Mediterranean Extensive Green Roof Self-Sustainability Mediated by Substrate Composition and Plant Strategy
Abstract
:1. Introduction
2. Materials and Methods
2.1. Experimental Design
2.2. Substrate Parameters
2.3. Plant Community Composition and Structure
2.4. Statistical Analysis
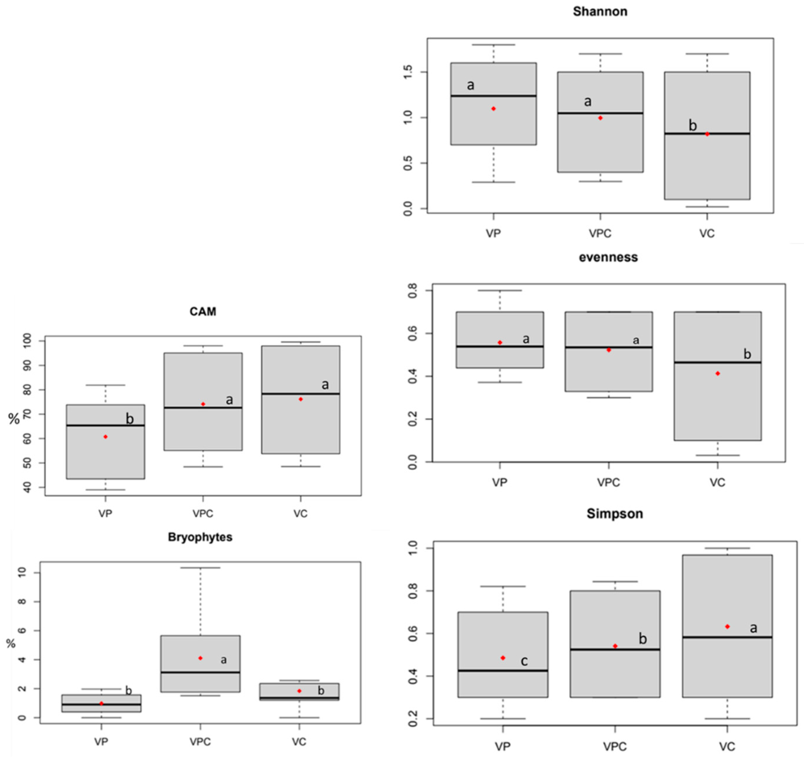
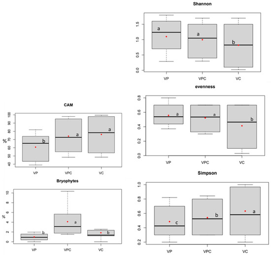
3. Results
3.1. Substrate Parameters
3.2. Plant Community Composition and Structure
4. Discussion
5. Conclusions
Author Contributions
Funding
Data Availability Statement
Conflicts of Interest
References
- Dumitru, A.; Wendling, L. Evaluating the Impact of Nature-Based Solutions: A Handbook for Practitioners; European Commission: Brussels, Belgium, 2021. Available online: https://data.europa.eu/doi/10.2777/244577 (accessed on 1 June 2023).
- Pearlmutter, D.; Pucher, B.; Calheiros, C.S.C.; Hoffmann, K.A.; Aicher, A.; Pinho, P.; Stracqualursi, A.; Korolova, A.; Pobric, A.; Galvão, A.; et al. Closing Water Cycles in the Built Environment through Nature-Based Solutions: The Contribution of Vertical Greening Systems and Green Roofs. Water 2021, 13, 2165. [Google Scholar] [CrossRef]
- Vannucchi, F.; Pini, R.; Scatena, M.; Benelli, G.; Canale, A.; Bretzel, F. Deinking sludge in the substrate reduces the fertility and enhances the plant species richness of extensive green roofs. Ecol. Eng. 2018, 116, 87–96. [Google Scholar] [CrossRef]
- Suszanowicz, D.; Kolasa Więcek, A. The Impact of Green Roofs on the Parameters of the Environment in Urban Areas. Atmosphere 2019, 10, 792. [Google Scholar] [CrossRef]
- Lundholm, J.T.; Walker, E.A. Evaluating the habitat template approach applied to green roofs. Urban Nat. 2018, 1, 39–51. [Google Scholar]
- Lata, J.C.; Dusza, Y.; Abbadie, L.; Barot, S.; Carmignac, D.; Gendreau, E.; Kraepiela, Y.; Mérigueta, J.; Motard, E.; Raynaud, X. Role of substrate properties in the provision of multifunctional green roof ecosystem services. Appl. Soil Ecol. 2018, 123, 464–468. [Google Scholar] [CrossRef]
- Raviv, M. Composts in growing media: What’s new and what’s next? In Proceedings of the International Symposium on Responsible Peatland Management and Growing Media Production, Quebec, QC, Canada, 13–17 June 2011; Volume 982, pp. 39–52. [Google Scholar]
- Bragg, N.; Alexander, P. A review of the challenges facing horticultural researchers as they move toward sustainable growing media. In Proceedings of the International Symposium on Growing Media, Soilless Cultivation, and Compost Utilization in Horticulture, Portland, OR, USA, 20–25 August 2017; Volume 1266, pp. 7–14. [Google Scholar]
- Marouani, E.; Kolsi Benzina, N.; Ziadi, N.; Bouslimi, B.; Abida, K.; Tlijani, H.; Koubaa, A. CO2 Emission and change in the fertility parameters of a calcareous soil following annual applications of deinking paper sludge (The Case of Tunisia). Agronomy 2020, 10, 956. [Google Scholar] [CrossRef]
- Vannucchi, F.; Buoncristiano, A.; Scatena, M.; Caudai, C.; Bretzel, F. Low productivity substrate leads to functional diversification of green roof plant assemblage. Ecol. Eng 2022, 176, 106547. [Google Scholar] [CrossRef]
- Barozzi, B.; Bellazzi, A.; Pollastro, M.C. The energy impact in buildings of vegetative solutions for extensive green roofs in temperate climates. Buildings 2016, 6, 33. [Google Scholar] [CrossRef]
- Zheng, X.; Yang, Z.; Yang, J.; Tang, M.; Feng, C. An experimental study on the thermal and energy performance of self-sustaining green roofs under severe drought conditions in summer. Energy Build. 2022, 261, 111953. [Google Scholar] [CrossRef]
- Sookhan, N.; Margolis, L.; MacIvor, J.S. Inter-annual thermoregulation of extensive green roofs in warm and cool seasons: Plant selection matters. Ecol. Eng. 2018, 123, 10–18. [Google Scholar] [CrossRef]
- Monteiro, M.V.; Blanuša, T.; Verhoef, A.; Richardson, M.; Hadley, P.; Cameron, R.W.F. Functional green roofs: Importance of plant choice in maximising summertime environmental cooling and substrate insulation potential. Energy Build. 2017, 141, 56–68. [Google Scholar] [CrossRef]
- Pratesi, M.; Cinelli, F.; Santi, G.; Scartazza, A. Mediterranean green buildings: Vegetation cover and runoff water quality assessment in a green roof system. Acta Hortic. 2022, 1345, 235–242. [Google Scholar] [CrossRef]
- Pasta, S.; Catalano, C.; Bretzel, F.; Guarino, R. Achievements, flaws, and future goals of scientific research on green roofs in Mediterranean cities: First feedback from ongoing meta-analysis. In Proceedings of the 14th Ecocity World Summit, Rotterdam, The Netherlands, 22–24 February 2022; pp. 313–323. [Google Scholar]
- Bretzel, F.; Vannucchi, F.; Buoncristiano, A.; Caneva, G. Phytosociological approach to implement a Sedum-dominated plant community in extensive Mediterranean green roofs in different N enriched substrates. Acta Hortic. 2022, 1345, 267–274. [Google Scholar] [CrossRef]
- Qiu, S.; Xia, K.; Yang, Y.; Wu, Q.; Zhao, Z. Mechanisms Underlying the C3–CAM Photosynthetic Shift in Facultative CAM Plants. Horticulturae 2023, 9, 398. [Google Scholar] [CrossRef]
- ASA-SSSA. Methods of Soil Analysis, Part 1 and 3. Physical and Chemical Methods, 2nd ed.; ASA-SSSA: Madison, WI, USA, 1996. [Google Scholar]
- EN 13041:2011; Soil improvers and Growing Media—Determination of Physical Properties—Dry Bulk Density, Air Volume, Water Volume, Shrinkage Value and Total Pore Space. European Committee for Standardization (CEN): Brussels, Belgium, 2011.
- De Boodt, M.; Verdonck, O.; Cappaert, I. Determination and study of the water availability of substrates for ornamental plant growing. In Proceedings of the Symposium on Water Supply under Glass and Plastics, Geisenheim, Germany, 18–20 September 1972; Volume 35, pp. 51–58. [Google Scholar]
- Van Genuchten, M.T. A closed-form equation for predicting hydraulic conductivity of unsaturated soils. Soil Sci. Soc. Am. J. 1980, 44, 892–898. [Google Scholar] [CrossRef]
- Milks, R.R.; Fonteno, W.C.; Larson, R.A. Hydrology of horticultural substrates: I. Mathematical models for moisture characteristic curves of horticultural container media. J. Am. Soc. Hortic. Sci. 1989, 114, 48–52. [Google Scholar] [CrossRef]
- Wallach, R.; da Silva, F.F.; Chen, Y. Unsaturated hydraulic characteristics of composted agricultural wastes, tuff and their mixtures. Soil Sci. 1992, 153, 434–441. [Google Scholar] [CrossRef]
- Van Genuchten, M.T.; Leij, F.J.; Yates, S.R. The RETC Code for Quantifying the Hydraulic Functions of Unsaturated Soils; Version 1.0; EPA Report 600/2-91/065; U.S. Salinity Laboratory, USDA-ARS: Riverside, CA, USA, 1991. [Google Scholar]
- Pignatti, S.; Guarino, R.; La Rosa, M. Flora D’Italia; Edagricole: Milano, Italy, 2017; Volume 1. [Google Scholar]
- Perez-Harguindeguy, N.; Diaz, S.; Garnier, E.; Lavorel, S.; Poorter, H.; Jaureguiberry, P.; Bret-Harte, M.S.; Cornwell, W.K.; Craine, J.M.; Gurvich, D.E.; et al. New handbook for standardised measurement of plant functional traits worldwide. Austr Botany 2013, 61, 167–234. [Google Scholar] [CrossRef]
- Klotz, S.; Kühn, I.; Durka, W.; Briemle, G. BIOLFLOR: Eine Datenbank mit biologisch-ökologischen Merkmalen zur Flora von Deutschland; Bundesamt für Naturschutz: Bonn, Germany, 2002; Volume 38. [Google Scholar]
- Glatzle, A.; Mechel, A.; Lourenco, M.V. Botanical components of annual Mediterranean grassland as determined by point-intercept and clipping methods. J. Range Manag. 1993, 46, 271–274. [Google Scholar] [CrossRef]
- Shannon, C.E.; Weaver, W. The Mathematical Theory of Communication; The University of Illinois Press: Urbana, IL, USA, 1949. [Google Scholar]
- Smith, B.; Wilson, J.B. A consumer’s guide to evenness indices. Oikos 1996, 76, 70–82. [Google Scholar] [CrossRef]
- Simpson, E.H. Measurement of diversity. Nature 1949, 163, 688. [Google Scholar] [CrossRef]
- Da Silva, F.F.; Wallach, R.; Chen, Y. Hydraulic properties of Sphagnum peat moss and tuff (scoria) and their potential effects on water availability. Plant Soil 1993, 154, 119–126. [Google Scholar] [CrossRef]
- Ksiazek-Mikenas, K.; Köhler, M. Traits for stress-tolerance are associated with long-term plant survival on green roofs. J. Urban Ecol. 2018, 4, juy016. [Google Scholar] [CrossRef]
- Rumble, H.; Finch, P.; Gange, A.C. Green roof soil organisms: Anthropogenic assemblages or natural communities? Appl. Soil Ecol. 2018, 126, 11–20. [Google Scholar] [CrossRef]
- Sandoval, V.; Suárez, F.; Vera, S.; Pinto, C.; Victorero, F.; Bonilla, C.; Gironás, J.; Bustamante, W.; Rojas, V.; Pastén, P. Impact of the Properties of a Green Roof Substrate on its Hydraulic and Thermal Behavior. Energy Procedia 2015, 78, 1177–1182. [Google Scholar] [CrossRef]
- Gholami, M.; Barbaresi, A.; Tassinari, P.; Bovo, M. A Comparison of Energy and Thermal Performance of Rooftop Greenhouses and Green Roofs in Mediterranean Climate: A Hygrothermal Assessment in WUFI. Energies 2020, 13, 2030. [Google Scholar] [CrossRef]
- Fantozzi, F.; Bibbiani, C.; Gargari, C.; Rugani, R.; Salvadori, G. Do green roofs really provide significant energy saving in a Mediterranean climate? Critical evaluation based on different case studies. Front. Archit. Res. 2021, 10, 447–465. [Google Scholar] [CrossRef]
- AbdulBaqi, F.K. The effect of afforestation and green roofs techniques on thermal reduction in Duhok city. Trees For. People 2022, 8, 100267. [Google Scholar] [CrossRef]
- Schindler, B.Y.; Blaustein, L.; Vasl, A.; Kadas, G.J.; Seifan, M. Cooling effect of Sedum sediforme and annual plants on green roofs in a Mediterranean climate. Urban For. Urban Green. 2019, 38, 392–396. [Google Scholar] [CrossRef]
- Butler, C.; Orians, C.M. Sedum cools soil and can improve neighboring plant performance during water deficit on a green roof. Ecol. Eng. 2011, 37, 1796–1803. [Google Scholar] [CrossRef]
- Schindler, U.; Lischeid, G.; Müller, L. Hydraulic performance of horticultural substrates—3. Impact of substrate composition and ingredients. Horticulturae 2016, 3, 7. [Google Scholar] [CrossRef]
- Vijayaraghavan, K. Green roofs: A critical review on the role of components, benefits, limitations and trends. Renew. Sust. Energ. Rev. 2016, 57, 740–752. [Google Scholar] [CrossRef]
- Cameron, R.W.F. New green space interventions—Green walls, green roofs and rain gardens. In Environmental Horticulture: Science and Management of Green Landscapes; Cameron, R., Hitchmough, J., Eds.; Plant strategies, vegetation processes, and ecosystem properties; CAB International: Wallingford, UK, 2001; pp. 260–283. [Google Scholar]
- Grime, J.P. Plant Strategies, Vegetation Processes, and Ecosystem Properties; John Wiley & Sons: Hoboken, NJ, USA, 2001. [Google Scholar]
- Madon, O.; Médail, F. The ecological significance of annuals on a Mediterranean grassland (Mt Ventoux, France). Plant Ecol. 1997, 129, 189–199. [Google Scholar] [CrossRef]
- Heim, A.; Lundholm, J. Species interactions in green roof vegetation suggest complementary planting mixtures. Landsc. Urban Plan. 2014, 130, 125–133. [Google Scholar] [CrossRef]
- Saraeian, Z.; Farrell, C.; Williams, N.S. Green roofs sown with an annual plant mix attain high cover and functional diversity regardless of irrigation frequency. Urban For. Urban Green. 2022, 73, 127594. [Google Scholar] [CrossRef]
- Nichols, R.N.; Holland, J.M.; Goulson, D. Can novel seed mixes provide a more diverse, abundant, earlier, and longer-lasting floral resource for bees than current mixes? Basic Appl. Ecol. 2022, 60, 34–47. [Google Scholar] [CrossRef]





| Species | Family | PFT | Growth Forms | Strategy Type | Introduction in the GR |
|---|---|---|---|---|---|
| Allium roseum L. | Amaryllidaceae | G | Bulbous | - | Planted 2014 |
| Alyssum alyssoides (L.) L. | Brassicaceae | AF | Scapose/rosulate | SR | Planted 2014 |
| Anthyllis vulneraria L. | Fabaceae | PL | Scapose/hemirosette | CSR | Planted 2014 |
| Blackstonia 4olonizing (L.) Huds. | Gentianaceae | AF | Scapose/rosulate | SR | Seeded 2016 |
| Calendula arvensis (Vaill.) L. | Asteraceae | AF | Scapose/hemirosette | R | Planted 2014/seeded 2016 |
| Centranthus macrosiphon Boiss. | Caprifoliaceae | AF | Scapose | - | Seeded 2016 |
| Crepis bursifolia L. | Asteraceae | PF | Scapose | - | Spontaneously colonising |
| Dianthus deltoides L. | Caryophyllaceae | PF | Caespitose/rosulate | CSR | Planted 2014 |
| Erodium cicutarium (L.) L’Hér. | Geraniaceae | AF | Caespitose/scapose/hemirosette | R | Planted 2014 |
| Geranium 4olo L. | Geraniaceae | AF | Scapose/hemirosette | R | Planted 2014 |
| Hypochaeris radicata L. | Asteraceae | PF | Rosette | CSR | Seeded 2016 |
| Lobularia maritima (L.) Desv. | Brassicaceae | PF | Scapose/rosulate/hemirosette | SR | Seeded 2016 |
| Muscari comosum (L.) Mill. | Asparagaceae | G | Bulbous/rosulate | CSR | Planted 2014 |
| Ornithogallum umbellatum L. | Asparagaceae | G | Bulbous/rosulate | CSR | Planted 2014 |
| Petrorhagia saxifraga (L.) Link | Caryophyllaceae | PF | Caespitise/rosulate | CS | Planted 2014 |
| Poa annua L. | Poaceae | GR | Caespitose/hemirosette | R | Spontaneously colonising |
| Portulaca oleracea L. | Portulaccaceae | AF | Succulent scapose | Spontaneously colonising | |
| Scrophularia peregrina L. | Scrophularieae | AF | Scapose | - | Seeded 2016 |
| Sedum acre L. | Crassulaceae | CAM | Succulent | S | Planted 2014 |
| Sedum album L. | Crassulaceae | CAM | Succulent | S | Planted 2014 |
| Senecio vulgare L. | Asteraceae | AF | Scapose | Spontaneously colonising | |
| Silene gallica L. | Caryophyllaceae | AF | Scapose/rosulate | R | Planted 2014 |
| Sochus oleraceous L | Asteraceae | AF | Spontaneously colonising | ||
| Trifolium arvense L. | Fabaceae | AL | Scapose/rosulate/hemirosette | SR | Planted 2014 |
| Trifolium campestre L. | Fabaceae | AL | Scapose/rosulate/hemirosette | R | Planted 2014 |
| Verbascum blattaria L. | Scrophulariaceae | AF | Scapose/hemirosette | C | Seeded 2016 |
| Mosses (Bryophyta) | BR | Spontaneously colonising |
| pH * | EC * | Corg * | Ntot * | BD | |
|---|---|---|---|---|---|
| H2O | dS/m | % | % | g cm−3 | |
| VC | 8.0 ± 0.06 | 0.2 ± 0.03 | 5.8 ± 1.08 | 0.65 ± 0.15 a | 0.5 ± 0.01 |
| VPC | 8.2 ± 0.14 | 0.2 ± 0.02 | 3.5 ± 0.37 | 0.36 ± 0.05 a | 0.66 ± 0.01 |
| VP | 8.5 ± 0.05 | 0.2 ± 0.01 | 3.8 ± 0.42 | 0.26 ± 0.01 b | 0.68 ± 0.15 |
| Parameter | Unit | VC | VPC | VP |
|---|---|---|---|---|
| θs | cm3 cm−3 | 0.79 ± 0.003 | 0.75 ± 0.009 | 0.73 ± 0.005 |
| θr | cm3 cm−3 | 0.232 ± 0.027 | 0.192 ± 0.009 | 0.189 ± 0.003 |
| α | kPa−1 | 0.094 ± 0.005 | 0.512 ± 0.081 | 0.206 ± 0.012 |
| n | - | 2.7996 ± 0.642 | 1.8965 ± 0.110 | 2.488 ± 0.131 |
| R2 | - | 0.999 | 0.999 | 0.999 |
| AC | % v/v | 16.8 ± 2.1 | 42.1 ± 1.7 | 36.4 ± 2.1 |
| AW | % v/v | 38.0 ± 1.6 | 11.6 ± 2.0 | 16.1 ± 0.7 |
| EAW | % v/v | 36.0 ± 1.4 | 9.1 ± 2.3 | 15.3 ± 0.8 |
| WBC | % v/v | 2.0 ± 0.2 | 2.5 ± 0.3 | 0.8 ± 0.1 |
Disclaimer/Publisher’s Note: The statements, opinions and data contained in all publications are solely those of the individual author(s) and contributor(s) and not of MDPI and/or the editor(s). MDPI and/or the editor(s) disclaim responsibility for any injury to people or property resulting from any ideas, methods, instructions or products referred to in the content. |
© 2023 by the authors. Licensee MDPI, Basel, Switzerland. This article is an open access article distributed under the terms and conditions of the Creative Commons Attribution (CC BY) license (https://creativecommons.org/licenses/by/4.0/).
Share and Cite
Vannucchi, F.; Bibbiani, C.; Caudai, C.; Bretzel, F. Mediterranean Extensive Green Roof Self-Sustainability Mediated by Substrate Composition and Plant Strategy. Horticulturae 2023, 9, 1117. https://doi.org/10.3390/horticulturae9101117
Vannucchi F, Bibbiani C, Caudai C, Bretzel F. Mediterranean Extensive Green Roof Self-Sustainability Mediated by Substrate Composition and Plant Strategy. Horticulturae. 2023; 9(10):1117. https://doi.org/10.3390/horticulturae9101117
Chicago/Turabian StyleVannucchi, Francesca, Carlo Bibbiani, Claudia Caudai, and Francesca Bretzel. 2023. "Mediterranean Extensive Green Roof Self-Sustainability Mediated by Substrate Composition and Plant Strategy" Horticulturae 9, no. 10: 1117. https://doi.org/10.3390/horticulturae9101117
APA StyleVannucchi, F., Bibbiani, C., Caudai, C., & Bretzel, F. (2023). Mediterranean Extensive Green Roof Self-Sustainability Mediated by Substrate Composition and Plant Strategy. Horticulturae, 9(10), 1117. https://doi.org/10.3390/horticulturae9101117

