Seed Dormancy and Germination Characteristics of Vaccinium oldhamii Miq. (Ericaceae)
Abstract
1. Introduction
2. Materials and Methods
2.1. Plant Material
2.2. Basic Characteristics
2.3. Water Uptake Test
2.4. Seed Germination
2.5. Gibberellic Acid (GA3) Treatment
2.6. Cold Stratification Treatment
2.7. Seed Germination Charateristics
2.8. Data Analysis
3. Results
3.1. Basic Characteristics of Vaccinium oldhamii Miq.
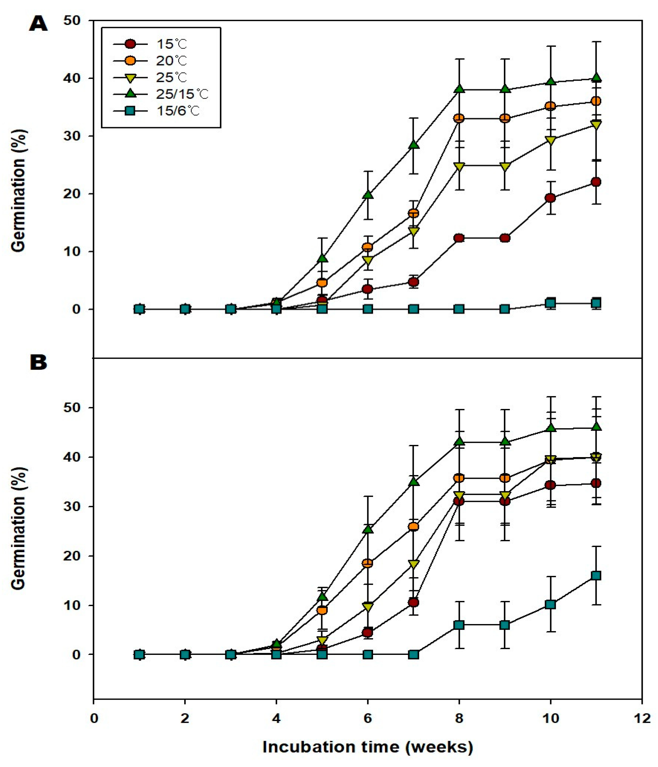
3.2. Seed Germination
3.3. GA3 Treatment
3.4. Cold Stratification Treatments
4. Discussion
Author Contributions
Funding
Informed Consent Statement
Data Availability Statement
Conflicts of Interest
References
- Kim, T.Y.; Kim, J.S. Woody Plants of Korea Peninsula. Paju-si. Gyeongii-do, Korea. 2018. Available online: https://florakorea.myspecies.info/en (accessed on 15 July 2022).
- Plants of the World Online. Available online: www.powo.science.kew.org (accessed on 18 July 2022).
- Chae, J.W.; Jo, B.S.; Joo, S.H.; Ahn, D.H.; Chun, S.S.; Cho, Y.J. Biological and antimicrobial activity of Vaccinium oldhami fruit. J. Food Sci. Nutr. 2012, 41, 1–6. [Google Scholar] [CrossRef][Green Version]
- Tsuda, H.; Kunitake, H.; Kawasaki-Takaki, R.; Nishiyama, K.; Yamasaki, M.; Komatsu, H.; Yukizaki, C. Antioxidant activities and anti-cancer cell proliferation properties of Natsuhaze (Vaccinium oldhamii Miq.), Shashanbo (V. bracteatum Thunb.) and Blueberry cultivars. Plants 2013, 2, 57–71. [Google Scholar] [CrossRef] [PubMed]
- Kim, H.S.; Kim, M.S.; Kim, S.H.; Yun, K.W.; Song, J.H. Analysis of total phenolic content and antioxidant activity from fruits of Vaccinium oldhamii Miq. J. Korean For. Soc. 2013, 102, 566–570. [Google Scholar] [CrossRef][Green Version]
- National institute of Biological Resource. List Indigenous/Endemic Species of Korea; National institute of Biological Resource: Incheon, Korea, 2019. [Google Scholar]
- Baskin, C.C.; Baskin, J.M. Seeds: Ecology, Biogeography, and Evolution of Dormancy and Germination; Academic Press: San Diego, CA, USA, 2014. [Google Scholar]
- Donohue, K.; Rubio de Casas, R.; Burghardt, L.; Kovach, K.; Willis, C.G. Germination, post germination adaptation, and species ecological ranges. Annu. Rev. Ecol. Evol. Systamatics. 2010, 14, 293–319. [Google Scholar] [CrossRef]
- Baskin, J.M.; Baskin, C.C. A classification system for seed dormancy. Seed Sci. Res. 2004, 14, 160. [Google Scholar] [CrossRef]
- Jang, G.H.; Chung, J.M.; Rhie, Y.H.; Lee, S.Y. Seed dormancy class and ecophysiological Features of Veronicastrum sibiricum (L.) Pennell (Scrophulariaceae) Native to the Korea Peninsula. Plants 2022, 11, 160. [Google Scholar] [CrossRef] [PubMed]
- Kildisheva, O.A.; Dixon, K.W.; Silveira, F.A.O.; Chapman, T.; Di Sacco, A.; Mondoni, A.; Turner, S.R.; Cross, A.T. Dormancy and germination: Making every seed count in restoration. Restor. Ecol. 2020, 28 (Suppl. S3), S256–S265. [Google Scholar] [CrossRef]
- Crop Wild Relatives. Available online: www.cwrdiversity.org (accessed on 18 July 2022).
- Vandelook, F.; Bolle, N.; Van Assche, J.A. Seed dormancy and germination of the European Chaerophyllum temulum (Apiaceae), a member of a trans-Atlantic genus. Ann. Bot. 2007, 100, 233–239. [Google Scholar] [CrossRef] [PubMed]
- Nikolaeva, M.G. Factors controlling the seed dormancy pattern. In The Physiology and Biochemistry of Seed Dormancy and Germination, Khan, A.A., Ed.; Elsevier: Amsterdam, The Netherlands, 1977; pp. 51–74. [Google Scholar]
- Baskin, C.C.; Baskin, J.M. When breaking Seed dormancy is a problem; Try a move-along experiment. Nat. Plants J. 2003, 4, 17–21. [Google Scholar] [CrossRef]
- Castro, C.; Olarte, Y.; Rache, L.; Pacheco, J. Development of a germination protocol for blueberry seeds (Vaccinium meridionale Swartz). Agron. Colomb. 2012, 30, 196–203. [Google Scholar]
- Hudson, J.J.; Yücel, Ç.K.; Schoonmaker, A.L.; Sobze, J. Effects of cold stratification on the germination of Vaccinium myrtilloides (common blueberry) and Vaccinium vitis-idaea (bog cranberry) seeds from alberta, canada. Nat. Plants J. 2017, 18, 245–251. [Google Scholar] [CrossRef]
- Vander Kloet, S.P. On the Etymology of Vaccinium L.; Acadia University: Wolfville, NS, Canada; Nova Press: Scotia, ON, Canada, 1992; Volume 880, pp. 371–373. [Google Scholar]
- Vander Kloet, S.P.; Hill, N.M. Bacca quo vadis: Regeneration niche differences among seven sympatric Vaccinim species on headlands of Newfoundland. Seed Sci. Res. 2000, 10, 89–97. [Google Scholar] [CrossRef]
- Baskin, C.C.; Milberg, P.; Andersson, L.; Baskin, J.M. Germination studies of three dwalf shrub (Vanccinium, Ericaceae) of Northern Hemisphere coniferous forests. Can. J. Bot. 2000, 78, 1552–1560. [Google Scholar]
- Ranwala, S.M.W.; Naylor, R.E.L. Production, survival and germination of bilberry (Vaccinium mytillus L.) seeds. Bot. J. Scotl. 2004, 56, 55–63. [Google Scholar] [CrossRef]
- Emery, D.E. Seed Propagation of Native California Plants; Santa Barbara Botanic Garden: Santa Barbara, CA, USA, 1988. [Google Scholar]
- Nikolaeva, M.G.; Rasumova, M.V.; Gladkova, V.N. Reference book on dormant seed germination; Danilova, M.F., Ed.; Nauka Publisher, Leningrad Branch: Leningrad, Russia, 1985. [Google Scholar]
- Lopez, O.A.; Barney, D.L.; Shafii, B.; Price, W.J. Modeling the effects of temperature and gibberellic acid concentration on red huckleberry seed germination. Am. Soc. Hortis. Sci. 2008, 43, 223–228. [Google Scholar] [CrossRef]
- Gartner, B.L. Germination characteristics of arctic plants. In Fourth International Conference on Permafrost; Britton, M.E., Ed.; National Academy Press: Fairbanks, AK, USA; Washington, DC, USA, 1983; pp. 334–338. [Google Scholar]
- Shimono, Y.; Kudo, G. Comparisons of germination traits of alpine plants between fellfield and snowbed habitats. Ecol. Res. 2005, 20, 189–197. [Google Scholar] [CrossRef]





| 1000-Seed Weight (g) | Length (mm) | Width (mm) | Ratio W:L |
|---|---|---|---|
| 0.9453 ± 0.0209 | 2.4588 ± 0.0273 | 1.7028 ± 0.0248 | 0.6950 ± 0.0107 |
| Temperature (°C) | G (1) (%) | G/FP (2) (%) | MGT (3) (days) | T50 (4) | |
|---|---|---|---|---|---|
| Nontreated | 15 | 0.0 b | 0.0 | - | - |
| 20 | 6.0 ± 2.58 b | 12.24 | 28.50 ± 11.43 a | 28.35 ± 11.43 a | |
| 25 | 6.0 ± 2.58 b | 12.24 | 46.08 ± 15.59 a | 45.94 ± 15.66 a | |
| 25/15 | 20.0 ± 4.9 a | 40.82 | 41.18 ± 2.72 a | 37.50 ± 2.33 a | |
| 15/6 | 0.0 b | 0.0 | - | - | |
| p-value | 0.001 | - | 0.003 | 0.004 | |
| GA3250 | 15 | 22.00 ± 3.83 b | 44.90 | 52.44 ± 5.05 a | 53.75 ± 7.27 a |
| 20 | 36.00 ± 3.27 ab | 73.47 | 45.37 ± 1.08 a | 43.19 ± 1.63 ab | |
| 25 | 32.00 ± 6.32 ab | 65.31 | 49.67 ± 1.44 a | 49.00 ± 3.18 ab | |
| 25/15 | 40.00 ± 6.32 a | 81.63 | 45.17 ± 6.35 a | 38.30 ± 1.55 b | |
| 15/6 | 1.00 ± 1.0 c | 2.04 | 64.00 ± 0.00b | - | |
| p-value | 0 | - | 0.039 | 0.095 | |
| GA3500 | 15 | 26.00 ± 9.31 ab | 53.06 | 37.08 ± 12.39 b | 36.38 ± 12.13 b |
| 20 | 40.00 ± 8.16 ab | 81.63 | 43.34 ± 3.64 b | 42.00 ± 3.37 b | |
| 25 | 40.00 ± 9.66 ab | 81.63 | 48.89 ± 2.27 ab | 47.31 ± 2.26 ab | |
| 25/15 | 46.00 ± 6.22 a | 93.88 | 40.04 ± 2.55 b | 39.15 ± 1.90 b | |
| 15/6 | 16.00 ± 5.89 b | 32.65 | 65.33 ± 2.34 a | 65.64 ± 3.44 ab | |
| p-value | 0.101 | - | 0.036 | 0.028 |
| Genus | Species | Native to (1) | Dormancy Classes | References |
|---|---|---|---|---|
| Vaccinium | angustifolium | Central & E. Canada to N. Central & E. U.S.A. | PD | [18] |
| arctostaphylos | SE. Bulgaria to Caucasus and N. Iran. | PD | [18] | |
| boreale | E. Canada to NE. U.S.A. | PD | [18] | |
| caespitosum | Aubarctic America to N. & W. Central U.S.A., NE. Mexico. | PD, ND (3) | [19] | |
| cylindeaseum | Azores | PD | [18] | |
| darrowii | SE. U.S.A. Alabama, Florida, Georgia, Louisiana, Mississippi | PD (2) | [18] | |
| hirsuyum | E. Central U.S.A. | PD | [18] | |
| macrocarpon | Canada to N. Central & E. U.S.A. | PD | [19] | |
| membranaceum | W. & E. Canada to N. & W. U.S.A. | PD, ND | [18] | |
| myrtilloides | Subarctic America to N. U.S.A. | PD, ND | [18] | |
| myrtillus | Greenland, Temp. Eurasia, W. Canada to NW. & W. Central U.S.A. | PD | [20,21] | |
| ovalifolium | Russian Far East to Japan, Subarctic America to N. U.S.A. | MPD (4) | [22] | |
| ovatum | W. Canada to California. | PD | [23] | |
| oxycoccus | Subarctic & Temp. Northern Hemisphere. | PD | [19] | |
| padifolium | Madeira. | PD | [18] | |
| parviflorum | Alaska to California. Alaska, British Columbia, California, Oregon, Washington | PD | [24] | |
| smallii | Kuril Islands to Japan. | PD | [18] | |
| uliginosum | Subarctic & Temp. Northern Hemisphere. | PD | [20,25] | |
| vitis-idaea | Subarctic & Temp. Northern Hemisphere. | PD | [20,25,26] |
Publisher’s Note: MDPI stays neutral with regard to jurisdictional claims in published maps and institutional affiliations. |
© 2022 by the authors. Licensee MDPI, Basel, Switzerland. This article is an open access article distributed under the terms and conditions of the Creative Commons Attribution (CC BY) license (https://creativecommons.org/licenses/by/4.0/).
Share and Cite
Lee, D.H.; Park, C.Y.; Jung, Y.H.; Kim, J.H.; Park, S.H.; Son, H.J.; Na, C.S.; Park, W.G. Seed Dormancy and Germination Characteristics of Vaccinium oldhamii Miq. (Ericaceae). Horticulturae 2022, 8, 836. https://doi.org/10.3390/horticulturae8090836
Lee DH, Park CY, Jung YH, Kim JH, Park SH, Son HJ, Na CS, Park WG. Seed Dormancy and Germination Characteristics of Vaccinium oldhamii Miq. (Ericaceae). Horticulturae. 2022; 8(9):836. https://doi.org/10.3390/horticulturae8090836
Chicago/Turabian StyleLee, Da Hyun, Chung Youl Park, Young Ho Jung, Jun Hyeok Kim, Sung Hyuk Park, Ho Jun Son, Chae Sun Na, and Wan Geun Park. 2022. "Seed Dormancy and Germination Characteristics of Vaccinium oldhamii Miq. (Ericaceae)" Horticulturae 8, no. 9: 836. https://doi.org/10.3390/horticulturae8090836
APA StyleLee, D. H., Park, C. Y., Jung, Y. H., Kim, J. H., Park, S. H., Son, H. J., Na, C. S., & Park, W. G. (2022). Seed Dormancy and Germination Characteristics of Vaccinium oldhamii Miq. (Ericaceae). Horticulturae, 8(9), 836. https://doi.org/10.3390/horticulturae8090836

