Reversibility of the Magnetocaloric Effect in the Bean-Rodbell Model
Abstract
1. Introduction
2. Methods
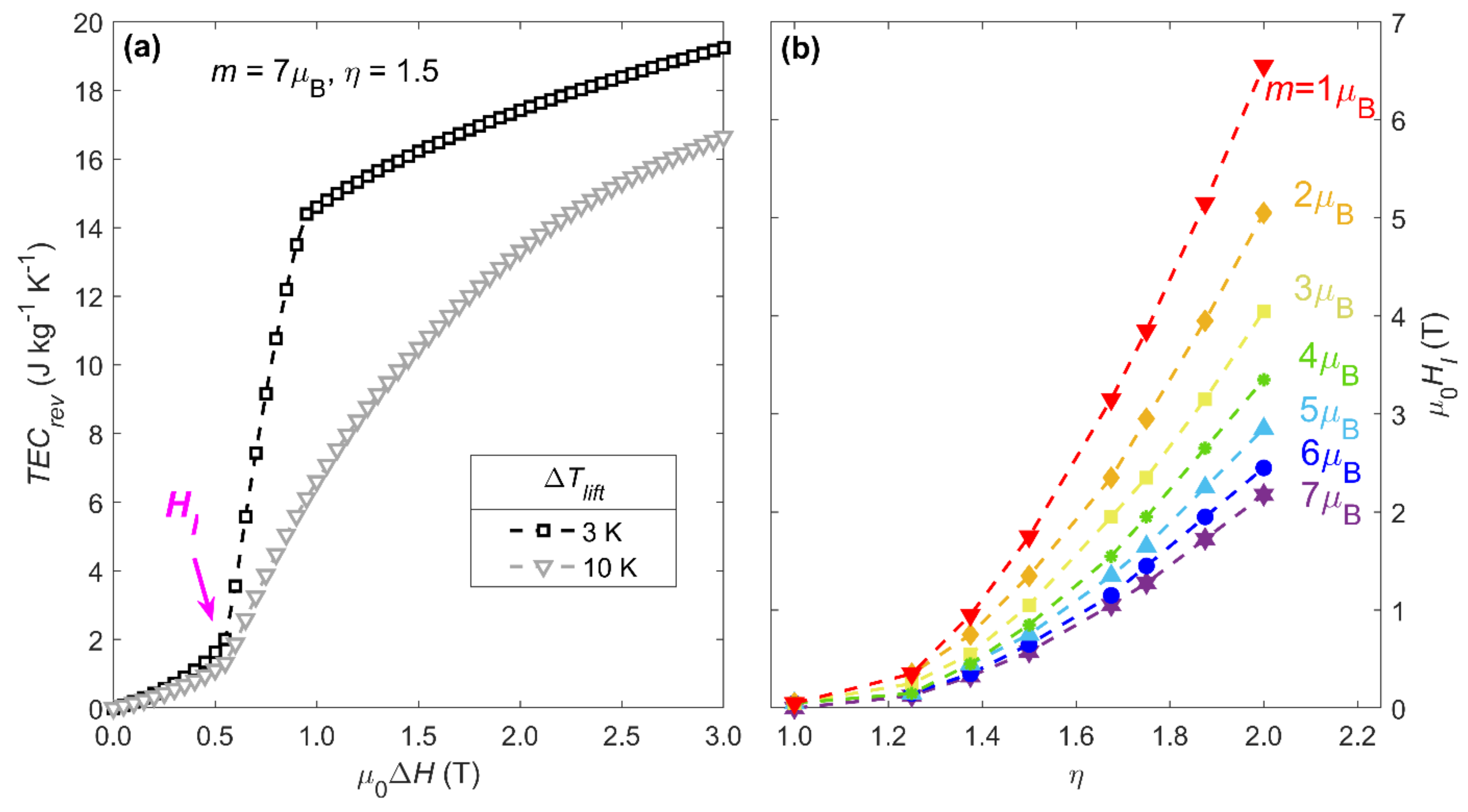
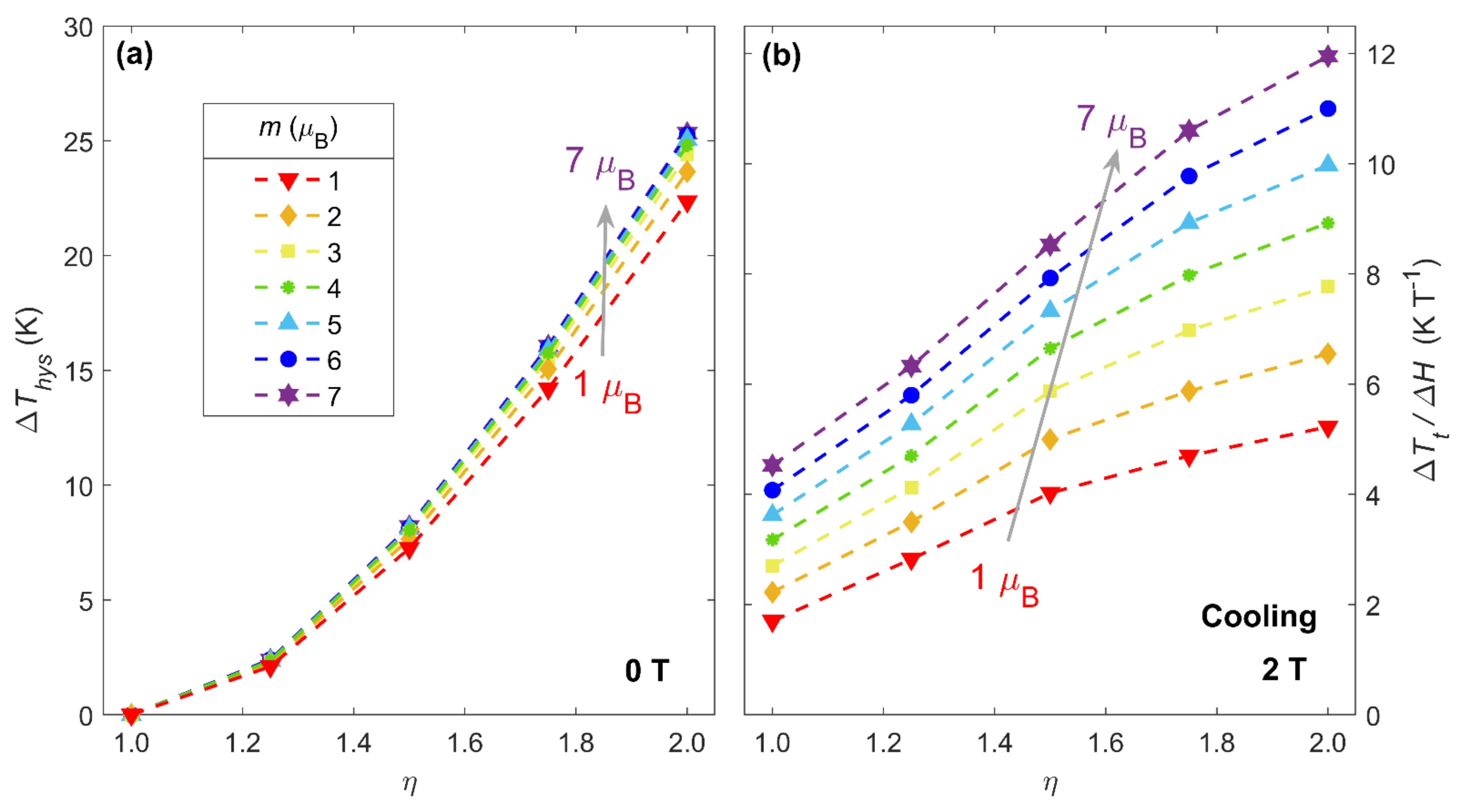
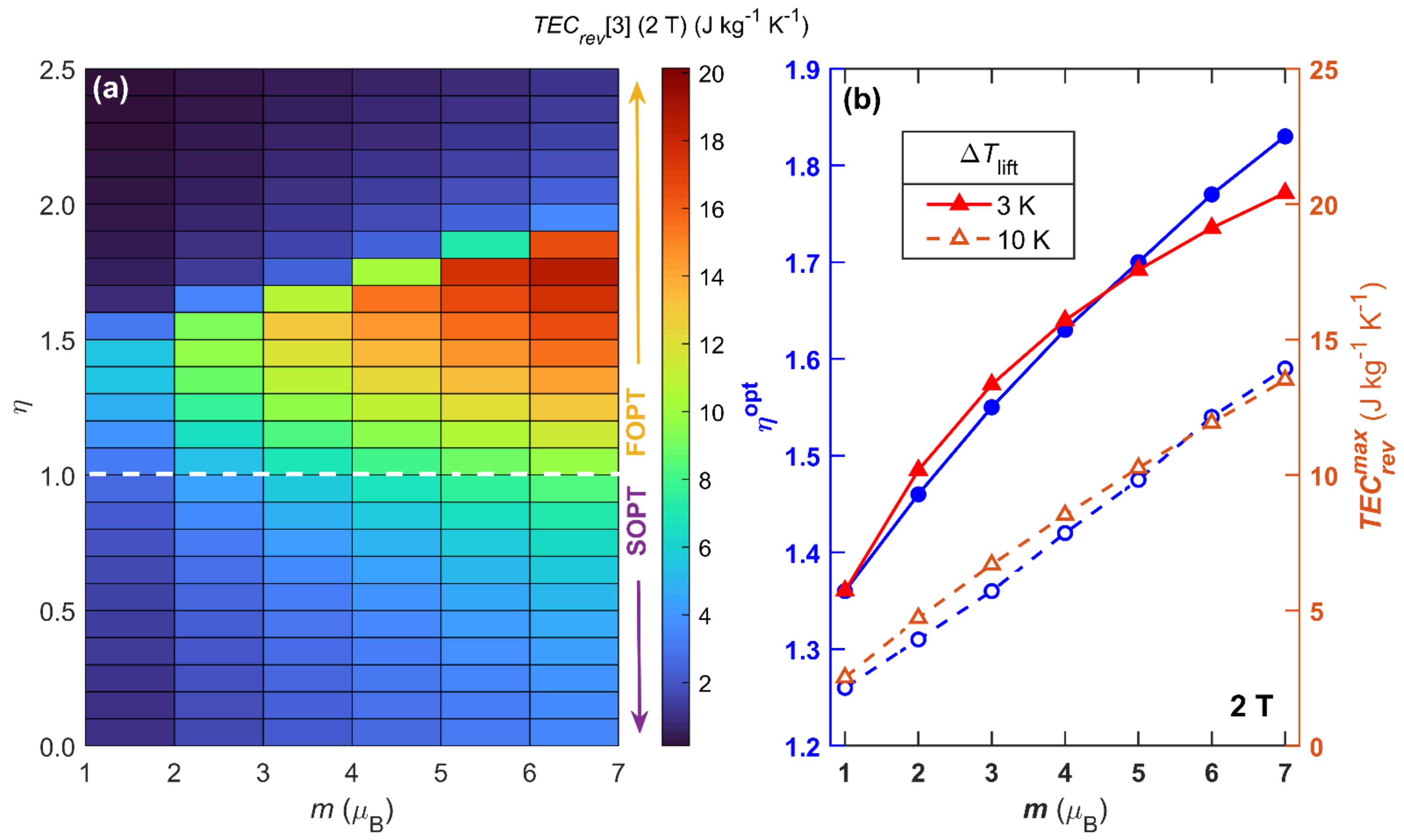
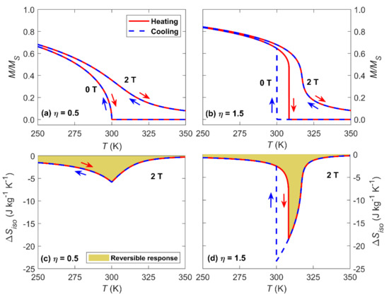
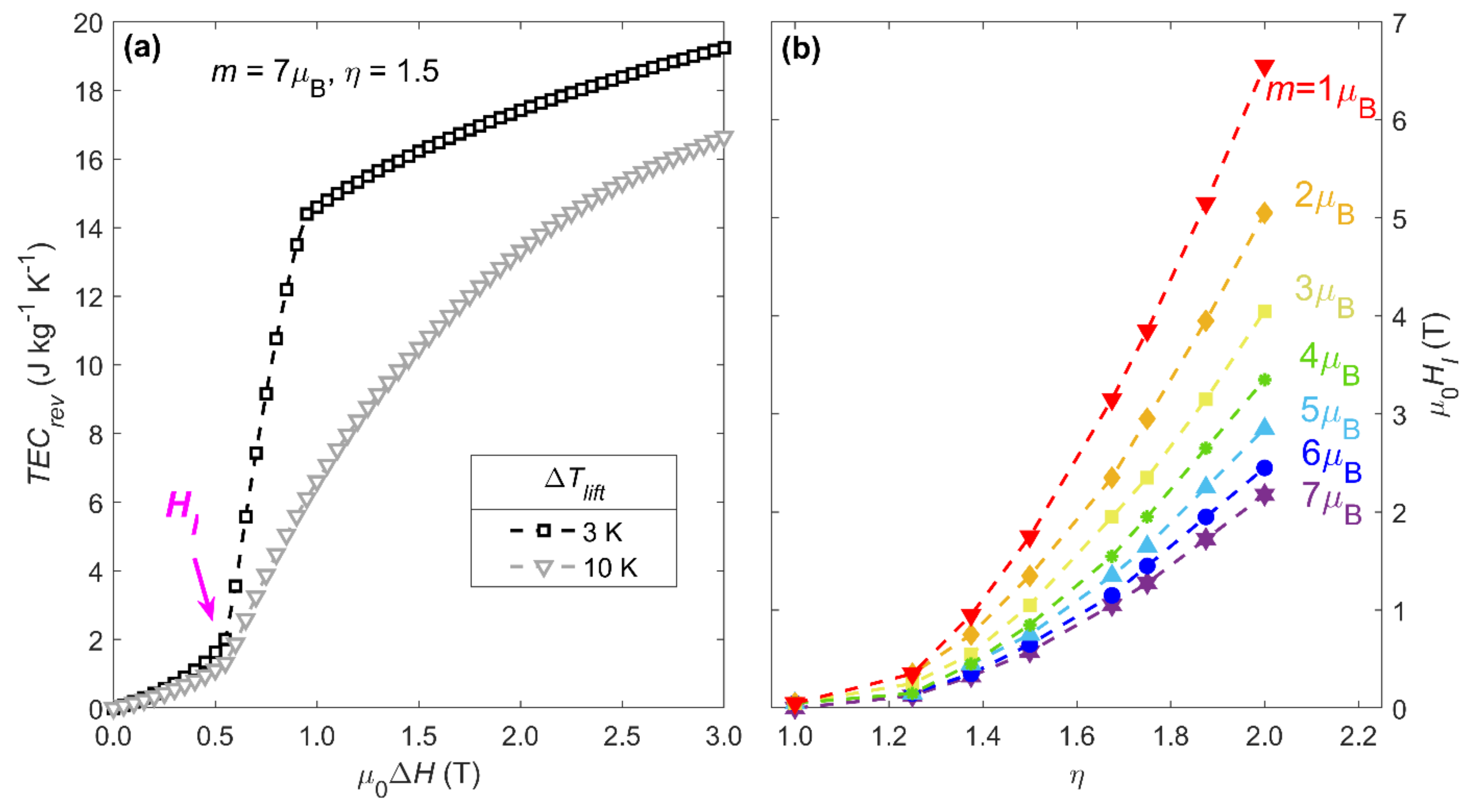
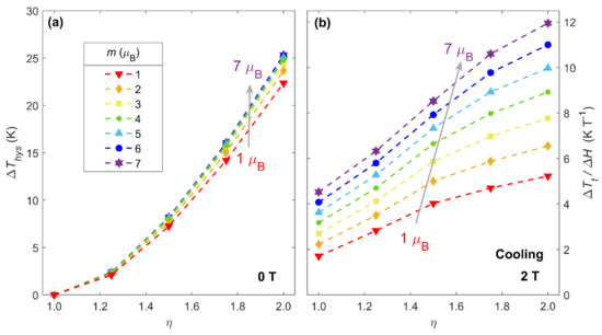
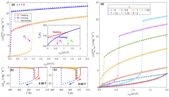
3. Results and Discussion
4. Conclusions
Author Contributions
Funding
Acknowledgments
Conflicts of Interest
References
- Brown, G.V. Magnetic heat pumping near room temperature. J. Appl. Phys. 1976, 47, 3673–3680. [Google Scholar] [CrossRef]
- Pecharsky, V.K.; Gschneidner, K.A. Giant magnetocaloric effect in Gd5(Si2Ge2). Phys. Rev. Lett. 1997, 78, 4494–4497. [Google Scholar] [CrossRef]
- Franco, V.; Blázquez, J.S.; Ipus, J.J.; Law, J.Y.; Moreno-Ramírez, L.M.; Conde, A. Magnetocaloric effect: From materials research to refrigeration devices. Prog. Mater. Sci. 2018, 93, 112–232. [Google Scholar] [CrossRef]
- Zimm, C.; Jastrab, A.; Sternberg, A.; Pecharsky, V.; Gschneidner, K.; Osborne, M.; Anderson, I. Description and Performance of a Near-Room Temperature Magnetic Refrigerator. In Advances in Cryogenic Engineering; Springer: Berlin, German, 1998; pp. 1759–1766. ISBN 978-1-4757-9047-4. [Google Scholar]
- Kitanovski, A.; Tušek, J.; Tomc, U.; Plaznik, U.; Ožbolt, M.; Poredoš, A. Magnetocaloric Energy Conversion—From Theory to Applications; Springer: Berlin, German, 2015; ISBN 978-3-319-08741-2. [Google Scholar]
- Tishin, A.M.; Spichkin, Y.I. The Magnetocaloric Effect and Its Applications; Institute of Physics: Bristol, UK; Philadelphia, PA, USA, 2003; ISBN 9781420033373. [Google Scholar]
- Jaeger, G. The Ehrenfest classification of phase transitions: Introduction and evolution. Arch. Hist. Exact Sci. 1998, 53, 51–81. [Google Scholar] [CrossRef]
- Gottschall, T.; Skokov, K.P.; Fries, M.; Taubel, A.; Radulov, I.; Scheibel, F.; Benke, D.; Riegg, S.; Gutfleisch, O. Making a Cool Choice: The Materials Library of Magnetic Refrigeration. Adv. Energy Mater. 2019, 9, 1901322. [Google Scholar] [CrossRef]
- Franco, V.; Blázquez, J.S.; Ingale, B.; Conde, A. The magnetocaloric effect and magnetic refrigeration near room temperature: Materials and models. Annu. Rev. Mater. Res. 2012, 42, 305–342. [Google Scholar] [CrossRef]
- Gutfleisch, O.; Gottschall, T.; Fries, M.; Benke, D.; Radulov, I.; Skokov, K.P.; Wende, H.; Gruner, M.; Acet, M.; Entel, P.; et al. Mastering hysteresis in magnetocaloric materials. Philos. Trans. R. Soc. A Math. Phys. Eng. Sci. 2016, 374, 20150308. [Google Scholar] [CrossRef]
- Zverev, V.I.; Tishin, A.M.; Kuz’min, M.D. The maximum possible magnetocaloric ΔT effect. J. Appl. Phys. 2010, 107, 043907. [Google Scholar] [CrossRef]
- Sandeman, K.G. Magnetocaloric materials: The search for new systems. Scr. Mater. 2012, 67, 566–571. [Google Scholar] [CrossRef]
- Guillou, F.; Yibole, H.; Porcari, G.; Zhang, L.; Van Dijk, N.H.; Brück, E. Magnetocaloric effect, cyclability and coefficient of refrigerant performance in the MnFe(P, Si, B) system. J. Appl. Phys. 2014, 116, 063903. [Google Scholar] [CrossRef]
- Qian, S.; Nasuta, D.; Rhoads, A.; Wang, Y.; Geng, Y.; Hwang, Y.; Radermacher, R.; Takeuchi, I. Not-in-kind cooling technologies: A quantitative comparison of refrigerants and system performance. Int. J. Refrig. 2016, 62, 177–192. [Google Scholar] [CrossRef]
- Moya, X.; Defay, E.; Heine, V.; Mathur, N.D. Too cool to work. Nat. Phys. 2015, 11, 202–205. [Google Scholar] [CrossRef]
- Smith, A.; Bahl, C.R.H.; Bjork, R.; Engelbrecht, K.; Nielsen, K.K.; Pryds, N. Materials challenges for high performance magnetocaloric refrigeration devices. Adv. Energy Mater. 2012, 2, 1288–1318. [Google Scholar] [CrossRef]
- Brück, E.; Yibole, H.; Zhang, L. A universal metric for ferroic energy materials. Philos. Trans. R. Soc. A Math. Phys. Eng. Sci. 2016, 374, 20150303. [Google Scholar] [CrossRef]
- Wood, M.E.; Potter, W.H. General analysis of magnetic refrigeration and its optimization using a new concept: Maximization of refrigerant capacity. Cryogenics (Guildf) 1985, 25, 667–683. [Google Scholar] [CrossRef]
- Chaudhary, V.; Maheswar Repaka, D.V.; Chaturvedi, A.; Sridhar, I.; Ramanujan, R.V. Magnetocaloric properties and critical behavior of high relative cooling power FeNiB nanoparticles. J. Appl. Phys. 2014, 116, 163918. [Google Scholar] [CrossRef]
- Fang, Y.; Yu, Z.; Peng, G.; Feng, T. Near room-temperature magnetocaloric effect in amorphous FeSc alloys: The effect of minor Co additions. J. Non. Cryst. Solids 2019, 505, 211–214. [Google Scholar] [CrossRef]
- Duc, N.T.M.; Shen, H.X.; Thiabgoh, O.; Huong, N.T.; Sun, J.F.; Phan, M.H. Melt-extracted Gd73.5Si13B13.5/GdB6 ferromagnetic/antiferromagnetic microwires with excellent magnetocaloric properties. J. Alloys Compd. 2020, 818, 153333. [Google Scholar] [CrossRef]
- Griffith, L.D.; Mudryk, Y.; Slaughter, J.; Pecharsky, V.K. Material-based figure of merit for caloric materials. J. Appl. Phys. 2018, 123, 034902. [Google Scholar] [CrossRef]
- Jacobs, S.; Auringer, J.; Boeder, A.; Chell, J.; Komorowski, L.; Leonard, J.; Russek, S.; Zimm, C. The performance of a large-scale rotary magnetic refrigerator. Int. J. Refrig. 2014, 37, 84–91. [Google Scholar] [CrossRef]
- Lei, T.; Nielsen, K.K.; Engelbrecht, K.; Bahl, C.R.H.; Neves Bez, H.; Veje, C.T. Sensitivity study of multi-layer active magnetic regenerators using first order magnetocaloric material La(Fe,Mn,Si)13Hy. J. Appl. Phys. 2015, 118, 014903. [Google Scholar] [CrossRef]
- Chirkova, A.; Skokov, K.P.; Schultz, L.; Baranov, N.V.; Gutfleisch, O.; Woodcock, T.G. Giant adiabatic temperature change in FeRh alloys evidenced by direct measurements under cyclic conditions. Acta Mater. 2016, 106, 15–21. [Google Scholar] [CrossRef]
- Bean, C.P.; Rodbell, D.S. Magnetic disorder as a first-order phase transformation. Phys. Rev. 1962, 126, 104–115. [Google Scholar] [CrossRef]
- Bez, H.N.; Nielsen, K.K.; Norby, P.; Smith, A.; Bahl, C.R.H. Magneto-elastic coupling in La(Fe, Mn, Si)13Hy within the Bean-Rodbell model. AIP Adv. 2016, 6, 056217. [Google Scholar] [CrossRef]
- Law, J.Y.; Franco, V.; Moreno-Ramírez, L.M.; Conde, A.; Karpenkov, D.Y.; Radulov, I.; Skokov, K.P.; Gutfleisch, O. A quantitative criterion for determining the order of magnetic phase transitions using the magnetocaloric effect. Nat. Commun. 2018, 9, 2680. [Google Scholar] [CrossRef]
- Karpenkov, D.Y.; Karpenkov, A.Y.; Skokov, K.P.; Radulov, I.A.; Zheleznyi, M.; Faske, T.; Gutfleisch, O. Pressure Dependence of Magnetic Properties in La(Fe,Si)13: Multistimulus Responsiveness of Caloric Effects by Modeling and Experiment. Phys. Rev. Appl. 2020, 13, 034014. [Google Scholar] [CrossRef]
- Piazzi, M.; Bennati, C.; Curcio, C.; Kuepferling, M.; Basso, V. Modeling specific heat and entropy change in La(Fe-Mn-Si)13-H compounds. J. Magn. Magn. Mater. 2016, 400, 349–355. [Google Scholar] [CrossRef]
- Amaral, J.S.; Das, S.; Amaral, S.V. The Mean-Field Theory in the Study of Ferromagnets and the Magnetocaloric Effect. In Thermodynamics—Systems in Equilibrium and Non-Equilibrium; IntechOpen: London, UK, 2011. [Google Scholar] [CrossRef]
- Greenwood, N.N.; Earnshaw, A. Chemistry of the Elements; Butterworth-Heinemann: Oxford, UK, 2012; ISBN 9780080501093. [Google Scholar]
- Kaeswurm, B.; Franco, V.; Skokov, K.P.; Gutfleisch, O. Assessment of the magnetocaloric effect in La,Pr(Fe,Si) under cycling. J. Magn. Magn. Mater. 2016, 406, 259–265. [Google Scholar] [CrossRef]
- Shen, J.; Wang, F.; Zhao, J.L.; Wu, J.F.; Gong, M.Q.; Hu, F.X.; Li, Y.X.; Sun, J.R.; Shen, B.G. Reduction in hysteresis losses and large magnetic entropy change in the B-doped La(Fe,Si)13 compounds. J. Appl. Phys. 2010, 107, 09A909. [Google Scholar] [CrossRef]
- Moreno-Ramírez, L.M.; Blázquez, J.S.; Radulov, I.A.; Skokov, K.P.; Gutfleisch, O.; Franco, V.; Conde, A. Combined kinetic and Bean–Rodbell approach for describing field-induced transitions in LaFe11.6Si1.4 alloys. J. Phys. D Appl. Phys. 2021, 54, 135003. [Google Scholar] [CrossRef]
- Guillou, F.; Porcari, G.; Yibole, H.; Van Dijk, N.; Brück, E. Taming the first-order transition in giant magnetocaloric materials. Adv. Mater. 2014, 26, 2671–2675. [Google Scholar] [CrossRef] [PubMed]
- Giguère, A.; Foldeaki, M.; Ravi Gopal, B.; Chahine, R.; Bose, T.K.; Frydman, A.; Barclay, J.A. Direct Measurement of the Giant Adiabatic Temperature Change in Gd5Si2Ge2. Phys. Rev. Lett. 1999, 83, 2262–2265. [Google Scholar] [CrossRef]
- Sun, J.R.; Hu, F.X.; Shen, B.G. Comment on Direct Measurement of the Giant Adiabatic Temperature Change in Gd5Si2Ge2. Phys. Rev. Lett. 2000, 85, 4191. [Google Scholar] [CrossRef] [PubMed]
- Planes, A.; Mañosa, L.; Acet, M. Magnetocaloric effect and its relation to shape-memory properties in ferromagnetic Heusler alloys. J. Phys. Condens. Matter 2009, 21, 233201. [Google Scholar] [CrossRef]
- Palacios, E.; Bartolomé, J.; Wang, G.; Burriel, R.; Skokov, K.; Taskaev, S.; Khovaylo, V. Analysis of the Magnetocaloric Effect in Heusler Alloys: Study of Ni50CoMn36Sn13 by Calorimetric Techniques. Entropy 2015, 17, 1236–1252. [Google Scholar] [CrossRef]





Publisher’s Note: MDPI stays neutral with regard to jurisdictional claims in published maps and institutional affiliations. |
© 2021 by the authors. Licensee MDPI, Basel, Switzerland. This article is an open access article distributed under the terms and conditions of the Creative Commons Attribution (CC BY) license (https://creativecommons.org/licenses/by/4.0/).
Share and Cite
Moreno-Ramírez, L.M.; Franco, V. Reversibility of the Magnetocaloric Effect in the Bean-Rodbell Model. Magnetochemistry 2021, 7, 60. https://doi.org/10.3390/magnetochemistry7050060
Moreno-Ramírez LM, Franco V. Reversibility of the Magnetocaloric Effect in the Bean-Rodbell Model. Magnetochemistry. 2021; 7(5):60. https://doi.org/10.3390/magnetochemistry7050060
Chicago/Turabian StyleMoreno-Ramírez, Luis M., and Victorino Franco. 2021. "Reversibility of the Magnetocaloric Effect in the Bean-Rodbell Model" Magnetochemistry 7, no. 5: 60. https://doi.org/10.3390/magnetochemistry7050060
APA StyleMoreno-Ramírez, L. M., & Franco, V. (2021). Reversibility of the Magnetocaloric Effect in the Bean-Rodbell Model. Magnetochemistry, 7(5), 60. https://doi.org/10.3390/magnetochemistry7050060
