Manganese (III) Compounds Derived from R-Salicylaldoxime and 9-Anthracenecarboxylate Ligands: A Study of Their Synthesis and Structural, Magnetic, and Luminescent Properties †
Abstract
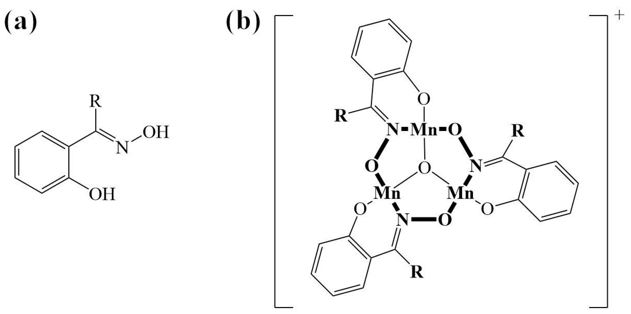
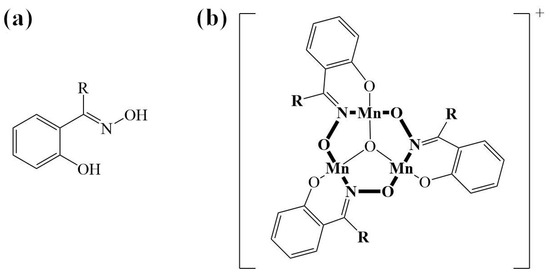
1. Introduction
2. Results and Discussion
2.1. X-ray Crystal Structures
2.1.1. [Mn3NaO(salox)3(9-AC)2(EtOH)3H2O]n·2EtOH (1) and [Mn3NaO(3-Me-salox)3(9-AC)2(EtOH)3H2O]n·EtOH (2)
2.1.2. Compound [Mn6O2(salox)6(9-AC)2(EtOH)2(H2O)2]·3EtOH (3·3EtOH)
2.1.3. Compound [Mn3O(3-Me-salox)3(9-AC)(EtOH)3(H2O)]·1.8EtOH·3H2O (4·1.8EtOH·3H2O)
2.1.4. Compounds [Mn6O2(Me-salox)6(9-AC)2(EtOH)4(H2O)2]·0.5H2O (5·0.5H2O) and [Mn6O2(Et-salox)6(9-AC)2(EtOH)4(H2O)2]·3EtOH (6·3EtOH)
2.1.5. Structural Discussion
2.2. Magnetic Properties
2.2.1. dc Magnetic Studies
2.2.2. Dynamic Magnetic Measurements (ac)
2.3. Luminescence Studies
3. Experimental Section
3.1. Starting Materials
3.2. General Syntheses
- For 1: Selected IR bands (KBr pellet, cm−1): 3435 (m, υ(O–H)), 2979-2884 (w, υ (–C–H)), 1635 (s, υas(COO−)), and 1601 (s, υ(C=N)).
- For 2: Selected IR bands (KBr pellet, cm−1): 3444 (m, υ(O–H)), 2966-2842 (w, υ (–C–H)), 1625 (s, υas(COO−)), and 1589 (s, υ(C=N)).
- For 3: Selected IR bands (KBr pellet, cm−1): 3416 (m, υ(O–H)), 1638 (s, υas(COO−)), and 1535 (m, υ(C=N)).
- For 4: Selected IR bands (KBr pellet, cm−1): 3442 (m, υ(O–H)), 3028-2889 (w, υ (–C–H)), 1595 (s, υas(COO−)), and 1545 (s, υ(C=N)).
- For 5: Selected IR bands (KBr pellet, cm−1): 3442 (m, υ(O–H)), 3050-2817 (w, υ (–C–H)), 1595 (s, υas(COO−)), and 1532 (s, υ(C=N)).
- For 6: Selected IR bands (KBr pellet, cm−1) [a]: 3442 (m, υ(O–H)), 2986-2832 (w, υ (–C–H)), 1601 (s, υas(COO−)), and 1536 (s, υ(C=N)).
3.3. Physical Measurements and Magnetic Fits
3.4. X-ray Crystallography
4. Conclusions
Supplementary Materials
Author Contributions
Funding
Data Availability Statement
Acknowledgments
Conflicts of Interest
References
- Milios, C.J.; Raptopoulou, C.P.; Terzis, A.; Lloret, F.; Vicente, R.; Perlepes, S.P.; Escuer, A. Hexanuclear Manganese(III) Single-Molecule Magnets. Angew. Chem. Int. Ed. 2004, 43, 210–212. [Google Scholar] [CrossRef] [PubMed]
- Smith, A. The Structures of Phenolic Oximes and Their Complexes. Coord. Chem. Rev. 2003, 241, 61–85. [Google Scholar] [CrossRef]
- Afrati, T.; Dendrinou-Samara, C.; Raptopoulou, C.; Terzis, A.; Tangoulis, V.; Tsipis, A.; Kessissoglou, D.P. Experimental and Theoretical Study of the Antisymmetric Magnetic Behavior of Copper Inverse -9-Metallacrown-3 Compounds. Inorg. Chem. 2008, 47, 7545–7555. [Google Scholar] [CrossRef] [PubMed]
- Stamatatos, T.C.; Dionyssopoulou, S.; Efthymiou, G.; Kyritsis, P.; Raptopoulou, C.P.; Terzis, A.; Vicente, R.; Escuer, A.; Perlepes, S.P. The First Cobalt Metallacrowns: Preparation and Characterization of Mixed-Valence Cobalt(II/III), Inverse 12-Metallacrown-4 Complexes. Inorg. Chem. 2005, 44, 3374–3376. [Google Scholar] [CrossRef] [PubMed]
- Stemmler, A.J.; Kampf, J.W.; Pecoraro, V.L. Synthesis and Crystal Structure of the First Inverse 12-Metallacrown-4. Inorg. Chem. 1995, 34, 2271–2272. [Google Scholar] [CrossRef]
- Vlahopoulou, G.; Escuer, A.; Font-Bardia, M.; Calvet, T. Synthesis and Characterization of CoIII3 Inverse Metallacrowns via Use of 6-Methyl-2-Pyridylaldoxime. Inorg. Chem. Commun. 2012, 16, 78–80. [Google Scholar] [CrossRef]
- Flamourakis, A.G.; Kalofolias, D.A.; Siczek, M.; Lis, T.; Brechin, E.K.; Milios, C.J. New Members of the [Mn6/Oxime] Family and Analogues with Converging [Mn3] Planes. J. Coord. Chem. 2016, 69, 826–840. [Google Scholar] [CrossRef]
- Perivolaris, A.; Fidelli, A.M.; Inglis, R.; Kessler, V.G.; Slawin, A.M.Z.; Brechin, E.K.; Papaefstathiou, G.S. A Family of Hexanuclear Mn(III) Single-Molecule Magnets. J. Coord. Chem. 2014, 67, 3972–3986. [Google Scholar] [CrossRef]
- Hołyńska, M.; Dehnen, S. A Series of [Mn6] Complexes with Terminal Functional Groups. Z. Anorg. Allg. Chem. 2012, 638, 763–769. [Google Scholar] [CrossRef]
- Inglis, R.; Jones, L.F.; Milios, C.J.; Datta, S.; Collins, A.; Parsons, S.; Wernsdorfer, W.; Hill, S.; Perlepes, S.P.; Piligkos, S.; et al. Attempting to Understand (and Control) the Relationship between Structure and Magnetism in an Extended Family of Mn6 Single-Molecule Magnets. Dalton Trans. 2009, 3403–3412. [Google Scholar] [CrossRef]
- Milios, C.J.; Vinslava, A.; Wernsdorfer, W.; Prescimone, A.; Wood, P.A.; Parsons, S.; Perlepes, S.P.; Christou, G.; Brechin, E.K. Spin Switching via Targeted Structural Distortion. J. Am. Chem. Soc. 2007, 129, 6547–6561. [Google Scholar] [CrossRef] [PubMed]
- Chaudhuri, P. Homo- and Hetero-Polymetallic Exchange Coupled Metal-Oximates. Coord. Chem. Rev. 2003, 243, 143–190. [Google Scholar] [CrossRef]
- Milios, C.J.; Inglis, R.; Vinslava, A.; Bagai, R.; Wernsdorfer, W.; Parsons, S.; Perlepes, S.P.; Christou, G.; Brechin, E.K. Toward a Magnetostructural Correlation for a Family of Mn6 SMMs. J. Am. Chem. Soc. 2007, 129, 12505–12511. [Google Scholar] [CrossRef] [PubMed]
- Milios, C.J.; Vinslava, A.; Wernsdorfer, W.; Moggach, S.; Parsons, S.; Perlepes, S.P.; Christou, G.; Brechin, E.K. A Record Anisotropy Barrier for a Single-Molecule Magnet. J. Am. Chem. Soc. 2007, 129, 2754–2755. [Google Scholar] [CrossRef]
- Inglis, R.; Jones, L.F.; Mason, K.; Collins, A.; Moggach, S.A.; Parsons, S.; Perlepes, S.P.; Wernsdorfer, W.; Brechin, E.K. Ground Spin State Changes and 3 D Networks of Exchange Coupled [MnIII3] Single-Molecule Magnets. Chem.—A Eur. J. 2008, 14, 9117–9121. [Google Scholar] [CrossRef] [PubMed]
- Song, X.; Liu, R.; Zhang, S.; Li, L. A Rare Ferromagnetic Manganese(III) Hexanuclear Cluster. Inorg. Chem. Commun. 2010, 13, 828–830. [Google Scholar] [CrossRef]
- An, G.-Y.; Cui, A.-L.; Kou, H.-Z. Assembly of Oximate-Bridged Mn6 Cluster to a One-Dimensional Chain. Inorg. Chem. Commun. 2011, 14, 1475–1478. [Google Scholar] [CrossRef]
- Haryono, M.; Kalisz, M.; Sibille, R.; Lescouëzec, R.; Fave, C.; Trippe-Allard, G.; Li, Y.; Seuleiman, M.; Rousselière, H.; Balkhy, A.M.; et al. One Dimensional Assembly of Mn6 Single Molecule Magnets Linked by Oligothiophene Bridges. Dalton Trans. 2010, 39, 4751–4756. [Google Scholar] [CrossRef] [PubMed]
- Schwarz, F.P.; Wasik, S.P. Fluorescence Measurements of Benzene, Naphthalene, Anthracene, Pyrene, Fluoranthene, and Benzo[e]Pyrene in Water. Anal. Chem. 1976, 48, 524–528. [Google Scholar] [CrossRef]
- Li, L.; Hu, T.-L.; Li, J.-R.; Wang, D.-Z.; Zeng, Y.-F.; Bu, X.-H. Metal–Organic Coordination Architectures of 9,10-Bis(N-Benzimidazolyl)Anthracene: Syntheses, Structures and Emission Properties. CrystEngComm 2007, 9, 412–420. [Google Scholar] [CrossRef]
- Alaimo, A.A.; Takahashi, D.; Cunha-Silva, L.; Christou, G.; Stamatatos, T.C. Emissive {Mn4III Ca} Clusters with Square Pyramidal Topologies: Syntheses and Structural, Spectroscopic, and Physicochemical Characterization. Inorg. Chem. 2015, 54, 2137–2151. [Google Scholar] [CrossRef] [PubMed]
- Beedle, C.C.; Stephenson, C.J.; Heroux, K.J.; Wernsdorfer, W.; Hendrickson, D.N. Photoluminescent Mn4 Single-Molecule Magnet. Inorg. Chem. 2008, 47, 10798–10800. [Google Scholar] [CrossRef] [PubMed]
- Alexandropoulos, D.I.; Mowson, A.M.; Pilkington, M.; Bekiari, V.; Christou, G.; Stamatatos, T.C. Emissive Molecular Nanomagnets: Introducing Optical Properties in Triangular Oximato {MnIII3} SMMs from the Deliberate Replacement of Simple Carboxylate Ligands with Their Fluorescent Analogues. Dalton Trans. 2014, 43, 1965–1969. [Google Scholar] [CrossRef]
- Kalofolias, D.A.; Flamourakis, A.G.; Siczek, M.; Lis, T.; Milios, C.J. A Bulky Oxime for the Synthesis of Mn(III) Clusters. J. Coord. Chem. 2015, 68, 3472–3484. [Google Scholar] [CrossRef]
- Manoli, M.; Inglis, R.; Piligkos, S.; Yanhua, L.; Wernsdorfer, W.; Brechin, E.K.; Tasiopoulos, A.J. A Hexameric [MnIII18Na6] Wheel Based on [MnIII3O]7+ Sub-Units. Chem. Commun. 2016, 52, 12829–12832. [Google Scholar] [CrossRef] [PubMed]
- Raptopoulou, C.P.; Boudalis, A.K.; Lazarou, K.N.; Psycharis, V.; Panopoulos, N.; Fardis, M.; Diamantopoulos, G.; Tuchagues, J.-P.; Mari, A.; Papavassiliou, G. Salicylaldoxime in Manganese(III) Carboxylate Chemistry: Synthesis, Structural Characterization and Physical Studies of Hexanuclear and Polymeric Complexes. Polyhedron 2008, 27, 3575–3586. [Google Scholar] [CrossRef]
- Yang, C.-I.; Feng, P.-Y.; Chen, Y.-T.; Tsai, Y.-J.; Lee, G.-H.; Tsai, H.-L. Molecular Architecture Based on Manganese Triangles: Monomer, Dimer, and One-Dimensional Polymer. Polyhedron 2011, 30, 3265–3271. [Google Scholar] [CrossRef]
- Geng, J.-P.; Wang, Z.-X.; He, X.; Xiao, H.-P.; Li, M.-X. A Novel 2D Coordination Polymer Based on Triangular-Shaped [Mn3O] Units Bridged by Sodium Ions and Benzene-1,2,4,5-Tetracarboxylate. Inorg. Chem. Commun. 2011, 14, 997–1000. [Google Scholar] [CrossRef]
- Wu, L.-F.; Wang, Z.-X.; Geng, J.-P.; Xiao, H.-P.; Li, M.-X. A Two-Dimensional Coordination Polymer Constructed from Hexanuclear Manganese Units with Sodium Ions as Auxiliary Bridges. Inorg. Chim. Acta 2014, 412, 1–5. [Google Scholar] [CrossRef]
- Mukherjee, S.; Mukherjee, P.S. Role of Dicarboxylate Linkers in MnIII -Salicylaldoximate Based Extended Structures: Synthesis, Structures, and Magnetic Behavior. Chem.—A Eur. J. 2013, 19, 17064–17074. [Google Scholar] [CrossRef]
- Brown, I.D.; Altermatt, D. Bond-Valence Parameters Obtained from a Systematic Analysis of the Inorganic Crystal Structure Database. Acta Crystallogr. B 1985, 41, 244–247. [Google Scholar] [CrossRef]
- ALVAREZ, S.; ALEMANY, P.; CASANOVA, D.; CIRERA, J.; LLUNELL, M.; AVNIR, D. Shape Maps and Polyhedral Interconversion Paths in Transition Metal Chemistry. Coord. Chem. Rev. 2005, 249, 1693–1708. [Google Scholar] [CrossRef]
- Jones, L.F.; Cochrane, M.E.; Koivisto, B.D.; Leigh, D.A.; Perlepes, S.P.; Wernsdorfer, W.; Brechin, E.K. Tuning Magnetic Properties Using Targeted Structural Distortion: New Additions to a Family of Mn6 Single-Molecule Magnets. Inorg. Chim. Acta 2008, 361, 3420–3426. [Google Scholar] [CrossRef]
- Escuer, A.; Cordero, B.; Font-Bardia, M.; Teat, S.J.; Roubeau, O. Manganese–Salicyloximate Clusters Starting from [MnII (Hfacac)2]: From Mn4 to Mn12. Eur. J. Inorg. Chem. 2016, 2016, 1232–1241. [Google Scholar] [CrossRef]
- Milios, C.J.; Vinslava, A.; Whittaker, A.G.; Parsons, S.; Wernsdorfer, W.; Christou, G.; Perlepes, S.P.; Brechin, E.K. Microwave-Assisted Synthesis of a Hexanuclear MnIII Single-Molecule Magnet. Inorg. Chem. 2006, 45, 5272–5274. [Google Scholar] [CrossRef] [PubMed]
- Tarushi, A.; Hatzidimitriou, A.G.; Estrader, M.; Kessissoglou, D.P.; Tangoulis, V.; Psomas, G. Toward Multifunctional Materials Incorporating Stepladder Manganese(III) Inverse-[9-MC-3]-Metallacrowns and Anti-Inflammatory Drugs. Inorg. Chem. 2017, 56, 7048–7057. [Google Scholar] [CrossRef] [PubMed]
- Fleischauer, P.D.; Fleischauer, P. Photoluminescence of Transition Metal Coordination Compounds. Chem. Rev. 1970, 70, 199–230. [Google Scholar] [CrossRef]
- Dunstan, W.R.; Henry, T.A. VIII.—Occurrence of Orthohydroxyacetophenone in the Volatile Oil of Chione Glabra. J. Chem. Soc. Trans. 1899, 75, 66–71. [Google Scholar] [CrossRef][Green Version]
- Ueno, A.; Moriwaki, F.; Osa, T.; Hamada, F.; Murai, K. Association, Photodimerization, and Induced-Fit Types of Host-Guest Complexation of Anthracene-Appended .Gamma.-Cyclodextrin Derivatives. J. Am. Chem. Soc. 1988, 110, 4323–4328. [Google Scholar] [CrossRef]
- Nakamoto, K. Infrared and Raman Spectra of Inorganic and Coordination Compounds; Wiley: Hoboken, NJ, USA, 2008; ISBN 9780471743392. [Google Scholar]
- Chilton, N.F.; Anderson, R.P.; Turner, L.D.; Soncini, A.; Murray, K.S. PHI: A Powerful New Program for the Analysis of Anisotropic Monomeric and Exchange-coupled Polynuclear d - and f -block Complexes. J. Comput. Chem. 2013, 34, 1164–1175. [Google Scholar] [CrossRef]
- Sheldrick, G.M. A Short History of SHELX. Acta Crystallogr. A 2008, 64, 112–122. [Google Scholar] [CrossRef] [PubMed]
- Sheldrick, G.M. Crystal Structure Refinement with SHELXL. Acta Crystallogr. C Struct. Chem. 2015, 71, 3–8. [Google Scholar] [CrossRef] [PubMed]













| 1 | 2 | 1 | 2 | ||
|---|---|---|---|---|---|
| Mn1-O1 | 1.879(2) | 1.8796(16) | Na1-O3 | 2.429(2) | 2.3117(17) |
| Mn1-O2 | 1.863(2) | 1.865(2) | Na1-O4 | 2.502(2) | 2.8331(18) |
| Mn1-O7 | 1.903(2) | 1.9043(19) | Na1-O9 | 2.332(2) | 2.3321(17) |
| Mn1-O12 | 2.268(2) | 2.3293(19) | Na1-O3″ | 2.429(2) | 2.3117(17) |
| Mn1-O13 | 2.348(3) | 2.3512(18) | Na1-O4″ | 2.502(2) | 2.8331(18) |
| Mn1-N1 | 2.000(2) | 2.002(2) | Na1-O9″ | 2.332(2) | 2.3321(17) |
| Mn2-O1 | 1.879(2) | 1.8831(16) | Na2-O5 | 2.454(2) | 2.3548(19) |
| Mn2-O3 | 1.925(2) | 1.9203(18) | Na2-O6 | 2.519(3) | 2.7059(16) |
| Mn2-O4 | 1.883(2) | 1.8794(17) | Na2-O11 | 2.353(3) | 2.3335(16) |
| Mn2-O8 | 2.249(2) | 2.2661(17) | Na2-O5′ | 2.454(2) | 2.3548(19) |
| Mn2-O14 | 2.266(2) | 2.2729(18) | Na2-O6′ | 2.519(3) | 2.7059(16) |
| Mn2-N2 | 2.012(2) | 2.003(2) | Na2-O11′ | 2.353(3) | 2.3335(16) |
| Mn3-O1 | 1.873(2) | 1.8916(18) | Mn1-O1-Mn3 | 118.95(11) | 120.22(9) |
| Mn3-O5 | 1.912(2) | 1.9188(16) | Mn1-O1-Mn2 | 119.77(11) | 119.19(8) |
| Mn3-O6 | 1.873(2) | 1.8838(19) | Mn2-O1-Mn3 | 121.25(11) | 120.59(8) |
| Mn3-O10 | 2.158(2) | 2.2053(17) | Mn2-O3-N1-Mn1 | 28.6(2) | 26.71(19) |
| Mn3-O15 | 2.539(2) | 2.3599(18) | Mn3-O5-N2-Mn2 | 5.4(3) | 18.92(19) |
| Mn3-N3 | 2.010(2) | 1.9979(19) | Mn1-O7-N3-Mn3 | 1.0(3) | 21.6(2) |
| 3 | 5 | 6 | |
|---|---|---|---|
| Mn1-O1 | 1.8781(18) | 1.889(3) | 1.876(3) |
| Mn1-O2 | 1.8825(19) | 1.920(3) | 1.904(3) |
| Mn1-O7 | 1.960(2) | 1.955(3) | 1.951(3) |
| Mn1-O8 | 2.161(2) | 2.138(3) | 2.171(3) |
| Mn1-N1 | 1.993(3) | 2.007(5) | 2.011(4) |
| Mn1-O7′) | 2.332(2) | 2.434(3) | 2.415(3) |
| Mn2-O1 | 1.889(2) | 1.880(3) | 1.873(3) |
| Mn2-O3 | 1.931(2) | 1.924(3) | 1.921(3) |
| Mn2-O4 | 1.864(2) | 1.877(4) | 1.855(3) |
| Mn2-O10 | 2.272(2) | 2.262(3) | 2.373(5) |
| Mn2-O11 | 2.289(2) | 2.246(3) | 2.204(3) |
| Mn2-N2 | 2.023(2) | 2.025(4) | 2.001(4) |
| Mn3-O1 | 1.854(2) | 1.890(3) | 1.896(3) |
| Mn3-O5 | 1.927(2) | 1.919(3) | 1.916(3) |
| Mn3-O6 | 1.862(2) | 1.868(4) | 1.872(3) |
| Mn3-O9 | 2.132(2) | -- | -- |
| Mn3-O12 | -- | 2.246(3) | 2.231(3) |
| Mn3-O2′) | -- | 2.453(3) | 2.395(3) |
| Mn1-O1-Mn2 | 120.27(11) | 119.53(16) | 120.07(14) |
| Mn1-O1-Mn3 | 115.79(11) | 120.93(16) | 120.54(14) |
| Mn2-O1-Mn3 | 120.21(9) | 118.42(13) | 118.40(13) |
| Mn1-O2-Mn3′) | -- | 118.27(12) | 118.75(12) |
| Mn1-O7-Mn1′) | 98.05(8) | 94.23(12) | 96.48(11) |
| Mn2-O3-N1-Mn1 | 27.7(2) | 28.9(4) | 30.3(3) |
| Mn3-O5-N2-Mn2 | 21.8(3) | 34.7(4) | 37.3(3) |
| Mn1-O7-N3-Mn3 | 24.7(2) | 41.9(3) | 47.3(3) |
| Compound 4 | |||||
|---|---|---|---|---|---|
| A | B | A | B | ||
| Mn1-O1 | 1.886(2) | 1.864(2) | Mn3-O1 | 1.867(2) | 1.890(2) |
| Mn1-O2 | 1.857(2) | 1.864(2) | Mn3-O5 | 1.921(2) | 1.897(2) |
| Mn1-O7 | 1.940(2) | 1.912(3) | Mn3-O6 | 1.853(3) | 1.889(2) |
| Mn1-O8 | 2.240(2) | 2.095(2) | Mn3-O9 | 2.220(2) | 2.224(2) |
| Mn1-O10 | 2.270(3) | 3.769(3) | Mn3-O13 | 2.349(3) | 2.282(3) |
| Mn1-N1 | 1.998(3) | 2.005(3) | Mn3-N3 | 2.012(3) | 2.008(3) |
| Mn2-O1 | 1.869(2) | 1.887(2) | Mn1-O1-Mn2 | 121.09(12) | 120.64(11) |
| Mn2-O3 | 1.916(2) | 1.928(2) | Mn1-O1-Mn3 | 116.73(12) | 114.59(11) |
| Mn2-O4 | 1.866(2) | 1.874(2) | Mn2-O1-Mn3 | 120.28(12) | 119.46(12) |
| Mn2-O11 | 2.283(3) | 2.231(3) | Mn2-O3-N1-Mn1 | 28.9(3) | 15.6(3) |
| Mn2-O12 | 2.353(3) | 2.233(3) | Mn3-O5-N2-Mn2 | 26.7(3) | 16.4(3) |
| Mn2-N2 | 2.021(3) | 2.006(3) | Mn1-O7-N3-Mn3 | 32.1(3) | 18.9(3) |
| Compound | Mn-O-N-Mn (°) (a) | Expected Net Coupling | Observed Net Coupling | Ji (i = 1–5) (cm−1) (c) |
|---|---|---|---|---|
| 1 | 28.6, 5.4, 1.0 | AF | AF | −7.3, −2.5, −2.5 |
| 2 | 26.7, 18.9, 21.6 | AF | AF | −6.02, −2.2, −2.2 |
| 3 | 27.7, 21.8, 24.7 | AF | AF | +3.8, −6.0, −9.9, −5.2, +1.2 |
| 4-A (b) | 28.9, 26.7, 32.1 | AF | - | - |
| 4-B (b) | 15.6, 16.4, 18.9 | AF | - | - |
| 5 | 28.9, 34.7, 41.9 | AF/F | F | +2.3, −2.0, +1.7 |
| 6·3EtOH | 30.3, 37.3, 47.3 | AF/F | F | +3.18, −5.2, +3.5 |
| 6·0.66EtOH·0.33H2O (d) | 42.3, 25.6, 39.3 | AF/F | F | +3.5, −1.8 |
Disclaimer/Publisher’s Note: The statements, opinions and data contained in all publications are solely those of the individual author(s) and contributor(s) and not of MDPI and/or the editor(s). MDPI and/or the editor(s) disclaim responsibility for any injury to people or property resulting from any ideas, methods, instructions or products referred to in the content. |
© 2024 by the authors. Licensee MDPI, Basel, Switzerland. This article is an open access article distributed under the terms and conditions of the Creative Commons Attribution (CC BY) license (https://creativecommons.org/licenses/by/4.0/).
Share and Cite
Casanovas, B.; Vicente, R.; Font-Bardía, M.; El Fallah, M.S. Manganese (III) Compounds Derived from R-Salicylaldoxime and 9-Anthracenecarboxylate Ligands: A Study of Their Synthesis and Structural, Magnetic, and Luminescent Properties. Magnetochemistry 2024, 10, 55. https://doi.org/10.3390/magnetochemistry10080055
Casanovas B, Vicente R, Font-Bardía M, El Fallah MS. Manganese (III) Compounds Derived from R-Salicylaldoxime and 9-Anthracenecarboxylate Ligands: A Study of Their Synthesis and Structural, Magnetic, and Luminescent Properties. Magnetochemistry. 2024; 10(8):55. https://doi.org/10.3390/magnetochemistry10080055
Chicago/Turabian StyleCasanovas, Berta, Ramon Vicente, Mercè Font-Bardía, and Mohamed Salah El Fallah. 2024. "Manganese (III) Compounds Derived from R-Salicylaldoxime and 9-Anthracenecarboxylate Ligands: A Study of Their Synthesis and Structural, Magnetic, and Luminescent Properties" Magnetochemistry 10, no. 8: 55. https://doi.org/10.3390/magnetochemistry10080055
APA StyleCasanovas, B., Vicente, R., Font-Bardía, M., & El Fallah, M. S. (2024). Manganese (III) Compounds Derived from R-Salicylaldoxime and 9-Anthracenecarboxylate Ligands: A Study of Their Synthesis and Structural, Magnetic, and Luminescent Properties. Magnetochemistry, 10(8), 55. https://doi.org/10.3390/magnetochemistry10080055

