Enhanced Differentiation of Wild and Feeding Civet Coffee Using Near-Infrared Spectroscopy with Various Sample Pretreatments and Chemometric Approaches
Abstract
1. Introduction
2. Materials and Methods
2.1. Coffee Samples
2.2. NIR Spectroscopy
2.3. Data Analysis
- TP: True Positive
- FP: False Positive
- TN: True Negative
- FN: False Negative
3. Results and Discussion
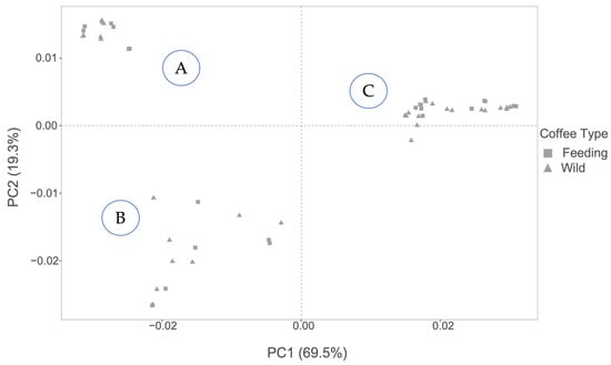
3.1. Exploratory Analysis (Unsupervised Method: HCA and PCA)
3.2. Multivariate Techniques (Supervised Method: SVM and RF)
4. Conclusions
Supplementary Materials
Author Contributions
Funding
Data Availability Statement
Acknowledgments
Conflicts of Interest
References
- Muzaifa, M.; Hasni, D.; Febriani; Patria, A.; Abubakar, A. Chemical composition of green and roasted coffee bean of Gayo arabica civet coffee (kopi luwak). In IOP Conference Series: Earth and Environmental Science, Proceedings of the 1st International Conference on Agriculture and Bioindustry 2019, Banda Aceh, Indonesia, 24–26 October 2019; Institute of Physics Publishing: Bristol, UK, 2020. [Google Scholar] [CrossRef]
- Suhandy, D.; Yulia, M. The Use of Partial Least Square Regression and Spectral Data in UV-Visible Region for Quantification of Adulteration in Indonesian Palm Civet Coffee. Int. J. Food Sci. 2017, 2017, 6274178. [Google Scholar] [CrossRef]
- Sunarharum, W.B.; Williams, D.J.; Smyth, H.E. Complexity of coffee flavor: A compositional and sensory perspective. Food Res. Int. 2014, 62, 315–325. [Google Scholar] [CrossRef]
- Ifmalinda, I.; Setiasih, I.S.; Muhaemin, M.; Nurjanah, S. Chemical Characteristics Comparison of Palm Civet Coffee (kopi luwak) and Arabica Coffee Beans. J. Appl. Agric. Sci. Technol. 2019, 3, 280–288. [Google Scholar] [CrossRef]
- Muzaifa, M.; Hasni, D.; Rahmi, F.; Syarifudin. What is kopi luwak? A literature review on production, quality and problems. In IOP Conference Series: Earth and Environmental Science, Proceedings of the International Conference on Agricultural Technology, Engineering and Environmental Sciences, Banda Aceh, Indonesia, 21–22 August 2019; Institute of Physics Publishing: Bristol, UK, 2019. [Google Scholar] [CrossRef]
- Muzaifa, M.; Hasni, D.; Yunita, D.; Febriani; Patria, A.; Abubakar, A. Amino acid and sensory profile of Kopi Luwak (Civet Coffee). In IOP Conference Series: Materials Science and Engineering, Proceedings of the 8th Annual International Conference (AIC) 2018 on Science and Engineering, Aceh, Indonesia, 12–14 September 2018; Institute of Physics Publishing: Bristol, UK, 2019. [Google Scholar] [CrossRef]
- Lachenmeier, D.W.; Schwarz, S. Digested civet coffee beans (Kopi luwak)—An unfortunate trend in specialty coffee caused by mislabeling of coffea liberica? Foods 2021, 10, 1329. [Google Scholar] [CrossRef]
- De Carvalho Couto, C.; Freitas-Silva, O.; Morais Oliveira, E.M.; Sousa, C.; Casal, S. Near-infrared spectroscopy applied to the detection of multiple adulterants in roasted and ground arabica coffee. Foods 2022, 11, 61. [Google Scholar] [CrossRef]
- Suhandy, D.; Yulia, M. Authentication of Six Indonesian Ground Roasted Specialty Coffees according to Variety and Geographical Origin using NIR Spectroscopy with Integrating Sphere. In IOP Conference Series: Earth and Environmental Science, Proceedings of the International Conference on Science, Infrastructure Technology and Regional Development, South Lampung, Indonesia, 23–25 October 2020; IOP Publishing Ltd.: Bristol, UK, 2021. [Google Scholar] [CrossRef]
- Giraudo, A.; Grassi, S.; Savorani, F.; Gavoci, G.; Casiraghi, E.; Geobaldo, F. Determination of the geographical origin of green coffee beans using NIR spectroscopy and multivariate data analysis. Food Control 2019, 99, 137–145. [Google Scholar] [CrossRef]
- Manuel, M.N.B.; da Silva, A.C.; Lopes, G.S.; Ribeiro, L.P.D. One-class classification of special agroforestry Brazilian coffee using NIR spectrometry and chemometric tools. Food Chem. 2022, 366, 130480. [Google Scholar] [CrossRef]
- Aliaño-González, M.J.; Ferreiro-González, M.; Espada-Bellido, E.; Palma, M.; Barbero, G.F. A screening method based on Visible-NIR spectroscopy for the identification and quantification of different adulterants in high-quality honey. Talanta 2019, 203, 235–241. [Google Scholar] [CrossRef] [PubMed]
- Barea-Sepúlveda, M.; Ferreiro-González, M.; Calle, J.L.P.; Barbero, G.F.; Ayuso, J.; Palma, M. Comparison of different processing approaches by SVM and RF on HS-MS eNose and NIR Spectrometry data for the discrimination of gasoline samples. Microchem. J. 2022, 172, 106893. [Google Scholar] [CrossRef]
- Dankowska, A.; Kowalewski, W. Tea types classification with data fusion of UV–Vis, synchronous fluorescence and NIR spectroscopies and chemometric analysis. Spectrochim. Acta A Mol. Biomol. Spectrosc. 2019, 211, 195–202. [Google Scholar] [CrossRef]
- Ferreiro-González, M.; Espada-Bellido, E.; Guillén-Cueto, L.; Palma, M.; Barroso, C.G.; Barbero, G.F. Rapid quantification of honey adulteration by visible-near infrared spectroscopy combined with chemometrics. Talanta 2018, 188, 288–292. [Google Scholar] [CrossRef]
- Barea-Sepúlveda, M.; Espada-Bellido, E.; Ferreiro-González, M.; Bouziane, H.; López-Castillo, J.G.; Palma, M.; Barbero, G.F. Toxic elements and trace elements in Macrolepiota procera mushrooms from southern Spain and northern Morocco. J. Food Compos. Anal. 2022, 108, 104419. [Google Scholar] [CrossRef]
- Qiu, S.; Wang, J.; Tang, C.; Du, D. Comparison of ELM, RF, and SVM on E-nose and E-tongue to trace the quality status of mandarin (Citrus unshiu Marc.). J. Food Eng. 2015, 166, 193–203. [Google Scholar] [CrossRef]
- Baqueta, M.R.; Alves, E.A.; Valderrama, P.; Pallone, J.A.L. Brazilian Canephora coffee evaluation using NIR spectroscopy and discriminant chemometric techniques. J. Food Compos. Anal. 2023, 116, 105065. [Google Scholar] [CrossRef]
- Scott, I.M.; Lin, W.; Liakata, M.; Wood, J.E.; Vermeer, C.P.; Allaway, D.; Ward, J.L.; Draper, J.; Beale, M.H.; Corol, D.I.; et al. Merits of random forests emerge in evaluation of chemometric classifiers by external validation. Anal. Chim. Acta 2013, 801, 22–33. [Google Scholar] [CrossRef]
- Renai, L.; Ancillotti, C.; Ulaszewska, M.; Garcia-Aloy, M.; Mattivi, F.; Bartoletti, R.; Del Bubba, M. Comparison of chemometric strategies for potential exposure marker discovery and false-positive reduction in untargeted metabolomics: Application to the serum analysis by LC-HRMS after intake of Vaccinium fruit supplements. Anal. Bioanal. Chem. 2022, 414, 1841–1855. [Google Scholar] [CrossRef]
- Calle, J.L.P.; Ferreiro-González, M.; Ruiz-Rodríguez, A.; Barbero, G.F.; Álvarez, J.Á.; Palma, M.; Ayuso, J. A methodology based on ft-ir data combined with random forest model to generate spectralprints for the characterization of high-quality vinegars. Foods 2021, 10, 1411. [Google Scholar] [CrossRef] [PubMed]
- Suhandy, D.; Kusumiyati; Yulia, M. Discrimination between arabica and robusta coffees using NIR-integrating sphere spectroscopy coupled with hierarchical clustering analysis. In IOP Conference Series: Earth and Environmental Science, Proceedings of the 4th International Conference on Agricultural Engineering for Sustainable Agriculture Production (AESAP 2021), Online, 11 October 2021; Institute of Physics: Bristol, UK, 2022. [Google Scholar] [CrossRef]
- Tugnolo, A.; Beghi, R.; Giovenzana, V.; Guidetti, R. Characterization of green, roasted beans, and ground coffee using near infrared spectroscopy: A comparison of two devices. J. Near Infrared Spectrosc. 2019, 27, 93–104. [Google Scholar] [CrossRef]
- Filho, V.R.A.; Polito, W.L.; Neto, J.A.G. Comparative Studies of the Sample Decomposition of Green and Roasted Coffee for Determination of Nutrients and Data Exploratory Analysis. J. Braz. Chem. Soc. 2007, 18, 47–53. [Google Scholar] [CrossRef]
- Ramos-Henríquez, J.M.; Gutiérrez-Taño, D.; Díaz-Armas, R.J. Value proposition operationalization in peer-to-peer platforms using machine learning. Tour. Manag. 2021, 84, 104288. [Google Scholar] [CrossRef]
- Nóbrega, R.O.; da Silva, S.F.; Fernandes, D.D.; Lyra, W.S.; de Araújo, T.K.; Diniz, P.H.; Araújo, M.C. Classification of instant coffees based on caffeine content and roasting degree using NIR spectrometry and multivariate analysis. Microchem. J. 2023, 190, 108624. [Google Scholar] [CrossRef]
- Setyaningsih, W.; Putro, A.W.; Fathimah, R.N.; Kurnia, K.A.; Darmawan, N.; Yulianto, B.; Jiwanti, P.K.; Carrera, C.A.; Palma, M. A microwave-based extraction method for the determination of sugar and polyols: Application to the characterization of regular and peaberry coffees. Arab. J. Chem. 2022, 15, 103660. [Google Scholar] [CrossRef]
- Buratti, S.; Sinelli, N.; Bertone, E.; Venturello, A.; Casiraghi, E.; Geobaldo, F. Discrimination between washed Arabica, natural Arabica and Robusta coffees by using near infrared spectroscopy, electronic nose and electronic tongue analysis. J. Sci. Food Agric. 2015, 95, 2192–2200. [Google Scholar] [CrossRef]
- Jollife, I.T.; Cadima, J. Principal component analysis: A review and recent developments. Philos. Trans. R. Soc. A Math. Phys. Eng. Sci. 2016, 374, 20150202. [Google Scholar] [CrossRef] [PubMed]
- Dridi, S. Supervised Learning—A Systematic Literature Review. 2021. Available online: https://www.researchgate.net/publication/354996999_Supervised_Learning_-_A_Systematic_Literature_Review (accessed on 26 September 2022).
- Rokach, L.; Maimon, O. Clustering Methods. In Data Mining and Knowledge Discovery Handbook; Springer: New York, NY, USA, 2005; pp. 321–352. [Google Scholar] [CrossRef]
- Ribeiro, J.S.; Ferreira, M.M.C.; Salva, T.J.G. Chemometric models for the quantitative descriptive sensory analysis of Arabica coffee beverages using near infrared spectroscopy. Talanta 2011, 83, 1352–1358. [Google Scholar] [CrossRef] [PubMed]
- Omprakash, S.; Gokila, S. Principal Component Analysis—A Survey. IJARCCE 2018, 7, 63–66. [Google Scholar] [CrossRef]
- Ciurczak, E.W.; Igne, B.; Workman, J.; Burns, D.A. Handbook of Near-Infrared Analysis, 4th ed.; Taylor and Francis: Boca Raton, FL, USA; CRC Press: Boca Raton, FL, USA, 2021. [Google Scholar] [CrossRef]
- Mechram, S.; Rahadi, B.; Kusuma, Z.; Soemarno. Nirs Technology (Near Infrared Reflectance Spectroscopy) for Detecting Soil Fertility Case Study in Aceh Province: Review. Galaxy Sci. 2021, 71–75. [Google Scholar] [CrossRef]
- Vázquez-Espinosa, M.; Fayos, O.; VGonzález-de-Peredo, A.; Espada-Bellido, E.; Ferreiro-González, M.; Palma, M.; Garcés-Claver, A.; Barbero, G.F. Changes in capsiate content in four chili pepper genotypes (Capsicum spp.) at different ripening stages. Agronomy 2020, 10, 1337. [Google Scholar] [CrossRef]




| Variety | Wild/Cultivated | Sample Pre-Treatment | Sample Code | Sampling Site (Province, City, and Geographic Coordinate System) | |
|---|---|---|---|---|---|
| Green/Roasted | Whole/Ground | ||||
| Arabica | Wild | Green | Whole | ATWG | Temanggung, Central Java (−7.1752, 110.0170) |
| Ground | ATWGG | ||||
| Roasted | Whole | ATWR | |||
| Ground | ATWRG | ||||
| Green | Whole | APWG | Papandayan, West Java (−7.2994, 107.7987) | ||
| Ground | APWGG | ||||
| Roasted | Whole | APWR | |||
| Ground | APWRG | ||||
| Green | Whole | ACWG | Cikuray, West Java (−7.2851, 107.8740) | ||
| Ground | ACWGG | ||||
| Roasted | Whole | ACWR | |||
| Ground | ACWRG | ||||
| Feeding | Green | Whole | ATCG | Temanggung, Central Java (−7.1752, 110.0170) | |
| Ground | ATCGG | ||||
| Roasted | Whole | ATCR | |||
| Ground | ATCRG | ||||
| Green | Whole | AXCG | Halu, West Java (−7.0179, 107.3353) | ||
| Ground | AXCGG | ||||
| Roasted | Whole | AXCR | |||
| Ground | AXCRG | ||||
| Robusta | Wild | Green | Whole | RLWG | Lampung, Lampung (−4.8421, 104.7406) |
| Ground | RLWGG | ||||
| Roasted | Whole | RLWR | |||
| Ground | RLWRG | ||||
| Feeding | Green | Whole | RLCG | ||
| Ground | RLCGG | ||||
| Roasted | Whole | RLCR | |||
| Ground | RLCRG | ||||
| Method | Accuracy (%) | ||||||||
|---|---|---|---|---|---|---|---|---|---|
| All Samples | Beans | Ground | Green | Roasted | Green Beans | Roasted Beans | Green Ground | Roasted Ground | |
| SVM | 57 | 57 | 57 | 57 | 79 | 57 | 57 | 100 | 93 |
| SVM Boruta | 96 | 89 | - | - | 100 | 86 | 100 | 100 | 100 |
| RF | 100 | 100 | 100 | 100 | 100 | 100 | 100 | 100 | 100 |
| RF Boruta | 100 | 100 | - | - | 100 | 100 | 100 | 100 | 100 |
Disclaimer/Publisher’s Note: The statements, opinions and data contained in all publications are solely those of the individual author(s) and contributor(s) and not of MDPI and/or the editor(s). MDPI and/or the editor(s) disclaim responsibility for any injury to people or property resulting from any ideas, methods, instructions or products referred to in the content. |
© 2023 by the authors. Licensee MDPI, Basel, Switzerland. This article is an open access article distributed under the terms and conditions of the Creative Commons Attribution (CC BY) license (https://creativecommons.org/licenses/by/4.0/).
Share and Cite
Prajna, D.; Álvarez, M.; Barea-Sepúlveda, M.; Calle, J.L.P.; Suhandy, D.; Setyaningsih, W.; Palma, M. Enhanced Differentiation of Wild and Feeding Civet Coffee Using Near-Infrared Spectroscopy with Various Sample Pretreatments and Chemometric Approaches. Horticulturae 2023, 9, 778. https://doi.org/10.3390/horticulturae9070778
Prajna D, Álvarez M, Barea-Sepúlveda M, Calle JLP, Suhandy D, Setyaningsih W, Palma M. Enhanced Differentiation of Wild and Feeding Civet Coffee Using Near-Infrared Spectroscopy with Various Sample Pretreatments and Chemometric Approaches. Horticulturae. 2023; 9(7):778. https://doi.org/10.3390/horticulturae9070778
Chicago/Turabian StylePrajna, Deyla, María Álvarez, Marta Barea-Sepúlveda, José Luis P. Calle, Diding Suhandy, Widiastuti Setyaningsih, and Miguel Palma. 2023. "Enhanced Differentiation of Wild and Feeding Civet Coffee Using Near-Infrared Spectroscopy with Various Sample Pretreatments and Chemometric Approaches" Horticulturae 9, no. 7: 778. https://doi.org/10.3390/horticulturae9070778
APA StylePrajna, D., Álvarez, M., Barea-Sepúlveda, M., Calle, J. L. P., Suhandy, D., Setyaningsih, W., & Palma, M. (2023). Enhanced Differentiation of Wild and Feeding Civet Coffee Using Near-Infrared Spectroscopy with Various Sample Pretreatments and Chemometric Approaches. Horticulturae, 9(7), 778. https://doi.org/10.3390/horticulturae9070778

