–3979. [Google Scholar] [CrossRef]
- Karachousos-Spiliotakopoulos, K.; Tangoulis, V.; Panagiotou, N.; Tasiopoulos, A.; Moreno-Pineda, E.; Wernsdorfer, W.; Schulze, M.; Botas, A.M.P.; Carlos, L.D. Luminescence thermometry and field induced slow magnetic relaxation based on a near infrared emissive heterometallic complex. Dalton Trans. 2022, 51, 8208–8216. [Google Scholar] [CrossRef]
- Liberka, M.; Zychowicz, M.; Zychowicz, W.; Chorazy, S. Neutral dicyanidoferrate(II) metalloligands for the rational design of dysprosium(III) single-molecule magnets. Chem. Commun. 2022, 58, 6381–6384. [Google Scholar] [CrossRef]
- Alexandru, M.-G.; Visinescu, D.; Shova, S.; Bentama, A.; Lloret, F.; Cano, J.; Julve, M. X-ray structure and magnetic properties of heterobimetallic chains based on the use of an octacyanidodicobalt(III) complex as metalloligand. Magnetochemistry 2020, 6, 66. [Google Scholar] [CrossRef]
- Jiménez, J.-R.; Xu, B.; El Said, H.; Li, Y.; Bardeleben, J.; Chamoreau, L.-M.; Lescouëzec, R.; Shova, S.; Visinescu, D.; Alexandru, M.-G.; et al. Field-induced Single Ion Magnet behaviour in discrete and one-dimensional complexes containing the bis(1-methylimidazol-2-yl)ketone]-containing cobalt(II) building units. Dalton Trans. 2021, 50, 16353–16363. [Google Scholar] [CrossRef]
- Bar, A.K.; Pichon, C.; Gogoi, N.; Duhayon, C.; Ramaseshac, S.; Sutter, J.-P. Single-ion magnet behaviour of heptacoordinated Fe(II) complexes: On the importance of supramolecular organization. Chem. Commun. 2015, 51, 3616–3619. [Google Scholar] [CrossRef]
- Puzan, A.; Zychowicz, M.; Wang, J.; Zakrzewski, J.J.; Reczyński, M.; Ohkoshi, S.I.; Chorazy, S. Tunable magnetic anisotropy in luminescent cyanido-bridged {Dy2Pt3} molecules incorporating heteroligand PtIV linkers. Dalton Trans. 2021, 50, 16242–16253. [Google Scholar] [CrossRef]
- Long, J.; Chamoreau, L.-M.; Marvaud, V. Heterotrimetallic 3d-4d-4f decanuclear metal-capped square showing single-molecule magnet behavior. Dalton Trans. 2010, 39, 2188–2190. [Google Scholar] [CrossRef]
- Alexandru, M.-G.; Visinescu, D.; Shova, S.; Lloret, F.; Julve, M.; Andruh, M. Two-Dimensional Coordination Polymers Constructed by [NiIILnIII] Nodes and [WIV(bpy)(CN)6]2- Spacers: A Network of [NiIIDyIII] Single Molecule Magnets. Inorg. Chem. 2013, 52, 11627–11637. [Google Scholar] [CrossRef] [PubMed]
- Jankowski, R.; Zakrzewski, J.J.; Surma, O.; Ohkoshi, S.I.; Chorazy, S.; Sieklucka, B. Near-infrared emissive Er(III) and Yb(III) molecular nanomagnets in metal–organic chains functionalized by octacyanidometallates(IV). Inorg. Chem. Front. 2019, 6, 2423–2434. [Google Scholar] [CrossRef]
- Charytanowicz, T.; Jankowski, R.; Zychowicz, M.; Chorazy, S.; Sieklucka, B. The rationalized pathway from field-induced slow magnetic relaxation in CoII–WIV chains to single-chain magnetism in isotopological CoII–WV analogues. Inorg. Chem. Front. 2022, 9, 1152–1170. [Google Scholar] [CrossRef]
- Podgajny, R.; Chmel, N.P.; Bałanda, M.; Tracz, P.; Gaweł, B.; Zajac, D.; Sikora, M.; Kapusta, C.; Łasocha, W.; Wasiutynski, T.; et al. Exploring the formation of 3D ferromagnetic cyano-bridged CuII2+x{CuII4[WV(CN)8]4−2x[WIV(CN)8]2x}·yH2O networks. J. Mater. Chem. 2007, 17, 3308–3314. [Google Scholar] [CrossRef]
- Wang, Z.-X.; Wei, J.; Li, Y.-Z.; Guo, J.-S.; Song, Y. Two trinuclear copper(II)-octacyanometalate(IV) bimetallic complexes coordinated with chiral ligands. J. Mol. Struct. 2008, 875, 198–204. [Google Scholar] [CrossRef]
- Wang, Y.; Wang, T.-W.; Xiao, H.-P.; Li, Y.-Z.; Song, Y.; You, X.-Z. Diamond- and Graphite-Like Octacyanometalate-Based Polymers Induced by Metal Ions. Chem. Eur. J. 2009, 15, 7648–7655. [Google Scholar] [CrossRef]
- Qian, J.; Yoshikawa, H.; Zhang, J.; Zhao, H.; Awaga, K.; Zhang, C. Heterobimetallic Tungsten/Molybdenum(IV)−Copper(II) MOFs Constructed by a Unique 2D → 3D Architecture and Exhibiting New Topology and Magnetic Properties. Cryst. Growth Des. 2009, 9, 5351–5355. [Google Scholar] [CrossRef]
- Qian, J.; Zhao, H.; Wei, H.; Li, J.; Zhang, J.; Yoshikawa, H.; Awaga, K.; Zhang, C. Two 3D coordination assemblies with same cluster configuration showing different magnetic behaviors: A ferromagnetic {[W(CN)8Co2(DMF)8][NO3]}n and a paramagnetic {W(CN)8Cu2(py)8}n. CrystEngComm 2011, 13, 517–523. [Google Scholar] [CrossRef]
- Alexandru, M.-G.; Visinescu, D.; Shova, S.; Lloret, F.; Julve, M. Synthesis, crystal structure and magnetic properties of a cyanide-bridged heterometallic {CoIIMnIII} chain. Dalton Trans. 2017, 46, 39–43. [Google Scholar] [CrossRef]
- Alexandru, M.-G.; Marino, N.; Visinescu, D.; De Munno, G.; Andruh, M.; Bentama, A.; Lloret, F.; Julve, M. A novel octacyanido dicobalt(III) building block for the construction of heterometallic compounds. New J. Chem. 2019, 43, 6675–6682. [Google Scholar] [CrossRef]
- Toma, L.; Lescouëzec, R.; Vaissermann, J.; Delgado, F.S.; Ruiz-Pérez, C.; Carrasco, R.; Cajo, J.; Lloret, F.; Julve, M. Nuclearity Controlled Cyanide-Bridged Bimetallic CrIII-MnII Compounds: Synthesis, Crystal Structures, Magnetic Properties and Theoretical Calculations. Chem. Eur. J. 2004, 10, 6130–6145. [Google Scholar] [CrossRef]
- Toma, L.; Lescouëzec, R.; Vaissermann, J.; Herson, P.; Marvaud, V.; Lloret, F.; Julve, M. [CrIII(L)(CN4)]−: A new building block in designing cyanide-bridged 4,2-ribbon-like chains {[CrIII(L)(CN)4]2Mn(H2O)2}· nH2O} [L = 2-aminomethylpyridine (n = 6) and 1,10-phenanthroline (n = 4)]. New J. Chem. 2005, 29, 210–219. [Google Scholar] [CrossRef]
- Lescouëzec, R.; Lloret, F.; Julve, M.; Vaissermann, J.; Verdaguer, M.; Llusar, R.; Uriel, S. [Fe(Phen)(CN)4)]−: A Versatile Building Block for the Design of Heterometallic Systems. Crystal Structures and Magnetic Properties of PPh4[Fe(Phen)(CN)4]·2H2O and [{Fe(Phen)(CN)4}2Mn(H2O)2]·4H2O] [Phen = 1,10-Phenanthroline; M = Mn(II) and Zn(II)]. Inorg. Chem. 2001, 40, 2065–2072. [Google Scholar] [CrossRef]
- Lescouëzec., R.; Vaissermann, J.; Ruiz-Pérez, C.; Lloret, F.; Carrasco, R.; Julve, M.; Verdaguer, M.; Dromzée, Y.; Gatteschi, D.; Wernsdorfer, W. Cyanide-Bridged Iron(III)-Cobalt(II) Double Zigzag Ferromagnetic Chains: Two New Molecular Magnetic Nanowires. Angew. Chem. Int. Ed. Engl. 2003, 42, 1483–1486. [Google Scholar] [CrossRef]
- Toma, L.M.; Delgado, F.S.; Ruiz-Pérez, C.; Carrasco, R.; Cano, J.; Lloret, F.; Julve, M. Synthesis, crystal structures and magnetic properties of single and double cyanide-bridged bimetallic FeIII2CuII zigzag chains. Dalton Trans. 2004, 2836–2846. [Google Scholar] [CrossRef]
- Toma, L.M.; Lescouëzec, R.; Uriel, S.; Llusar, R.; Ruiz-Pérez, C.; Vaissermann, J.; Lloret, F.; Julve, M. 4,2-Ribbon like ferromagnetic cyano-bridged FeIII2NiII chains: A magneto-structural study. Dalton Trans. 2007, 33, 3690–3698. [Google Scholar] [CrossRef]
- Toma, L.M.; Lescouëzec, R.; Pasán, J.; Ruiz-Pérez, C.; Vaissermann, J.; Cano, J.; Carrasco, R.; Wernsdorfer, W.; Lloret, F.; Julve, M. [Fe(bpym)(CN)4]−: A New Building Block for Designing Single-Chain Magnets. J. Am. Chem. Soc. 2006, 128, 4842–4853. [Google Scholar] [CrossRef]
- Wen, H.-R.; Wang, C.-F.; Song, Y.; Li, Y.-Z.; Zuo, J.-L.; You, X.-Z. Syntheses, structures and magnetic properties of heterometallic FeIII2MII (M = Cu, Mn) chains based on tetracyanometallate building units. Inorg. Chim. Acta 2009, 362, 1485–1490. [Google Scholar] [CrossRef]
- Toma, L.M.; Ruiz-Pérez, C.; Lloret, F.; Julve, M. Slow Relaxation of the Magnetization in a 4,4-Wavelike FeIII2CoII Heterobimetallic Chain. Inorg. Chem. 2012, 51, 1216–1218. [Google Scholar] [CrossRef]
- Toma, L.M.; Pasán, J.; Ruiz-Pérez, C.; Lloret, F.; Julve, M. [FeIII(dmphen)(CN)4]−: A new building block for designing single-chain magnets. Dalton Trans. 2012, 41, 13716–13726. [Google Scholar] [CrossRef]
- Kang, L.C.; Chen, X.; Wang, C.F.; Zhou, X.-H.; Zuo, J.-L.; You, X.-Z. Syntheses, structures and magnetic properties of heterometallic complexes based on a new tetracyanometallate precursor. Inorg. Chim. Acta 2009, 362, 5195–5202. [Google Scholar] [CrossRef]
- Llunell, M.; Casanova, D.; Cirera, J.; Bofill, J.M.; Alemany, P.; Alvarez, S.; Pinsky, M.; Avnir, D. Shape: Continuous Shape Measures of Polygonal and Polyhedral Molecular Fragments, 1.1b; University of Barcelona: Barcelona, Spain, 2005. [Google Scholar]
- Casanova, D.; Llunell, M.; Alemany, P.; Alvarez, S. The Rich Stereochemistry of Eight-Vertex Polyhedra: A Continuous Shape Measures Study. Chem. Eur. J. 2005, 11, 1479–1494. [Google Scholar] [CrossRef] [PubMed]
- Alexandru, M.-G.; Visinescu, D.; Marino, N.; De Munno, G.; Vallejo, J.; Lloret, F.; Julve, M. Cyanido-Bearing Cobalt (II/III) Metalloligands–Synthesis, Crystal Structure, and Magnetic Properties. Eur. J. Inorg. Chem. 2014, 27, 4564–4572. [Google Scholar] [CrossRef]
- Alexandru, M.-G.; Visinescu, D.; Shova, S.; Stiriba, S.-E.; Cano, J.; Lloret, F.; Julve, M. Slow relaxation of the magnetization in a [CoIIIMnIII] heterometallic brick-wall network. Polyhedron 2021, 200, 115118. [Google Scholar] [CrossRef]
- Carlin, R.L. Magnetochemistry; Springer: Berlin/Heidelberg, Germany, 1986. [Google Scholar]
- Cano, J. VPMAG; University of Valencia: Valencia, Spain, 2003. [Google Scholar]
- De Munno, G.; Julve, M.; Lloret, F.; Faus, J.; Caneschi, A. 2,2′-Bipyrimidine (bipym)-bridged Dinuclear Complexes. Part 4.1 Synthesis, Crystal Structure and Magnetic Properties of [Co2(H2O)8(bipym)](NO3)4, [Co2(H2O)8(bipym)][SO4]2.2H2O and [Co2(bipym)3(NCS)4]. J. Chem. Soc. Dalton Trans. 1994, 8, 1175–1183. [Google Scholar] [CrossRef]
- Sakiyama, H.; Ito, R.; Kumagai, H.; Inoue, K.; Sakamoto, M.; Nishida, Y.; Yamasaki, M. Dinuclear Cobalt(II) Complexes of an Acyclic Phenol-Based Dinucleating Ligand with four Methoxyethyl Chelating Arms-First Magnetic Analyses in an Axially Distorted Octahedral Field. Eur. J. Inorg. Chem. 2001, 8, 2027–2032. [Google Scholar] [CrossRef]
- Herrera, J.M.; Bleuzen, A.; Dromzée, Y.; Julve, M.; Lloret, F.; Verdaguer, M. Crystal Structures and Magnetic Properties of Two Octacyaniotungstate(IV) and Cobalt(II) Three-Dimensional Bimetallic Frameworks. Inorg. Chem. 2003, 42, 7052–7059. [Google Scholar] [CrossRef]
- Mishra, V.; Lloret, F.; Mukherjee, R. Coordination versatility of 1,3-bis [3-(2-pyridyl)pyrazol-1-yl]propane: Co(II) and Ni(II) complexes. Inorg. Chim. Acta 2006, 359, 4053–4062. [Google Scholar] [CrossRef]
- Lloret, F.; Julve, M.; Cano, J.; Ruiz-García, R.; Pardo, E. Magnetic properties of six-coordinated high-spin cobalto(II) complexes. Theoretical background and its applications. Inorg. Chim. Acta 2008, 361, 3432–3445. [Google Scholar] [CrossRef]
- Fabelo, O.; Pasán, J.; Lloret, F.; Julve, M.; Ruiz-Pérez, C. 1,24,5-Benzenetetracarboxylate- and 2,2′-Bipyrimidine-Containing Cobalt(II) Coordination Polymers. Preparation, Crystal Structure, and Magnetic Properties. Inorg. Chem. 2008, 47, 3568–3576. [Google Scholar] [CrossRef]
- Fabelo, O.; Pasán, J.; Cañadillas-Delgado, L.; Delgado, F.S.; Lloret, F.; Julve, M.; Ruiz-Pérez, C. Cobalt(II) Sheet-Like Systems Based on Diacetic Ligands: From Subtle Structural Variances to Different Magnetic Behaviors. Inorg. Chem. 2009, 48, 6086–6095. [Google Scholar] [CrossRef]
- Świtlicka-Olszewska, A.; Machura, B.; Kruszynski, R.; Cano, J.; Toma, L.M.; Lloret, F.; Julve, M. Single-ion magnet behavior in mononuclear and two-dimensional dicyanamide-containing coblat(II) complexes. Dalton Trans. 2016, 45, 10181–10193. [Google Scholar] [CrossRef]
- Świtlicka, A.; Klemens, T.; Machura, B.; Vallejo, J.; Cano, J.; Lloret, F.; Julve, M. Field-induced slow magnetic relaxation in pseudooctahedral cobalto(II) complexes with positive axial and large rhombic anisotropy. Dalton Trans. 2019, 48, 1404–1417. [Google Scholar] [CrossRef]
- Vallejo, J.; Castro, I.; Ruiz-García, R.; Cano, J.; Julve, M.; Lloret, F.; De Munno, G.; Wernsdorfer, W.; Pardo, E. Field-Induced Slow Magnetic Relaxation in a Six-Coordinate Mononuclear Cobalt(II) Complex with a Positive Anisotropy. J. Am. Chem. Soc. 2012, 134, 15704–15707. [Google Scholar] [CrossRef]
- Peng, Y.; Mereacre, V.; Anson, C.E.; Zhang, Y.; Bodenstein, T.; Fink, K.; Powell, A.K. Field-Induced Co(II) Single-Ion Magnets with mer-Directing Ligands but Ambiguous Coordination Geometry. Inorg. Chem. 2017, 56, 6056–6066. [Google Scholar] [CrossRef]
- Villa-Pérez, C.; Oyarzabal, I.; Echeverria, G.A.; Valencia-Uribe, G.C.; Seco, J.M.; Soria, D.B. Single-Ion Magnets Based on Mononuclear Cobalt(II) Complexes with Sulfadiazines. Eur. J. Inorg. Chem. 2016, 29, 4835–4841. [Google Scholar] [CrossRef]
- Rajnák, C.; Titiš, J.; Moncol, J.; Renz, F.; Boca, R. Field-Supported Slow Magnetic Relaxation in Hexacoordinate CoII Complexes with Easy Plane Anisotropy. Eur. J. Inorg. Chem. 2017, 11, 1520–1525. [Google Scholar] [CrossRef]
- Valigura, D.; Rajnák, C.; Moncol, J.; Titiš, J.; Boca, R. A mononuclear Co(II) complex formed from pyridinedimethanol with manifold slow relaxation channels. Dalton Trans. 2017, 46, 10950–10956. [Google Scholar] [CrossRef]
- Sertphon, D.; Murray, K.S.; Phonsn, W.; Jover, J.; Ruiz, E.; Telfer, S.G.; Alkas, A.; Harding, P.; Harding, D.J. Slow relaxation of magnetization in a bis-mer-tridentate octahedral Co (II) complex. Dalton Trans. 2018, 47, 859–867. [Google Scholar] [CrossRef]
- Váhovská, L.; Vitushkina, S.; Potocnák, I.; Travnicek, Z.; Herchel, R. Effect of linear and non-linear pseudohalides on the structural and magnetic proerties of Co(II) hexacoordinate single-molecule magnet. Dalton Trans. 2018, 47, 1498–1512. [Google Scholar] [CrossRef]
- Vallejo, J.; Viciano-Chumillas, M.; Lloret, F.; Julve, M.; Castro, I.; Krzystek, J.; Ozerov, M.; Armentano, D.; De Munno, G.; Cano, J. Coligand Effects on the Field-Induced Double Slow Magnetic Relaxation in Six-Coordinate Cobalt(II) Single-Ion Magnets (SIMs) with Positive Magnetic Anisotropy. Inorg. Chem. 2019, 58, 15726–15740. [Google Scholar] [CrossRef] [PubMed]
- Wu, Y.; Tian, D.; Ferrando-Soria, J.; Cano, J.; Yin, L.; Ouyang, Z.; Wang, Z.; Luo, S.; Liu, X.; Pardo, E. Modulation of the magnetic anisotropy of octahedral cobalto(II) single-ion magnets by fine tuning the axial coordination microenvironment. Inorg. Chem. Front. 2019, 6, 848–856. [Google Scholar] [CrossRef]
- Chahine, A.Y.; Phonsn, W.; Murray, K.S.; Turner, D.R.; Batten, S.R. Coordination polymers of a bis-isophthalate bridging ligand with single molecule magnet behaviour of the CoII analogue. Dalton Trans. 2020, 49, 5241–5249. [Google Scholar] [CrossRef] [PubMed]
- Świtlicka, A.; Machura, B.; Kruszynski, R.; Moliner, N.; Carbonell, J.M.; Cano, J.; Lloret, F.; Julve, M. Magneto-structural diversity of Co(II) compounds with 1-benzylimidazole induced by linear pseudohalide colignads. Inorg. Chem. Front. 2020, 7, 4535–4552. [Google Scholar] [CrossRef]
- Shao, D.; Xu, F.-X.; Yin, L.; Li, H.-Q.; Sun, Y.-C.; Ouyang, Z.-W.; Wang, Z.-X.; Zhang, Y.-Q.; Wang, X.-Y. Fine-Tuning of Structural Distortion and Magnetic Anisotropy by Organosulfonates in Octahedral Cobalt(II) Complexes. Chin. J. Chem. 2022, 40, 2193–2202. [Google Scholar] [CrossRef]
- Sahu, P.K.; Kharel, R.; Shome, S.; Goswami, S.; Konar, S. Understanding the unceasing evolution of Co(II) based single-ion magnets. Coord. Chem. Rev. 2023, 475, 214871. [Google Scholar] [CrossRef]
- Rabelo, R.; Toma, L.; Moliner, N.; Julve, M.; Lloret, F.; Pasán, J.; Ruiz-Pérez, C.; Ruiz-García, R.; Cano, J. Electroswitching of the Single-Molecule Magnet Behaviour in an Octahedral Spin Crossover Cobalt(II) Complex with a Redox-Active Pyridinediimine Ligand. Chem. Commun. 2020, 56, 12242–12245. [Google Scholar] [CrossRef]
- Cole, K.S.; Cole, R.H. Dispersion and absorption in dielectrics. I. Alternating current characteristics. J. Chem. Phys. 1941, 9, 341–351. [Google Scholar] [CrossRef]
- Angeli, C.; Cimiraglia, R.; Malrieu, J.P. N-electron valence state perturbation theory: A fast implementation of the strongly contracted variant. Chem. Phys. Lett. 2001, 350, 297–305. [Google Scholar] [CrossRef]
- Angeli, C.; Cimiraglia, R.; Malrieu, J.P. n-electron valence state perturbation theory: A spinless formulation and an efficient implementation of the strongly contracted and of the partially contracted variants. J. Chem. Phys. 2002, 117, 9138–9153. [Google Scholar] [CrossRef]
- Angeli, C.; Cimiraglia, R.; Evangelisti, S.; Leininger, T.; Malrieu, J.P. Introduction of n-electron valence states for multireference perturbation theory. J. Chem. Phys. 2001, 114, 10252–10264. [Google Scholar] [CrossRef]
- Neese, F. The ORCA program system. Wires Comput. Mol. Sci. 2012, 2, 73–78. [Google Scholar] [CrossRef]
- Schäfer, A.; Huber, C.; Ahlrichs, R. Fully optimized contracted Gaussian basis sets of triple zeta valence quality for atoms Li to Kr. J. Chem. Phys. 1994, 100, 5829–5835. [Google Scholar] [CrossRef]
- Weigend, F.; Ahlrichs, R. Balanced basis sets of split valence, triple zeta valence and quadruple zeta valence quality for H to Rn: Design and assessment of accuracy. Phys. Chem. Chem. Phys. 2005, 7, 3297–3305. [Google Scholar] [CrossRef]
- Weigend, F. Accurate Coulomb-fitting basis sets for H to Rn. Phys. Chem. Chem. Phys. 2006, 8, 1057–1065. [Google Scholar] [CrossRef]
- Eichkorn, K.; Treutler, O.; Ohm, H.; Haser, M.; Ahlrichs, R. Auxiliary basis sets to approximate Coulomb potentials. Chem. Phys. Lett. 1995, 242, 652–660. [Google Scholar] [CrossRef]
- Eichkorn, K.; Weigend, F.; Treutler, O.; Ahlrichs, R. Auxiliary basis sets for main row atoms and transition metals and their use to approximate Coulomb potentials. Theor. Chem. Acc. 1997, 97, 119–124. [Google Scholar] [CrossRef]
- Neese, F.; Wennmohs, F.; Hansen, A.; Becker, U. Efficient, approximate and parallel Hartree–Fock and hybrid DFT calculations. A ‘chain-of-spheres’ algorithm for the Hartree–Fock exchange. Chem. Phys. 2009, 356, 98–109. [Google Scholar] [CrossRef]
- Izsák, R.; Neese, F.J. An overlap fitted chain of spheres exchange method. J. Chem. Phys. 2011, 135, 144105. [Google Scholar] [CrossRef]
- Izsák, R.; Hansen, A.; Neese, F. The resolution of identity and chain of spheres approximations for the LPNO-CCSD singles Fock term. Mol. Phys. 2012, 110, 2413–2417. [Google Scholar] [CrossRef]
- CrysAlisPro Software System v42; Rigaku Corporation: Oxford, UK, 2015.
- Sheldrick, G.M. SHELXT—Integrated Space-Group and Crystal-Structure Determination. Acta Crystallogr. Sect. A Found. Crystallogr. 2015, 71, 3–8. [Google Scholar] [CrossRef] [PubMed]
- Sheldrick, G.M. Crystal structure refinement with SHELXL. Acta Crystallogr. Sect. C Struct. Chem. 2015, 71, 3–8. [Google Scholar] [CrossRef] [PubMed]
- Dolomanov, O.V.; Bourhis, L.J.; Gildea, R.J.; Howard, J.A.K.; Puschmann, H. A complete structure solution, refinement and general all round good thing Olex2. J. Appl. Crystallogr. 2009, 42, 339–341. [Google Scholar] [CrossRef]
- Putz, H.; Brandenburg, K. Diamond—Crystal and Molecular Structure Visualization, Crystal Impact. Bonn, Germany. Available online: https://www.crystalimpact.com/diamond (accessed on 30 October 2014).





| Co1-O1 | 2.125(5) | O1-Co1-O1 c | 180.0 |
| Co1-O1 e | 2.125(5) | N5-Co1-O1 | 89.6(2) |
| Co1-N4 a | 2.129(6) | N4-Co1-O1 | 90.7(2) |
| Co1-N4 f | 2.129(6) | N1-Co2-N2 | 82.7(2) |
| Co1-N5 | 2.102(5) | Co2-C15-N3 | 178.8(6) |
| Co2-N1 | 2.011(5) | Co2-C16-N4 | 174.4(6) |
| Co2-N2 | 2.034(5) | Co2-C17-N5 | 176.3(6) |
| Co2-C15 | 1.898(6) | Co2-C18-N6 | 176.4(8) |
| Co2-C16 | 1.872(7) | Co1-N5-C17 | 169.5(5) |
| Co2-C17 | 1.922(7) | Co1 b-N4-C16 | 176.5(6) |
| Co2-C18 | 1.875(8) |
| Empirical Formula | C38H36Co3N12O4 |
|---|---|
| Formula weight | 901.58 |
| T/K | 200 |
| Crystal system | Triclinic |
| Space group | P-1 |
| a/Å | 7.3830(6) |
| b/Å | 10.9266(12) |
| c/Å | 12.9259(13) |
| α/° | 80.056(9) |
| β/° | 74.231(8) |
| γ/° | 77.893(9) |
| Volume/Å3 | 973.74(18) |
| Z | 1 |
| ρcalcg/cm3 | 1.537 |
| μ/mm−1 | 1.320 |
| F(000) | 461.0 |
| Crystal size/mm3 | 0.06 × 0.06 × 0.06 |
| Radiation | Mo Kα (λ = 0.71073 Å) |
| 2θ range for data collection/° | 3.842 to 49.798 |
| Index ranges | −8 ≤ h ≤ 8, −12 ≤ k ≤ 12, −15 ≤ l ≤ 15 |
| Reflections collected | 9083 |
| Independent reflections | 3385 [Rint = 0.0609] |
| Data/restraints/parameters | 3385/4/270 |
| Goodness-of-fit on F2 | 1.093 |
| Final R indexes [I ≥ 2σ(I)] | R1 = 0.0793, wR2 = 0.1612 |
| Final R indexes [all data] | R1 = 0.1196, wR2 = 0.1787 |
| Largest diff. peak/hole (e Å−3) | 1.66/−0.63 |
Disclaimer/Publisher’s Note: The statements, opinions and data contained in all publications are solely those of the individual author(s) and contributor(s) and not of MDPI and/or the editor(s). MDPI and/or the editor(s) disclaim responsibility for any injury to people or property resulting from any ideas, methods, instructions or products referred to in the content. |
© 2023 by the authors. Licensee MDPI, Basel, Switzerland. This article is an open access article distributed under the terms and conditions of the Creative Commons Attribution (CC BY) license (https://creativecommons.org/licenses/by/4.0/).
Share and Cite
Alexandru, M.-G.; Visinescu, D.; Shova, S.; Cano, J.; Moliner, N.; Lloret, F.; Julve, M. A Chain of Vertex-Sharing {CoIII2CoII2}n Squares with Single-Ion Magnet Behavior. Magnetochemistry 2023, 9, 130. https://doi.org/10.3390/magnetochemistry9050130
Alexandru M-G, Visinescu D, Shova S, Cano J, Moliner N, Lloret F, Julve M. A Chain of Vertex-Sharing {CoIII2CoII2}n Squares with Single-Ion Magnet Behavior. Magnetochemistry. 2023; 9(5):130. https://doi.org/10.3390/magnetochemistry9050130
Chicago/Turabian StyleAlexandru, Maria-Gabriela, Diana Visinescu, Sergiu Shova, Joan Cano, Nicolás Moliner, Francesc Lloret, and Miguel Julve. 2023. "A Chain of Vertex-Sharing {CoIII2CoII2}n Squares with Single-Ion Magnet Behavior" Magnetochemistry 9, no. 5: 130. https://doi.org/10.3390/magnetochemistry9050130
APA StyleAlexandru, M.-G., Visinescu, D., Shova, S., Cano, J., Moliner, N., Lloret, F., & Julve, M. (2023). A Chain of Vertex-Sharing {CoIII2CoII2}n Squares with Single-Ion Magnet Behavior. Magnetochemistry, 9(5), 130. https://doi.org/10.3390/magnetochemistry9050130

