Abstract
Thanks to the strong magnetic anisotropy shown by the multiferroic RMn2O5 (R = magnetic rare earth) compounds, a large adiabatic temperature change can be induced (around 10 K) by rotating them in constant magnetic fields instead of the standard magnetization-demagnetization method. Particularly, the TbMn2O5 single crystal reveals a giant rotating magnetocaloric effect (RMCE) under relatively low constant magnetic fields reachable by permanent magnets. On the other hand, the nature of R3+ ions strongly affects their RMCEs. For example, the maximum rotating adiabatic temperature change exhibited by TbMn2O5 is more than five times larger than that presented by HoMn2O5 in a constant magnetic field of 2 T. In this paper, we mainly focus on the physics behind the RMCE shown by RMn2O5 multiferroics. We particularly demonstrate that the rare earth size could play a crucial role in determining the magnetic order, and accordingly, the rotating magnetocaloric properties of RMn2O5 compounds through the modulation of exchange interactions via lattice distortions. This is a scenario that seems to be supported by Raman scattering measurements.
1. Introduction
Functional magnetocaloric materials at room temperature have attracted worldwide interest over the last two decades due to their potential implementation as refrigerants in magnetic cooling systems [1,2,3,4,5,6,7,8,9,10,11,12,13]. However, the search for materials with excellent magnetocaloric properties in the temperature range from about 2 to 30 K is of great interest from fundamental, practical, and economical points of view, due to their potential use as refrigerants in several low temperature applications such as the space industry, scientific instruments, and gas liquefaction [14,15,16,17,18,19,20,21,22,23,24,25]. On the other hand, the development of new designs that can render magnetic cooling more competitive is also a key parameter for the commercialization of this emergent technology. Recently, Matsumoto et al. [14] have unveiled a reciprocating AMR magnetic cooling device which utilizes the Dy2.4Gd0.6Al5O12 (DGAG) compound as a working refrigerant. However, this material exhibits a large specific heat which largely reduces its magnetocaloric effect (MCE) in terms of the adiabatic temperature change (1 to 2 K under 1 T) [14].
In this context, the RMn2O5 (R = magnetic rare-earth element) multiferroics seem to be alternative candidates for magnetocaloric tasks around 10 K [15,16,25,26,27,28,29]. These compounds unveil complex crystalline and magnetic structures which results in a wide range of fascinating electrical and magnetic phenomena [25,26,27,28,29]. At room temperature, they crystallize in the orthorhombic structure of the space group Pbam. Their unit cell consists of Mn3+O5 pyramids and Mn4+O6 octahedra which are connected to each other through oxygen atoms [25,26]. The octahedra are aligned along the c-axis and share their edges. The formed ribbons are linked by pairs of corner-shared Mn3+O5 pyramids within the ab-plane. The rare earth R3+ ions are located in the empty interstitial sites surrounded by octahedra and pyramids.
Over the past fifteen years, the RMn2O5 compounds have been widely studied because of the strong coupling between their electric and magnetic ordering parameters. Particularly, Hur et al. [13] have demonstrated that a reversible switching of electric polarization can be achieved in TbMn2O5 using relatively low magnetic fields, opening ways for the design of new multiferroic devices. On the other hand, the competition between different magnetic exchange interactions in the orthorhombic RMn2O5 compounds results in strongly frustrated systems. Consequently, a large MCE could be obtained by rotating them between their easy and hard-axes in constant magnetic fields (Figure 1), instead of the conventional magnetization-demagnetization process (via field variation) [15,16,30,31]. This would enable the implementation of more compact and efficient magnetic refrigeration devices with a simplified design [1,15,16]. However, as presented below, the RMCE shown by the RMn2O5 oxides markedly depends on the rare earth element. In this paper, we try to understand the physics behind such differences by combining both magnetic measurements and Raman scattering data.
Figure 1.
(a) Generation of the MCE by rotating the single crystals between their easy and hard-axes; (b) Full entropy as a function of temperature along the easy and hard-axes.
It is worth noting that the magnetocaloric properties and particularly the RMCE were separately reported in RMn2O5 (R = Ho, Tb) multiferroics [15,16]. However, in order to provide the reader with the big picture of the RMCE shown by these materials, we consider that it is important to firstly discuss and compare their magnetic and magnetocaloric properties in Section 2. This will enable us to pave the way for the developed analysis in Section 3 regarding the influence of the rare earth size on the RMCE in RMn2O5 single crystals.
2. RMCE in RMn2O5 (R = Tb and Ho): Comparative Study
Figure 2 shows the Raman spectra of RMn2O5 (R = Tb and Ho) at 5 K obtained with incident light (632.8 nm) polarized in the xy-plane. The analysis of different Raman excitations confirms that the high-quality crystals under study form in an orthorhombic symmetry with the Pbam space group. It is worth noting that the competition between different magnetic exchange interactions makes RMn2O5 systems highly frustrated. Consequently, consecutive magnetic and ferroelectric phase transitions occur at around 45, 38, 20, and 10 K [25,26,27,28,29]. Usually, the Mn3+/Mn4+ spins order in an incommensurate antiferromagnetic (AFM) state at TN1 ~ 45 K, becoming commensurate with decreasing temperature at a lock-in transition point (TL = 33 K). A second magnetic phase transition at which the AFM ordering of Mn moments becomes incommensurate takes place at TN2 ~ 20 K. The onset of ferroelectric order was observed slightly below TN1, at TC ~ 38 K, while the rare earth moments usually order below 15 K [25,26,27,28,29]. The temperature dependence of the magnetization for both HoMn2O5 and TbMn2O5 compounds under a low magnetic field of 0.1 T applied along their easy-axes is reported in Figure 3a. As shown, only the magnetic transition related to the R3+ spin ordering is clearly visible at low temperatures around 10 K. The phase transitions involving the manganese sublattice and occurring at TN1, TC, and TN2 cannot be clearly seen in the thermomagnetic curves shown in Figure 3a, but their presence can be easily identified from specific heat measurements, as reported in Reference [28]. This mainly arises from the complex arrangement of the Mn moments in RMn2O5. In the latter, the Mn3+/Mn4+ magnetic moments are strongly AFM-coupled within the ab-plane, building zigzag chains in a direction along the a-axis, regardless of the presence of the rare-earth 4f-magnetic moments [25,26]. This makes the contribution of the Mn3+/Mn4+ moments to the total magnetization marginal, being a common property of RMn2O5 multiferroics [25,26,27,28,29]. On the other hand, the large magnetic moment of the rare earth ions (~10 µB) tends to overshadow the features resulting from the Mn sublattice.
Figure 2.
Micro Raman spectra at 5 K for the orthorhombic single crystals RMn2O5 (R = Ho, Tb). The narrow excitations demonstrate the high quality of the crystals and confirm the orthorhombic symmetry.
Figure 3.
(a) Temperature dependence of magnetization under a magnetic field of 0.1 T applied along the easy-axes for TbMn2O5 and HoMn2O5. (b) Isothermal magnetization curves of RMn2O5 (R = Ho, Tb) measured at 2 K under magnetic fields applied along their easy and hard-axes. (c) Temperature dependence of the rotating isothermal entropy change in RMn2O5 (R = Ho, Tb) under 2 T. (d) Associated adiabatic temperature change under 2 T.
The magnetic and magnetocaloric properties (particularly RMCE) are very sensitive to the nature of the R3+ ions. In Figure 3b, the isothermal magnetization curves of the RMn2O5 (R = Ho, Tb) single crystals measured at 2 K as a function of the magnetic field applied along their easy and hard-axes are plotted. Although the magnetic moments of Tb3+ and Ho3+ are almost similar, the magnetic behaviors of both TbMn2O5 and HoMn2O5 show significant deviations. The data in Figure 3b indicate that the magnetic easy-direction of TbMn2O5 is along the a-axis, while that of HoMn2O5 is along the b-axis. From the linear fit of the inverse magnetic susceptibility (not shown here), the paramagnetic Curie-Weiss temperatures along the easy axes were found to be about 0.9 K for HoMn2O5 and 20 K for TbMn2O5. The weak value of Tϴ in the case of HoMn2O5 reflects a paramagnetic behavior and/or a weak antiferromagnetic order of Ho3+ ions. In contrast, the relatively large positive value of Tϴ as in the case of TbMn2O5 suggests a dominant ferromagnetic ordering of Tb3+ moments. This leads to a marked difference in the behavior of the field dependence of magnetization along the easy-axes of RMn2O5 (R = Ho, Tb), as shown in Figure 3b. With an increasing field, the HoMn2O5 magnetization increases slightly with a weak tendency to saturate even under high magnetic fields (127 Am2/kg under 7 T). For TbMn2O5, the magnetization easily reaches the saturation state under relatively low magnetic fields of about 2 T. The magnetization saturation is found to be about 140 Am2/kg (8.75 µB/f.u.), being close to the Tb3+ magnetic moment (9 µB). This indicates that the Tb3+ magnetic moments in TbMn2O5 can be completely aligned using magnetic fields higher than 2 T, since the contribution of the Mn sublattice to the full magnetization is negligible.
As a result, an enhancement of the magnetocrystalline anisotropy is observed in TbMn2O5 (Figure 3b). When changing the magnetic field direction from the easy-axis to the hard-axis, the magnetization under a magnetic field of 7 T is reduced by 94% in the case of TbMn2O5 and 70% for HoMn2O5. In Figure 3c, we report the temperature dependence of the rotating entropy change (ΔSR), associated with the rotation by an angle of 90° of HoMn2O5 (in the cb-plane) and TbMn2O5 (in the ca-plane) between their easy and hard-axes. ΔSR can be written as ΔSR = ΔS (H//easy-axis) − ΔS (H//hard-axis) [1], where ΔS (H//easy-axis) and ΔS (H//hard-axis) are the entropy changes resulting from the application of the magnetic field along the easy and hard-axes, respectively. Both quantities can be well calculated from isothermal magnetization curves using the Maxwell relation since the hysteresis effect in these multiferroic materials is negligible [32,33]. As can be seen in Figure 3c, TbMn2O5 unveils a rotating entropy change that is about two times larger than that shown by HoMn2O5. Under a constant magnetic field of 2 T which is accessible via permanent magnets [34,35], ΔSR, max is found to be 6.36 J/kg K for TbMn2O5 and only about 3 J/kg K for HoMn2O5. The improvement of ΔSR in the TbMn2O5 compound is mainly attributed to the reinforcement of the magnetocrystalline anisotropy, as well as the enhancement of the magnetization (arising from Tb3+ ions) along the easy-axis. More interestingly, TbMn2O5 presents a rotating adiabatic temperature change (ΔTR, ad) that is about five times larger than that obtained with HoMn2O5 under 2 T (Figure 3d). For both HoMn2O5 and TbMn2O5, ΔTR, ad was evaluated using the equation where Cp is the specific heat. Cp values were taken from Reference [28].
Considering initially the magnetic field parallel to the hard-axis, the rotation motion around the intermediate-axis by an angle of 90° induces a maximum temperature change larger than 8 K for TbMn2O5 and only 1.6 K for HoMn2O5 under a constant magnetic field of 2 T. The giant ΔTR, ad shown by TbMn2O5 is particularly due to its low specific heat and large rotating isothermal change. Around the ordering point of the rare earth moments, TbMn2O5 has a specific heat of about 6.8 J/kg K, being three times lower than that exhibited by HoMn2O5 [28]. In fact, the more ordered Tb3+ moments would reduce the magnetic part, and accordingly, the total specific heat.
3. Distinguished Features of the RMCE in RMn2O5: Hypothesis
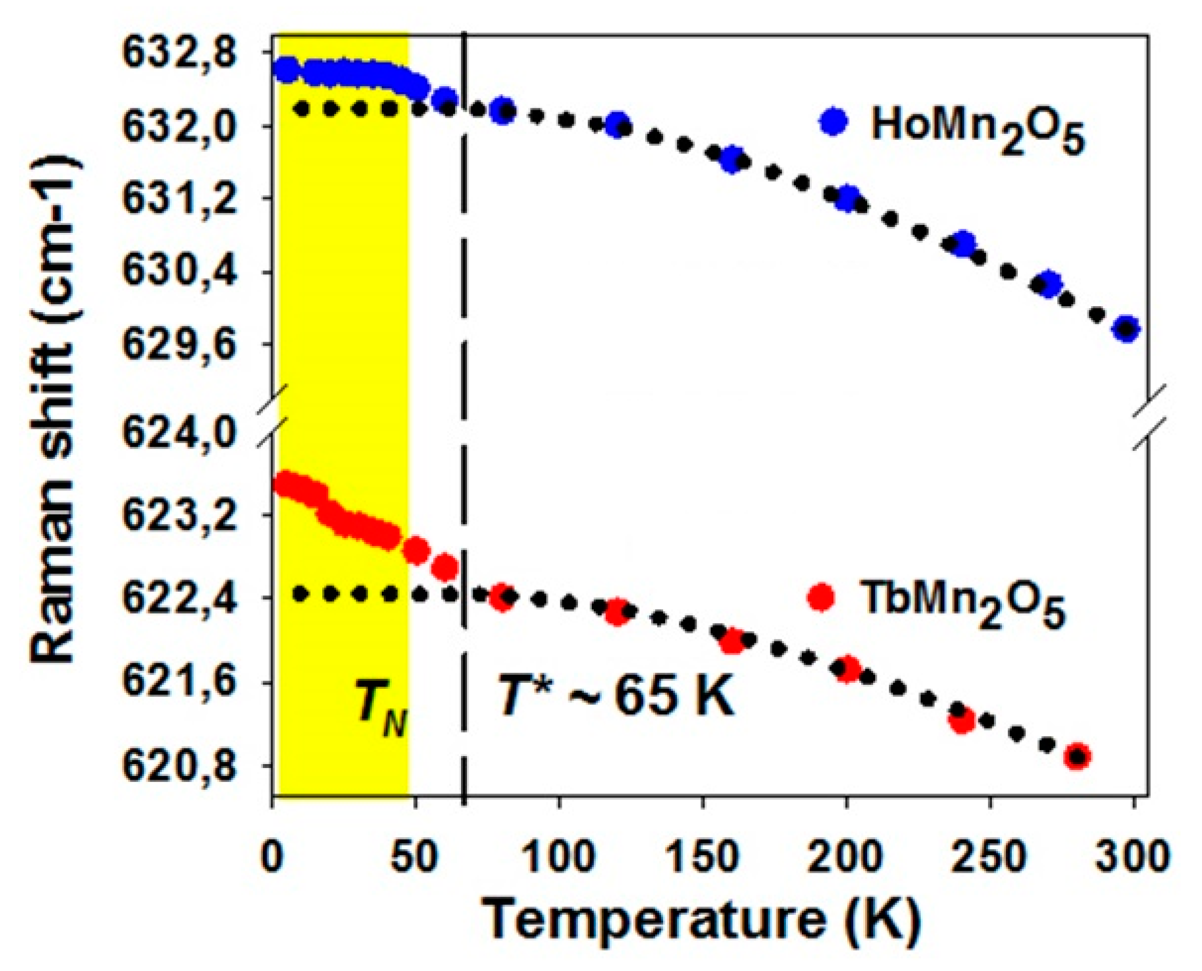
It is worth noting that the fundamental mechanisms behind the coupling between the magnetic ordering, crystal structure, and magnetocaloric properties in RMn2O5 are still unclear. However, according to available data [25,26], we first speculate that the R3+ spins ordering, magnetic anisotropy, and accordingly, the strength of the rotating magnetocaloric effect in RMn2O5 multiferroics could be strongly controlled by the atomic radius of the magnetic rare earth ions. This can be well understood when considering the interplay between lattice distortions and exchange interactions. Looking at the RMn2O5 crystallographic structure [25,26], the Mn3+ (S = 2) and Mn4+ (S = 3/2) spins are ordered within the ab-plane in loops of five Mn following the arrangement Mn4+-Mn3+-Mn3+-Mn4+-Mn3+. Based on the crystalline structure, the magnetic exchange interactions are mainly driven by the five nearest-neighbors of the Mn lattice identified as Mn4+-O2-Mn4+ (J1), Mn4+-O3-Mn4+ (J2), Mn4+-O4-Mn3+ (J3), Mn4+-O3-Mn3+ (J4), and Mn3+-O1-Mn3+ (J5) [25,26]. According to the Goodenough-Kanamori-Anderson rules [36,37,38] and the Mn-O-Mn bond angles associated with the exchange interactions in RMn2O5 (R = Ho, Tb) [26], it seems that J3 and J4 reinforce the ferromagnetic interactions of Mn4+ magnetic moments located in adjacent edge-shared octahedra, either side of the R3+ layer (with interaction J1) [25,26]. This could explain the marked difference in terms of magnetic and magnetocaloric behaviours between TbMn2O5 and HoMn2O5 compounds. In fact, the interaction between the nearest Mn4+ spins is strongly modulated by the radius of the rare earth. As reported by Blake et al. [26], the Mn4+-O2-Mn4+ bond angle increases when increasing the R3+ size. At 60 K, it was found to increase from 97.10° in the case of R = Ho to 97.45° for Tb, consequently increasing the corresponding interatomic distance Mn4+-Mn4+ from 2.887 to 2.902 Å. Hence, the resulting interactions may play a role in determining the magnetic arrangement of R3+ via the local magnetic field produced by Mn4+ ions, and accordingly, the rotating magnetocaloric effect in RMn2O5 compounds. This scenario seems to be supported by Raman scattering investigations. The temperature dependences of the ~630 cm−1 Ag mode of RMn2O5 (R = Tb and Ho) are reported in Figure 4. For both, the frequency of this phonon (Mn-O stretching mode) deviates from the regular anharmonic behavior and hardens below T* ~ 65 K. According to early studies [39,40,41], T* is a characteristic temperature attributed to the short magnetic correlations often observed just above the Néel transition temperature [39,40,41]. This frequency hardening is due to the reduction of the unit cell volume below T* and TN previously observed in RMn2O5 (R = Tb, Ho and Bi) () [39,40,41]. This volume contraction was attributed to the Mn-Mn exchange-striction [39,40,41]. The frequency hardening of the 630 cm−1 mode in TbMn2O5 (~1 cm−1) is two times larger than its equivalent in HoMn2O5 (~0.5 cm−1). This result underlines the importance of the lattice effect (R3+ size) on the Mn exchange interactions and therefore on the ordering of R3+ magnetic moments. However, the crystalline field effect on the 4f magnetic moments ground state manifold may also play a role in the magnetic configuration of the R3+ spins. This scenario is currently being explored by our group.
Figure 4.
Temperature dependence of the Raman-active phonon ~ 630 cm−1 Ag for RMn2O5 (R = Ho, Tb).
4. Materials and Methods
The RMn2O5 (R = Ho, Tb) single crystals were synthesized by the high temperature solutions growth method using PbO-PbF2-B2O3 flux, as described in Reference [29]. The RMn2O5 (R = Ho, Tb) polycrystalline samples were obtained first by mixing the R2O3 (R = Ho, Tb) and MnO2 oxides in stoichiometric proportions using a standard solid-state reaction method. The resulting products were subjected to heat treatment in open air at 1150 °C for 48 h. Powders of RMn2O5 (R = Ho, Tb) were then mixed with PbO-PbF2-B2O3 flux and pre-melted in a Pt crucible at 1225 °C for 48 h in oxygen atmosphere. The single crystal growth was achieved by reducing the growth temperature from 1225 °C to 1000 °C at a rate of 1 °C/h for TbMn2O5 and from 1225 °C to 950 °C at a rate of 0.5 °C/h for HoMn2O5 [29]. The crystals’ crystallographic symmetry was analyzed based on Raman scattering. Micro-Raman spectra were collected using a Labram-800 equipped with a microscope, He-Ne laser, and a nitrogen-cooled charge coupled device detector (CCD). The magnetization measurements were carried out with a superconducting quantum interference devices (SQUID) magnetometer from Quantum Design (MPMS XL).
5. Conclusions
In summary, we have discussed the MCE features of RMn2O5 (R =Ho, Tb) single crystals with the support of both magnetization and Raman scattering data. This preliminary study particularly aims to clarify the origin of the marked difference between their RMCEs. According to Raman scattering data combined with magnetic measurements and early reported neutron diffraction experiments, it seems that the rare earth size could impact the RMn2O5 magnetocaloric properties. This could occur via the fine tuning of the magnetic exchange interactions involving the Mn sublattice because of structural distortions. The new established interactions would affect the ordering state of R3+ magnetic moments, and accordingly, the RMCE. However, this is not the only hypothesis to be considered since additional factors such as the crystalline field contribution must be taken into account. The latter is currently under investigation and any relevant result will be published in the future. Additionally, to get the “big picture” of the RMn2O5 magnetocaloric features, this study must be completed by considering other rare earth elements such as Dy, Gd, Er, Pr…etc. With the present work, we particularly aim at opening the door for further fundamental investigations of this promising family of multiferroics that can be implemented in numerous potential applications such as magnetic cooling and spintronic devices.
Acknowledgments
The authors thank M. Castonguay, S. Pelletier and B. Rivard for technical support. We acknowledge the financial support from NSERC (Canada), FQRNT (Québec), CFI, CIFAR, Canada First Research Excellence Fund (Canada), and the Université de Sherbrooke.
Author Contributions
M.B. conceived the work, performed magnetic measurements, prepared Figures and analyzed data, and wrote the paper; S.M. performed Raman scattering measurements and prepared figures; M.B., S.M., S.J., and P.F. discussed the results and revised the paper; D.Z.D. prepared the single crystals.
Conflicts of Interest
The authors declare no conflict of interest.
References
- Balli, M.; Jandl, S.; Fournier, P.; Kedous-Lebouc, A. Advanced materials for magnetic cooling: Fundamentals and practical aspects. Appl. Phys. Rev. 2017, 4, 021305. [Google Scholar] [CrossRef]
- Sari, O.; Balli, M. From conventional to magnetic refrigerator technology. Int. J. Refrig. 2014, 37, 8–15. [Google Scholar] [CrossRef]
- Balli, M.; Sari, O.; Zamni, L.; Mahmed, C.; Forchelet, J. Implementation of La (Fe, Co)13-xSix materials in magnetic refrigerators: Practical aspects. Mater. Sci. Eng. B 2012, 177, 629–634. [Google Scholar] [CrossRef]
- Moya, X.; Kar-Narayan, S.; Mathur, N.D. Caloric materials near ferroic phase transitions. Nat. Mater. 2014, 13, 439–450. [Google Scholar] [CrossRef] [PubMed]
- Pecharsky, V.K.; Gschneidner, K.A., Jr. Giant Magnetocaloric Effect in Gd5Ge2Si2. Phys. Rev. Lett. 1997, 78, 4494. [Google Scholar] [CrossRef]
- Wada, H.; Tanabe, Y. Giant magnetocaloric effect of MnAs1-xSbx. Appl. Phys. Lett. 2001, 79, 3302. [Google Scholar] [CrossRef]
- Balli, M.; Fruchart, D.; Gignoux, D.; Dupuis, C.; Kedous-Lebouc, A.; Zach, R. Giant magnetocaloric effect in Mn1-x(Ti0.5V0.5)xAs: Experiments and calculations. J. Appl. Phys. 2008, 103, 103908. [Google Scholar] [CrossRef]
- Balli, M.; Fruchart, D.; Gignoux, D.; Tobola, J.; Hlil, E.K.; Wolfers, P.; Zach, R. Magnetocaloric effect in ternary metal phosphides (Fe1-xNix)2 P. J. Magn. Magn. Mater. 2007, 316, 358–360. [Google Scholar] [CrossRef]
- Tegus, O.; Brück, E.; Buschow, K.H.J.; De Boer, F.R. Transition-metal-based magnetic refrigerants for room temperature applications. Nature 2002, 415, 150–152. [Google Scholar] [CrossRef] [PubMed]
- Fujita, A.; Fujieda, S.; Hasegawa, Y.; Fukamichi, K. Itinerant-electron metamagnetic transition and large magnetocaloric effects in La(FexSi1-x)13 compounds and their hydrides. Phys. Rev. B 2003, 67, 104416. [Google Scholar] [CrossRef]
- Hu, F.X.; Shen, B.G.; Sun, J.R.; Wang, G.J.; Cheng, Z.H. Very large magnetic entropy change near room temperature in LaFe11.2Co0.7Si1.1. Appl. Phys. Lett. 2002, 80, 826–828. [Google Scholar] [CrossRef]
- Balli, M.; Fruchart, D.; Gignoux, D. The LaFe11.2Co0.7Si1.1Cx carbides for magnetic refrigeration close to room temperature. Appl. Phys. Lett. 2008, 92, 232505. [Google Scholar] [CrossRef]
- Balli, M.; Fruchart, D.; Gignoux, D. Optimization of La (Fe, Co)13-xSix based compounds for magnetic refrigeration. J. Phys. Condens. Matter 2007, 19, 236230. [Google Scholar] [CrossRef]
- Matsumoto, K.; Kondo, T.; Yoshioka, S.; Kamiya, K.; Numazawa, T. Magnetic refrigerator for hydrogen liquefaction. J. Phys. Conf. Ser. 2009, 150, 012028. [Google Scholar] [CrossRef]
- Balli, M.; Jandl, S.; Fournier, P.; Gospodinov, M.M. Anisotropy-enhanced giant reversible rotating magnetocaloric effect in HoMn2O5 single crystals. Appl. Phys. Lett. 2014, 104, 232402. [Google Scholar] [CrossRef]
- Balli, M.; Jandl, S.; Fournier, P.; Dimitrov, D.Z. Giant rotating magnetocaloric effect at low magnetic fields in multiferroic TbMn2O5 single crystals. Appl. Phys. Lett. 2016, 108, 102401. [Google Scholar] [CrossRef]
- Jin, J.L.; Zhang, X.Q.; Li, G.K.; Cheng, Z.H.; Zheng, L.; Lu, Y. Giant anisotropy of magnetocaloric effect in TbMnO3 single crystals. Phys. Rev. B 2011, 83, 184431. [Google Scholar] [CrossRef]
- Balli, M.; Jandl, S.; Fournier, P.; Mansouri, S.; Mukhin, A.; Ivanov, Y.V.; Balbashov, A.M. On the magnetocaloric effect in the multiferroic hexagonal DyMnO3 single crystals. J. Magn. Magn. Mater. 2015, 374, 252–257. [Google Scholar] [CrossRef]
- Jin, J.L.; Zhang, X.Q.; Ge, H.; Cheng, Z.H. Rotating field entropy change in hexagonal TmMnO3 single crystal with anisotropic paramagnetic response. Phys. Rev. B 2012, 85, 214426. [Google Scholar] [CrossRef]
- Balli, M.; Mansouri, S.; Jandl, S.; Fournier, P.; Dimitrov, D.Z. Large rotating magnetocaloric effect in the orthorhombic DyMnO3 single crystal. Solid State Commun. 2016, 239, 9–13. [Google Scholar] [CrossRef]
- Li, L.; Namiki, T.; Huo, D.; Qian, Z.; Nishimura, K. Two successive magnetic transitions induced large refrigerant capacity in HoPdIn compound. Appl. Phys. Lett. 2013, 103, 222405. [Google Scholar] [CrossRef]
- Midya, A.; Das, S.N.; Mandal, P.; Pandya, S.; Ganesan, V. Anisotropic magnetic properties and giant magnetocaloric effect in antiferromagnetic RMnO3 crystals (R = Dy, Tb, Ho, and Yb). Phys. Rev. B 2011, 84, 235127. [Google Scholar] [CrossRef]
- Balli, M.; Roberge, B.; Vermette, J.; Jandl, S.; Fournier, P.; Gospodinov, M.M. Magnetocaloric properties of the hexagonal HoMnO3 single crystal revisited. Phys. B 2015, 478, 77–83. [Google Scholar] [CrossRef]
- Balli, M.; Roberge, B.; Jandl, S.; Fournier, P.; Palstra, T.T.M.; Nugroho, A.A. Observation of large refrigerant capacity in the HoVO3 vanadate single crystal. J. Appl. Phys. 2015, 118, 073903. [Google Scholar] [CrossRef]
- Noda, Y.; Kimura, H.; Fukunaga, M.; Kobayashi, S.; Kagomiya, I.; Kohn, K. Magnetic and ferroelectric properties of multiferroic RMn2O5. J. Phys. Condens. Matter 2008, 20, 434206. [Google Scholar] [CrossRef]
- Blake, G.R.; Chapon, L.C.; Radaelli, P.G.; Park, S.; Hur, N.; Cheong, S.W.; Rodriguez-Carvajal, J. Spin structure and magnetic frustration in multiferroic RMn2O5 (R = Tb, Ho, Dy). Phys. Rev. B 2005, 71, 214402. [Google Scholar] [CrossRef]
- Hur, N.; Park, S.; Sharma, P.A.; Ahn, J.S.; Guha, S.; Cheong, S.W. Electric polarization reversal and memory in a multiferroic material induced by magnetic fields. Nature 2004, 429, 392–395. [Google Scholar] [CrossRef] [PubMed]
- Hur, N.; Park, S.; Sharma, P.A.; Guha, S.; Cheong, S.W. Colossal Magnetodielectric Effects in DyMn2O5. Phys. Rev. Lett. 2004, 93, 107207. [Google Scholar] [CrossRef] [PubMed]
- Mihailova, B.; Gospodinov, M.M.; Güttler, B.; Yen, F.; Litvinchuk, A.P.; Iliev, M.N. Temperature-dependent Raman spectra of HoMn2O5 and TbMn2O5. Phys. Rev. B 2005, 71, 172301. [Google Scholar] [CrossRef]
- Nikitin, S.A.; Skokov, K.P.; Koshkid’ko, Y.S.; Pastushenkov, Y.G.; Ivanova, T.I. Giant rotating magnetocaloric effect in the region of spin-reorientation transition in the NdCo5 single crystal. Phys. Rev. Lett. 2010, 105, 137205. [Google Scholar] [CrossRef] [PubMed]
- Kuz’min, M.D.; Tishin, A.M. Magnetic refrigerants for the 4.2-20 K region: Garnets or perovskites? J. Phys. D Appl. Phys. 1991, 24, 2039. [Google Scholar] [CrossRef]
- Balli, M.; Fruchart, D.; Gignoux, D.; Zach, R. The “colossal” magnetocaloric effect in Mn1-xFexAs: What are we really measuring? Appl. Phys. Lett. 2009, 95, 072509. [Google Scholar] [CrossRef]
- Balli, M.; Sari, O.; Fruchart, D.; Forchelet, J. Influence of the materials magnetic state on the accurate determination of the magnetocaloric effect. Eur. Phys. J. Web Conf. 2012, 29, 00005. [Google Scholar] [CrossRef]
- Balli, M.; Sari, O.; Mahmed, C.; Besson, C.; Bonhote, P.; Duc, D.; Forchelet, J. A pre-industrial magnetic cooling system for room temperature application. Appl. Energy 2012, 98, 556–561. [Google Scholar] [CrossRef]
- Sari, O.; Balli, M.; Trottet, G.; Bonhote, P.; Egolf, P.W.; Muller, C.; Heitzler, J.C.; Bour, S. Initial results of a test-bed magnetic refrigeration machine with practical running conditions. In Proceedings of the 3rd International Conference on Magnetic Refrigeration at Room Temperature, Des Moines, IA, USA, 11–15 May 2009; pp. 371–380. [Google Scholar]
- Goodenough, J.B. Theory of the Role of Covalence in the Perovskite-Type Manganites [La, M(II)]MnO3. Phys. Rev. 1955, 100, 564. [Google Scholar] [CrossRef]
- Kanamori, J. Superexchange interaction and symmetry properties of electron orbitals. J. Phys. Chem. Solids 1959, 10, 87–98. [Google Scholar] [CrossRef]
- Anderson, P.W. Theory of magnetic exchange interactions: Exchange in insulators and semiconductors. Solid State Phys. 1963, 14, 99–214. [Google Scholar]
- Garcia-Flores, A.F.; Granado, E.; Martinho, H.; Urbano, R.R.; Rettori, C.; Golovenchits, E.I.; Sanina, V.A.; Oseroff, S.B.; Park, S.; Cheong, S.-W. Anomalous phonon shifts in the paramagnetic phase of multiferroic RMn2O5 (R = Bi, Eu, Dy): Possible manifestations of unconventional magnetic correlations. Phys. Rev. B 2006, 73, 104411. [Google Scholar] [CrossRef]
- Chapon, L.C.; Blake, G.R.; Gutmann, M.J.; Park, S.; Hur, N.; Radaelli, P.G.; Cheong, S.W. Structural Anomalies and Multiferroic Behavior in Magnetically Frustrated TbMn2O5. Phys. Rev. Lett. 2004, 93, 177402. [Google Scholar] [CrossRef] [PubMed]
- Granado, E.; Eleotério, M.S.; García-Flores, A.F.; Souza, J.A.; Golovenchits, E.I.; Sanina, V.A. Magnetoelastic and thermal effects in the BiMn2O5 lattice: A high-resolution x-ray diffraction study. Phys. Rev. B 2008, 77, 134101. [Google Scholar] [CrossRef]
© 2017 by the authors. Licensee MDPI, Basel, Switzerland. This article is an open access article distributed under the terms and conditions of the Creative Commons Attribution (CC BY) license (http://creativecommons.org/licenses/by/4.0/).



