Emergence and Structural Characteristic of the Solanum pimpinellifolium in Trays under Different Levels and Types of Substrates
Abstract
1. Introduction
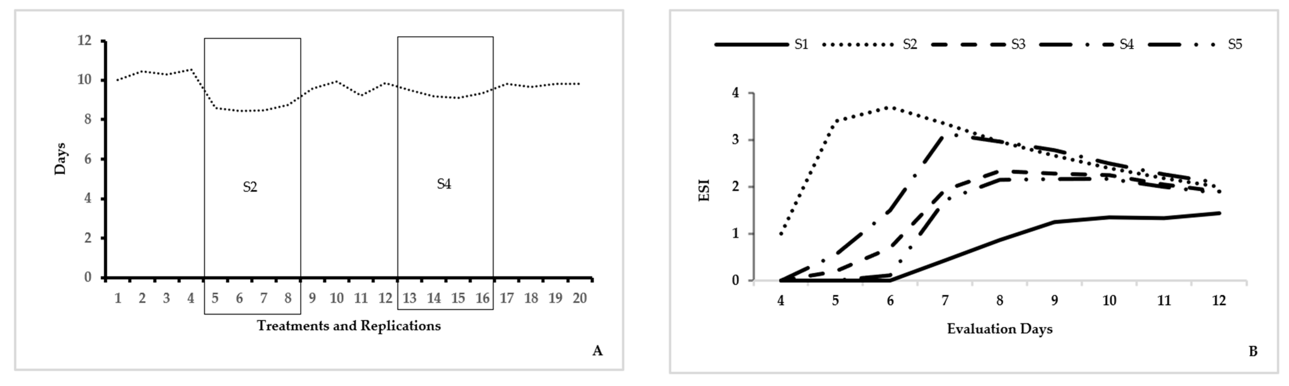
2. Results
3. Discussion
4. Materials and Methods
4.1. Experimental Location
4.2. Experimental Design and Procedures
5. Conclusions
Author Contributions
Funding
Institutional Review Board Statement
Informed Consent Statement
Data Availability Statement
Acknowledgments
Conflicts of Interest
Abbreviations
| HDM | earthworm humus (EH) |
| SBC | commercial substrate (CS) |
| H | height |
| W | width |
| L | length |
| DAS | days after sowing |
| ESI | emergence speed index |
| PE | percentage of emergence |
| AET | average emergence time |
| PH | plant height |
| SD | stem diameter |
| ROOTL | root system |
| GSI | Germination Speed Index |
References
- Peralta, I.E.; Spooner, D.M. Classification of wild tomatoes: A review. Kurtziana 2000, 28, 45–54. [Google Scholar]
- Miller, J.C.; Tanksley, S.D. RFLP analysis of phylogenetic relationships and genetic variation in the genus Lycopersicon. Theor. Appl. Genet. 1990, 80, 437–448. [Google Scholar] [CrossRef] [PubMed]
- Ohlson, E.W.; Foolad, M.R.; Havey, M. Genetic analysis of resistance to tomato late blight inSolanum pimpinellifoliumaccession PI 163245. Plant Breed. 2016, 135, 391–398. [Google Scholar] [CrossRef]
- Jin, R.; Wang, J.; Guo, B.; Yang, T.; Hu, J.; Wang, B.; Yu, Q. Identification and Expression Analysis of the Alfin-like Gene Family in Tomato and the Role of SlAL3 in Salt and Drought Stresses. Plants 2023, 12, 2829. [Google Scholar] [CrossRef] [PubMed]
- Furquim, M.G.D.; Nascimento, A.D.R.; Souza, C.B.D.; Corcioli, G. Wholesale price and production area: The case of table tomatoes in the state of Goias. Inf. GEPEC 2023, 27, 58–77. [Google Scholar] [CrossRef]
- Jewehan, A.; Salem, N.; Toth, Z.; Salamon, P.; Szabo, Z. Screening of Solanum (sections Lycopersicon and Juglandifolia) germplasm for reactions to the tomato brown rugose fruit virus (ToBRFV). J. Plant Dis. Prot. 2022, 129, 117–123. [Google Scholar] [CrossRef]
- Sullenberger, M.T.; Jia, M.; Gao, S.; Ashrafi, H.; Foolad, M.R. Identification of late blight resistance quantitative trait loci in Solanum pimpinellifolium accession PI 270441. Plant Genome 2022, 15, e20251. [Google Scholar] [CrossRef]
- Lurie, S.; Fallik, E.; Handros, A.; Shapira, R. The possible involvement of peroxidase in resistance to Botrytis cinerea in heat treated tomato fruit. Physiol. Mol. Plant Pathol. 1997, 50, 141–149. [Google Scholar] [CrossRef]
- Sobreira, F.M.; Sobreira, F.M.; Almeida, G.D.D.; Coelho, R.I.; Rodrigues, R.; Matta, F.D.P. Flavor quality of salad and cherry tomatoes and its relationship with morphoagronomic fruit characteristics. Sci. Agrotechnology 2010, 34, 1015–1023. [Google Scholar] [CrossRef]
- Sun, Q.; Zhang, N.; Wang, J.; Zhang, H.; Li, D.; Shi, J.; Li, R.; Weeda, S.; Zhao, B.; Ren, S.; et al. Melatonin promotes ripening and improves quality of tomato fruit during postharvest life. J. Exp. Bot. 2015, 66, 657–668. [Google Scholar] [CrossRef]
- Schreinemachers, P.; Simmons, E.B.; Wopereis, M.C.S. Tapping the economic and nutritional power of vegetables. Glob. Food Secur. 2018, 16, 36–45. [Google Scholar] [CrossRef]
- Alzahrani, M.S.; Alsaade, F.W. Transform and Deep Learning Algorithms for the Early Detection and Recognition of Tomato Leaf Disease. Agronomy 2023, 13, 1184. [Google Scholar] [CrossRef]
- Silva, M.B.P.; Silva, V.N. Seed bioconditioning of tomatoes with red algae extract. Sci. Electron. Arch. 2021, 14, 28–35. [Google Scholar] [CrossRef]
- Zhou, M.; Deng, L.; Yuan, G.; Zhao, W.; Ma, M.; Sun, C.; Du, M.; Li, C.; Li, C. A CRISPR-Cas9-Derived Male Sterility System for Tomato Breeding. Agronomy 2023, 13, 1785. [Google Scholar] [CrossRef]
- ISLA. The Super Seed. Available online: https://www.isla.com.br/media/catalogos/Catalogo%20ISLA.pdf (accessed on 14 May 2023).
- Tucuch-Pérez, M.A.; Bojorquez-Vega, J.J.; Arredondo-Valdes, R.; Hernández-Castillo, F.D.; Anguiano-Cabello, J.C. Biological Activity of Plant Extracts from the Mexican Semidesert for the Management of Tomato Fusarium oxysporum: Effectiveness of Plant Extracts on Fusarium oxysporum. Ecosyst. Agric. Resour. 2021, 8, e2745. [Google Scholar] [CrossRef]
- Oliveira, A.P.D.; Araújo, J.C.D. Performance of Hybrid Tomatoes under Summer Conditions in Areia-PB. Braz. Hortic. 1998, 16, 176–177. [Google Scholar] [CrossRef]
- Vásquez Ramírez, L.M.; Castaño Zapata, J. Manejo integrado de la marchitez vascular del tomate [Fusarium oxysporum f. sp. lycopersici (SACC.) W.C. Snyder & H.N. Hansen]: Una revisión. Rev. U.D.C.A Actual. Divulg. Científica 2017, 20, 363–374. [Google Scholar] [CrossRef]
- Lopes, U.P.; Costa, H. Disease Management. In TOMATO: From Planting to Harvest; Nick, C., Silva, D.J.H., Borém, A., Eds.; UFV: Viçosa, Brazil, 2018; p. 237. [Google Scholar]
- Hussain, I.; Farooq, T.; Khan, S.A.; Ali, N.; Waris, M.; Jalal, A.; Nielsen, S.L.; Ali, S. Variability in indigenous Pakistani tomato lines and worldwide reference collection for Tomato Mosaic Virus (ToMV) and Tomato Yellow Leaf Curl Virus (TYLCV) infection. Braz. J. Biol. 2022, 84, e253605. [Google Scholar] [CrossRef]
- Rivarez, M.P.S.; Pecman, A.; Bacnik, K.; Maksimovic, O.; Vucurovic, A.; Seljak, G.; Mehle, N.; Gutierrez-Aguirre, I.; Ravnikar, M.; Kutnjak, D. In-depth study of tomato and weed viromes reveals undiscovered plant virus diversity in an agroecosystem. Microbiome 2023, 11, 60. [Google Scholar] [CrossRef]
- Olaya, C.; Fletcher, S.J.; Zhai, Y.; Peters, J.; Margaria, P.; Winter, S.; Mitter, N.; Pappu, H.R. The Tomato spotted wilt virus (TSWV) Genome is Differentially Targeted in TSWV-Infected Tomato (Solanum lycopersicum) with or without Sw-5 Gene. Viruses 2020, 12, 363. [Google Scholar] [CrossRef]
- Silva, A.R.M.d.; Santos, C.A.d.; Rocha, M.C.; Rosa, N.d.S.; Ruella, P.R.; Carmo, M.G.F.d. Aspects of Organic Tomato Production and Marketing. In Agricultural and Environmental Research; Zuffo, A.M., Aguilera, J.G., Eds.; Pantanal Publisher: Nova Xavantina, Brazil, 2022; Volume XI, p. 239. [Google Scholar]
- Andriolo, J.; Duarte, T.d.S.; Ludke, L.; Skrebsky, E. Growth and Development of Tomato Plants Cultivated in Substrate with Fertigation. Braz. Hortic. 1997, 15, 28–32. [Google Scholar]
- Andriolo, J.L.; Ross, T.D.; Witter, M. Development, and Productivity of Tomato Plants Cultivated in Substrate with Three Nitrogen Concentrations in the Nutrient Solution. Rural. Sci. 2004, 34, 1451–1457. [Google Scholar] [CrossRef]
- Carrijo, O.A.; Liz, R.S.D.; Makishima, N. Green Coconut Husk Fiber as Agricultural Substrate. Braz. Hortic. 2002, 20, 533–535. [Google Scholar] [CrossRef]
- Nadai, F.B.; Menezes, J.B.D.C.; Catão, H.C.R.M.; Advíncula, T.; Costa, C.A. Tomato Seedling Production as Affected by Different Propagation Methods and Substrates. Agro@mbiente On-line J. 2015, 9, 261. [Google Scholar] [CrossRef]
- Garcez, B.S.; Alves, A.A.; Araújo, D.L.C.; Lacerda, M.D.S.B.; Souza, L.G.C.; Carvalho, L.F. Ruminal degradability of guinea grass (Panicum maximum Jacq. cv. guinea grass) at three post-regrowth stages. Braz. Vet. J. 2016, 10, 130. [Google Scholar] [CrossRef]
- Yu, H.; Zhu, J.; Qiao, R.; Zhao, N.; Zhao, M.; Kong, L. Facile Preparation and Controllable Absorption of a Composite Based on PMo12/Ag Nanoparticles: Photodegradation Activity and Mechanism. ChemistrySelect 2022, 7, e202103668. [Google Scholar] [CrossRef]
- Cruz, M.B.D.; Alves, P.L.D.C.A.; Karam, D.; Ferraudo, A.S. Guinea Grass and Its Effects on the Initial Growth of Eucalyptus × urograndis Clones. For. Sci. 2010, 20, 391–401. [Google Scholar] [CrossRef][Green Version]
- Presoto, J.C.; Netto, A.G.; Andrade, J.D.F.; Malardo, M.R.; Nicolai, M.; Christoffoleti, P.J. Efficacy and Interaction of the Association of Flumioxazin and Pyroxasulfone for Control of Colonião Grass (Panicum maximum). J. Agroveterinary Sci. 2022, 21, 435–440. [Google Scholar] [CrossRef]
- Moura, Á.Q.; Corrêa, E.B.; Fernandes, J.D.; Monteiro Filho, A.F.; Leão, A.C.; Boava, L.P. Agronomic efficiency of lettuce subjected to different organic compounds. Braz. Mag. Sustain. Agric. 2020, 10, 155–163. [Google Scholar] [CrossRef]
- Carvalho, N.M.d.; Nakagawa, J. Seeds: Science, Technology, and Production, 4th ed.; Funep: Jaboticabal, Brazil, 2000; 588p. [Google Scholar]
- Sorana, C.K.P.D.M.; Rego, C.H.Q.; Cardoso, F.B.; Silva, T.R.B.D.; Cândido, A.C.D.S.; Alves, C.Z. Effects of temperature, substrate and luminosity conditions on chia seed germination. Caatinga J. 2019, 32, 411–418. [Google Scholar] [CrossRef]
- Antonio, A.d.C.; Almeida, V.d.S. Seedling Production, Soil Preparation, and Planting. In TOMATO: From Planting to Harvest; Nick, C., Silva, D.J.H., Borém, A., Eds.; UFV: Viçosa, Brazil, 2018; p. 237. [Google Scholar]
- Borges, M.B.; Mendonça, L. Use of Organic Substrate in Cherry Tomato Seedling Production. In Proceedings of the 1st FINOM and Tecsoma Undergraduate Thesis Symposium, Paracatu, Brazil, 24–36 June 2019; pp. 177–186. [Google Scholar]
- Costa, E.; Santo, T.L.; Silva, A.P.; Silva, L.E.; Oliveira2, L.C.; Benett3, C.G.; Benett4, K.S. Environments and Substrates in the Seedling Formation and Fruit Production of Cherry Tomato Cultivars. Braz. Hortic. 2015, 33, 110–118. [Google Scholar] [CrossRef][Green Version]
- Santos, P.L.F.d.; Silva, O.N.M.d.; Paixão, A.P.; Castilho, R.M.M.d. Germination and Seedling Development of Cherry Tomato in Different Substrates. Agric. Technol. Sci. 2017, 11, 41–45. [Google Scholar]
- Pilla, N.; Tranchida-Lombardo, V.; Gabrielli, P.; Aguzzi, A.; Caputo, M.; Lucarini, M.; Durazzo, A.; Zaccardelli, M. Effect of Compost Tea in Horticulture. Horticulturae 2023, 9, 984. [Google Scholar] [CrossRef]
- Guedes, R.S.; Alves, E.U.; Gonçalves, E.P.; Santos, S.D.R.N.D.; Lima, C.R.D. Vigor Tests in the Evaluation of Physiological Quality of Erythrina velutina Willd. Seeds (FABACEAE - PAPILIONOIDEAE). Sci. Agrotechnology 2009, 33, 1360–1365. [Google Scholar] [CrossRef]
- Silveira, M.A.M.; Villela, F.A.; Tillmann, M.Â.A. Comparison of Methods for Assessing the Physiological Quality of Marigold Seeds. Braz. Seed J. 2002, 24, 24–30. [Google Scholar] [CrossRef]
- Lima, C.J.G.d.S.; Oliveira, F.d.A.d.; Medeiros, J.F.d.; Oliveira, M.K.T.d.; Galvao, D.d.C. Evaluation of different trays and organic substrata in the production of seedlings of cherry-colored tomato. Ciência Agronômica 2009, 40, 123–128. [Google Scholar]
- Zhang, Y.; Zhang, S.; Yang, X.; Wang, W.; Liu, X.; Wang, H.; Zhang, H. Enhancing the fermentation performance of frozen dough by ultrasonication: Effect of starch hierarchical structures. J. Cereal Sci. 2022, 106, 103500. [Google Scholar] [CrossRef]
- Miranda, E.F.D.; Sá, L.F.D.; Silva, L.S.D.; Martins, A.D.R.; Santos, L.M.D. Effects of different substrates on the germination of Mimosa caesalpiniifolia Benth. Divers. J. 2021, 6, 2955–2968. [Google Scholar] [CrossRef]
- Barros, D.I.; Nunes, H.V.; Dias, D.C.F.S.; Bhering, M.C. Comparison of vigor tests for assessing the physiological quality of tomato seeds. Braz. Seed J. 2002, 24, 12–16. [Google Scholar] [CrossRef]
- Teixeira, S.B.; Cocco, K.L.T.; Celente, A.M.; Delias, D.D.S.; Reolon, F.; Moraes, D.M.D. Effect of temperature on the germination and initial growth of Capsicum frutescens (L.) seeds. Green J. Agroecol. Sustain. Dev. 2018, 13, 58. [Google Scholar] [CrossRef][Green Version]
- Dias, M.A.; Lopes, J.C.; Corrêa, N.B.; Dias, D.C.F.D.S. Germination of malagueta pepper seeds and plant development as influenced by substrate and water depth. Braz. Seed J. 2008, 30, 115–121. [Google Scholar] [CrossRef]
- Melo, P.C.T.d.; Melo, A.M.T.d.; Trani, P.E. Tomato (Solanum lycopersicum L.). In Agricultural Instructions for Major Economic Crops; Instituto Agronômico: Campinas, Brazil, 2014; p. 452. [Google Scholar]
- Guan, Y.-J.; Hu, J.; Wang, X.-J.; Shao, C.-X. Seed priming with chitosan improves maize germination and seedling growth in relation to physiological changes under low temperature stress. J. Zhejiang Univ. Sci. B 2009, 10, 427–433. [Google Scholar] [CrossRef] [PubMed]
- Silva, A.P.R.D.; Nepomoceno, T.A.R. Effects of temperature on the germination of biofortified maize seeds. Divers. J. 2021, 6, 2946–2954. [Google Scholar] [CrossRef]
- Hubert, M.; Minuzzi, R.B. Soil Temperature Covered and Uncovered from Air Temperature. J. Environ. Anal. Prog. 2020, 5, 274–280. [Google Scholar] [CrossRef]
- Melo, L.A.D.; Abreu, A.H.M.D.; Leles, P.S.D.S.; Oliveira, R.R.D.; Silva, D.T.D. Quality and initial growth of seedlings of Mimosa caesalpiniifolia Benth. Produced in different container volumes. For. Sci. 2018, 28, 47–55. [Google Scholar] [CrossRef]
- Ritchie, G.A.; Landis, T.D.; Dumroese, R.K.; Haase, D.L. The Container Tree Nursery Manual. Assess. Plant Qual. 2010, 7, 81. [Google Scholar]
- Medeiros, D.C.d.; Azevedo, C.M.d.S.B.; Marques, L.F.; Sousa, R.A.; Oliveira, C.J.d. Quality of Tomato Seedlings as Affected by Substrate and Irrigation with Fish Farm Effluent. Braz. J. Agroecol. 2013, 8, 170–175. [Google Scholar]
- Santos, A.C.M.d.; Carneiro, J.S.d.S.; Ferreira Júnior, J.M.; Silva, M.C.A.d.; Silva, R.R.d. Production of Tomato Seedlings (cv. Drica) using Alternative Substrates. Sci. Agric. Semiarid 2016, 11, 1–12. [Google Scholar]
- Carballo-Méndez, F.D.J.; Urrestarazu, M.; Rodríguez-Ortiz, J.C.; Morales, I. Electrical conductivity of the nutrient solution on the vegetative propagation of bell pepper and tomato. Ciência Rural. 2023, 53, e20210730. [Google Scholar] [CrossRef]
- Koeppen, W. Climatology: With a Study of Earth’s Climates; Fondo de Cultura Economica: México, Mexico, 1948; p. 478. [Google Scholar]
- FUNCEME. Agrometeorological Station ID: 35853 Location: Long: −39.4436 Lat: −7.2122. Available online: http://funceme.br/pcd/estacoes (accessed on 12 June 2023).
- Sahasa, R.G.K.; Dhevagi, P.; Poornima, R.; Ramya, A.; Moorthy, P.S.; Alagirisamy, B.; Karthikeyan, S. Effect of polyethylene microplastics on seed germination of Blackgram (Vigna mungo L.) and Tomato (Solanum lycopersicum L.). Environ. Adv. 2023, 11, 100349. [Google Scholar] [CrossRef]
- Bewley, J.D.; Black, M. Physiology and Biochemistry of Seeds in Relation to Germination: 1 Development, Germination, and Growth; Springer: Berlin/Heidelberg, Germany, 2014. [Google Scholar] [CrossRef]
- Brazil—Ministry of Agriculture, Livestock, and Supply. Rules for Seed Analysis/Ministry of Agriculture, Livestock, and Supply. Secretariat of Agribusiness Defense; Mapa/ACS: Brasília, Brazil, 2009; p. 399. [Google Scholar]
- LABREN. Global Solar Radiation at ID 44866. Available online: http://labren.ccst.inpe.br/atlas2_tables/CE_glo.html (accessed on 22 April 2023).
- Hernández-Herrera, R.M.; Santacruz-Ruvalcaba, F.; Zañudo-Hernández, J.; Hernández-Carmona, G. Activity of seaweed extracts and polysaccharide-enriched extracts from Ulva lactuca and Padina gymnospora as growth promoters of tomato and mung bean plants. J. Appl. Phycol. 2016, 28, 2549–2560. [Google Scholar] [CrossRef]
- Righini, H.; Francioso, O.; Quintana, A.M.; Pinchetti, J.L.G.; Zuffi, V.; Cappelletti, E.; Roberti, R. New insight on tomato seed priming with Anabaena minutissima phycobiliproteins in relation to Rhizoctonia solani root rot resistance and seedling growth promotion. Phytoparasitica 2023. [Google Scholar] [CrossRef]
- Maguire, J.D. Speed of Germination—Aid In Selection And Evaluation for Seedling Emergence And Vigor 1. Crop Sci. 1962, 2, 176–177. [Google Scholar] [CrossRef]
- Ferreira, D.F. SISVAR: Statistical Analysis Program and Design of Experiments. Available online: https://des.ufla.br/~danielff/programas/sisvar.html (accessed on 8 May 2023).
- Ferreira, D.F. SISVAR: A computer analysis system to fixed effects split plot type designs. Braz. J. Biometry 2019, 37, 529–535. [Google Scholar] [CrossRef]
- Ferreira, D.F. Sisvar: A computer statistical analysis system. Ciência Agrotecnologia 2011, 35, 1039–1042. [Google Scholar] [CrossRef]
- RStudio. RStudio Software, Versão 2023.06.1; Posit Software PBC: Boston, MA, USA, 2023.






| Substrates | ESI | SD (mm) | PH (cm) | ROOTL (mm) | NL |
|---|---|---|---|---|---|
| S1 | 1.43 ± 0.46 c | 2.80 ± 0.46 a | 13.06 ± 3.37 c | 9.25 ± 1.95 a | 4.00 ± 0.00 a |
| S2 | 1.99 ± 0.12 a | 2.52 ± 0.19 a | 13.56 ± 0.88 c | 9.13 ± 2.43 a | 4.00 ± 0.41 a |
| S3 | 1.89 ± 0.18 b | 2.73 ± 0.11 a | 15.06 ± 1.86 b | 9.25 ± 1.66 a | 4.00 ± 0.29 a |
| S4 | 2.08 ± 0.00 a | 2.73 ± 0.40 a | 19.19 ±2.79 a | 8.94 ± 2.73 a | 4.00 ± 0.25 a |
| S5 | 1.87 ± 0.08 b | 2.78 ± 0.27 a | 16.75 ± 0.98 b | 7.63 ± 2.01 a | 4.00 ± 0.00 a |
| CV (%) | 11.92 | 12.40 | 15.61 | 25.02 | 6.64 |
| MSD (5%) | 0.49 | 0.75 | 5.46 | 4.98 | 0.61 |
| Substrates | Dry Biomass (mg) | |||
|---|---|---|---|---|
| LDB | SDB | RDB | TDB | |
| S1 | 6.81 ± 1.27 a | 5.19 ± 1.72 a | 5.11 ± 1.91 a | 10.01 ± 2.65 a |
| S2 | 7.51 ± 1.60 a | 5.80 ± 0.84 a | 6.44 ± 1.13 a | 11.48 ± 2.01 a |
| S3 | 7.57 ± 1.09 a | 5.97 ± 1.08 a | 5.37 ± 1.25 a | 11.04 ± 1.90 a |
| S4 | 9.01 ± 0.68 a | 7.59 ± 1.09 a | 5.94 ± 0.75 a | 13.20 ± 1.38 a |
| S5 | 6.88 ± 0.90 a | 5.68 ± 0,95 a | 4.51 ± 1.49 a | 10.03 ± 1.78 a |
| CV (%) | 16.01 | 21.33 | 26.04 | 19.10 |
| MSD (5%) | 2.72 | 2.90 | 3.21 | 4.80 |
| Months 2022 | Temperature (°C) | Relative Humidity (%) | Atmospheric Pressure (atm) | Precipitation | ||||||
|---|---|---|---|---|---|---|---|---|---|---|
| Avg. | Max. | Min. | Avg. | Max. | Min. | Avg. | Max. | Min. | (mm) | |
| August | 23.3 | 33.1 | 15.9 | 66 | 96 | 27 | 953.64 | 958.06 | 949.87 | 10.6 |
| September | 24.8 | 34.6 | 16.7 | 30 | 96 | 24 | 952.48 | 958.04 | 946.78 | 6.4 |
| Composition | Proportions | Repetitions | |
|---|---|---|---|
| T1 | Earthworm Humus—HDM Analysis | 4 | |
| T2 | Commercial Substrate—SBC Control | 4 | |
| T3 | Earthworm Humus—HDM + Commercial Substrate—SBC | 1:1 | 4 |
| T4 | Earthworm Humus—HDM + Commercial Substrate—SBC | 1:3 | 4 |
| T5 | Earthworm Humus—HDM + Commercial Substrate—SBC | 3:1 | 4 |
| Total | 20 |
| VIVATO SLIM Substrate | Registration Number at MAPA | Dilution 1:5 (v/v) | (m/m) | Basic Density | Additives (Mass/Mass) | |||
| pH | E.C. | W.H.C. | Hmd. | Fertilizer | Corrector | |||
| PLUS | SP-003662-5.000004 | 6.0 | 1.2 | 200% | 48% | 260.0 Kg·m−3 | 1.50% | 0.20% |
| Parameter | Method Used | R | U | Unt | Q.L. |
|---|---|---|---|---|---|
| Organic matter | IN-SDA Nº 003/2017 MAPA—Cap III—13 | 51.7 | 4.2 | % | 3.1 |
| CEC | IN-SDA Nº 003/2017 MAPA—Cap III—13 | 1000 | 50 | mmol/Kg | 5 |
| Fulvic acids (Organic C) | Embrapa (2017) | 1 | - | % | 0.1 |
| Humic acids (Organic C) | Embrapa (2017) | 1.04 | - | % | 0.1 |
Disclaimer/Publisher’s Note: The statements, opinions and data contained in all publications are solely those of the individual author(s) and contributor(s) and not of MDPI and/or the editor(s). MDPI and/or the editor(s) disclaim responsibility for any injury to people or property resulting from any ideas, methods, instructions or products referred to in the content. |
© 2023 by the authors. Licensee MDPI, Basel, Switzerland. This article is an open access article distributed under the terms and conditions of the Creative Commons Attribution (CC BY) license (https://creativecommons.org/licenses/by/4.0/).
Share and Cite
dos Santos, E.E.A.; Barbosa, N.M.L.; dos Santos, F.G.B.; Duarte, A.E.; Mateus, L.S.; de Oliveira, G.M.; da Paz, C.D. Emergence and Structural Characteristic of the Solanum pimpinellifolium in Trays under Different Levels and Types of Substrates. Horticulturae 2023, 9, 1044. https://doi.org/10.3390/horticulturae9091044
dos Santos EEA, Barbosa NML, dos Santos FGB, Duarte AE, Mateus LS, de Oliveira GM, da Paz CD. Emergence and Structural Characteristic of the Solanum pimpinellifolium in Trays under Different Levels and Types of Substrates. Horticulturae. 2023; 9(9):1044. https://doi.org/10.3390/horticulturae9091044
Chicago/Turabian Styledos Santos, Erivaldo Erbo Alves, Nathália Maria Laranjeira Barbosa, Francisco Gauberto Barros dos Santos, Antonia Eliene Duarte, Lucas Souza Mateus, Gertrudes Macário de Oliveira, and Cristiane Domingos da Paz. 2023. "Emergence and Structural Characteristic of the Solanum pimpinellifolium in Trays under Different Levels and Types of Substrates" Horticulturae 9, no. 9: 1044. https://doi.org/10.3390/horticulturae9091044
APA Styledos Santos, E. E. A., Barbosa, N. M. L., dos Santos, F. G. B., Duarte, A. E., Mateus, L. S., de Oliveira, G. M., & da Paz, C. D. (2023). Emergence and Structural Characteristic of the Solanum pimpinellifolium in Trays under Different Levels and Types of Substrates. Horticulturae, 9(9), 1044. https://doi.org/10.3390/horticulturae9091044

