Effects of Three Exogenous Substances on Heat Tolerance of Peony Seedlings
Abstract
1. Introduction
2. Materials and Methods
2.1. Study Sites
2.2. Materials
2.3. Experimental Methods
2.3.1. Pretreatment in an Artificial Climate Box
2.3.2. Spraying Three Kinds of Exogenous Substances under High Temperature to Determine Physiological Indices
- EC1: Immersion conductivity value;
- EC2: Boiled conductivity value.
- C: Proline concentration in the extract (μg/mL obtained with standard curve);
- V: Total volume of extract (mL);
- A: The volume of supernatant liquid taken during the determination (mL);
- W: Sample weight (g).
- C: Sugar content obtained with standard equation (μg);
- A: The sample liquid volume taken during the determination (mL);
- V: Total extract amount (mL);
- N: Dilution multiple;
- W: Sample weight (g).
- C: The protein content (μg);
- VT: Total volume of extract (mL);
- VS: Sample dosage in determination (mL);
- W: Sample weight (g).
- ACK: Absorbance of light contrast tube;
- AE: Sample tube absorbance;
- Vt: Total volume of extract (mL);
- VS: The amount of sample added during determination (mL);
- W: Fresh weight of sample (g).
2.3.3. Data Analysis and Processing
- (1)
- The calculation of weight
- (2)
- Calculation of membership function value
- (3)
- Calculation of comprehensive index
3. Results
3.1. Effects of Exogenous Substances of Different Concentrations on Heat Tolerance of Peony Seedlings
3.2. Comparison of Heat Injury Index of Peony Seedlings under High Temperature Stress
3.3. Comparison of Malondialdehyde (MDA) Content in Leaves of Peony Seedlings under High Temperature Stress
3.4. Effect of Optimum Concentration of Exogenous Substances on Relative Electrical Conductivity of Peony Seedling Leaves under High Temperature Stress
3.5. Effect of Optimum Concentration of Exogenous Substances on Total Chlorophyll Content (Chl) of Peony Seedling Leaves under High Temperature Stress
3.6. Effect of Optimum Concentration of Exogenous Substances on Free Proline (Pro) Content of Peony Seedlings under High Temperature Stress
3.7. Effect of Optimum Concentration of Exogenous Substances on Soluble Sugar Content of Peony Seedling Leaves under High Temperature Stress
3.8. Effect of Optimum Concentration of Exogenous Substances on Superoxide Dismutase (SOD) Activity of Leaves of Peony Seedlings under High Temperature Stress
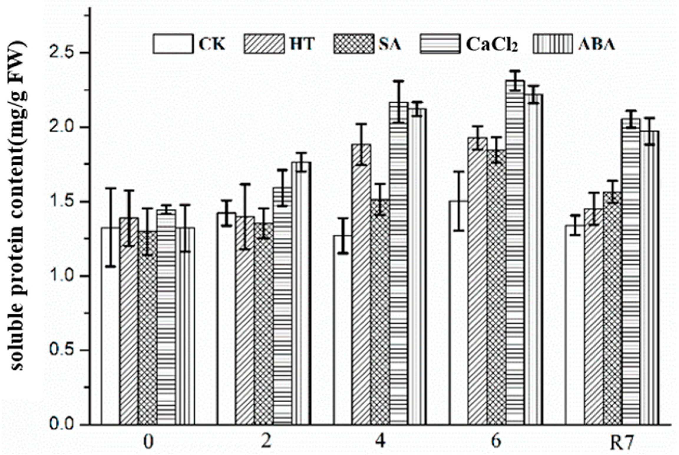
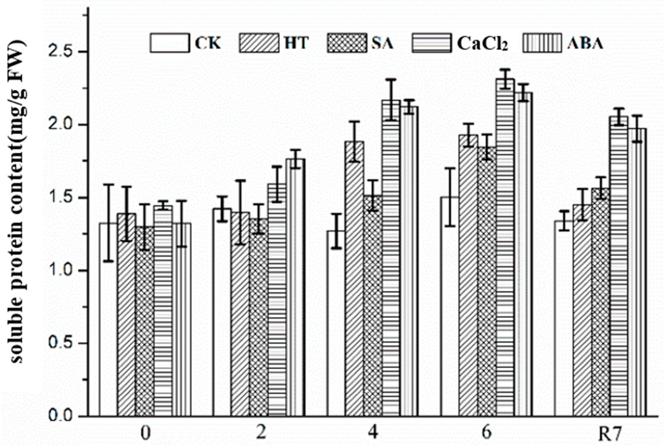
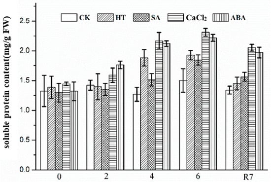
3.9. Effect of Optimum Concentration of Exogenous Substances on Soluble Proteins (SPs) in Leaves of Peony Seedlings under High Temperature Stress
3.10. Comprehensive Evaluation of Heat Tolerance of Peony Seedlings under Optimum Concentration of Exogenous Substances
4. Discussion
4.1. Effects of Different Concentrations of Exogenous Substances on Heat Resistance of Peony Seedlings
4.2. Induction of Heat Resistance of Peony under High Temperature Stress by Spraying Three Exogenous Substances
5. Conclusions
- After spraying different concentrations of SA, CaCl2, ABA and under stress at 40 °C for 2 days, the heat injury index (HII) and relative electrical conductivity (Rec) decreased first and then increased with the increase in SA, CaCl2 and ABA concentrations. The induction effect of 100 μmol/L SA, 40 mmol/L CaCl2 and 40 mg/L ABA on the heat resistance of peony was the best.
- The HII of peony increased continuously with the prolongation of high temperature stress time, and the optimum concentration of SA, CaCl2 and ABA was beneficial to reducing the HII of peony during high temperature stress.
- The optimum concentration of SA could significantly increase the stem and leaf dry weight and root dry weight of peony. The chlorophyll content (Chl) decreased continuously with the extension of high temperature stress time. Spraying the optimum concentration of SA, CaCl2 and ABA at the latter stage of stress (≥4 d) could slow down the decline rate of Chl content, reduce Rec and MDA content, increase SOD activity and increase SPs, Pro and SSs content of peony. The Rec and malondialdehyde (MDA) content increased continuously with the prolongation of high temperature stress time; the activity of superoxide dismutase (SOD) decreased first, then increased and then decreased; and the contents of soluble proteins (SPs), free proline (Pro) and soluble sugars (SSs) increased continuously.
- SA mainly improved the heat resistance of peony seedlings by alleviating the degradation of Chl under high temperature stress, reducing Rec, reducing MDA content, increasing SOD activity and SPs content. CaCl2 mainly improved the heat resistance of peony seedlings by alleviating the degradation of Chl under high temperature stress, reducing Rec, increasing SOD activity and SPs content. ABA mainly improved the heat resistance of peony seedlings by alleviating the degradation of Chl under high temperature stress, reducing Rec and increasing SPs content.
- The significant indices affecting the heat resistance of peony seedlings induced by exogenous substances are HII, Chl content, Rec and SPs content, which can be used as indicators for evaluating the heat resistance of peony seedlings induced by exogenous substances. The effect of three exogenous substances on the heat resistance of peony seedlings was SA > CaCl2 > ABA.
Author Contributions
Funding
Data Availability Statement
Acknowledgments
Conflicts of Interest
References
- Zhang, Y.; Yu, D.; Liu, C.H.; Gai, S.H.; Yuxi, Z.; Dan, Y.; Chunying, L. Dynamic of carbohydrate metabolism and the related genes highlights PPP pathway activation during chilling induced bud dormancy release in tree peony (Paeonia suffruticosa). Sci. Hortic. 2018, 242, 36–43. [Google Scholar]
- Hong, D.Y.; Pan, K.Y. Taxonomical history and revision of paeonia sect. moutan(paeoniaceae). Acta Phytotaxon. Sin. 1999, 37, 351–368. [Google Scholar]
- Li, J.J. Studies on the Origin of Chinese Mudan (Tree Peony). J. Beijing For. Univ. 1998, 20, 22–26. [Google Scholar]
- Sarwar, M.; Saleem, M.; Najeeb, U.; Shakeel, A.; Ali, S.; Bilal, M. Hydrogen peroxide reduces heat-induced yield losses in cotton (Gossypium hirsutum L.) by protecting cellular membrane damage. J. Agron. Crop Sci. 2017, 203, 249–441. [Google Scholar] [CrossRef]
- Zhang, M.; Jin, X.; Lu, J.; Ye, Y. Evaluation on comprehensive characteristics of introduced Paeonia suffruticosa varieties in Changsha. Res. Econ. For. 2015, 33, 81–85. [Google Scholar]
- Dong, L.; Wang, D.; Wang, L.; Liu, D. Physiological response of exogenous salicylic acid to alleviate high temperature stress of Cauliflower. J. Yangzhou Univ. (Agric. Life Sci. Ed.) 2022, 43, 129–136. [Google Scholar]
- Sun, J.; Zhao, B.; Yu, S. Induction of exogenous salicylic acid (SA) on Heat Resistance of grape seedlings under high temperature stress. J. Soil Water Conserv. 2014, 28, 290–294+299. [Google Scholar]
- Chen, G.; Jia, K. Effects of calcium and calmodulin antagonists on antioxidant system of Eggplant seedlings under high temperature stress. Chin. J. Agric. Sci. 2005, 1, 197–202. [Google Scholar]
- Xi, F.S.H.; Mao, P.S.H.; Yan, H.F.; Wang, M.Y. Effects of salicylic acid on stress resistance of plant seeds and seedlings. Lawn Sci. 2014, 31, 1367–1373. [Google Scholar]
- Dat, J.F.; Lopezdelgado, H.; Foyer, C.H.; Scott, C.E. Parallel changes in H2O2 and catalase during thermotolerance induced by salicylic acid or heat acclimation in mustard seedlings. Plant Physiol. 1998, 116, 1351–1357. [Google Scholar] [CrossRef]
- Klein, J.D.; Ferguson, I.B. Effect of high temperature on calcium uptake by suspension-cultured pear fruit cells. Plant Physiol. 1987, 84, 153–156. [Google Scholar] [CrossRef]
- Chen, Y.L.; Song, X.Z.; Yang, G.Z. Effect of Heat-shock and ABA Application on Cotton Seedlings. Hubei Agric. Sci. 2012, 3, 459–461. [Google Scholar]
- Li, K.N.; Wang, K.C.; Li, L.; Li, Y.Q.; Duan, Y.J. Effects of Ca2+ and SA on physiological and photosynthesis of Platycodon grandiflorum underhigh temperature stress. China J. Chin. Mater. Med. 2015, 40, 1908–1913. [Google Scholar]
- Yang, H.G.; Yan, S.L.; Chen, H.J.; Yang, F.S.; Liu, Z.F. Effects of exogenous methyl jasmonate, calcium and salicylic acid on heat tolerance of Phalaenopsis seedlings under high temperature stress. China Agric. Bull. 2011, 27, 150–157. [Google Scholar]
- Zhang, Y.; Cheng, Y.; Ya, H.; Han, J.; Zheng, L. Identification of heat shock proteins via transcriptome profiling of tree peony leaf exposed to high temperature. Genet. Mol. Res. 2015, 14, 8431–8442. [Google Scholar] [CrossRef] [PubMed]
- Khan, M.; Fatma, M.; Per, T.; Anjum, N.; Khan, N. Salicylic acid-induced abiotic stress tolerance and underlying mechanisms in plants. Front. Plant Sci. 2015, 6, 462. [Google Scholar] [CrossRef]
- Yang, J.; Kang, J.; Gu, J. Effects of calcium chloride on physiological and biochemical characteristics of lettuce seedlings under high temperature stress. J. Beijing For. Univ. 2016, 31, 31–34. [Google Scholar]
- Liao, C.H.; Yu, W. Analysis of climate characteristics and causes of cold and warm winter in Changsha. Chin. J. Agrometeorol. 2009, 30, 297–301. [Google Scholar]
- Zhang, J.P. Heat Resistance Evaluation and Dormancy Mechanism of the Underground Renewal Bud of Paeonia Lactiflora Cultivated in Hangzhou City. Master’s Thesis, Zhejiang University, Hangzhou, China, 2015. [Google Scholar]
- Mou, J.H.; Zhang, G.Q.; Liu, F.J.; Xu, J.; She, X.D.; Li, J.; Xu, Y. Screening of determination methods for chlorophyll content in Chinese cabbage. Jiangsu Agric. Sci. 2014, 42, 289–290. [Google Scholar]
- Chen, J.X.; Wang, X.F. Experimental Guidance of Plant Physiology, 2nd ed.; Zhan, Z., Ed.; South China University of Technology Press: Guangzhou, China, 2006; Volume 1, pp. 24–88. [Google Scholar]
- Wang, Q.; Yu, X.N. Physiological response to low temperature stress and evaluation of cold resistance of three color-eafed trees. J. Beijing For. Univ. Chin. Ed. 2013, 5, 104–109. [Google Scholar]
- Zhao, D.; Han, C.; Tao, J. Identification of heat resistance of different peony varieties. J. Yangzhou Univ. (Agric. Life Sci. Ed.) 2015, 36, 105–109. [Google Scholar]
- Shen, H.; Zhao, B.; Xu, J.; Huang, W.; Li, H. Effects of exogenous salicylic acid on heat resistance of rhododendron ocalea. J. Nor. For. Univ. 2016, 44, 40–45+50. [Google Scholar]
- Xu, Y.; Lu, C.M.; Cheng, M.L.; Li, Y.L. Comparative study on heat resistance of several peony varieties. J. Hunan Agric. Univ., Sci. Technol. 2007, 4, 180–183. [Google Scholar]
- Wang, L.; Li, S. Thermotolerance and related antioxidant enzyme activities induced by heat acclimation and salicylic acid in grape (Vitis vinifera L.) leaves. Plant Growth Regul. 2006, 48, 137–144. [Google Scholar] [CrossRef]
- Lan, M.F. Effects of Salicylic Acid and Ca2+ Treatment on Heat Resistance of Ornamental Pepper. Master’s Thesis, Fujian Agriculture and Forestry University, Fujian, China, 2013. [Google Scholar]
- Zhang, J.; Liu, M.Y.; Xiao, Y. Study on enhancement of heat tolerance of cucumber seedlings by Ca2+. China Veg. 2002, 5, 12–14. [Google Scholar]
- Zai, X.M.; Wu, G.R.; Lu, C.M.; Gu, G.P.; Rui, H.Y. Effect of Ca2+ on the heat tolerance and active oxygen metabolism of peanut seedlings. Chin. J. Oil Crop Sci. 2001, 1, 47–51. [Google Scholar]
- Lei, Y.W.; Bai, X.M.; Wang, T.; Lu, Y.W.; Lei, S.H. Alleviation effect of ABA on the wild kentucky bluegrasses under heat stress. Acta Agrestia Sin. 2015, 23, 89–94+100. [Google Scholar]
- Guo, X.R. Effects of ABA on High Temperature Tolerance of Catharanthus Roseus and Its Proteomics Research. Master’s Thesis, Northeast Forestry University, Harbin, China, 2004. [Google Scholar]
- Tang, R.S.; Tong, H.Y.; Huang, Y.H.; Ye, X.Q. Physiological significance of ABA and 4PU-30 in alleviating high temperature stress injury in Kentucky bluegrass. Jiangsu J. 2011, 27, 210–215. [Google Scholar]







| SA Concentration (μmol/L) | Relative Electrical Conductivity (%) | Heat Injury Index (%) |
|---|---|---|
| 0 | 84.87 ± 2.14 b | 46.67 ± 2.22 b |
| 0.1 | 77.69 ± 1.96 c | 37.78 ± 4.44 c |
| 10 | 69.12 ± 1.36 d | 17.78 ± 3.85 d |
| 100 | 63.06 ± 2.44 e | 5.19 ± 3.40 e |
| 1000 | 67.71 ± 3.60 d | 17.04 ± 3.40 d |
| 10,000 | 96.26 ± 1.64 a | 77.04 ± 1.28 a |
| CaCl2 Concentration (mmol/L) | Relative Electrical Conductivity (%) | Heat Injury Index (%) |
|---|---|---|
| 0 | 84.87 ± 2.14 b | 44.44 ± 2.23 b |
| 0.1 | 78.72 ± 6.97 ab | 43.70 ± 1.28 b |
| 5 | 73.27 ± 1.03 bc | 40.00 ± 2.22 c |
| 10 | 69.72 ± 1.92 cd | 35.56 ± 2.23 d |
| 40 | 63.13 ± 3.94 d | 20.74 ± 1.28 f |
| 60 | 83.46 ± 2.66 a | 69.63 ± 1.28 a |
| 80 | 84.73 ± 4.89 a | 66.59 ± 1.86 a |
| ABA Concentration (mg/L) | Relative Electrical Conductivity (%) | Heat Injury Index (%) |
|---|---|---|
| 0 | 84.87 ± 2.14 a | 44.44 ± 2.23 c |
| 0.1 | 85.11 ± 2.53 a | 34.82 ± 1.29 d |
| 1 | 64.17 ± 3.64 b | 25.93 ± 3.40 e |
| 10 | 52.73 ± 3.26 c | 26.67 ± 2.23 e |
| 20 | 45.27 ± 1.92 d | 12.59 ± 2.57 f |
| 40 | 40.94 ± 4.13 d | 8.15 ± 1.28 g |
| 60 | 64.10 ± 5.07 b | 58.52 ± 1.28 b |
| 80 | 79.87 ± 3.29 a | 74.81 ± 3.39 a |
| Process | Heat Injury Index (%)/d | ||||
|---|---|---|---|---|---|
| 0 | 2 | 4 | 6 | R7 | |
| CK | 0 | 0 | 0 | 0 | 0 |
| HT | 0 | 5.37% | 38.24% | 50.43% | 53.75% |
| HT + SA | 0 | 0.49% | 10.00% | 30.67% | 29.00% |
| HT + CaCl2 | 0 | 5.65% | 13.85% | 18.00% | 20.00% |
| HT + ABA | 0 | 6.67% | 26.29% | 40.69% | 43.00% |
| Index | HII | Chl | Rec | MDA | SOD | SPs | Pro | SSs |
|---|---|---|---|---|---|---|---|---|
| HII | 1 | |||||||
| Chl | −0.744 ** | 1 | ||||||
| Rec | 0.815 ** | −0.665 ** | 1 | |||||
| MDA | −0.018 | 0.350 ** | 0.216* | 1 | ||||
| SOD | −0.228 * | 0.049 | −0.297 ** | −0.389 ** | 1 | |||
| SPs | 0.190 * | −0.597 ** | 0.128 | −0.569 ** | 0.268 ** | 1 | ||
| Pro | 0.278 ** | −0.068 | 0.443 ** | 0.270 ** | −0.322 ** | 0.088 | 1 | |
| SS | 0.322 ** | −0.101 | 0.413 ** | 0.189 * | −0.128 | 0.040 | 0.838 ** | 1 |
| Index | Ingredient 1 | Ingredient 2 | Ingredient 3 | F × Y | Weight |
|---|---|---|---|---|---|
| HII | 0.911 | 0.028 | 0.163 | 0.386 | 0.142 |
| Chl | −0.886 | 0.387 | 0.024 | 0.456 | 0.168 |
| Rec | 0.862 | 0.181 | 0.314 | 0.434 | 0.159 |
| MDA | −0.057 | 0.839 | 0.210 | 0.291 | 0.107 |
| SOD | −0.332 | −0.662 | −0.106 | 0.332 | 0.122 |
| SPs | 0.318 | −0.813 | 0.110 | 0.369 | 0.136 |
| Pro | 0.164 | 0.134 | 0.937 | 0.245 | 0.090 |
| SSs | 0.141 | 0.035 | 0.942 | 0.209 | 0.077 |
| Characteristic root | 3.103 | 2.256 | 1.224 | ||
| Contribution rate (%) | 38.791 | 28.204 | 15.300 | ||
| Cumulative contribution rate (%) | 38.791 | 66.995 | 82.295 |
| Processing | HII | Chl | Rec | MDA | SOD | SPs | Pro | SSs | Composite Index | Sort |
|---|---|---|---|---|---|---|---|---|---|---|
| HT + SA | 0.085 | 0.087 | 0.092 | 0.064 | 0.083 | 0.081 | 0.068 | 0.058 | 0.620 | 1 |
| HT + CaCl2 | 0.088 | 0.080 | 0.097 | 0.068 | 0.071 | 0.081 | 0.064 | 0.056 | 0.606 | 2 |
| HT + ABA | 0.072 | 0.075 | 0.086 | 0.061 | 0.056 | 0.077 | 0.067 | 0.054 | 0.548 | 3 |
| HT | 0.043 | 0.067 | 0.068 | 0.050 | 0.065 | 0.080 | 0.065 | 0.058 | 0.495 | 4 |
Disclaimer/Publisher’s Note: The statements, opinions and data contained in all publications are solely those of the individual author(s) and contributor(s) and not of MDPI and/or the editor(s). MDPI and/or the editor(s) disclaim responsibility for any injury to people or property resulting from any ideas, methods, instructions or products referred to in the content. |
© 2023 by the authors. Licensee MDPI, Basel, Switzerland. This article is an open access article distributed under the terms and conditions of the Creative Commons Attribution (CC BY) license (https://creativecommons.org/licenses/by/4.0/).
Share and Cite
Guo, J.; Huang, Y.; Yang, X.; Bu, W.; Tian, J.; Zhang, M.; Huang, K.; Luo, X.; Ye, Y.; Xing, W.; et al. Effects of Three Exogenous Substances on Heat Tolerance of Peony Seedlings. Horticulturae 2023, 9, 765. https://doi.org/10.3390/horticulturae9070765
Guo J, Huang Y, Yang X, Bu W, Tian J, Zhang M, Huang K, Luo X, Ye Y, Xing W, et al. Effects of Three Exogenous Substances on Heat Tolerance of Peony Seedlings. Horticulturae. 2023; 9(7):765. https://doi.org/10.3390/horticulturae9070765
Chicago/Turabian StyleGuo, Jiaxin, Yu Huang, Xingyu Yang, Wenxuan Bu, Jianing Tian, Minhuan Zhang, Kaili Huang, Xiaoning Luo, Ye Ye, Wen Xing, and et al. 2023. "Effects of Three Exogenous Substances on Heat Tolerance of Peony Seedlings" Horticulturae 9, no. 7: 765. https://doi.org/10.3390/horticulturae9070765
APA StyleGuo, J., Huang, Y., Yang, X., Bu, W., Tian, J., Zhang, M., Huang, K., Luo, X., Ye, Y., Xing, W., & Huang, Y. (2023). Effects of Three Exogenous Substances on Heat Tolerance of Peony Seedlings. Horticulturae, 9(7), 765. https://doi.org/10.3390/horticulturae9070765
