Sensory Evaluation and Spectra Evolution of Two Kiwifruit Cultivars during Cold Storage
Abstract
1. Introduction
2. Material and Methods
2.1. Fruit
2.2. Sensory Evaluation
2.3. Spectroscopy
2.4. Internal Quality Attributes
2.5. Data Analysis
3. Results and Discussion
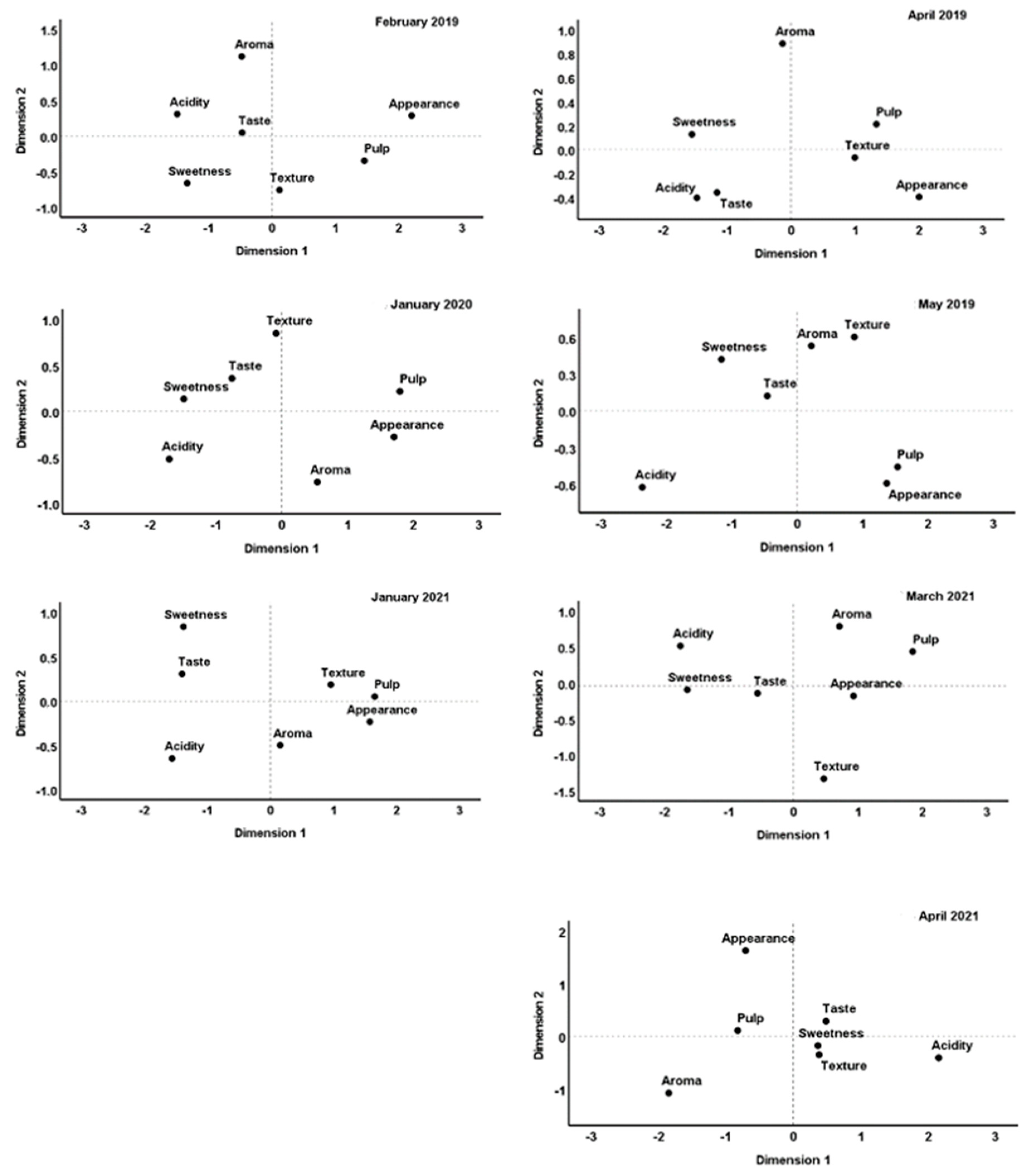
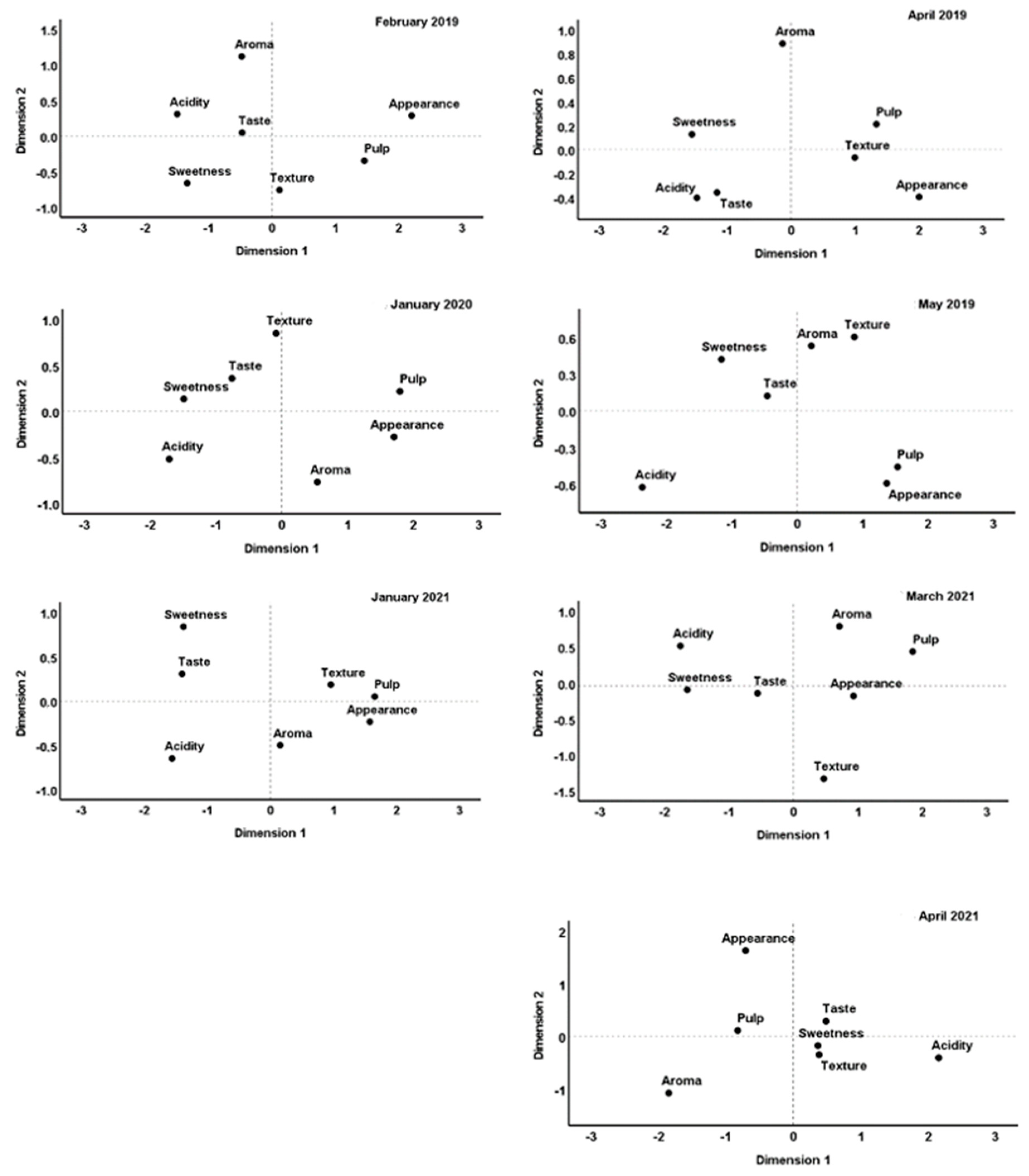
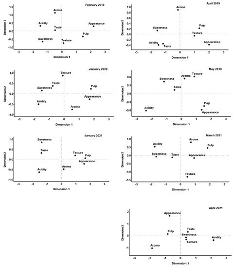
3.1. Sensory Evaluation
3.1.1. ‘Jintao’ Kiwifruit
3.1.2. ‘Hayward’ Kiwifruit
3.1.3. ROC Analysis
3.2. Average Spectra Temporal Evolution of Cold Stored Kiwifruit
3.3. Spectra Reflectance Correlation with Internal Quality Attributes
3.3.1. Soluble Solids Content (SSC)
3.3.2. Firmness
3.3.3. Other Internal Quality Attributes
4. Conclusions
Author Contributions
Funding
Data Availability Statement
Acknowledgments
Conflicts of Interest
References
- Iwasawa, H.; Morita, E.; Yui, S.; Yamazaki, M. Anti-oxidant effects of kiwi fruit in vitro and in vivo. Biol. Pharm. Bull. 2011, 34, 128–134. [Google Scholar] [CrossRef] [PubMed]
- Chai, J.; Wang, Y.; Liu, Y.; Gu, Z.; Liu, Z. High O2/N2 controlled atmosphere accelerates postharvest ripening of ‘Hayward’ kiwifruit. Sci. Hortic. 2022, 300, 111073. [Google Scholar] [CrossRef]
- Testolin, R.; Ferguson, A.R. Kiwifruit (Actinidia spp.) production and marketing in Italy. N. Zeal. J. Crop Hortic. 2009, 37, 1–32. [Google Scholar] [CrossRef]
- Chai, J.; Wang, Y.; Liu, Y.; Yong, K.; Liu, Z. 1-MCP extends the shelf life of ready-to-eat ‘Hayward’ and ‘Qihong’ kiwifruit stored at room temperature. Sci. Hortic. 2021, 289, 110437. [Google Scholar] [CrossRef]
- Burdon, J.; Pidakala, P.; Martin, P.; McAtee, P.A.; Boldingh, H.L.; Hall, A.; Schaffer, R.J. Postharvest performance of the yellow-fleshed ‘Hort16A’ kiwifruit in relation to fruit maturation. Postharvest Biol. Technol. 2014, 92, 98–106. [Google Scholar] [CrossRef]
- Ma, T.; Sun, X.; Zhao, J.; You, Y.; Lei, Y.; Gao, G.; Zhan, J. Nutrient compositions and antioxidant capacity of kiwifruit (Actinidia) and their relationship with flesh color and commercial value. Food Chem. 2017, 218, 294–304. [Google Scholar] [CrossRef] [PubMed]
- Gambi, F.; Pilkington, S.M.; McAtee, P.A.; Donati, I.; Schaffer, R.J.; Montefiori, M.; Spinelli, F.; Burdon, J. Fruit of three kiwifruit (Actinidia chinensis) cultivars differ in their degreening response to temperature after harvest. Postharvest Biol. Technol. 2018, 141, 16–23. [Google Scholar] [CrossRef]
- Costa, G.; Ferguson, R.; Huang, H.; Testolin, R. Main changes in the kiwifruit industry since its introduction: Present situation and future. Acta Hortic. 2018, 1218, 1–16. [Google Scholar] [CrossRef]
- Marsh, K.B.; Friel, E.N.; Gunson, A.; Lund, C.; MacRae, E. Perception of flavour in standardised fruit pulps with additions of acids or sugars. Food Qual. Prefer. 2006, 17, 376–386. [Google Scholar] [CrossRef]
- Wang, M.Y.; MacRae, E.; Wohlers, M.; Marsh, K. Changes in volatile production and sensory quality of kiwifruit during fruit maturation in Actinidia deliciosa ‘Hayward’ and A. chinensis ‘Hort16A’. Postharvest Biol. Technol. 2011, 59, 16–24. [Google Scholar] [CrossRef]
- Garcia, C.V.; Quek, S.Y.; Stevenson, R.J.; Winz, R.A. Kiwifruit flavour: A review. Trends Food Sci. Technol. 2012, 24, 82–91. [Google Scholar] [CrossRef]
- Beever, D.J.; Hopkirk, G. Fruit development and fruit physiology. In Kiwifruit Science and Management; Warrington, I.J., Weston, G.C., Eds.; Ray Richards Publisher: Auckland, New Zealand, 1990; pp. 97–126. [Google Scholar]
- Burdon, J.; Pidakala, P.; Martin, P.; Billing, D.; Boldingh, H. Fruit maturation and the soluble solids harvest index for ‘Hayward’ kiwifruit. Sci. Hortic. 2016, 213, 193–198. [Google Scholar] [CrossRef]
- Wang, H.; Wang, C.; Peng, Z.; Sun, H. Feasibility study on early identification of freshness decay of fresh-cut kiwifruit during cold chain storage by Fourier transform-near infrared spectroscopy combined with chemometrics. J. Food Sci. 2022, 87, 3138–3150. [Google Scholar] [CrossRef] [PubMed]
- Jaeger, S.R.; Rossiter, K.L.; Wismer, W.V.; Harker, F.R. Consumer-driven product development in the kiwifruit industry. Food Qual. Prefer. 2003, 14, 187–198. [Google Scholar] [CrossRef]
- Nicolaϊ, B.M.; Beullens, K.; Bobelyn, E.; Peirs, A.; Saeys, W.; Theron, K.I.; Lammertyn, J. Nondestructive measurement of fruit and vegetable quality by means of NIR spectroscopy: A review. Postharvest Biol. Technol. 2007, 46, 99–118. [Google Scholar] [CrossRef]
- Shah, S.S.A.; Zeb, A.; Qureshi, W.S.; Arslan, M.; Malik, A.U.; Alasmary, W.; Alanazi, E. Towards fruit maturity estimation using NIR spectroscopy. Infrared Phys. Technol. 2020, 111, 103479. [Google Scholar] [CrossRef]
- Afonso, A.M.; Antunes, M.D.; Cruz, S.; Cavaco, A.M.; Guerra, R. Non-destructive follow-up of ‘Jintao’ kiwifruit ripening through VIS-NIR spectroscopy–individual vs. average calibration model’s predictions. Postharvest Biol. Technol. 2022, 188, 111895. [Google Scholar] [CrossRef]
- Tian, S.; Tian, H.; Yang, Q.; Xu, H. Internal quality assessment of kiwifruit by bulk optical properties and online transmission spectra. Food Control 2022, 141, 109191. [Google Scholar] [CrossRef]
- Mehinagic, E.; Royer, G.; Bertrand, D.; Symoneaux, R.; Laurens, F.; Jourjon, F. Relationship between sensory analysis, penetrometry and visible–NIR spectroscopy of apples belonging to different cultivars. Food Qual. Prefer. 2003, 14, 473–484. [Google Scholar] [CrossRef]
- François, I.M.; Wins, H.; Buysens, S.; Godts, C.; Van Pee, E.; Nicolaï, B.; De Proft, M. Predicting sensory attributes of different chicory hybrids using physico-chemical measurements and visible/near infrared spectroscopy. Postharvest Biol. Technol. 2008, 49, 366–373. [Google Scholar] [CrossRef]
- Sinelli, N.; Cerretani, L.; Di Egidio, V.; Bendini, A.; Casiraghi, E. Application of near (NIR) infrared and mid (MIR) infrared spectroscopy as a rapid tool to classify extra virgin olive oil on the basis of fruity attribute intensity. Food Res. Int. 2010, 43, 369–375. [Google Scholar] [CrossRef]
- Downey, G.; Sheehan, E.; Delahunty, C.; O’Callaghan, D.; Guinee, T.; Howard, V. Prediction of maturity and sensory attributes of Cheddar cheese using near-infrared spectroscopy. Int. Dairy J. 2005, 15, 701–709. [Google Scholar] [CrossRef]
- González-Martín, M.I.; Severiano-Pérez, P.; Revilla, I.; Vivar-Quintana, A.M.; Hernández-Hierro, J.M.; González-Pérez, C.; Lobos-Ortega, I.A. Prediction of sensory attributes of cheese by near-infrared spectroscopy. Food Chem. 2011, 127, 256–263. [Google Scholar] [CrossRef]
- Ribeiro, J.S.; Ferreira, M.M.; Salva, T.J.G. Chemometric models for the quantitative descriptive sensory analysis of Arabica coffee beverages using near infrared spectroscopy. Talanta 2011, 83, 1352–1358. [Google Scholar] [CrossRef] [PubMed]
- Ferrer-Gallego, R.; Hernández-Hierro, J.M.; Rivas-Gonzalo, J.C.; Escribano-Bailón, M.T. Evaluation of sensory parameters of grapes using near infrared spectroscopy. J. Food Eng. 2013, 118, 333–339. [Google Scholar] [CrossRef]
- Liu, P.; Zhu, X.; Hu, X.; Xiong, A.; Wen, J.; Li, H.; Ai, S.; Wu, R. Local tangent space alignment and relevance vector machine as nonlinear methods for estimating sensory quality of tea using NIR spectroscopy. Vib. Spectrosc. 2019, 103, 102923. [Google Scholar] [CrossRef]
- Gago, C.; Guerreiro, A.; Cruz, S.; Martins, N.; Cabrita, M.J.; Miguel, M.G.; Faleiro, M.L.; Antunes, M.D. 1-Methylcyclopropene and lemongrass essential oil nanocoatings effect on the preservation of cold stored ‘Rocha’ pear. Postharvest Biol. Technol. 2022, 192, 1–10. [Google Scholar] [CrossRef]
- Antunes, M.D.; Franco, J.; Veloso, F.; Panagopoulos, T. The evolution of kiwifruit production in Portugal. Acta Hortic. 2018, 1218, 17–21. [Google Scholar] [CrossRef]
- Cavaco, A.M.; Pires, R.; Antunes, M.D.; Panagopoulos, T.; Brázio, A.; Afonso, A.M.; Silva, L.; Lucas, M.R.; Cadeiras, B.; Cruz, S.P.; et al. Validation of short wave near infrared calibration models for the quality and ripening of ‘Newhall’ orange on tree across years and orchards. Postharvest Biol. Technol. 2018, 141, 86–97. [Google Scholar] [CrossRef]
- Workman Jr, J.J. A review of calibration transfer practices and instrument differences in spectroscopy. Appl. Spectrosc. 2018, 72, 340–365. [Google Scholar] [CrossRef]
- Greensill, C.V.; Walsh, K.B. Calibration transfer between miniature photodiode array-based spectrometers in the near infrared assessment of mandarin soluble solids content. J. Near Infrared Spectrosc. 2002, 10, 27–35. [Google Scholar] [CrossRef]
- Tian, S.; Liu, W.; Xu, H. Improving the prediction performance of soluble solids content (SSC) in kiwifruit by means of near-infrared spectroscopy using slope/bias correction and calibration updating. Food Res. Int. 2023, 170, 112988. [Google Scholar] [CrossRef] [PubMed]
- AOAC. Official Methods of Analysis, 16th ed.; Association of Official Analytical Chemists: Arlington, VA, USA, 1994. [Google Scholar]
- Kruskal, J.B. Multidimensional scaling by optimizing goodness of fit to a nonmetric hypothesis. Psychometrika 1964, 29, 1–27. [Google Scholar] [CrossRef]
- Asiche, W.O.; Mitalo, O.W.; Kasahara, Y.; Tosa, Y.; Mworia, E.G.; Ushijima, K.; Nakano, R.; Kubo, Y. Effect of storage temperature on fruit ripening in three kiwifruit cultivars. Hortic. J. 2017, 86, 403–410. [Google Scholar] [CrossRef]
- Antunes, M.D.C.; Sfakiotakis, E.M. Ethylene biosynthesis and ripening behaviour of ’Hayward’ kiwifruit subjected to some controlled atmospheres. Postharvest Biol. Technol. 2002, 26, 167–179. [Google Scholar] [CrossRef]
- Rizzolo, A.; Vanoli, M.; Spinelli, L.; Torricelli, A. Sensory characteristics, quality and optical properties measured by time-resolved reflectance spectroscopy in stored apples. Postharvest Biol. Technol. 2010, 58, 1–12. [Google Scholar] [CrossRef]
- Hoehn, E.; Gasser, F.; Guggenbühl, B.; Künsch, U. Efficacy of instrumental measurements for determination of minimum requirements of firmness, soluble solids, and acidity of several apple varieties in comparison to consumer expectations. Postharvest Biol. Technol. 2003, 27, 27–37. [Google Scholar] [CrossRef]
- Saeys, W.; Do Trong, N.N.; Van Beers, R.; Nicolaï, B.M. Multivariate calibration of spectroscopic sensors for postharvest quality evaluation: A review. Postharvest Biol. Technol. 2019, 158, 110981. [Google Scholar] [CrossRef]
- Cen, H.; Lu, R.; Mendoza, F.; Beaudry, R.M. Relationship of the optical absorption and scattering properties with mechanical and structural properties of apple tissue. Postharvest Biol. Technol. 2013, 85, 30–38. [Google Scholar] [CrossRef]
- Bobelyn, E.; Serban, A.S.; Nicu, M.; Lammertyn, J.; Nicolai, B.M.; Saeys, W. Postharvest quality of apple predicted by NIR-spectroscopy: Study of the effect of biological variability on spectra and model performance. Postharvest Biol. Technol. 2010, 55, 133–143. [Google Scholar] [CrossRef]
- Schotsmans, W.; Verlinden, B.E.; Lammertyn, J.; Nicolaï, B.M. The relationship between gas transport properties and the histology of apple. J. Sci. Food Agric. 2004, 84, 1131–1140. [Google Scholar] [CrossRef]












| Storage Days | Month and Year | Parameter | Median | Minimum | Maximum | Range | Inter Quartile Range |
|---|---|---|---|---|---|---|---|
| 74 | January 2019 | Fruit Appearance | 6 | 4 | 7 | 3 | 1 |
| Pulp Appearance | 6 | 3 | 7 | 4 | 1.25 | ||
| Aroma | 5.5 | 3 | 7 | 4 | 1.25 | ||
| Texture | 6 | 5 | 7 | 2 | 1.25 | ||
| Sweetness | 6 | 2 | 7 | 5 | 1 | ||
| Acidity | 6 | 2 | 7 | 5 | 3 | ||
| Global Taste | 6 | 5 | 7 | 2 | 1.25 | ||
| 132 | March 2019 | Fruit Appearance | 6 | 5 | 6 | 1 | 0 |
| Pulp Appearance | 6 | 4 | 7 | 3 | 0 | ||
| Aroma | 6 | 3 | 6 | 3 | 1 | ||
| Texture | 5 | 2 | 7 | 5 | 2 | ||
| Sweetness | 6 | 4 | 7 | 3 | 1 | ||
| Acidity | 6 | 4 | 7 | 3 | 3 | ||
| Global Taste | 6 | 2 | 7 | 5 | 1 | ||
| 75 | January 2020 | Fruit Appearance | 6 | 4 | 7 | 3 | 1 |
| Pulp Appearance | 6 | 4 | 7 | 3 | 2 | ||
| Aroma | 6 | 4 | 7 | 3 | 1 | ||
| Texture | 6 | 3 | 7 | 4 | 2 | ||
| Sweetness | 6 | 3 | 7 | 4 | 2 | ||
| Acidity | 6 | 2 | 7 | 5 | 3 | ||
| Global Taste | 6 | 3 | 7 | 4 | 2 | ||
| 131 | March 2020 | Fruit Appearance | 6 | 2 | 7 | 5 | 0.75 |
| Pulp Appearance | 6 | 3 | 7 | 4 | 0.75 | ||
| Aroma | 6 | 3 | 7 | 4 | 1 | ||
| Texture | 6 | 2 | 7 | 5 | 0.75 | ||
| Sweetness | 6 | 2 | 7 | 5 | 2 | ||
| Acidity | 6 | 3 | 7 | 4 | 1.75 | ||
| Global Taste | 6 | 2 | 7 | 5 | 1.75 | ||
| 70 | January 2021 | Fruit Appearance | 7 | 3 | 7 | 4 | 1 |
| Pulp Appearance | 6 | 3 | 7 | 4 | 2 | ||
| Aroma | 6 | 4 | 7 | 3 | 2 | ||
| Texture | 6 | 2 | 7 | 5 | 1 | ||
| Sweetness | 6 | 5 | 7 | 2 | 1 | ||
| Acidity | 6 | 4 | 7 | 3 | 1 | ||
| Global Taste | 7 | 4 | 7 | 3 | 1 | ||
| 127 | March 2021 | Fruit Appearance | 6 | 3 | 7 | 4 | 1 |
| Pulp Appearance | 6 | 3 | 7 | 4 | 1 | ||
| Aroma | 6 | 3 | 7 | 4 | 2 | ||
| Texture | 6 | 5 | 7 | 2 | 1 | ||
| Sweetness | 6 | 4 | 7 | 3 | 2 | ||
| Acidity | 6 | 4 | 7 | 3 | 2 | ||
| General Taste | 6 | 4 | 7 | 3 | 1 |
| Storage Days | Month and Year | STRESS-I Value | RSQ Value |
|---|---|---|---|
| 74 | January 2019 | 0.025 | 0.985 |
| 132 | March 2019 | 0.060 | 0.994 |
| 75 | January 2020 | 0.076 | 0.894 |
| 131 | March 2020 | 0.135 | 0.961 |
| 70 | January 2021 | 0.032 | 0.979 |
| 127 | March 2021 | 0.047 | 0.997 |
| Storage Days | Month and Year | Parameter | Median | Minimum | Maximum | Range | Inter Quartile Range |
|---|---|---|---|---|---|---|---|
| 74 | February 2019 | Appearance | 7 | 6 | 7 | 1 | 0.5 |
| Pulp | 6 | 6 | 7 | 1 | 1 | ||
| Aroma | 6 | 4 | 7 | 3 | 2 | ||
| Texture | 6 | 2 | 7 | 5 | 0 | ||
| Sweetness | 5 | 2 | 7 | 5 | 1 | ||
| Acidity | 6 | 3 | 7 | 4 | 2 | ||
| Taste | 6 | 3 | 7 | 4 | 1.5 | ||
| 131 | April 2019 | Appearance | 7 | 5 | 7 | 2 | 1 |
| Pulp | 6 | 5 | 7 | 2 | 1 | ||
| Aroma | 5.5 | 3 | 7 | 4 | 1 | ||
| Texture | 6 | 5 | 7 | 2 | 1 | ||
| Sweetness | 5 | 2 | 7 | 5 | 1.75 | ||
| Acidity | 5.5 | 2 | 7 | 5 | 2.5 | ||
| Taste | 6 | 2 | 7 | 5 | 1 | ||
| 172 | May 2019 | Appearance | 6.5 | 5 | 7 | 2 | 1 |
| Pulp | 6 | 6 | 7 | 1 | 1 | ||
| Aroma | 6 | 4 | 7 | 3 | 1 | ||
| Texture | 6 | 4 | 7 | 3 | 1 | ||
| Sweetness | 6 | 2 | 7 | 5 | 1.75 | ||
| Acidity | 5.5 | 2 | 7 | 5 | 2.75 | ||
| Taste | 6 | 3 | 7 | 4 | 1 | ||
| 61 | January 2020 | Appearance | 6 | 5 | 7 | 2 | 1 |
| Pulp | 7 | 4 | 7 | 3 | 1 | ||
| Aroma | 6 | 3 | 7 | 4 | 1 | ||
| Texture | 6 | 2 | 7 | 5 | 1 | ||
| Sweetness | 5 | 2 | 7 | 5 | 3 | ||
| Acidity | 5 | 2 | 7 | 5 | 3 | ||
| Taste | 6 | 2 | 7 | 5 | 2 | ||
| 53 | January 2021 | Appearance | 6.5 | 5 | 7 | 2 | 1 |
| Pulp | 7 | 5 | 7 | 2 | 1 | ||
| Aroma | 6 | 4 | 7 | 3 | 1.25 | ||
| Texture | 6 | 4 | 7 | 3 | 0.5 | ||
| Sweetness | 5 | 1 | 7 | 6 | 2 | ||
| Acidity | 5 | 1 | 7 | 6 | 1.25 | ||
| Taste | 6 | 1 | 7 | 6 | 1 | ||
| 123 | March 2021 | Appearance | 6 | 5 | 7 | 2 | 1 |
| Pulp | 6 | 5 | 7 | 2 | 1 | ||
| Aroma | 6 | 4 | 7 | 3 | 1 | ||
| Texture | 7 | 3 | 7 | 4 | 1 | ||
| Sweetness | 6 | 1 | 7 | 6 | 1 | ||
| Acidity | 6 | 1 | 7 | 6 | 2 | ||
| Taste | 6 | 3 | 7 | 4 | 1 | ||
| 152 | April 2021 | Appearance | 6 | 4 | 7 | 3 | 1 |
| Pulp | 6 | 4 | 7 | 3 | 1 | ||
| Aroma | 6 | 4 | 7 | 3 | 2 | ||
| Texture | 7 | 5 | 7 | 2 | 1 | ||
| Sweetness | 6 | 5 | 7 | 2 | 1 | ||
| Acidity | 6 | 3 | 7 | 4 | 2 | ||
| Taste | 6 | 5 | 7 | 2 | 1 |
| Parameter | Group Date | N | Mean Rank | Sum of Ranks | Probability |
|---|---|---|---|---|---|
| Sweetness | April 2019 | 17 | 13.82 | 235 | <0.001 |
| April 2021 | 24 | 26.08 | 626 | ||
| Total | 41 | ||||
| Taste | April 2019 | 17 | 14.88 | 253 | 0.003 |
| April 2021 | 24 | 25.33 | 608 | ||
| Total | 41 |
Disclaimer/Publisher’s Note: The statements, opinions and data contained in all publications are solely those of the individual author(s) and contributor(s) and not of MDPI and/or the editor(s). MDPI and/or the editor(s) disclaim responsibility for any injury to people or property resulting from any ideas, methods, instructions or products referred to in the content. |
© 2023 by the authors. Licensee MDPI, Basel, Switzerland. This article is an open access article distributed under the terms and conditions of the Creative Commons Attribution (CC BY) license (https://creativecommons.org/licenses/by/4.0/).
Share and Cite
Afonso, A.M.; Guerra, R.; Cruz, S.; Antunes, M.D. Sensory Evaluation and Spectra Evolution of Two Kiwifruit Cultivars during Cold Storage. Horticulturae 2023, 9, 772. https://doi.org/10.3390/horticulturae9070772
Afonso AM, Guerra R, Cruz S, Antunes MD. Sensory Evaluation and Spectra Evolution of Two Kiwifruit Cultivars during Cold Storage. Horticulturae. 2023; 9(7):772. https://doi.org/10.3390/horticulturae9070772
Chicago/Turabian StyleAfonso, Andreia M., Rui Guerra, Sandra Cruz, and Maria D. Antunes. 2023. "Sensory Evaluation and Spectra Evolution of Two Kiwifruit Cultivars during Cold Storage" Horticulturae 9, no. 7: 772. https://doi.org/10.3390/horticulturae9070772
APA StyleAfonso, A. M., Guerra, R., Cruz, S., & Antunes, M. D. (2023). Sensory Evaluation and Spectra Evolution of Two Kiwifruit Cultivars during Cold Storage. Horticulturae, 9(7), 772. https://doi.org/10.3390/horticulturae9070772

