Next Article in Journal
Salinity-Induced Changes in the Antioxidant Status of Common Basil Plants (Ocimum basilicum L.) Grown under Controlled Conditions
Next Article in Special Issue
Plant Melatonin: Regulatory and Protective Role
Previous Article in Journal
Inheritance of Apple (Malus × domestica (L.) Borkh) Resistance against Apple Scab (Venturia inaequalis (Cooke) Wint.) in Hybrid Breeding Material Obtained by Gene Pyramiding
Previous Article in Special Issue
Physiological Study of the Efficacy of Archer® Eclipse in the Protection against Sunburn in Cucumber Plants
 
 
Font Type:
Arial Georgia Verdana
Font Size:
Aa Aa Aa
Line Spacing:
Column Width:
Background:
Article

Application of Rosemary and Eucalyptus Essential Oils on the Preservation of Cucumber Fruit

by
Panayiota Xylia
1,
Antonios Chrysargyris
1,
Durray Shahwar
2,
Zienab F. R. Ahmed
2,* and
Nikolaos Tzortzakis
1,*
1
Department of Agricultural Sciences, Biotechnology and Food Science, Cyprus University of Technology, Limassol 3036, Cyprus
2
Integrative Agriculture Department, College of Agriculture and Veterinary Medicine, United Arab Emirates University, Al Ain 15551, United Arab Emirates
*
Authors to whom correspondence should be addressed.
Horticulturae 2022, 8(9), 774; https://doi.org/10.3390/horticulturae8090774
Submission received: 12 July 2022 / Revised: 12 August 2022 / Accepted: 24 August 2022 / Published: 26 August 2022

Abstract

Cucumber (Cucumis sativus L.) is one of the most significant and frequently produced vegetable crops. However, because of its high perishability, keeping its quality from the farm to the market is a challenging problem. Various techniques have been employed to reduce postharvest losses and to extend the shelf life of vegetables and fruits. Recently, another approach is the application of eco-friendly elicitors as essential oils-EOs to prevent fruit decay and enhance its quality. Therefore, the purpose of this study was to assess the effectiveness of an environmentally friendly product (EP) based on rosemary and eucalyptus essential oils and two distinct application techniques (vapor and dipping) on maintaining quality characteristics of cucumber fruits during storage at 11 °C and ~90% relative humidity (RH) for two weeks. The results showed that the EP was successful in preserving cucumber fruit quality. Vaporized cucumbers did not show any significant weight losses, whereas dipped cucumbers showed a greater weight loss at 0.4% EP (3.5%) compared with the control (3%). Fruit treated with EP (vapor or dipping) or chlorine maintained firmness and ripening index during storage. Total soluble solids (TSS) levels were similar in all vapor-treated fruit while dipping application of chlorine increased TSS (4 oBrix) after 7 days of storage. Vapor or dipping application of EP or chlorine had a slight effect on cucumber color. Vaporized (EP or chlorine) cucumbers had comparable total phenols and antioxidant activity when compared with the control treatment, while dipped fruit had lower total phenols content and antioxidant activity at 0.8% EP after 7 days of storage. These findings indicate that the evaluated EP (vapor or dipping) can be a potential natural alternative to be used to preserve fresh produce instead of the common sanitizing agent (chlorine). Nevertheless, the application method and conditions should be further optimized for every product.

1. Introduction

The cucumber (Cucumis sativus L.) is a member of the Cucurbitaceae plant family, which can be grown in both subtropical and tropical climates [1]. It can be produced either in open fields or sheltered houses [2]. Cucumber fruit is a good source of minerals (e.g., Na, Mg, K, Ca, S, Si, and Fe), vitamins (e.g., thiamin, riboflavin, vitamin C, and niacin), carbohydrates, protein, and dietary fibers [2]. The risk of mineral and vitamin deficiencies, cancer, and other chronic illnesses has been shown to decrease with increased consumption of vegetables such as cucumber [3]. These effects are provided by the phytonutrients discussed earlier, which have a number of health benefits, e.g., anti-cancer, anti-inflammatory, and antioxidant properties [1].
Throughout the food supply chain, numerous environmental conditions may have an impact on the quality of perishable vegetables such as cucumber [1]. Pre-harvest conditions (namely, light and growing temperature, irrigation, pest management, maturity, and harvesting) and post-harvest (e.g., poor handling, processing, storage temperature, marketing, and pathogens) are among the factors that can impact the storability and quality of vegetables [4,5]. Vegetables’ quality steadily declines during postharvest management (e.g., processing, storage, shipping, and marketing) and under adverse circumstances (such as high temperatures, low relative humidity, and poor cleaning), causing significant losses for the food market [3,6,7].
Fresh produce undergoes water loss, pigment degradation (discoloration, loss of carotenoids, chlorophylls), and increased vulnerability to diseases during storage, all of which make the product less appealing to consumers [1,4]. Vegetable quality is mostly impacted by exposure to unfavorable temperatures, relative humidity, and light [1]. Fresh produce’s respiration rate is proven to be repressed by storage at low temperatures and high humidity, increasing its shelf life [8]. Additionally, the microbial load may not be properly reduced by using sanitizing agents such as chlorine and chlorine-based treatments for decontaminating fresh produce, and at the same time, these products have been associated with the development of risky, carcinogenic compounds [8,9].
In an effort to limit the use of conventional sanitizing agents in the food sector and satisfy customer’s demand for fresh, nutritious, and secure fresh produce, there is currently a shift toward the utilization of natural products [10,11,12]. The most widely used sanitizing chemical, chlorine, has been associated with the development of carcinogenic substances that may be harmful to human health [13]; therefore, its utilization is of concern. Among natural products, essential oils (EOs) from aromatic and medicinal plants have received increased attention from researchers due to their antifungal, antibacterial, antioxidant, and anti-inflammatory properties [5,10,14,15,16,17,18,19,20]. Different EOs have been utilized as food preservatives in various foods, e.g., in minimally processed foods, dairy products, fruits and vegetables, and meat and animal products [7,20,21,22].
The use of EOs for the post-harvest preservation of fresh produce and the utilization of their attributes have been described, and the outcomes were encouraging since they could maintain/improve product quality and guarantee its safety for consumption [5,7,23]. Previous investigations on the use of EOs alone, or in conjunction with other compounds, such as chitosan, on fresh and/or minimally processed vegetables, such as cucumber and tomato, has provided promising results [5,18,24,25,26]. For example, EOs from helichrysum, eucalyptus, lemon, nutmeg, sage, cinnamon, and clove prevented Escherichia coli from growing in cucumber fruit, maintaining the fruit’s freshness and flavor [19]. When applied to eggplant fruit, dittany EO reduced the growth of gray mold (Botrytis cinerea) without impairing the fruit’s quality characteristics [16]. In addition, once applied to pepper fruit in vapor form, natural agents (e.g., sage EO) prevented the proliferation of gray mold, meanwhile sage EO added to Aloe vera gel enhanced (via dipping application) tomato fruit quality characteristics and reduced fruit deterioration during storage [5,24]. Furthermore, it has been reported that vapor use of savory and thyme EOs on peaches and nectarines improved the fruit’s quality characteristics (viz., less weight loss and no considerable losses of carotenoid and ascorbic acid content), though they provided contradictory results on postharvest diseases (gray mold and brown rot) [27]. There are many EOs, yet eucalyptus and rosemary have been investigated for their many favorable characteristics, and a variety of applications have been suggested [28,29].
Although EOs are generally recognized as safe (GRAS) food additives, it is worth mentioning that their application may cause phytotoxicity, allergies, and unintended changes in product quality (e.g., appearance, flavor, and aroma) when used in inappropriate (high) concentrations or with certain foods [19,20,30]. The main objective of this study was to assess the impact of an eco-product (EP—based on rosemary and eucalyptus essential oils) applied using two distinct ways (vapor and dipping) on the quality characteristics of cucumber fruit during storage at 11 °C and RH ~90% for two weeks.

2. Materials and Methods

2.1. Experimental Design and Plant Material

The present study was conducted at the Food Science and Technology laboratory, Cyprus University of Technology, Limassol, Cyprus. Freshly produce cucumber (Cucumis sativus cv. PS-64) was purchased from a commercial greenhouse. Cucumber crop was grown under regular cultivation practices in a clay sandy-loam soil with drip irrigation. The cultivation took place during the winter-spring months as temperature (19 °C and 31 °C) is suitable for growing cucumber
An eco-product (EP) based on eucalyptus (Eucalyptus globulus L.) and rosemary (Rosmarinus officinalis L.) essential oil components was used. The product was a mixture of these two essential oils (eucalyptus: rosemary in approximately 2:1 v/v ratio) and it also contained vinegar <5% w/w, as well as emulsifier-treated water (<80%) [31]. For comparison with the treatments, chlorine at 0.02% (v/v) was used as a commercial sanitizer.
Fresh cucumber was randomly selected based on appearance, uniform size, and absence of physical defects to be used immediately in the experiments. Firstly, the fruit were disinfected in chlorine (0.05% v/v) solution for 4 min to avoid any microbial load, and then rinsed four times using distilled water before use. A preliminary screening test and the main experiments were implemented (Figure A1).

2.2. Preliminary Screening

A preliminary investigation has been conducted to assess the potential phytotoxicity or adverse effects on produce quality of the EP for the examined fresh cucumber. The fruits were placed in 5 L capacity polystyrene, snap-on lid containers.
Five concentrations of the EP were examined; 0.05%-0.1%-0.2%-0.4%-0.8%, while distilled water (0.0% EP) was used as control treatment, and applied either as vapor or dipping. Three replications were used for each concentration and for each produce. Containers were placed in the chamber at 11 °C and RH ~90%, in darkness. Wet filter paper was displaced in a glass tube within each container to maintain high RH during the storage period, and it was remoistened every other day [32]. In order to avoid air-composition abnormalities, the containers’ lids were open every 48 h and aerated. Fresh produce was monitored for phytotoxicity (marked spots), marketability, aroma and weight loss after 2 days of storage. Based on the results of the preliminary trial (Figure A2), the concertation of 0.4% was selected for further investigation and it was compared with a double level of the eco-product (0.8% EP) and common postharvest sanitizer (i.e., chlorine) in vapor or dipping applications.

2.3. Main Experiment

In this experiment, four treatments were examined: purified water (control), 0.4% EP, 0.8% EP, and chlorine (0.02%). The treatments were applied either in dipping or vapor. For vapor application, fresh produce was placed on the container, and vaporized solution of the selected concentrations was placed into a 2 mL Eppendorf tube, into the container. For the dipping application, cucumber fruit was immersed for 10 min by the examined solution, then left to dry for 20 min at room temperature. Each two cucumbers were placed into polystyrene, snap-on lid containers of 1 L. In total, six biological replications in three containers, per each treatment, per each storage period of 7 and 14 days, were prepared. The containers were stored in chamber at 11 °C and 90% RH ~90%, in the dark. The experimental design consisted of four treatments × six replications × two storage periods (plus day 0) and two applications (dipping and vapor) methods with a total of 102 cucumbers to be used. Fresh produce was maintained at room temperature for 2–3 h to allow EP vapor-activation, and then transferred to chilled conditions. High RH during storage period was maintained, as described above and container lids were opened every 48 h and aerated.

2.3.1. Decay Evaluation

Fruit decay was visually evaluated at each storage period (7 and 14 days). All fresh produce from each container were used for the evaluation. A fruit was considered to be decayed when mycelia or bacterial growth were visually seen according to Xylia et al. [7]. A scale from 1 to 10 showing the surface infection percentage; as 1: 0–10% infection; 2: 11–20% infection; 3: 21–30% infection; 4: 31–40% infection; 5: 41–50% infection; 6: 51–60% infection; 7: 61–70% infection; 8: 71–80% infection; 9: 81–90% infection; and 10: 91–100% infection was used to estimate the degree of produce infection [7].

2.3.2. Respiration Rate and Ethylene Emission

Ethylene and carbon dioxide (CO2) production were assessed by incubating each fruit in a 1 L plastic container sealed for 1 h, at room temperature [24]. The weight and volume of the fruit were determined. Moreover, before, after and during the experiment, the room air’s CO2 and ethylene concentrations were measured and subtracted from the values by equipment zeroing.
For CO2 determination, container gas atmosphere was sucked by a dual gas analyzer (GCS 250 Analyzer, International Control Analyser Ltd., Kent, UK) for 40 s and respiration rate was calculated and expressed as milliliter of CO2 per kilogram per hour. Ethylene was measured with an ethylene analyzer (ICA 56 Analyzer, International Control Analyser Ltd., Kent, UK) whereas the container air sample was sucked for 30 s. Ethylene production then was calculated and expressed as microliter of ethylene per kilogram per hour. Three samples were used (replications per treatment and storage period; n = 3).

2.3.3. Fruit Weight Loss, Color and Firmness

The weight was recorded for each fruit (n = 6) on the harvesting day (day 0) and after the different sampling dates of storage. Weight loss was calculated for each fresh fruit per treatment and storage time.
Color was measured for cucumber fruit by using the Hunter Lab System using Minolta colorimeter model CR400 (Konica Minolta, Osaka, Japan). Following the reading of L* (lightness), a* (greenness [−] to redness [+]) and b* (blueness [−] to yellowness [+]) parameters at two points on each fruit, chroma value (C), hue (h), color index (CI), browning index (BI) and whitening index (WI) were calculated by the following equations C = (a*2 + b*2)1/2, h = tan−1(b*/a*), CI = (a* × 1000)/(L* × b*), BI = 100 − {[a* + (1.75 × L*)/(5.645 × L*)] + [a* − (3.012 × b*)−0.31]/0.17}, and WI = 100 − [(100−L*)2 + a*2 + b*2]1/2 as described previously [33,34].
Fruit firmness was measured at two points on the shoulder of each cucumber (n = 6) using a texture analyzer (TA.XT plus, Stable Micro Systems, Surrey, UK) by applying a plunger of 3 mm in diameter, a speed of 2 mm/s, and the penetration was 12 mm. The amount of force required to penetrate the fruit surface was expressed in Newtons (N).

2.3.4. Total Soluble Solids, Titratable Acidity, Ascorbic Acid and Carotenoids

The total soluble solids (TSS) concentration was determined in triplicate from the juice obtained from two pooled fresh commodities for each replication (n = 6) using a digital refractometer (model Sper Scientific 300017, Scottsdale, AZ, USA) at 20 °C, the results were expressed in oBrix. Titratable acidity (TA) was measured using potentiometric titration system (Mettler Toledo DL22, Columbus, OH, USA), 5 mL of the fruit juice was diluted to 50 mL with distilled water and 0.1 N NaOH up to pH 8.1. The results were expressed in citric acid percentage. The TSS/TA ratios were then calculated to determine the sweetness/ripening index of the fruit.
Ascorbic acid (AA) was determined by method as described previously [35] using the 2,6-Dichloroindophenol titrimetric An aliquot of pooled cucumber juice (5 mL) was diluted with 45 mL of oxalic acid (0.1%), then was titrated with the dye solution until the color changed. Measurements were expressed as mg of AA per gram of fresh weight.

2.3.5. Total Phenolic Content and Antioxidant Activity

The total phenolic content was measured by a method reported previously [13]. Blended cucumber fruit tissue (5 g) was extracted with 10 mL of 50% (v/v) methanol. The results were expressed as gallic acid equivalents (GAE) per gram of fresh weight. Antioxidant activity was determined by 2,2-diphenyl-1-picrylhydrazyl (DPPH) radical-scavenging and ferric-reducing antioxidant power (FRAP) activity assays [36]. The results were expressed in mg of trolox per gram of fresh weight. All samples were analyzed in triplicate.

2.3.6. Sensory Evaluation

Fresh produce marketability, appearance and aroma were recorded by at least three panelists to compare the external visual feature and marketability of the treated and control fresh produce after 7 and 14 days of storage at 11 °C.
Aroma was evaluated by using a 1–10 scale as follows: 1: bad aroma but not EP odor; 3: EP odor with some unpleasant smell; 5: EP smell but it is pleasant; 8: less cucumber-like; 10: intense cucumber-like. Appearance was evaluated by using a 1–10 scale with 1: yellow color of 50%; 3: yellow color of 25%; 5: yellow-green; 8: green; 10: deep green. Marketability was evaluated by using a 1–10 scale, with 1: not marketable quality (i.e., malformation, wounds, infection); 3: low marketable with malformation; 5: marketable with few defects, i.e., small size, decolorization (medium quality); 8: marketable (good quality); 10: marketable with no defects (extra quality)) and the results were expressed in percentage.

2.4. Statistical Methods

A statistical analysis was performed using IBM SPSS version 22 comparing data means (±SE), and a one way—Analysis of Variance (ANOVA), followed by Duncan’s multiple range tests for the significant data at p < 0.05. Non parametric testing has been undertaken with the Kruskal–Wallis test for qualitative measurements. Measurements were conducted in three or six biological replications/treatment (each replication consisted of a pool of two to three individual measures/sample).

3. Results

In the preliminary test, the examined eco-product was applied either as vapor or dipping on cucumbers, and the effects of screened concentrations ranging from 0% to 0.8% of the EP are presented in Figure 1. Cucumber fruits maintained their weight (averaged in 0.64%) as the EP-dipped fruits while weight loss increased (up to 1.09%) at the highest (0.8% EP) concentration of EP when cucumber was vaporized, compared to the control treatment (0.43%), 2 days of storage (Figure 1A,B). EP-vaporized fruit decreased marketability at ≥0.1% EP, while in general, EP-vaporized fruit decreased (up to 7.25) aroma as the EP concentration increased, compared to the control (averaged in 10) fruit (Figure 1C,E). EP-dipped fruit decreased marketability and aroma at ≥0.4% and at ≥0.1% EP, respectively, compared to the control (Figure 1D,F).
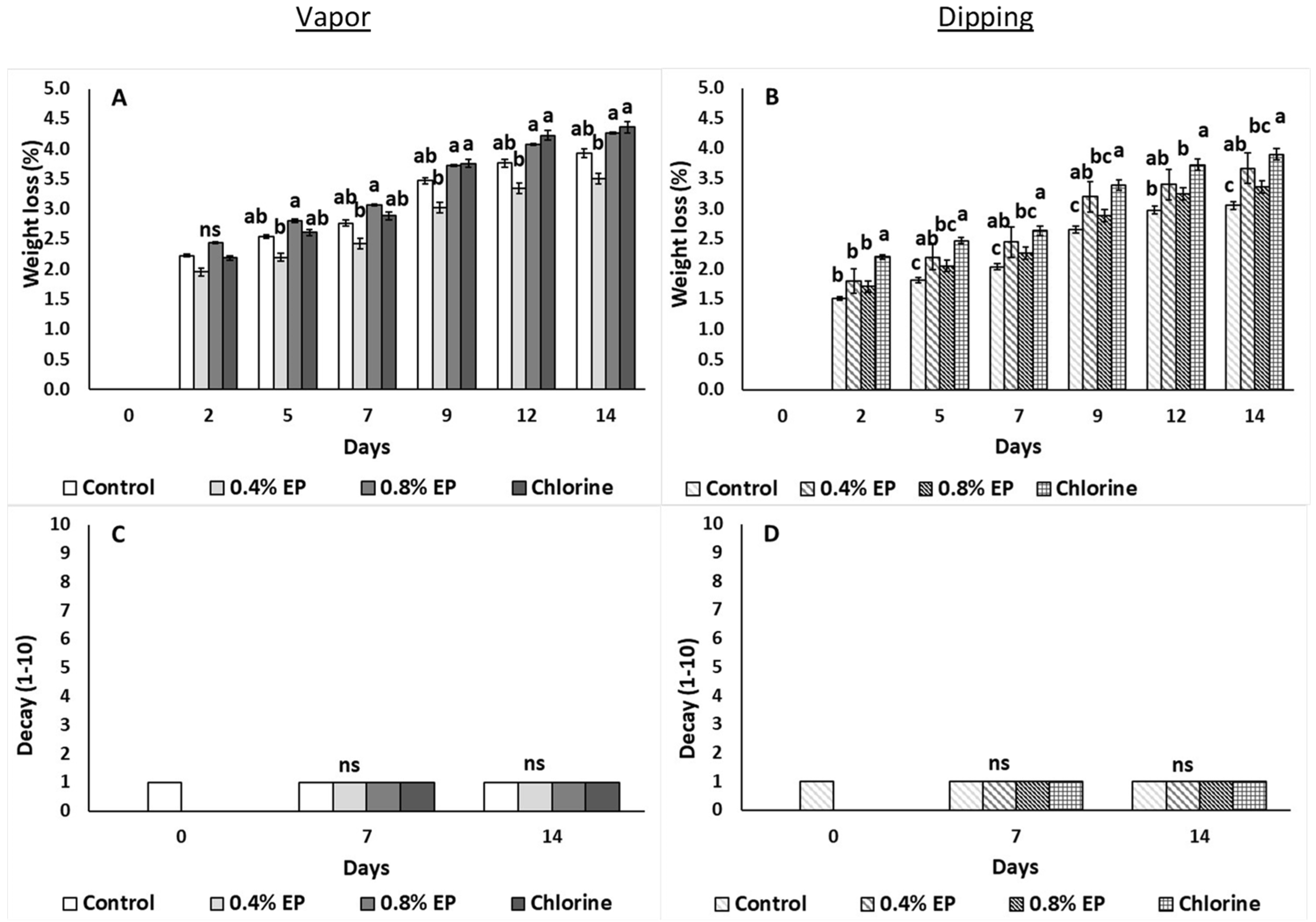
Following the observations from the preliminary test, the concentration of 0.4% EP was selected for investigation and was compared with a double level (0.8% EP) and common postharvest sanitizer (i.e., chlorine) in the vapor or dipping applications. The vaporized cucumbers did not reveal significant weight losses after 14 days of storage (Figure 2A) while dipped cucumbers revealed higher weight loss at 0.4% EP compared to chlorine and control treatment (Figure 2B). No symptoms of decay (absence of mycelia or bacterial growth) were observed on the examined cucumbers in all treatments and methods of applications (vapor vs. dipping), indicating zero or less than 10% surface infection (Figure 2C,D).
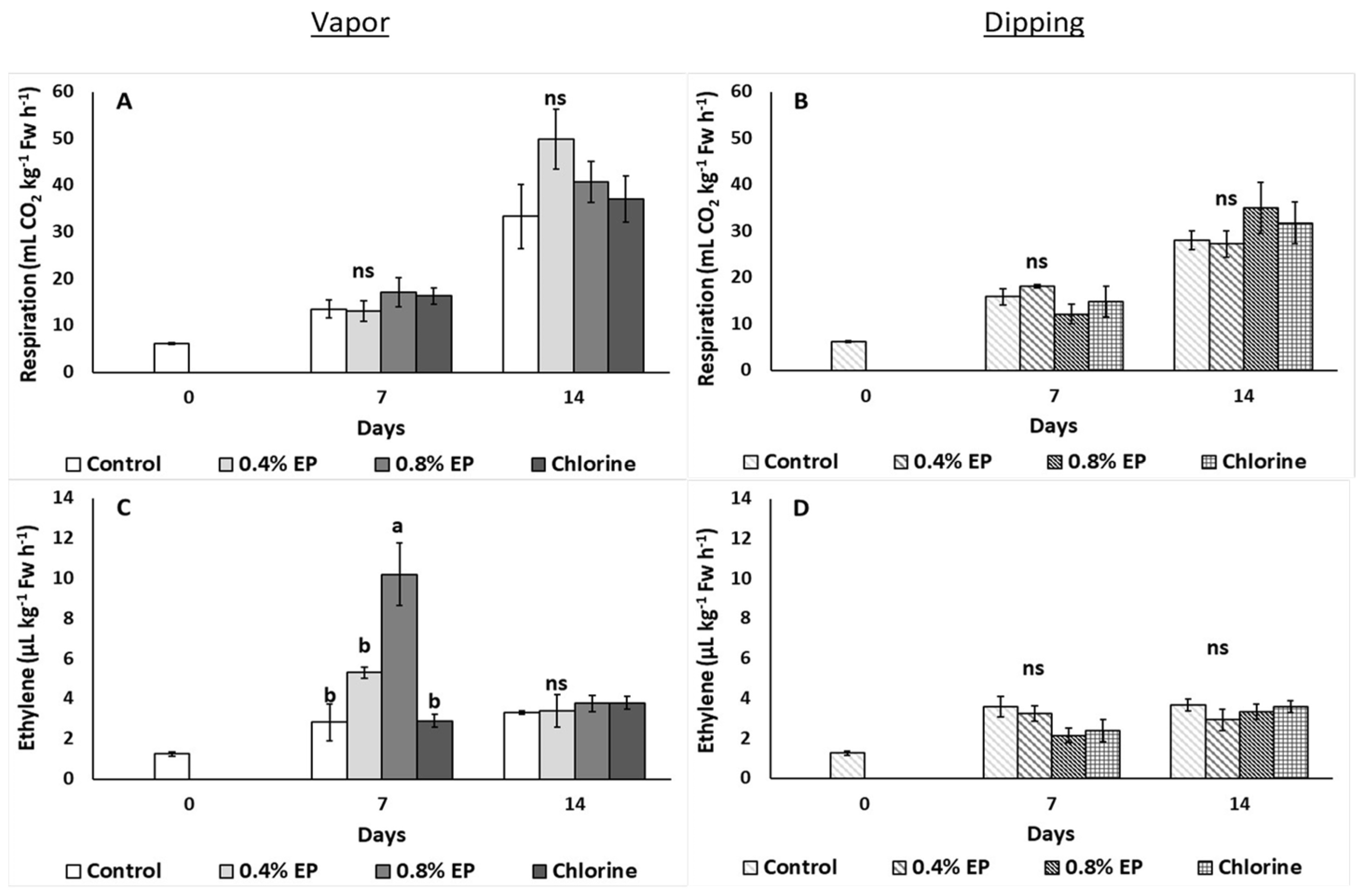
The respiration rate was not affected, neither by the EP application nor the method of application (vapor vs dipping) during 14 days of storage compared to the control (Figure 3B). Ethylene production increased with the 0.8% of EP-vapor treatment following 7 days of storage compared to the relevant control (Figure 3C); however, after 14 days of storage, ethylene was maintained (averaged in 3.57 μL kg−1 Fw h−1) in similar levels in all treatments (EP or chlorine applications). In the case of the dipping applications, ethylene levels remained unchanged among treatments, for the 7 d and 14 d of storage (averaged in 2.84 and 3.38 μL kg−1 Fw h−1, respectively) (Figure 3D).
Vapor application with EP or chlorine did not affect fruit marketability and appearance (Figure 4E) but EP at 0.4% and 0.8% decreased aroma at 7 days and at 14 days (Figure 4C). Considering the dipping application, marketability was slightly decreased with the 0.4% EP application at 7 and 14 days (Figure 4B). Aroma was decreased at 0.8% EP-dipped and at chlorinated cucumbers comparing with the control fruits, at 7 day (Figure 4D). Cucumber appearance did not change after EP or chlorine applications (Figure 4F).
The cucumber fruit treated with EP (vapor or dipping) or chlorine-maintained firmness (averaged in 18.48 N) and ripening index (averaged in 2.35) during the 14 days of storage (Figure 5A,B,G,H). The TSS levels were similar to all vapor-treated fruit (averaged in 3.75 oBrix), while TA decreased with the 0.8% EP after 7 days of storage and increased with the 0.4% EP after 14 days of storage compared to the control (Figure 5C,E). The dipping application of chlorine increased TSS at 7 days of storage, while the EP application decreased TA at 14 days of storage, compared with the relevant control treatment (Figure 5D,F).
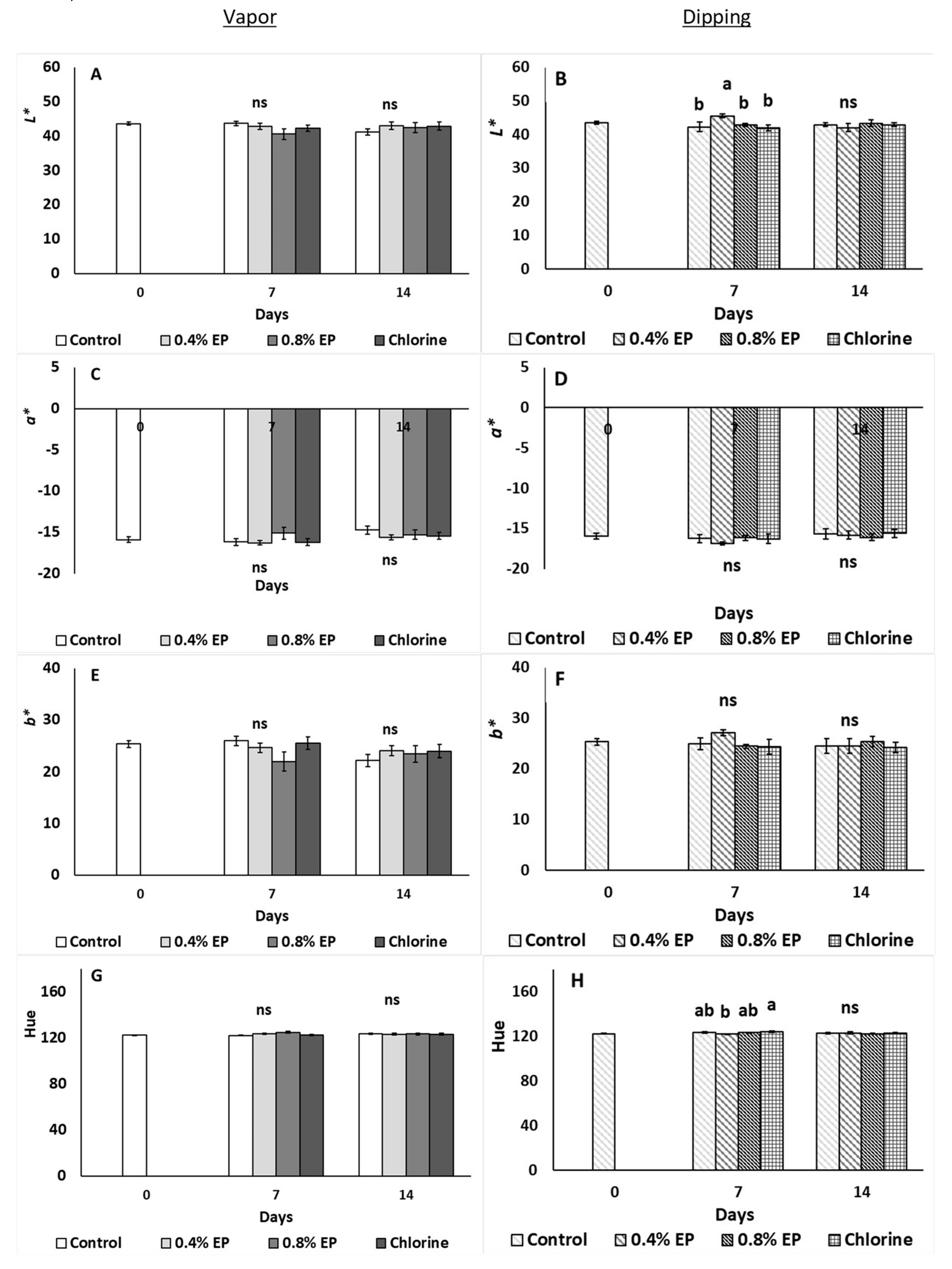
Regarding the color qualities, very little effect of EP or chlorine vapor or the dipping application was found on cucumber color (Figure 6A–L). Noticeable, fruit lightness (color L*) was increased at 0.4% for the EP-dipped cucumbers compared to the control, after 7 days of storage, affecting other color-related parameters, i.e., hue and color index (Figure 6H,L).
Vaporized (EP or chlorine) cucumbers revealed same total phenols (ranging from 0.050 to 0.078 mg GAE g−1 Fw) and ascorbic acid (averaged in 0.097 mg AA g−1 Fw) content when compared with the control treatment (Figure 7G), while antioxidant activity, as assayed by FRAP and DPPH, decreased with the EP application, after 14 days of storage (Figure 7C,E). In the case of dipped fruit, total phenols content decreased at 0.8% EP at 7 days and increased at 0.4% at 14 days of storage, compared to water-dipped fruits (control) (Figure 7B). The antioxidant activity decreased at 0.8% EP-dipped fruits compared to control and chlorine at 7 days, while after 14 days of storage, both FRAP and DPPH remained unchanged in comparison to the control treatment (Figure 7D,F). Ascorbic acid did not change among the different dipping treatments (Figure 7H).

4. Discussion

Water loss via transpiration and respiration processes is the major source of weight loss in fresh vegetables such as cucumber. Additionally, it is one of the variables that determines the quality and shelf life of fruits and vegetables [3,26]. In this study, vaporized cucumbers did not show any significant weight losses, whereas dipped cucumbers showed a greater weight loss at 0.4% EP compared with the control. It has been reported that 7% weight-loss during storage was the upper limit for cucumber appearance to be marketable [4]. In this study weight loss results for the 0.4% vaporized cucumbers were less than 3.5% after 14 days of storage, which supports the utilization of this treatment for cucumber postharvest preservation. Comparable results have been reported by Tzortzakis et al. [24], who found that tomatoes dipped in 0.5% sage EO lost more weight than 0.1% EO and control fruits after 7 and 14 days of storage at 11 °C. However, in another investigation, the vapor treatment of oregano EO had no significant impact on the weight loss of the tomato fruit [37]. These results could be explained by the comparable EO composition of the primary components in rosemary (α-pinene, isoborneol, 1.8-cineole, terpineol), eucalyptus (δ-3 carene, 1.8-cineole, and α-pinene) and sage (α-pinene, α-thujone, 1.8-cineole, camphor, and camphene) as compared with oregano EO (carvacrol, p-cymene, γ-terpinene) [5,24,31,37].
The main approach for extending the commercial life and lower postharvest losses of perishable vegetables and fruits is by preserving them at low temperatures, which principally serves to slow down their overall metabolism and delay ripening and senescence [3]. In the present investigation, the respiration rate of cucumber fruit was not significantly affected by the EP treatment or the application method (vapor vs. dipping) over the storage period of 14 days. Nevertheless, after 7 days of storage, ethylene production increased significantly with the 0.8% EP-vapor treatment, and on day 14, ethylene production was delayed in all experimental treatments. In a previous study, vapor treatment significantly increased respiration rates, particularly at high EP levels and chlorine application after 7 days and at 14 days. Such alterations in respiration were not seen during the dipping application, signifying that the dipping had a shorter effect than the vapor approach [7]. Additionally, the use of EP (0.4% and 0.8%) as vapor increased ethylene production at day 7, but only the 0.8% EP vapor treatment increased respiration, on the same day. In another investigation, it was observed that dipping tomato fruit in 0.5% sage EO enhanced the fruit’s respiration rate and ethylene production after 7 and 14 days as compared to control and 0.1% EO [24]. The variations in respiration rates and ethylene production of these products can be related to the alterations in gas exchange and cell-wall breakdown that may be brought on by the length of the EO treatment and/or the technique of application [38,39]. Boosting fruit metabolism and ripening are processes associated with increased respiration and/or ethylene production, and this was evident on tomato fruit that is a climacteric fruit and its ripening and storability is directly related with the respiration and/or ethylene production rates. Indeed, cucumber fruit is under the non-climacteric fruit list.
High quality cucumber fruit should be firm, dark green, and free of wrinkles depending on the variety [40]. The sensory evaluation of fresh fruits and vegetables (optical/visual appearance, aroma) is one of the key elements influencing customers’ purchasing decisions. In this investigation, vapor application with EP or chlorine did not impact fruit marketability and appearance; however, EP at 0.4% and 0.8% decreased aroma at 7 days and at 14 days. Additionally, aroma was reduced at 0.8% EP-dipped and chlorinated cucumbers, when comparing them with the control fruits, at day 7, while cucumber appearance did not change after EP or chlorine applications. Similarly, dipping tomato fruits in 0.4% EP had decreased marketability on the seventh day as compared to control fruits [7]. Moreover, the use of 0.8% EP (vapor approach) reduced aroma on day 7 (less tomato-like aroma) that was consistent across all vapor treatments. In the same study, tomato fruits treated with the vapor approach (all treatments) showed a drop in appearance on the last day of storage, suggesting a less red and less acceptable product by consumers. It has been suggested that the quality of the product might also be impacted by the application time [7]. In a prior study, a 20-min ginger EO-dipping treatment produced a “sour” product, but a 30-min application produced a more tolerable product [38]. Therefore, more research on EO and EP applied to postharvest vegetables is required. It is crucial that the applied EOs are combined in a synergistic way to improve the qualitative characteristics of fresh produce.
Firmness has a significant impact on fresh fruits and vegetables quality as well as customer acceptance [3]. In this regard, the existence of phytopathogenic microorganisms, which are the primary cause of the reduction in shelf life, can be a significant contributor to losses during the postharvest period [18]. In the present investigation, cucumber fruit treated with EP (vapour or dipping) or chlorine maintained firmness and ripening index during the 14 days of storage. Additionally, in the current investigation, no signs of decay were seen on the cucumbers that were investigated across all applications and treatments (vapor vs. dipping). The quality of cucumbers after harvest was improved by the use of chitosan nanoparticles combined with botanical extract [18]. Plant essential oils have been shown to have antioxidant and antibacterial properties. Therefore, it has been thought that replacing chemical disinfectants with essential oils is practicable [19]. The present outcomes are consistent with the EP dipping application findings (0.4% and 0.8%) previously reported [7]. Correspondingly, in another investigation, tomatoes treated with eucalyptus EO vapor kept their firmness [9]. Even after 14 days of storage at 11 °C, there were no apparent variations in firmness when sage EO (0.1% and 0.5%) was applied by dipping to tomato fruits [24]. Similarly, EO-treated fruits retained greater firmness scores than untreated fruits [38]. Generally, fruit softening is caused by weakening of the cell structure, the composition of the cell wall, and the intracellular components. It is a biochemical phenomenon in which wall hydrolases and other enzymes hydrolyze pectin and starch [41]. The predominant constituents of the tested EOs, such as α-pinene and 1.8-cineole, are indeed thought to be responsible for the EOs effectiveness on fruit firmness; however, this assumption needs to be further supported by testing the individual chemical constituents and/or mixtures of them in ratios comparable to the examined EOs. Additionally, the synergistic activity of the key components, which typically number 3–5 in each EO, determines the efficacy of the EOs rather than just the main component of the oil. However, the efficacy of EOs might vary, and this is due to the many species, even cultivars, growing techniques, and component composition.
The TSS and acidity of fresh vegetables and fruits are important sensory indexes for the taste and quality of the product [3]. The present findings revealed that the TA of cucumber fruit decreased with the 0.8% EP after 7 days of storage and increased with the 0.4% EP after 14 days of storage compared to the control, while EP application decreased TA at 14 days of storage, compared with the relevant control treatment. Correspondingly, tomatoes fruits treated with EO (ginger EO) had lower TA than the control [38]. In a previous investigation, the application of sage EO decreased the tomato’s TA, while it enhanced its sweetness (ripening index) after 14 days of storage at 11 °C [24]. The fruit becomes less sour and acidic as a result of the decline in TA, which is a crucial development during ripening. A decrease in acidity is anticipated in respiring fruits since organic acids such as malic or citric acid are the main substrates for the process [41].
The levels of TSS were similar to all vapor-treated cucumber fruit, while the dipping application of chlorine increased TSS at 7 days of storage. In a previous study, the TSS of tomato fruit was unaffected by either application technique (vapor or dipping) during storage [7]. The TSS of EO-treated tomatoes, however, appears to be somewhat lower because of their respiratory metabolism, as was previously reported [38]. The conversion of starch into simple sugars could be the cause of the increase in TSS noticed during storage. Generally, sugars make up the majority of the soluble solids in a product that are utilized during respiration [41]. However, TSS values rise as a result of sugar accumulation in fruits during ripening exceeding the levels needed for respiration [42].
Color is a crucial visual aspect of food, mainly in fresh vegetables and fruits, as it can influence consumer attractiveness and acceptability of the fresh product [43]. Usually, during storage the cucumber color changes from green to yellow due to the loss of chlorophyll and the accumulation of other pigments including anthocyanin, lycopene, xanthophyll and carotenoids [3]. In the current study, EP or chlorine vapor or dipping application showed slight effect on the cucumber color. The fruit lightness (color L*) was increased at 0.4% EP-dipped cucumbers compared to the control, after 7 days of storage, impacting other color-related attributes, i.e., Hue and color index. However, the a* (greenness) and b* (yellowness) values of the treated and control fruits did not change significantly as the storage time progressed. These findings are in line with a previous study in which the use of thyme and savory essential oils had no discernible effects on the carotenoid content of nectarines and peaches (1% and 10% vapor treatment) [27]. In freshly harvested green crops, yellow carotenoids coexist with green chlorophylls. As they ripen, chlorophyll content continuously declines (degradation), revealing the lighter yellow pigments [41,44]. Additionally, if they are preserved for a long period, much of the green color will become yellow. Therefore, it seems that the length of storage period utilized in this study was insufficient for color changes to develop. Additionally, the species of cucumber fruits used may have a slow respiration rate, which would always slow down ripening in both control and treated cucumber fruits.
As fresh food for human consumption, the cucumber fruit is a significant source of antioxidants and vitamins [2,3]. The current findings revealed that vaporized (EP or chlorine) cucumbers had comparable total phenols when compared with the control treatment though dipped fruit had lower total phenols content at 0.8% EP at 7 days and an increase at 0.4% at 14 days of storage, compared to control. However, according to Xylia et al. [7] findings, the total phenolic content in tomato fruits was not significantly altered by either application method (dipping or vapor). Additionally, tomato fruits treated with sage EO (0.1% and 0.5% by dipping) had no significant alterations in phenolic content [24]. In the present study, ascorbic acid did not change significantly among the different treatments. The antioxidant activity, as assayed by FRAP and DPPH, decreased with the EP application, after 14 days of storage. Furthermore, antioxidant activity decreased at 0.8% EP-dipped fruits compared to control and chlorine at 7 days, while after 14 days of storage, both FRAP and DPPH remained unchanged in comparison to the control treatment. However, Tzortzakis et al. [24] reported no significant differences in antioxidant levels (DPPH, FRAP) were detected at day 7 of storage, while an increase in antioxidants was observed at day 14 of storage in dipped tomato fruits (0.1% sage EO) as compared with 0.5% EO and control. Due to their intrinsic antioxidant capacity, the application of EOs to fresh produce can increase both the content and synthesis of antioxidant components [24]. However, additional external postharvest variables, such as cooling or unfavorable storage temperatures and low RH, among others, are also responsible for the rise in antioxidants during fresh produce storage.

5. Conclusions

The blend of EOs (rosemary and eucalyptus) had different effects on treated cucumber fruits. Vaporized cucumbers did not show any significant weight losses, whereas dipped cucumbers showed a greater weight loss at 0.4% EP compared with the control. Vapor application with EP or chlorine did not impact fruit marketability and appearance. Fruit treated with EP (vapor or dipping) or chlorine-maintained firmness and ripening index during storage. The TSS levels were similar in all vapor-treated fruit, while dipping application of chlorine increased TSS after 7 days of storage. EP or chlorine vapor or dipping application had a slight effect on cucumber color. Dipped fruit had lower total phenols content and antioxidant activity at 0.8% EP compared to control and chlorine at 7 days. The results of this study show that the investigated EOs (vapor or dipping) had comparable and/or superior effects on cucumber fruits when compared to those treated with chlorine, a widely utilized sanitizing agent in the food industry. As a result, this product may be thought of as an environmentally friendly substitute for chlorine when handling fresh produce after harvest. Further research should be undertaken on the use of natural products in fresh produce preservation to identify the best application conditions (method, concentration, duration) for each product. However, care should be used when applying EOs and products based on their components to fresh food products, as this may negatively affect the products’ sensory qualities (unwanted/intense flavor and aroma) or potentially cause allergy problems when consumed. Recently, the preserved role of EOs and/or other natural compounds before harvest is of great interest at the postharvest storage of fresh produce.

Author Contributions

Conceptualization, N.T.; methodology, N.T. and A.C.; software, P.X.; validation, A.C., Z.F.R.A. and N.T.; formal analysis, P.X., D.S. and Z.F.R.A.; investigation, P.X. and A.C.; resources, N.T.; data curation, P.X. and A.C.; writing—original draft preparation, P.X., A.C. and D.S; writing—review and editing, Z.F.R.A. and N.T.; visualization, A.C. and N.T.; supervision, A.C. and Z.F.R.A.; project administration, N.T.; funding acquisition, N.T. All authors have read and agreed to the published version of the manuscript.

Funding

This research was funded by Cyprus Research and Innovation Foundation programmes for research, technological development and innovation “RESTART 2016–2020”, grant number ENTERPRISES/0916/0025; project PlantSafe. The project is co-funded by the European Regional Development Fund and the Republic of Cyprus.

Data Availability Statement

Not applicable.

Conflicts of Interest

The authors declare no conflict of interest.

Appendix A. Postharvest Experimental Set Up

Figure A1. Preliminary screening of EP applications.
Figure A1. Preliminary screening of EP applications.
Horticulturae 08 00774 g0a1
Figure A2. Effect of dipping or vapour EP applications.
Figure A2. Effect of dipping or vapour EP applications.
Horticulturae 08 00774 g0a2

References

  1. Cortbaoui, P.E.; Ngadi, M.O. A New Method to Quantify Postharvest Quality Loss of Cucumber using the Taguchi Approach. Issn 2015, 44, 2224–6088. [Google Scholar]
  2. Mostafa, Y.S.; Hashem, M.; Alshehri, A.M.; Alamri, S.; Eid, E.M.; Ziedan, E.S.H.E.; Alrumman, S.A. Effective Management of Cucumber Powdery Mildew with Essential Oils. Agriculture 2021, 11, 1177. [Google Scholar] [CrossRef]
  3. Jahan, S.E.; Hassan, M.K.; Roy, S.; Ahmed, Q.M.; Hasan, G.N.; Muna, A.Y.; Sarkar, M.N. Effects of different postharvest treatments on nutritional quality and shelf life of cucumber. Asian J. Crop. Soil Sci. Plant Nutr. 2020, 2, 51–61. [Google Scholar] [CrossRef]
  4. Kang, H.M.; Park, K.W.; Saltveit, M.E. Elevated growing temperatures during the day improve the postharvest chilling tolerance of greenhouse-grown cucumber (Cucumis sativus) fruit. Postharvest Biol. Technol. 2002, 24, 49–57. [Google Scholar] [CrossRef]
  5. Tzortzakis, N.; Chrysargyris, A.; Sivakumar, D.; Loulakakis, K. Vapour or dipping applications of methyl jasmonate, vinegar and sage oil for pepper fruit sanitation towards grey mould. Postharvest Biol. Technol. 2016, 118, 120–127. [Google Scholar] [CrossRef]
  6. Xylia, P.; Botsaris, G.; Chrysargyris, A.; Skandamis, P.; Tzortzakis, N. Variation of microbial load and biochemical activity of ready-to-eat salads in Cyprus as affected by vegetable type, season, and producer. Food Microbiol. 2019, 83, 200–210. [Google Scholar] [CrossRef] [PubMed]
  7. Xylia, P.; Clark, A.; Chrysargyris, A.; Romanazzi, G.; Tzortzakis, N. Quality and safety attributes on shredded carrots by using Origanum majorana and ascorbic acid. Postharvest Biol. Technol. 2019, 155, 120–129. [Google Scholar] [CrossRef]
  8. Imaizumi, T.; Yamauchi, M.; Sekiya, M.; Shimonishi, Y.; Tanaka, F. Responses of phytonutrients and tissue condition in persimmon and cucumber to postharvest UV-C irradiation. Postharvest Biol. Technol. 2018, 145, 33–40. [Google Scholar] [CrossRef]
  9. Tzortzakis, N.G. Maintaining postharvest quality of fresh produce with volatile compounds. Innov. Food Sci. Emerg. Technol. 2007, 8, 111–116. [Google Scholar] [CrossRef]
  10. Kawhena, T.G.; Tsige, A.A.; Opara, U.L.; Fawole, O.A. Application of gum arabic and methyl cellulose coatings enriched with thyme oil to maintain quality and extend shelf life of “acco” pomegranate arils. Plants 2020, 9, 1690. [Google Scholar] [CrossRef]
  11. Panahirad, S.; Naghshiband-Hassani, R.; Bergin, S.; Katam, R.; Mahna, N. Improvement of postharvest quality of plum (Prunus domestica L.) using polysaccharide-based edible coatings. Plants 2020, 9, 1148. [Google Scholar] [CrossRef] [PubMed]
  12. Ahmed, Z.F.R.; Palta, J.P. Lysophosphatidylethanolamine, a natural phospholipid, may retard senescence and improve the shelf life of banana fruit. HortScience 2010, 45, S66. [Google Scholar]
  13. Tzortzakis, N.; Singleton, I.; Barnes, J. Deployment of low-level ozone-enrichment for the preservation of chilled fresh produce. Postharvest Biol. Technol. 2007, 43, 261–270. [Google Scholar] [CrossRef]
  14. Burt, S. Essential oils: Their antibacterial properties and potential applications in foods—A review. Int. J. Food Microbiol. 2004, 94, 223–253. [Google Scholar] [CrossRef] [PubMed]
  15. Scollard, J.; Francis, G.A.; O’Beirne, D. Some conventional and latent anti-listerial effects of essential oils, herbs, carrot and cabbage in fresh-cut vegetable systems. Postharvest Biol. Technol. 2013, 77, 87–93. [Google Scholar] [CrossRef]
  16. Stavropoulou, A.; Loulakakis, K.; Magan, N.; Tzortzakis, N. Origanum dictamnus oil vapour suppresses the development of grey mould in eggplant fruit in vitro. Biomed Res. Int. 2014, 2014, 562679. [Google Scholar] [CrossRef]
  17. Teixeira, B.; Marques, A.; Pires, C.; Ramos, C.; Batista, I.; Saraiva, J.A.; Nunes, M.L. Characterization of fish protein films incorporated with essential oils of clove, garlic and origanum: Physical, antioxidant and antibacterial properties. LWT—Food Sci. Technol. 2014, 59, 533–539. [Google Scholar] [CrossRef]
  18. Istúriz-Zapata, M.A.; Hernández-López, M.; Correa-Pacheco, Z.N.; Barrera-Necha, L.L. Quality of cold-stored cucumber as affected by nanostructured coatings of chitosan with cinnamon essential oil and cinnamaldehyde. Lwt 2020, 123, 109089. [Google Scholar] [CrossRef]
  19. Cui, H.; Zhao, C.; Li, C.; Lin, L. Essential Oils-Based Antibacterial Agent Against Escherichia coli O157:H7 Biofilm on Cucumber. J. Food Process. Preserv. 2017, 41, e13140. [Google Scholar] [CrossRef]
  20. Falleh, H.; Ben Jemaa, M.; Saada, M.; Ksouri, R. Essential oils: A promising eco-friendly food preservative. Food Chem. 2020, 330, 127268. [Google Scholar] [CrossRef]
  21. Xylia, P.; Chrysargyris, A.; Tzortzakis, N.; Tzortzakis, Ν. The combined and single effect of marjoram essential oil, ascorbic acid, and chitosan on fresh-cut lettuce preservation. Foods 2021, 10, 575. [Google Scholar] [CrossRef] [PubMed]
  22. Alharbi, A.A. Effectiveness of Acetic Acid, Essential Oils and Trichoderma spp. in Controlling Gray Mold Disease on Cucumber. Alex. J. Agric. Sci. 2018, 63, 275–281. [Google Scholar] [CrossRef][Green Version]
  23. Xylia, P.; Chrysargyris, A.; Botsaris, G.; Tzortzakis, N. Potential application of spearmint and lavender essential oils for assuring endive quality and safety. Crop Prot. 2017, 102, 94–103. [Google Scholar] [CrossRef]
  24. Tzortzakis, N.; Xylia, P.; Chrysargyris, A. Sage essential oil improves the effectiveness of Aloe vera gel on postharvest quality of tomato fruit. Agronomy 2019, 9, 635. [Google Scholar] [CrossRef]
  25. Poimenidou, S.V.; Bikouli, V.C.; Gardeli, C.; Mitsi, C.; Tarantilis, P.A.; Nychas, G.J.; Skandamis, P.N. Effect of single or combined chemical and natural antimicrobial interventions on Escherichia coli O157: H7, total microbiota and color of packaged spinach and lettuce. Int. J. Food Microbiol. 2016, 220, 6–18. [Google Scholar] [CrossRef] [PubMed]
  26. Xylia, P.; Chrysargyris, A.; Ahmed, Z.F.R.; Tzortzakis, Ν. Application of Rosemary and Eucalyptus Essential Oils and Their Main Component on the Preservation of Apple and Pear Fruits. Horticulture 2021, 7, 479. [Google Scholar] [CrossRef]
  27. Santoro, K.; Maghenzani, M.; Chiabrando, V.; Bosio, P.; Gullino, M.L.; Spadaro, D.; Giacalone, G. Thyme and savory essential oil vapor treatments control brown rot and improve the storage quality of peaches and nectarines, but could favor gray mold. Foods 2018, 7, 7. [Google Scholar] [CrossRef]
  28. de Medeiros Barbosa, I.; da Costa Medeiros, J.A.; de Oliveira, K.Á.R.; Gomes-Neto, N.J.; Tavares, J.F.; Magnani, M.; de Souza, E.L. Efficacy of the combined application of oregano and rosemary essential oils for the control of Escherichia coli, Listeria monocytogenes and Salmonella Enteritidis in leafy vegetables. Food Control 2016, 59, 468–477. [Google Scholar] [CrossRef]
  29. Ponce, A.G.; Del Valle, C.; Roula, S.I. Shelf Life of Leafy Vegetables Treated with Natuaral Essential Oils. J. Food Sci. 2004, 69, 50–56. [Google Scholar]
  30. Werrie, P.Y.; Durenne, B.; Delaplace, P.; Fauconnier, M.L. Phytotoxicity of essential oils: Opportunities and constraints for the development of biopesticides. A review. Foods 2020, 9, 1291. [Google Scholar] [CrossRef]
  31. Chrysargyris, A.; Charalambous, S.; Xylia, P.; Litskas, V.; Stavrinides, M.; Tzortzakis, N. Assessing the biostimulant effects of a novel plant-based formulation on tomato crop. Sustainability 2020, 12, 8432. [Google Scholar] [CrossRef]
  32. Chrysargyris, A.; Nikou, A.; Tzortzakis, N. Effectiveness of Aloe vera gel coating for maintaining tomato fruit quality. N. Z. J. Crop Hortic. Sci. 2016, 44, 203–217. [Google Scholar] [CrossRef]
  33. Bolin, H.R.; Huxsoll, C.C. Effect of Preparation Procedures and Storage Parameters on Quality Retention of Salad-cut Lettuce. J. Food Sci. 1991, 56, 60–62. [Google Scholar] [CrossRef]
  34. McGuire, R.G. Reporting of Objective Color Measurements. HortScience 1992, 27, 1254–1255. [Google Scholar] [CrossRef]
  35. AOAC. Official Methods of Analysis, 18th ed.; AOAC: Gaithersburg, MD, USA, 2007. [Google Scholar]
  36. Chrysargyris, A.; Panayiotou, C.; Tzortzakis, N. Nitrogen and phosphorus levels affected plant growth, essential oil composition and antioxidant status of lavender plant (Lavandula angustifolia Mill.). Ind. Crops Prod. 2016, 83, 577–586. [Google Scholar] [CrossRef]
  37. Tzortzakis, N.G.; Tzanakaki, K.; Economakis, C.D. Effect of origanum oil and vinegar on the maintenance of postharvest quality of tomato. Food Nutr. Sci. 2011, 02, 974–982. [Google Scholar] [CrossRef][Green Version]
  38. Adams, A.; Adama, A.; Thadius, K.T.; Barau, B. Ginger Essential Oil for Postharvest Quality of Datterino Tomato: Effect of Immersion Duration and Storage Temperature. J. Postharvest Technol. 2018, 06, 109–121. [Google Scholar]
  39. Rabiei, V.; Shirzadeh, E.; Rabbiangourani, H.; Sharafi, Y. Effect of thyme and lavender essential oils on the qualitative and quantitative traits and storage life of apple “Jonagold” cultivar. J. Med. Plant Res. 2011, 5, 5522–5527. [Google Scholar]
  40. Hardenburg, R.E.; Watada, A.E.; Wang, C.Y. The Commercial Storage of Fruits, Vegetables, and Florist and Nursery Stocks; No. 66; United States Department of Agriculture Research Service: Washington, DC, USA, 1990; p. 130.
  41. Omoba, O.S.; Onyekwere, U. Postharvest physicochemical properties of cucumber fruits (Cucumber sativus L) treated with chitosan-lemon grass extracts under different storage durations. Afr. J. Biotechnol. 2016, 15, 2758–2766. [Google Scholar]
  42. Oms-Oliu, G.; Hertog, M.L.A.T.M.; Van de Poel, B.; Ampofo-Asiama, J.; Geeraerd, A.H.; Nicolai, B.M. Metabolic characterization of tomato fruit during preharvest development, ripening, and postharvest shelf-life. Postharvest Biol. Technol. 2011, 62, 7–16. [Google Scholar] [CrossRef]
  43. Ahmed, Z.F.R.; Al Shaibani, F.Y.Y.; Kaur, N.; Maqsood, S.; Schmeda-Hirschmann, G. Improving fruit quality, bioactive compounds, and storage life of date palm (Phoenix dactylifera L., cv. Barhi) using natural elicitors. Horticulturae 2021, 7, 293. [Google Scholar] [CrossRef]
  44. Ahmed, Z.F.R.; Alnuaimi, A.K.H.; Askri, A.; Tzortzakis, N. Evaluation of Lettuce (Lactuca sativa L.) Production under Hydroponic System: Nutrient Solution Derived from Fish Waste vs. Inorganic Nutrient Solution. Horticulturae 2021, 7, 292. [Google Scholar] [CrossRef]
Figure 1. Effects of vapor (A,C,E) or dipping (B,D,F) application with eco-product (EP) at different concentration (0%-0.05%-0.1%-0.2%-0.4% and 0.8%) or control (application with water) on weight loss (%), marketability (scale 1–10) and aroma (scale 1–10) of cucumber fruits stored at 11 °C and RH ~90%. Means ± SE followed by different Latin letters are significantly different according to Duncan’s MRT (p = 0.05).
Figure 1. Effects of vapor (A,C,E) or dipping (B,D,F) application with eco-product (EP) at different concentration (0%-0.05%-0.1%-0.2%-0.4% and 0.8%) or control (application with water) on weight loss (%), marketability (scale 1–10) and aroma (scale 1–10) of cucumber fruits stored at 11 °C and RH ~90%. Means ± SE followed by different Latin letters are significantly different according to Duncan’s MRT (p = 0.05).
Horticulturae 08 00774 g001
Figure 2. Effects of vapor (A,C) or dipping (B,D) application with eco-product (EP) at different concentration (0–0.4% and 0.8%), chlorine (0.02%) or control (application with water) on weight loss (%) and decay (scale 1–10) of cucumber fruits stored at 11 °C and RH ~90% up to 14 days. Means ± SE followed by different Latin letters are significantly different according to Duncan’s MRT (p = 0.05). ns: not significant.
Figure 2. Effects of vapor (A,C) or dipping (B,D) application with eco-product (EP) at different concentration (0–0.4% and 0.8%), chlorine (0.02%) or control (application with water) on weight loss (%) and decay (scale 1–10) of cucumber fruits stored at 11 °C and RH ~90% up to 14 days. Means ± SE followed by different Latin letters are significantly different according to Duncan’s MRT (p = 0.05). ns: not significant.
Horticulturae 08 00774 g002
Figure 3. Effects of vapor (A,C) or dipping (B,D) application with eco-product (EP) at different concentration (0–0.4% and 0.8%), chlorine (0.02%) or control (application with water) on respiration rate (mL CO2 kg−1 Fw h−1) and ethylene production (μL kg−1 Fw h−1) of cucumber fruits stored at 11 °C and RH ~90% up to 14 days. Means ± SE followed by different Latin letters are significantly different according to Duncan’s MRT (p = 0.05). ns: not significant.
Figure 3. Effects of vapor (A,C) or dipping (B,D) application with eco-product (EP) at different concentration (0–0.4% and 0.8%), chlorine (0.02%) or control (application with water) on respiration rate (mL CO2 kg−1 Fw h−1) and ethylene production (μL kg−1 Fw h−1) of cucumber fruits stored at 11 °C and RH ~90% up to 14 days. Means ± SE followed by different Latin letters are significantly different according to Duncan’s MRT (p = 0.05). ns: not significant.
Horticulturae 08 00774 g003
Figure 4. Effects of vapor (A,C,E) or dipping (B,D,F) application with eco-product (EP) at different concentration (0–0.4% and 0.8%), chlorine (0.02%) or control (application with water) on marketability (scale 1–10), aroma (scale 1–10) and appearance (scale 1–10) of cucumber fruits stored at 11 °C and RH ~90% up to 14 days. Means ± SE followed by different Latin letters are significantly different according to Duncan’s MRT (p = 0.05). ns: not significant.
Figure 4. Effects of vapor (A,C,E) or dipping (B,D,F) application with eco-product (EP) at different concentration (0–0.4% and 0.8%), chlorine (0.02%) or control (application with water) on marketability (scale 1–10), aroma (scale 1–10) and appearance (scale 1–10) of cucumber fruits stored at 11 °C and RH ~90% up to 14 days. Means ± SE followed by different Latin letters are significantly different according to Duncan’s MRT (p = 0.05). ns: not significant.
Horticulturae 08 00774 g004
Figure 5. Effects of vapor (A,C,E,G) or dipping (B,D,F,H) application with eco-product (EP) at different concentration (0–0.4% and 0.8%), chlorine (0.02%) or control (application with water) on firmness (N), total soluble solids (TSS; oBrix), titratable acidity (TA; g citric acid L−1 juice) and ripening index (TSS/TA) of cucumber fruits stored at 11 °C and RH ~90% up to 14 days. Means ± SE followed by different Latin letters are significantly different according to Duncan’s MRT (p = 0.05). ns: not significant.
Figure 5. Effects of vapor (A,C,E,G) or dipping (B,D,F,H) application with eco-product (EP) at different concentration (0–0.4% and 0.8%), chlorine (0.02%) or control (application with water) on firmness (N), total soluble solids (TSS; oBrix), titratable acidity (TA; g citric acid L−1 juice) and ripening index (TSS/TA) of cucumber fruits stored at 11 °C and RH ~90% up to 14 days. Means ± SE followed by different Latin letters are significantly different according to Duncan’s MRT (p = 0.05). ns: not significant.
Horticulturae 08 00774 g005
Figure 6. Effects of vapor (A,C,E,G,I,K) or dipping (B,D,F,H,J,L) application with eco-product (EP) at different concentration (0–0.4% and 0.8%), chlorine (0.02%) or control (application with water) on color attributes of cucumber fruits stored at 11 °C and RH ~90% up to 14 days. Means ± SE followed by different Latin letters are significantly different according to Duncan’s MRT (p = 0.05). ns: not significant.
Figure 6. Effects of vapor (A,C,E,G,I,K) or dipping (B,D,F,H,J,L) application with eco-product (EP) at different concentration (0–0.4% and 0.8%), chlorine (0.02%) or control (application with water) on color attributes of cucumber fruits stored at 11 °C and RH ~90% up to 14 days. Means ± SE followed by different Latin letters are significantly different according to Duncan’s MRT (p = 0.05). ns: not significant.
Horticulturae 08 00774 g006aHorticulturae 08 00774 g006b
Figure 7. Effects of vapor (A,C,E,G) or dipping (B,D,F,H) application with eco-product (EP) at different concentration (0–0.4% and 0.8%), chlorine (0.02%) or control (application with water) on total phenols content (mg GAE g−1 Fw), on ascorbic acid (mg g−1 Fw), and antioxidant activity (FRAP, DPPH; mg trolox g−1 Fw) of cucumber fruits stored at 11 °C and RH ~90% up to 14 days. Means ± SE followed by different Latin letters are significantly different according to Duncan’s MRT (p = 0.05). ns: not significant.
Figure 7. Effects of vapor (A,C,E,G) or dipping (B,D,F,H) application with eco-product (EP) at different concentration (0–0.4% and 0.8%), chlorine (0.02%) or control (application with water) on total phenols content (mg GAE g−1 Fw), on ascorbic acid (mg g−1 Fw), and antioxidant activity (FRAP, DPPH; mg trolox g−1 Fw) of cucumber fruits stored at 11 °C and RH ~90% up to 14 days. Means ± SE followed by different Latin letters are significantly different according to Duncan’s MRT (p = 0.05). ns: not significant.
Horticulturae 08 00774 g007
Publisher’s Note: MDPI stays neutral with regard to jurisdictional claims in published maps and institutional affiliations.

Share and Cite

MDPI and ACS Style

Xylia, P.; Chrysargyris, A.; Shahwar, D.; Ahmed, Z.F.R.; Tzortzakis, N. Application of Rosemary and Eucalyptus Essential Oils on the Preservation of Cucumber Fruit. Horticulturae 2022, 8, 774. https://doi.org/10.3390/horticulturae8090774

AMA Style

Xylia P, Chrysargyris A, Shahwar D, Ahmed ZFR, Tzortzakis N. Application of Rosemary and Eucalyptus Essential Oils on the Preservation of Cucumber Fruit. Horticulturae. 2022; 8(9):774. https://doi.org/10.3390/horticulturae8090774

Chicago/Turabian Style

Xylia, Panayiota, Antonios Chrysargyris, Durray Shahwar, Zienab F. R. Ahmed, and Nikolaos Tzortzakis. 2022. "Application of Rosemary and Eucalyptus Essential Oils on the Preservation of Cucumber Fruit" Horticulturae 8, no. 9: 774. https://doi.org/10.3390/horticulturae8090774

APA Style

Xylia, P., Chrysargyris, A., Shahwar, D., Ahmed, Z. F. R., & Tzortzakis, N. (2022). Application of Rosemary and Eucalyptus Essential Oils on the Preservation of Cucumber Fruit. Horticulturae, 8(9), 774. https://doi.org/10.3390/horticulturae8090774

Note that from the first issue of 2016, this journal uses article numbers instead of page numbers. See further details here.

Article Metrics

Back to TopTop