Effects of Different Forms of Tagetes erecta Biofumigation on the Growth of Apple Seedlings and Replanted Soil Microbial Environment
Abstract
:1. Introduction
2. Materials and Methods
2.1. Experimental Materials
2.2. Experimental Design and Sampling
2.3. Test Indexes
2.3.1. Measurements of the Plant Biomass and Root Morphology
2.3.2. Determination of Plant Root Respiration Rate
2.3.3. Determination of Root Antioxidant Enzyme Activities and MDA Content
2.3.4. Determination of Soil Enzyme Activities
2.3.5. Determination of Soil Microbial Amounts
2.3.6. DNA Extraction and T-RFLP Analysis
2.3.7. qPCR Analysis
2.4. Statistical Analysis
3. Results
3.1. Effects of Tagetes erecta Biofumigation on the Growth of Apple Seedlings
3.2. Effect of Tagetes erecta Biofumigation on Gas Exchange Parameters of Seedling Leaves
3.3. Effect of Tagetes erecta Biofumigation on Root Indexes of Seedlings
3.3.1. Root Indexes Analysis
3.3.2. Root Respiration Rate
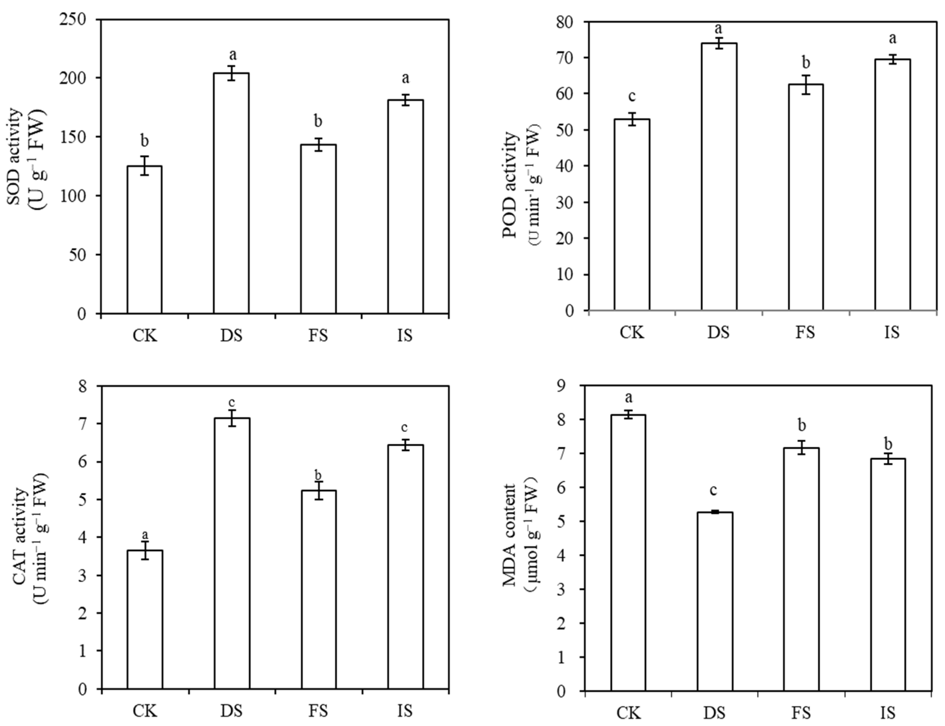
3.3.3. Root Protective Enzymes Activity
3.4. Effect of Tagetes erecta Biofumigation on Soil Enzyme Activity
3.5. Effect of Tagetes erecta Biofumigation on Soil Microbial Environment
3.5.1. Effect on the Number of Soil Microorganisms
3.5.2. Effects on Soil Fungal Community Diversity
3.5.3. Effects on Soil Fungal Community Richness
3.5.4. Effects on the Gene Copy Number of Fusarium Oxysporum
4. Discussion
5. Conclusions
Author Contributions
Funding
Institutional Review Board Statement
Informed Consent Statement
Data Availability Statement
Acknowledgments
Conflicts of Interest
References
- Manici, L.M.; Kelderer, M.; Franke-Whittle, I.H.; Rühmer, T.; Baab, G.; Nicoletti, F.; Caputo, F.; Topp, A.; Insam, H.; Naef, A. Relationship between root-endophytic microbial communities and replant disease in specialized apple growing areas in Europe. Appl. Soil Ecol. 2013, 72, 207–214. [Google Scholar] [CrossRef]
- Yim, B.; Hanschen, F.S.; Wrede, A.; Nitt, H.; Schreiner, M.; Smalla, K.; Winkelmann, T. Effects of using Brassica juncea and Raphanus sativus in comparison to disinfection using Basamid on apple plant growth and soil microbial communities at three field sites with replant disease. Plant Soil 2016, 406, 389–408. [Google Scholar] [CrossRef]
- Omirou, M.; Rousidou, C.; Bekris, F.; Papadopoulou, K.K.; Menkissoglou-Spiroudi, U.; Ehaliotis, C.; Karpouzas, D.G. The impact of biofumigation and chemical fumigation methods on the structure and function of the soil microbial community. Microb. Ecol. 2011, 61, 201–213. [Google Scholar] [CrossRef] [PubMed]
- Angus, J.F.; Gardner, P.A.; Kirkegaard, J.A.; Desmarchelier, J.M. Biofumigation: Isothiocynates released from Brassica roots inhibit growth of the take-all fungus. Plant Soil 1994, 162, 107–112. [Google Scholar] [CrossRef]
- Porter, M.J.; Davies, K.; Rathjen, A.J. Suppresive impact of glucosinolates in Brassica vegetative tissues on root lesion nematode Pratylenchus penetrans. J. Chem. Ecol. 1998, 24, 67–80. [Google Scholar]
- Marwar, R.; Lodha, S. Brassica amendments and summer irrigation for the control of Macrophomina phaseolina and Fusarium oxysporum f. sp. cumini in hot arid region. Phytopathol. Mediterr. 2002, 41, 45–54. [Google Scholar]
- Smolinska, U.; Morra, M.J.; Knudsen, G.R.; James, R.L. Isothiocyanates produced by Brassicaceae species as inhibitors of Fusarium oxysporum. Plant Dis. 2003, 87, 407–412. [Google Scholar] [CrossRef] [Green Version]
- Sarwar, M.; Kirkegaard, J.A.; Wong, P.T.W.; Desmarchelier, J.M. Biofumigation potential of Brassica. In vitro toxicity of isothiocyanates to soil-borne fungal pathogens. Plant Soil 1998, 201, 103–112. [Google Scholar] [CrossRef]
- Arnault, I.; Fleurance, C.; Vey, F.; Fretay, G.D.; Auger, J. Use of Alliaceae residues to control soil-borne pathogens. Ind. Crops Prod. 2013, 49, 265–272. [Google Scholar] [CrossRef]
- Perera, W.H.; Meepa, K.M.; Fronczek, F.R.; Cook, D.D.; Wedge, D.E.; Duke, S.O. Bioassay-Guided isolation and structure elucidation of fungicidal and herbicidal compounds from Ambrosia salsola (Asteraceae). Molecules 2019, 24, 835. [Google Scholar] [CrossRef] [Green Version]
- Gupta, P.; Vasudeva, N. In vitro antiplasmodial and antimicrobial potential of Tagetes erecta roots. Pharm. Biol. 2010, 48, 1218–1223. [Google Scholar] [CrossRef]
- Padalia, H.; Chanda, S. Antimicrobial efficacy of different solvent extracts of Tagetes erecta L. flower, alone and in combination with antibiotics. Appl. Microbiol. 2015, 1, 106. [Google Scholar] [CrossRef] [Green Version]
- Du, R.; Liu, J.; Sun, P.; Li, H.; Wang, J. Inhibitory effect and mechanism of Tagetes erecta L. fungicide on Fusarium oxysporum f. sp. niveum. Sci. Rep. 2017, 7, 14442. [Google Scholar] [CrossRef] [PubMed] [Green Version]
- Mao, Z.Q.; Wang, L.Q.; Shen, X.; Shu, H.R.; Zou, Y.M. Effect of organic materials on respiration intensity of annual Malus. hupehensis Rehd.root system. J. Plant Nutr. Fertil. 2004, 10, 171–175. [Google Scholar]
- Zhao, S.J. Techniques of Plant Physiological Experiment; Agricultural Science and Technology Press: Beijing, China, 2000. [Google Scholar]
- Guan, S.Y. Soil Enzymes and Their Research Methods; Agriculture Press: Beijing, China, 1986. [Google Scholar]
- Zhang, Q.; Zhu, L.; Wang, J.; Xie, H.; Wang, J.; Wang, F.; Sun, F. Effects of fomesafen on soil enzyme activity, microbial population, and bacterial community composition. Environ. Monit. Assess. 2014, 186, 2801–2812. [Google Scholar] [CrossRef] [PubMed]
- Högberg, M.N.; Yarwood, S.A.; Myrold, D.D. Fungal but not bacterial soil communities recover after termination of decadal nitrogen additions to boreal forest. Soil Biol. Biochem. 2014, 72, 35–43. [Google Scholar] [CrossRef]
- Wang, G.S.; Yin, C.M.; Pan, F.B.; Wang, X.B.; Xiang, L.; Wang, Y.F.; Wang, J.Z.; Tian, C.P.; Chen, J.; Mao, Z.Q. Analyses of the fungal community in apple replanted soil around Bohai Gulf. Hortic. Plant J. 2018, 4, 175–181. [Google Scholar] [CrossRef]
- Thomas, L.; Dunfield, P.F.; Werner, L. Use of the T-RFLP technique to assess spatial and temporal changes in the bacterial community structure within an agricultural soil planted with transgenic and non-transgenic potato plants. FEMS Microbiol. Ecol. 2000, 32, 241–247. [Google Scholar]
- Wang, Y.; Wei, K.; Han, X.; Zhao, D.; Zheng, Y.; Chao, J.; Gou, J.; Kong, F.; Zhang, C.S. The antifungal effect of garlic essential oil on Phytophthora nicotianae and the inhibitory component involved. Biomolecules 2019, 9, 632. [Google Scholar] [CrossRef] [Green Version]
- Wang, Y.F.; Pan, F.B.; Wang, G.S.; Zhang, G.D.; Wang, Y.L.; Chen, X.S.; Mao, Z.Q. Effects of biochar on photosynthesis and antioxidative system of Malus hupehensis Rehd. seedlings under replant conditions. Sci. Hortic. 2014, 175, 9–15. [Google Scholar] [CrossRef]
- Chen, Y.; Zhang, F.J.; Yang, Y.X.; Fan, S.Y.; Wang, Q.; Wu, C.Q.; Wang, F.; Wu, C.J. Effect of mustard infusion on soil properties and seedling physiological indicators of cowpea continuous crops. J. Nucl. Agric. Sci. 2019, 33, 1038–1047. (In Chinese) [Google Scholar]
- Wang, M.; Zhang, R.; Zhao, L.; Wang, H.Y.; Chen, X.S.; Mao, Z.Q.; Yin, C.M. Indigenous arbuscular mycorrhizal fungi enhance resistance of apple rootstock ‘M9T337’ to apple replant disease. Physiol. Mol. Plant Pathol. 2021, 116, 101717. [Google Scholar] [CrossRef]
- Guo, H.; Mao, Z.Q.; Jiang, H.X.; Liu, P.; Zhou, B.Q.; Bao, Z.Z.; Sui, J.K.; Zhou, X.Y.; Liu, X.L. Community analysis of plant growth promoting rhizobacteria for apple trees. Crop Prot. 2014, 62, 1–9. [Google Scholar] [CrossRef]
- Hollister, E.B.; Hu, P.; Wang, A.S.; Hons, F.M.; Gentry, T.J. Differential impacts of brassicaceous and nonbrassicaceous oilseed meals on soil bacterial and fungal communities. FEMS Microbiol. Ecol. 2012, 83, 632–641. [Google Scholar] [CrossRef] [PubMed] [Green Version]
- Keikha, N.; Ayatollahi Mousavi, S.A.; Shahidi Bonjar, G.H.; Fouladi, B.; Izadi, A.R. In vitro antifungal activities of Actinomyces species isolated from soil samples against Trichophyton mentagrophytes. Curr. Med. Mycol. 2015, 1, 33–38. [Google Scholar] [CrossRef] [PubMed] [Green Version]








| Soil Type | pH | Nitrate Nitrogen (mg kg−1) | Ammonium Nitrogen (mg kg−1) | Available Potassium (mg kg−1) | Available Phosphorus (mg kg−1) | Organic (g kg−1) |
|---|---|---|---|---|---|---|
| brown loam | 6.08 | 5.5 | 3.8 | 90.6 | 9.3 | 5.3 |
| Treatments | Plant Height (cm) | Ground Diameter (cm) | Fresh Weight (g) | Dry Weight (g) | ||
|---|---|---|---|---|---|---|
| Above Ground | Root | Above Ground | Root | |||
| CK | 21.67 ± 0.88 b | 2.93 ± 0.14 c | 5.60 ± 0.27 c | 3.80 ± 0.28 c | 2.09 ± 0.17 c | 0.99 ± 0.11 c |
| DS | 45.00 ± 1.73 a | 5.49 ± 0.08 a | 16.34 ± 0.62 a | 11.19 ± 0.72 a | 6.19 ± 0.23 a | 2.15 ± 0.24 a |
| FS | 44.33 ± 0.88 a | 4.68 ± 0.21 b | 13.17 ± 0.35 b | 9.82 ± 0.74 b | 4.42 ± 0.16 b | 1.70 ± 0.25 b |
| IS | 42.33 ± 0.88 a | 5.04 ± 0.26 ab | 14.29 ± 0.92 b | 9.57 ± 0.33 b | 4.59 ± 0.17 b | 2.01 ± 0.14 ab |
| Treatments | Roots Length (cm) | Roots Surface Area (cm2) | Roots Volume (cm3) | Root Tips |
|---|---|---|---|---|
| CK | 542.59 ± 1.87 c | 315.57 ± 12.65 c | 14.66 ± 1.24 c | 2827.67 ± 28.31 c |
| DS | 1022.95 ± 37.16 a | 577.92 ± 11.98 a | 26.58 ± 0.65 a | 5553.67 ± 225.99 a |
| FS | 788.22 ± 22.16 b | 445.40 ± 14.53 b | 17.63 ± 1.88 c | 3607.67 ± 263.44 b |
| IS | 828.95 ± 49.34 b | 512.17 ± 37.49 ab | 22.20 ± 1.30 b | 4886.67 ± 323.18 a |
| Treatments | Shannon Index | Pielou Index | Simpson’s Index | Margalef Index |
|---|---|---|---|---|
| CK | 2.11 ± 0.004 a | 5.60 ± 0.004 b | 0.65 ± 0.001 a | 0.16 ± 0.001 c |
| DS | 1.95 ± 0.005 b | 5.63 ± 0.004 a | 0.60 ± 0.001 b | 0.23 ± 0.003 a |
| FS | 1.85 ± 0.007 c | 5.47 ± 0.010 d | 0.57 ± 0.002 c | 0.19 ± 0.002 b |
| IS | 1.83 ± 0.012 c | 5.52 ± 0.008 c | 0.56 ± 0.004 c | 0.19 ± 0.003 b |
Publisher’s Note: MDPI stays neutral with regard to jurisdictional claims in published maps and institutional affiliations. |
© 2022 by the authors. Licensee MDPI, Basel, Switzerland. This article is an open access article distributed under the terms and conditions of the Creative Commons Attribution (CC BY) license (https://creativecommons.org/licenses/by/4.0/).
Share and Cite
Wang, X.; Li, K.; Xu, S.; Duan, Y.; Wang, H.; Yin, C.; Chen, X.; Mao, Z.; Xiang, K. Effects of Different Forms of Tagetes erecta Biofumigation on the Growth of Apple Seedlings and Replanted Soil Microbial Environment. Horticulturae 2022, 8, 633. https://doi.org/10.3390/horticulturae8070633
Wang X, Li K, Xu S, Duan Y, Wang H, Yin C, Chen X, Mao Z, Xiang K. Effects of Different Forms of Tagetes erecta Biofumigation on the Growth of Apple Seedlings and Replanted Soil Microbial Environment. Horticulturae. 2022; 8(7):633. https://doi.org/10.3390/horticulturae8070633
Chicago/Turabian StyleWang, Xiaofang, Kang Li, Shaozhuo Xu, Yanan Duan, Haiyan Wang, Chengmiao Yin, Xuesen Chen, Zhiquan Mao, and Kun Xiang. 2022. "Effects of Different Forms of Tagetes erecta Biofumigation on the Growth of Apple Seedlings and Replanted Soil Microbial Environment" Horticulturae 8, no. 7: 633. https://doi.org/10.3390/horticulturae8070633
APA StyleWang, X., Li, K., Xu, S., Duan, Y., Wang, H., Yin, C., Chen, X., Mao, Z., & Xiang, K. (2022). Effects of Different Forms of Tagetes erecta Biofumigation on the Growth of Apple Seedlings and Replanted Soil Microbial Environment. Horticulturae, 8(7), 633. https://doi.org/10.3390/horticulturae8070633
